Abstract
Digital Twin Technology (DTT) has gained significant attention as a vital technology for the efficient management of smart cities. However, its successful implementation in developing countries is often hindered by several barriers. Despite limited research available on smart city development in Malaysia, there is a need to investigate the possible challenges that could affect the effective implementation of DTT in the country. This study employs a mixed methodology research design, comprising an interview, a pilot survey, and the main survey. Firstly, we identified barriers reported in the literature and excluded insignificant factors through interviews. Next, we conducted an Exploratory Factor Analysis (EFA) on the pilot survey results to further refine the factors. Finally, we performed a Structural Equation Modeling (SEM) analysis on the main survey data to develop a model that identifies barriers to DTT implementation in smart city development in Malaysia. Our findings suggest the presence of 13 highly significant barriers, which are divided into four formative constructs. We found that personalization barriers are highly crucial, while operational barriers were less important for DTT implementation in smart city development in Malaysia.
1. Introduction
DTT has emerged as a possible option for the global expansion of smart cities. This technology can facilitate many applications, such as real-time monitoring and modelling of urban infrastructure, optimizing for resource planning, and adopting an environmentally friendly urban policy. Digital Twin is the center of Industrialization 4.0, which is enabled by powerful data analytics and Internet of Things (IoT) connections. According to Mohd Noor Isa et al. (2017), IoT has increased the volume of data that may be utilized in manufacturing, medical, and even smart city situations [1]. Mohammadi and Taylor (2018) stated that IoT environments, combined with data analytics, serve as a crucial resource for preventive analytics and fault diagnosis, to mention a few. In addition, they also serve as a crucial resource to the evolution of smart cities and the long-term viability of industrial processes, along with helping with defect identification, traffic monitoring, and detection techniques in the delivery of health and care [2]. Digital Twin addresses the difficulty of interconnectivity among IoT and big data analytics by creating a virtual and physical twin that is linked (Digital Twin). Through precise data, a Digital Twin ecosystem enables quick analysis as well as real-time decision-making. According to D. Liu et al. (2018), cities are accountable for more than 75% of the resources and energy consumption and flows used worldwide [2]. Consequently, cities play a crucial role in regulating the intensity of materials and resources. Understanding the urban metabolism of cities is emphasized as a prerequisite for creating more sustainable cities and communities [3,4]. Urban physiology, according to Madni et al. (2019), is the creation and use of numerous natural and exhaustible resources in urban environments, including water, energy, food, and waste [4]. Urban physiology also includes principles from the sustainable society, recycling, waste management, and fluxes of material imports and exports. According to Sepasgozar et al. (2019), advanced digital techniques enable cities around the world to fulfill their sustainability goals [5]. Urban waste management is improved by the use of communications technologies such as sensor and Internet-of-Things (IoT) technologies, artificial intelligence (AI), and data analysis results [6,7]. By investing in DTT, communities want to improve citywide surveillance and administration. Additionally, the growth of the city’s essential services and infrastructures, such as electricity, water, and transportation, is aided by innovative DTT. Using cutting-edge DTT, the city may synchronize its operations and entice residents to participate in urban development initiatives [5,6]. Consequently, municipal operations could become more open and less bureaucratic for residents.
This study discusses the notions of smart city and digital twin technologies as solutions to the urban physiology and sustainable development problems of cities. Fuller et al. (2020) and Olszewski et al. (2019) stated that “smart city” refers to the use of digital technologies such as IoT, big data, and artificial intelligence (AI) to enhance the socioeconomic and environmental results of a city [7,8]. The technique of digital twins depicts both virtual and real representations. With IoT and sensor technology, a dynamic connection may be established among a virtual duplicate and its actual counterpart. The dynamic digital twin connection permits a combination of data, along with the observation of digital twin in its physical and virtual worlds [9,10]. Without the adoption of DTT, it is significantly more uncertain for smart cities to develop and effectively utilize the functionality of other technologies as well [11,12]. Malaysia, as a rapidly developing country, has future plans for smart cities, and this research will provide a foundation framework of barriers to effective DTT implementation for smart city development [13,14].
DTT usage in the construction of smart cities in Malaysia is still beginning, and much work is needed to fulfil its full potential. Nonetheless, this technology may significantly influence various sectors, particularly urban planning, infrastructure management, and even citizen participation [4,15]. DTT may give significant insights into the behavior and performance of cities, which will promote more efficient and considerable decision-making in urban planning [16,17]. For instance, it may be used to simulate various transportation planning scenarios, such as the flow of traffic and public transport use, and to maximize the utilization of resources, such as electricity and water. It may also be used to assess the environmental effect of urban growth and find options for sustainable urban planning [11,12].
DTT is required to develop smart cities in Malaysia for several reasons. First, Malaysia is undergoing fast urbanization, with an increasing number of people residing in urban areas [14,18]. This has resulted in a need for more efficient and effective urban planning and administration to enhance the quality of life for inhabitants. DTT may offer a platform for combining and analyzing data from many sources, as well as helping to construct more sustainable and livable communities.
Malaysia confronts various infrastructure management difficulties, including ageing infrastructure, limited resources, and environmental damage [19,20]. DTT may provide real-time infrastructure monitoring and predictive maintenance, lowering downtime and repair costs [21,22]. It may also be utilized to maximize resources such as electricity and water, hence minimizing waste and fostering sustainability.
Finally, DTT may promote public input and engagement in urban planning and administration. It may allow for a more inclusive and participatory metropolitan government by offering a platform for collecting and analyzing general preferences and behavior data [23]. This promotes social cohesiveness and stability by fostering confidence between people and the government.
Lastly, DTT may create chances for Malaysian businesses to develop and commercialize innovative smart city development solutions, fostering economic growth and competitiveness [24,25]. By encouraging innovation and entrepreneurship, it is possible to promote economic activity and generate employment.
Innovative city development in Malaysia requires DTT to handle the difficulties of urbanization, infrastructure management, public involvement, and economic growth [26,27]. With the right policies, tactics, and investments, DTT may aid in developing Malaysian cities that are more sustainable, habitable, and competitive.
This study presents a complete evaluation of Digital Twin usage, focusing primarily on the challenging factors affecting the implementation of DTT for smart city development in Malaysia. The bulk of the literature focuses on obstacles to digital twin adoption around the world, but behaviors and trends vary from region to region; therefore, there is no study performed within the Malaysian region along with an in-depth structural equation modeling analysis. Most importantly, the study attempts to gather pertinent publications from 2011 onwards in specific fields: construction, digital twin, and smart cities. For the development of DTT in smart cities, it is important to have an effective understanding of the challenges [16,28]. It is practically not possible for the companies and future researchers to increase the smart city development in Malaysia with DTT without knowing the critical factors affecting implementation. The study utilizes a variety of academic sources discovered using keywords associated with IoT and data analytics, with the overarching objective of locating publications pertaining to impediments to the adoption of Digital Twin. The purpose of this project is to address the following research question: What barriers influence the application of DTT for smart city development in Malaysia? Our research examines the current situation of Digital Twins, identifying the IoT or Industrial Internet of Things (IIoT) among the enabling technologies and data analytics. This study highlights the crucial elements affecting how digital twins are used in the advancement of smart cities with the aid of the literature. These factors are then analyzed and categorized based on the opinions of 15 industry experts, and EFA and SEM are used to determine the impact of each identified critical factor. This in-depth research on digital twins for smart city development using structural equation modelling is unprecedented and likely the first of its type in Malaysia.
2. Smart City and Digital Twin
The smart city idea has played an important part in the digital transformation of cities. A simplistic and limited definition of a smart city is a city that employs current DTT to enhance municipal services, infrastructure, and the quality of life for its residents. However, a larger description complements the sociotechnical approach and considers, with an environmental and economic perspective, the smart city [29,30]. For example, Kee and Ching (2020) describe a smart city as one in which “investments in human and social capital and traditional (transport) and modern ICT communication infrastructure fuel sustainable economic growth and a high quality of life, with a prudent management of natural resources and a participatory government [31].” In European contexts, the European Commission considers a smart city as “a location where traditional networks and services are made more efficient through the use of digital and telecommunication technologies,” and that “a smart city goes beyond the use of information and communication technologies (ICT) to improve resource utilization and reduce emissions” [32,33]. In developed countries, it has developed a strategy to promote urban development via the use of DTT. Shamanna et al. (2020) stated that, to bolster smart city projects, the European Union has invested in the development of smart cities and DTT to renovate and modernize constructions, energy networks, public transit, and waste disposal systems in European towns [34]. European towns have aggressively reacted to the European Union’s demand for change by forming partnerships with companies and academic institutions. Consequently, for more sustainable urban development, new versions and strategies have emerged [20,21]. According to Laamarti et al. (2020), the smart city development concept is gaining traction in the Malaysian context, but there must be adequate implementation plans based on digital advancements and other cutting-edge technological adoptions [35]. In our research, the primary objective was to identify the critical constraints that impede the adoption advancement of DTT of smart cities in Malaysia.
Product design and production design have embraced digital twin, but other sectors, including aircraft, robotics, nautical, medicine, and power, have lately reaped the benefits of this technology [36,37]. Austin et al. (2020) stated that because virtual simulation technologies have matured alongside advanced digital technologies such as data collecting and virtual manufacturing technologies, DTT usage has expanded [38]. Computer-aided design (CAD), which enables the production and depiction of stable three-dimensional (3D) products, is the basis for digital twin. Digital twins give a more dynamic portrayal of a 3D-designed product or solution than CAD-designed products [39,40]. It is proposed that, in the best-case scenario, a digital twin’s characteristics and information are identical to those of its physical counterpart. Kwak (2020) claimed that the usage of digital twins is common for modelling, monitoring, and control, as well as for computing and managing system status and processes [41]. A digital twin, which simulates the technology in question, increases the possibilities for studying; for instance, the behavior of a 3D-designed solution in virtual reality. Digital twins also allow for the investigation and testing of the effect of physical pressures on created objects [3,42]. For verification purposes, a digital twin enables the representation and understanding of the characteristics and current situations of a physical and virtual entity [23]. Innovative digital technologies, such as IoT, and high-speed connections, such as 5G, expand the ability to synchronize as well as the ways of assessing virtual and physical objects. Bhatti et al. (2021) and Deren et al. (2021) found that the control aspect encompasses instances where digital twins directly affect goods or industrial assets and allow remote, real-time control of physical items [21,43].
The link among the digital and physical equivalents is a crucial component of the digital twin. A physical object with a one-way link to its virtual equivalent is referred to as having a one-directional connection [22,44]. A one-way data transfer and connection are also known as a digital shadow. A digital shadow is defined as “a change in the state of the physical item that causes a change in the state of the digital object, but not the other way around.” According to Mylonas et al. (2021), a bidirectional connection refers to a digital twin that connects a real thing to its virtual counterpart [45]. Utilizing dispersed computing devices and data systems with data and real-time communication, bidirectional connectivity is created. Bidirectional communication allows the digital twin to autonomously operate its physical counterpart [46,47,48]. A bi-directional connection consists of several levels, such as various data sources, hardware and software, sensors, data connections, and cloud environments [12,49].
When creating and integrating IoT components, such as linked devices, gateways, and apps into a digital platform, cloud-based digital platforms have become popular. Cloud-based platforms allow for the creation, deployment, and growth of IoT ecosystems to be managed. In the framework of smart cities by Deng et al. (2021), as well as Rafsanjani and Nabizadeh (2021), to merge both virtual and actual smart city elements, digital twin systems have been developed [39,40]. Several cloud applications, such as Smart World Pro, Open Cities planner, and Portal of Confidence, make use of data from diverse sources related to smart cities. Smart World Pro creates a concurrent digital copy of actual smart city components using 3D city models, building and geospatial data, IoT devices, and other datasets. For smart city organizations, the Smart World Pro interface gathers and visually displays smart city projects under the work plan [41,42,43].
Smart city designers can integrate data types like 3D models, pictures, documents, and geographical data, along with vector data using the Open Cities planner framework [44,45]. Any web browser can use the scaled Open Cities planner, which improves the ability to create and experience cities from a roadside perspective to a larger city-level vision. Data from numerous providers and data sources are combined on the Portal of Trust. The Platform of Trust uses standardized data to improve data interoperability and provider credibility. The system enables data integration for small-to-large-scale applications and is scalable.
3. Methodology
This research intends to increase the effectiveness of sustainable construction sector delivery in smart city development in Malaysia by investigating and addressing implementation hurdles for Digital Twin Technology (DTT). Figure 1 displays the research methodology. The overall methodology is framed to answer the research question: What barriers influence the application of DTT for smart city development in Malaysia? The literature was examined to determine the obstacles to DTT implementation. The hypothesized framework, along with all research hypotheses, are presented in Figure 2. As a result, a questionnaire was designed to evaluate these difficulties. Stakeholders in the building business include designers, quantity surveyors, engineers, constructors, contractors, operators, special individuals, management specialists, employees, construction administrators, employees, and proprietors of the building locations.
Figure 1.
Research methodology.
Figure 2.
Hypothesized framework.
3.1. Qualitative Assessment
A qualitative questionnaire addressing challenges in implementing DTT in Malaysian smart city construction projects was developed for semi-structured interviews. Various research indicates varying minimum sample sizes for semi-structured interviews. Interviews are descriptive in nature. Thus, gathering as much data as possible is always the goal. Time constraints often reduce the size of focus groups and interview panels. Taylor et al. (2021) agree that a minimum sample size of 10–20 should be used for qualitative interviews [50]. However, Duch-zebrowska and Zielonko-jung (2021) argue that interviewees should include five-to-fifty specialists [11]. Therefore, 15 professionals presently engaged in the construction business in Malaysia were asked to take part. Executives and project managers, who oversee implementing DTT on construction projects, were the ones who were most likely to be questioned. Three interviewees had to be questioned over the phone via conference call since they couldn’t make the in-person encounter, while the other interviewees were met at their homes or offices [20,51]. Table 1 is presenting the research variables focused throughout the study.
Table 1.
Research variables and their description.
To conduct a thorough content analysis and label the respondents’ responses, we utilized the qualitative analysis programme NVivo. As can be seen in Table 2, the study uncovered a total of four key areas, including: personalization, standardization, knowledge, and operational barriers. The final framework, which incorporates all findings from the literature research and interview analysis, is based on 15 criteria retrieved from the content analysis and organized into four core categories.
Table 2.
Constructs and variables.
Following hypotheses are devised based on the constructs and their hypothesized relationship to latent variable digital twin implementation.
- HI: Personalization factors have significant impact on digital twin implementation for smart city development.
- H2: Standardization factors have significant impact on digital twin implementation for smart city development.
- H3: Knowledge factors have significant impact on digital twin implementation for smart city development.
- H4: Operation factors have significant impact on digital twin implementation for smart city development.
3.2. Pilot Survey and Main Questionnaire Survey
According to the Construction Industry Development Board, out of Malaysia’s total of 39,158 small construction enterprises, around 80% are engaged in minor construction projects (CIDB). The 15 obstacles to DTT discovered via interviews were the subject of a preliminary study. A preliminary survey with closed-ended questions was developed from a list of 15 obstacles to DTT. Although 250 pilot survey questionnaires were sent out, it was judged that a sample size of at least 100 will be sufficient. All respondents were employed by relatively obscure Malaysian building firms. A total of 152 real pilot surveys were conducted from 250 divisions. Data from the pilot survey were assessed using exploratory factor analysis (EFA). Instead of forcing a structure onto the data, exploratory factor analysis (EFA) investigates the likely underlying factor structure of a set of observed variables and whether the suggested combination of variables or features is acceptable. The DTT barriers of 15 are within the permitted range of 20 to 50, making EFA a valid test in this scenario when the sample size is among 150 and 300 [62,64]. The sum of the replies multiplied by the number of questions in the survey should be larger than the sample size [65,66]. Because 152 was larger than 120, the data from this pilot survey are adequate for EFA assessment. The Kaiser–Mayer–Olkin (KMO) and Bartlett’s Tests were performed to find whether the sample was representative and whether or not its members were statistically similar. According to Thiong’o and Rutka (2022), the KMO test index may vary from 0 to 1, with findings greater than 0.6 being regarded adequate for elucidating the nature of correlations among variables [17]. Bartlett’s Test, a factor analysis sphericity evaluation method, accepts a p-value of less than 0.05. EFA, KMO, and Bartlett’s Test were all performed using SPSS 24.0.
The target sample size for the quantitative survey that will analyze the primary questionnaire is 207, with a minimum of 100. The primary questionnaire survey, which originated from EFA, had questions on 15 unique obstacles to DTT. In order to analyze response rates effectively, demographic information was also gathered. Three hundred fifty Malaysian contractor firms specializing in DTT construction received the survey. Analysis was accomplished with the use of Structural Equation Modeling (SEM). In the 1980s, SEM was developed as a method for testing hypotheses regarding the relationships among latent variables and the observed data. The first model in structural equation modelling (SEM) is the measurement model, and it uses Confirmatory Factor Analysis (CFA) to enrich the model by validating the validity and reliability of the measuring variables against pre-set criteria, thereby linking the constructs with the latent components [62,65]. The second model, a structural one, calculates variances, tests assumptions, and adjusts those that best represent the data. Opoku et al. (2022) and Thiong’o and Rutka (2022) stated that fine-tuning the conceptual model to the point where it can be utilized to test the hypothesis involves exchanging the correlation among the components for the postulated causal relationships [15,17]. Based on the results of an EFA analysis performed on the previously identified obstacles to BIM obtained from the aforementioned literature research, a conceptual framework for SEM assessment was constructed in this study.
3.2.1. EFA Analysis
Exploration Factor Analysis (EFA) is indeed a statistical technique used to determine the structure underlying a collection of observed data. In psychological, sociology, and marketing research, it is often employed to uncover latent constructs that may explain the correlations between a large number of observable variables. EFA seeks to uncover a smaller collection of latent variables or underlying factors that explain the bulk of the observable variables’ covariance structure. Major et al. (2021) and D. Yang et al. (2021) claimed that PCA is the primary state of several numerical software programmes, and that is widely utilized in EFA [62,64]. The researcher and data determine the factor loading range. Some studies prefer −1 to 1, whereas others prefer 0 to 1. Data type affects range selection. A range of −1 to 1 may not be suitable for binary or dichotomous variables. EFA may also provide the communality, that is the percentage of variation in every observed variable, which is accounted by all factors, and the factor loadings. EFA simplifies complicated observable variables and identifies hidden components. EFA is exploratory, thus, findings should be considered cautiously. Confirmatory factor analysis is typically needed to validate EFA factors. In PCA, the Varimax rotation is more suited [61]. Typical unsolved theories limit particulars. Total amount of variables would be regarded as a prototypical sample within the appropriate intervals. Therefore, 15 examined factors and questionnaires aimed at 207 people are utilized to generate information for work and are deemed suitable for PCA.
3.2.2. Developing PLS-SEM Model
Limited Least Squares Structural Equation Modeling (PLS-SEM) is indeed a statistical method for analyzing the relationships between a collection of independent variables and a group of dependent variables. It is a kind of structural equation modelling that is beneficial when there are a high number of variables relative to a sample size [71]. Numerous sorts of studies on the PLS–SEM method have been published in contemporary publications [46,72]. Current SMART–PLS 4 technology was used for DTT implementation barriers significance modelling and data analysis using SEM. Initial support for the PLSSEM was based on its superior prediction concepts, which are match with the covariance-based SEM (CB–SEM); nevertheless, the variances across binary approaches be rather modest. This paper’s statistical study comprised structural and dimensional evaluation methodologies.
3.2.3. Common Method Variance
The CMV makes a correlation among variances that may be ascribed to ideas and measuring instrument types. The private data may inflate during studied connections; as a result, difficulties may arise [69]. Considering that investigated data is private, singular, and derived from one source, this might be crucial for this research. Consideration of these factors is essential for detecting deviations from conventional practice. Kaewunruen et al. (2021) used the formal one-factor test developed by [70]. The factor analysis revealed one element is considered for a significant amount variation.
3.2.4. Measurement Model
Dimensionality illustrates connection among the variables and underlying structure. The next sections discuss the convergent and discriminant validity of the dimension model.
3.2.5. Convergent Validity
The degree of concordance among two indicators or tools of the same notion is shown by convergent validity (CV). It is acknowledged as a factor in construct validity. Three methods [9] can be used to evaluate the CV of the predicted constructs in PLS: average variance extracted, Cronbach’s alpha, and composite reliability scores. The acceptable top limit for aggregate uniformity was proposed by D. Liu et al. (2018) and Mohammadi and Taylor (2018) to be a Pc value of 0.7 [2,3]. Values of 0.7 and 0.6 for exploratory assessment are deemed appropriate for all studies [4,5]. The AVE, a common measurement employed in the dimension model to assess the components of the CV, was the most recent. Acceptable CV values are those greater than 0.50.
3.2.6. Discriminant Validity
Overall discriminant validity (DV) suggests investigated events are systematically unique and that no dimension identifies the uniqueness examined in SEM. Mohd Noor Isa et al. (2017) argued that for DV to be undertaken, the correlation across various pointers or tools should be substantially greater [1].
3.2.7. Structural Assessment Model
The purpose of this research was to investigate and rank DTT application obstacles utilizing SEM method. To do this, the route or path coefficients here, among estimated coefficients, should be recognized. Consequently, the basic linkage or route interaction among DTT £ tools and DTT µ obstacles was postulated. Consequently, the essential link among £, µ, and €1 rule inside the structural model, that is referred to interior relation, may represent linear behavior Equation (1):
µ = β£ + €1
Here, (β) is route coefficient connecting components of DTT adaptation obstacles, (€1) is indeed the structural severity residue variance expected to occur, and (£) is the standardized regression load, analogous to the load many model of regression type [5,74]. Indications are concurrent by model’s estimates along with experimentally significant [46,47,48]. Regarding CFA, a fundamental approach from SMART–PLS 4 software program determines route coefficient’s common errors. It is conducted on 5000 subsamples according to proposal of Schimanski et al. (2019) and Sepasgozar et al. (2019) that specifies the statistics for assessing the hypothesis [6,75]. In addition, using the PLS model, four equations relating to structure involving DTT constructs application hurdles are generated, revealing inherent connections among Equation (1) and ideas.
4. Results
4.1. The EFA of DTT Barriers
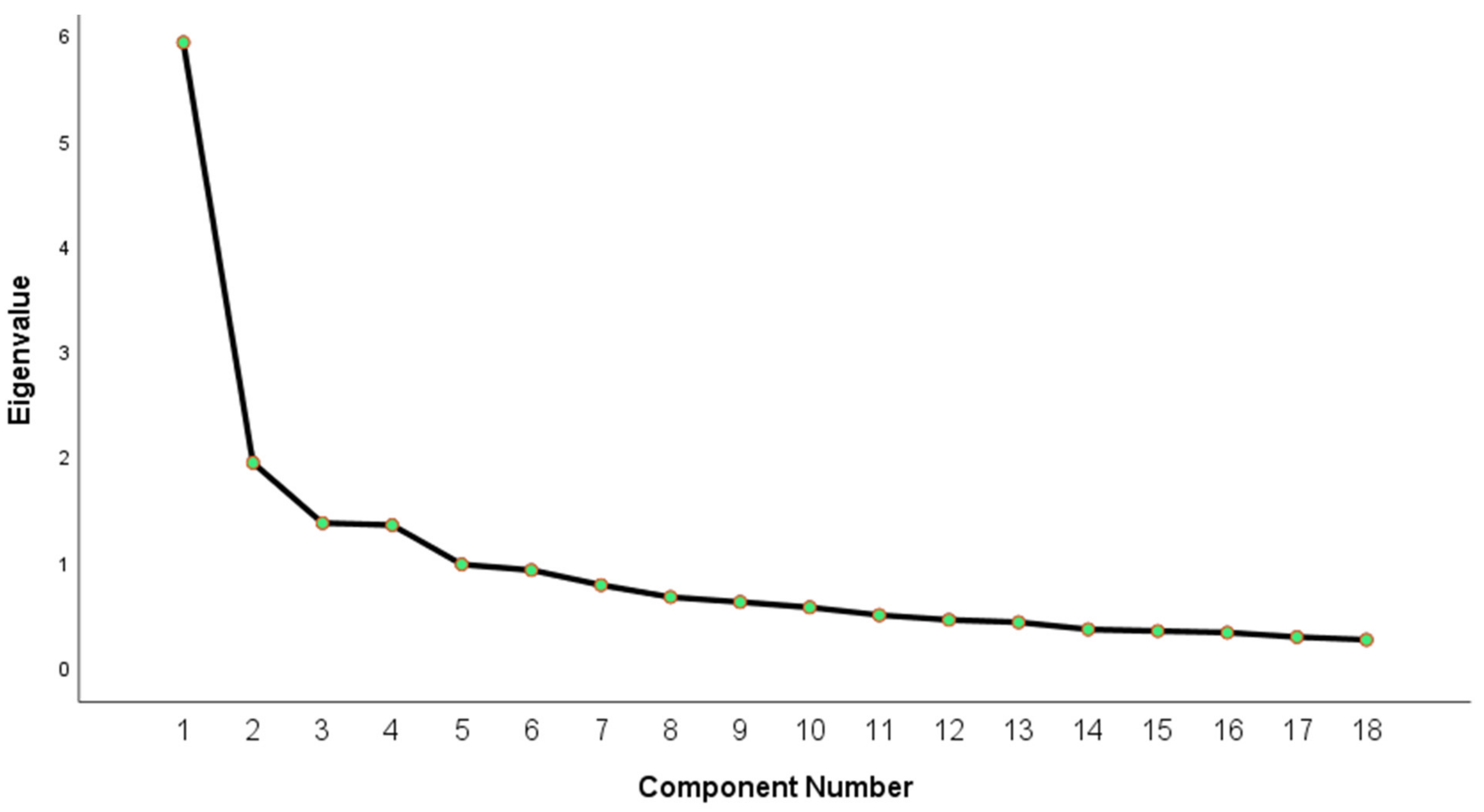
This study focused on the challenges to RFID implementation in Malaysia’s construction sector. The selecting technique used in this study has made it quick and easy to gather information from the individuals who have been recognized. The magnitude of the research population led to the adoption of the investigative methodology. Sample population for EFA must include among 45 and 61 study populations. On the other hand, all appropriate statistical tests are run. Three hundred fifty individuals were asked to participate in this study, and 207 responses were gathered, exceeding the required number. It was accepted for further investigation because it made up 60% of the return rate. In the first element of the survey tool, the demographic traits of the respondents were gathered. The DTT used a five-point Linkert Scale to rank its barriers: Very High (5), High (4), Average (3), Low (2), and Very Low (1). To take the relationship into account, many clearly stated factors were in use. The Kaiser–Meyer–Olkin Measure (KMO), which is frequently used to determine if proportional correlations among variables are the least possible, can be used to measure factor similarity. The KMO sampling adequacy estimate indicated that the data return rate was sufficient to conduct factor analysis. In the same line, the relationship appropriateness among the highly powerful methods is suited for Bartlett’s sphericity test. The evaluation determined if the sampling strategy or the data set are suitable for factor analysis. KMO = 0.816 was used in the sampling suitability test because it is appropriate for factor analysis. The results revealed that the predicted Chi2 for the obtained p-value was 1006.545. Bartlett’s test was, therefore, considered important by the analysis (p = 0.00). It suggested that there was a substantial association in the data matrix. Additionally, it showed that the correlation analysis for each of the given variables was highly associated at a 0.50 level. As a result, the EFA’s output was satisfactory. The construction industry’s RFID obstacles’ application domains are described by the amount of variance. Four elements with eigenvalues greater than one were identified by the PCA [2].
These elements accounted for 58.722% of the overall variance. A scree plot is shown in Figure 3 with the variables on the x-axis and the eigen vectors on the y-axis. It also showed a declining tendency. The entire number of elements that the model must output can be seen at the point where the curve’s slope begins to flatten out [6]. It is interesting that one important goal of multiple regression was to reduce the number of factors needed to adequately describe the complex construct of DTT obstacles found in the component matrix for the Malaysian construction sector. Table 3 provides the rotational factor matrix for DTT adoption hurdles in the Malaysian construction sector. The model, which featured four main elements or obstacles, was excellent for illustrating the importance of DTT in the advancement of smart cities in Malaysia. It is important to first draw attention to the four factors or variables while describing the four key elements. Only one of the sets is strongly affected by each factor [7]. In order to classify the concepts into minor elements found in the literature, customization, standardization, functional, and information were used.
Figure 3.
Scree plot.
Table 3.
EFA results after rotation.
4.2. Demographics of Main Questionnaire Survey
The demographic details of the respondents involved in this study are given in Table 4. In total, 9.9% of responders were quantity surveyors, 10.89% were architects, 59.41% of respondents were civil engineers, 6.93% were mechanical engineers, and 2.97% were other professions. This distribution demonstrates that the Malaysian construction industry’s most prominent specialists were well-represented. In total, 26.73% of respondents had 5–10 years of work experience, 25.74% had less than 5 years, 34.65% had 11–15 years, 6.93 % had 16–20 years, and 5.94 % had 21 years or more of experience. This indicates that the respondents have sufficient expertise to give accurate and informative data for this research.
Table 4.
Demographic profile.
4.3. Common Method Variance
The discrepancy of the typical technique was determined by examining a single element [13]. If the overall variance value of the element was less than 50%, the conventional method variance (CMV) had no effect on the data, as indicated in Table 5. In addition, the analyses indicated that the initial components accounted for 29.246% of the overall variation. It suggested that the CMV had no effect on the outcomes since its prevalence was below 50% [13].
Table 5.
CMV Results.
4.4. Measurement Model
The analytical respondents expressed, according to Fuller et al. (2020), included estimations of (i) indicator consistency; (ii)composite reliability; (iii); (iv) discriminant authenticity; (v); and (iv) lastly, (AVE) average variance extracted (avg) [10]. The PLS approach, as defined by Sepasgozar et al. (2019), was employed in this study, with a maximum of 300 cycles, weighed lessons, an evaluate, path-weighing, Variance 1, data measurement with a mean of zero, beginning weights of 1, and an abort threshold of 1.0 × 1–5. In general, markers with various resources among 0.4 and 0.7 were only evaluated for exclusion from the scale if doing so significantly increased the AVE and composite reliability [5,8]. As indicated by Dembski et al. (2020), variables with external loadings of less than 0.70 were deemed compatible with criteria and eliminated from any further analysis [9]. It showed the threshold when the indicator’s variance could be explained by its own element to a degree of about 50%, as well as the threshold at which the reported disparity exceeded the variation error [76]. Additionally, the external loadings of the variables in the updated and initial models are shown in Figure 4 and Table 6. Hence, the exterior loading of DTT.FP1 was below the criterion and exhibited cross-loading in the first EFA analytic model. Therefore, it was deleted prior to the SEM analysis. In the SEM analysis, the factor DTT.FO2 was omitted. It has been shown that its influence on the related concept is negligible. In addition, a revised model was examined after eliminating variables deemed irrelevant by Cronbach’s alpha bounds. It evaluated sensitivity with respect to the number of confounding variables and the dependability reliability coefficient (CR) [77]. According to research, CR values greater than 0.7 were regarded appropriate for this investigation. Likewise, CR values greater than 0.6 are regarded suitable for research assessment [7]. According to Table 5, all models achieved a CR value greater than 0.7 and were, thus, acceptable. A popular approach for evaluating the convergent validity of the constructs inside the model is AVE, which has values greater than 0.50. It suggested a reasonable convergent value that matched. According to the data in Table 3, all of the model’s ideas passed the evaluation. Further, Table 7 is indicating the empirical correlation matrix for all of the items involved in the modelling. Acceptable correlations are observed between the items indicating better performance of the model.
Figure 4.
Structural model with path coefficients.
Table 6.
Construct validity and reliability.
Table 7.
Empirical correlation matrix.
4.5. Structural Model
According to Table 5, all models achieved a CR value greater than 0.7 and were, thus, acceptable. A popular approach for evaluating the convergent validity of the constructs inside the model is AVE, which has values greater than 0.50. It suggested a reasonable convergent value that matched. According to the data in Table 6, all of the model’s ideas pass the evaluation. After obtaining a through using the reported standard, if there is a statistically significant distinction among the constructs, the discriminant validity may be precisely defined (DV) [74,75]. Establishing discriminant validity, thus, defines singularities that are inadequately characterized by other model components. The DV may be computed using three methods: in the hetotrait–monotrait correlation ratio (HTMT), Fornell–(1981) Larcker’s criteria, and the cross-loading criterion [2]. To evaluate the DV, the square root of the AVE of the distinct relationship was examined to the constructs, among a specific idea and the other concepts. The under root of the AVE must be bigger than the relations among the hidden variables, according to the Fornell and Larcker criteria [75]. The results of this investigation established the analytical model’s DV, as presented in Table 8. In contrast, several researchers have disregarded the Fornell and Larcker conventional DV criteria. HTMT was proposed as an alternative method for calculating DV. It is a unique method for calculating the DV of variance-based SEMs and determining whether there is a precise relationship among binary constructs if the two factors are correctly evaluated; that is, if the two constructs are regularly assessed. In this study, the HTMT model is also used to analyze the DV [6]. In this study, the HTMT value needed to have fallen among 0.85 and 0.90. It implied that each of two variables was distinct. Model constructs needed to have HTMT values that were less than 0.90 to be conceptually similar [5]. The model’s hypothetical constructs needed to be diverse if the HTMT values were less than 0.85. Table 9 presents the HTMT values for the examined study hypotheses. Therefore, the structures displayed appropriate DV.
Table 8.
Correlation of latent variables.
Table 9.
HTMT results.
In this study, the third method, the cross-loading criteria, was used to estimate DV. The method predicts that the loading of the identifiers for a certain hidden variable should have value greater than the loading of other variables per row. It was suggested that the loading of the residual constructs should be bigger than the loading of the signals for the variables. The loading of Table 10 demonstrates that the cross-loading on the additional factors per row was less important than for the basic indications on the allocated concealed construct. Individual constructs were shown to be significantly unidimensional, according to the results.
Table 10.
Cross loading with discriminant validity.
4.6. Structure Model Assessment
As soon as the DTT implementation in smart city development was defined, the variable inflation factor (VIF) analysis could be employed to better analyze the relationship among the variables and formative construct objects of the constructs as a fundamental concept [2]. In addition, the data indicated that every VIF score was less than 3.50, as indicated in Table 11. It suggested that these subdomains independently supported the higher-order concept. In addition, a bootstrapping method was used to predict the influence of the route coefficients. As shown in Figure 5 and Figure 6, all pathways are calculatedly important at the 0.01 level.
Table 11.
SEM path significance results.
Figure 5.
Structural model after bootstrapping analysis with path coefficients and significance.
Figure 6.
Model with loading factors and significance p-statistic.
5. Discussion
In the personalization construct, the significant barriers are: DTT.FP2 “Lack of visionary leadership,” DTT.FP3 “Trust,” DTT.FP4 “Expectations,” and DTT.FP5 “Privacy and Security.” The personalization construct further indicated the path coefficient of 0.375 with the implementation of DTT for smart city development. The most significant barrier from a personalization perspective is found to be privacy and security, as they are creating a negative impact on the effective implementation of DTT for smart city development. The least important factor that contributes to personalization is a lack of vision in leadership, as it is also regarded by previous studies as a contributing factor in effectively improving DTT for smart city development. The observed behavior is indicating a highly significant relationship of personalization barriers that are creating a negative impact on the implementation, and it can be entirely attributed to the data sharing capability of smart cities as it can ultimately affect the privacy of the overall information of residents [5,75]. It is the reason that the significant gap in smart city development is present in Malaysian contacts, which is identified by the study, and it is entirely different from existing research where the crucial evidence of personalization bias is not identified. Comparatively, the outcomes are more effective in terms of creating impact on the final implementation of DTT, which can be compromised if proper actions are not taken [8]. It is for this reason that effective identification has indicated possible implications for improving DTT if personalization is improved. The results of personalization construct may be valid for other countries on the path of developing smart cities in the future, which is because of the fact that countries with similar environmental and economic abilities can face similar barriers when implementing DTT [78,79].
In the standardization construct, the significant barriers are: DTT.FS1 “IT Infrastructure,” DTT.FS2 “Useful Data,” DTT.FS3 “Standardized Modelling,” and DTT.FS4 “Domain Modelling.” The standardization construct further indicated the path coefficient of 0.346 with the implementation of DTT for smart city development. IT infrastructure is not much advanced in the context of Malaysian smart city development, and it is still in the development phase, which is why there is space in adopting the DTT. Overall, the industry cannot be adopted because it will be highly negative in terms of affecting the efficiency of new technology in smart city development projects. For that reason, it needs a specific intervention that focuses on the development of IT infrastructure first. The indicated behavior is different from Cheng and Cheah (2020) and Dembski et al. (2020), where more preference is not given to improving IT infrastructure, but it is relatively linked with other issues such as the requirement of effective standardization and improving data management [9,10]. It is, for this reason, that the unique aspect of overall barriers is observed in this scenario, where the implementation of DTT can be accelerated with proper adjustments in IT infrastructure at first before moving towards the mitigation of other barriers. This can ultimately contribute to increasing the positive outcomes for Malaysian smart city development, where the future domain modeling barrier, as well as the effective standardization of different factors, can achieve better development in technology. Standardization construct factors can be the barriers that other countries also face when implementing DTT, which is because of the fact that most other countries are also facing challenges when implementing DTT [78,79].
In knowledge construct, the significant barriers are: DTT.FK1 “Being unprepared for change,” DTT.FK2 “Unclear ecosystem support,” and DTT.FK3 “Keeping it fit-for-purpose.” The knowledge construct further indicated the path coefficient of 0.374 through the use of DTT to develop smart cities. The unclear ecosystem support is found to significantly affect the implementation of DTT in the smart city development of Malaysia. People are reluctant to adopt the new technology for smart city development, and the whole construction sector is not contributing well because of the knowledge gap that is always created by the overall ecosystem of the construction industry. Further, it is identified that other factors are also contributing to the knowledge barrier in the adoption of DTT. The difference in results is indicated by the high significance given to the overall ecosystem knowledge barrier [29,30]. It is also different from the perspective of previous implications where the smart city development barriers are not indicated more specifically with the knowledge gaps that are coming and the responsibility of the whole construction ecosystem. This increases the demand for sustainable interventions that do not only improve the knowledge of people who are trying to adopt the new technology for smart city development, but will also require sustainable development for future workers in the smart city development industry [26,59]. It should be noted that there is a need to maximize the understanding of the overarching knowledge gap in the industry, which could easily provide future outcomes for the development of DTT.
In operational construct, significant barriers are: DTT.FO1 “Maintaining reliable operation,” and DTT.FO3 “Bringing it all together.” The operational construct further indicated the path coefficient of 0.300 with the implementation of DTT for smart city development. Reliable operations are always important in smart city development, and as indicated by the study, it is evident that the operational construct indicates barriers in the maintenance of proper and reliable operations that might result in the DTT’s contribution to the sustained growth of smart cities. It is a highly important factor in terms of increasing the efficiency of overall development projects where operational barriers can be effectively removed if more attention is given to maintaining reliable operations. Existing studies have also indicated similar behavior [27,60]. The unique aspect of this construct is that it has shown significantly less relativity with the implementation of DTT for smart city development as its path coefficient is lower as compared to the other three constructs. This is significant in terms of raising further awareness and also increasing the chances of success where the operational and other constructs can contribute well to the development of smart city projects if the barriers are removed according to the significance level indicated in each construct [62,64]. Further, it is clear that all the constructs indicate barriers that could lead to the appropriate implementation of DTT, and positive implications are observed that could be used in both a practical and theoretical manner to contribute to the development of smart city projects with DTT.
6. Conclusions
The development of smart city projects in Malaysia is highly affected by barriers related to personalization, knowledge, standardization, and operations. It was the aim of the study to contribute to effectively identifying the barriers that affect the implementation of DTT for smart city development projects in Malaysia. The quantitative method involving the pilot study on which the exploratory factor analysis was conducted was adopted, and then the main questionnaire survey was carried out, which resulted in the development of the structure equation model. A total of 15 barriers were initially investigated, which ended up showing 13 barriers that are significantly related to affecting the implementation of DTT for smart city development projects in Malaysia. The research question was answered along with significant evidence of acceptance of all research hypotheses. The highest relationship among barriers is observed in the case of personalization, where the issue of privacy is creating problems for implementing DTT. The knowledge gap, along with the lack of standardization, contributed in affecting the application of DTT. The weakest relationship is observed in cases of operational barriers, which are not contributing well to the application procedure of DTT. From a theoretical perspective, it is evident that the research has contributed to mitigating the gap in existing research where there was a significant need for the identification of current barriers affecting the implementation of DTT for smart city development. It is indicated that the future researchers should focus on various identities in terms of providing suitable mitigation methods that could help the overall smart city development and relevant construction industry of Malaysia to easily adopt DTT. The research has to continue in the direction of the development of mitigation techniques, as the industry of smart cities in Malaysia needs proven techniques to accelerate its development. Practically, the study has highlighted the barriers for professionals who are currently working on smart city development projects in Malaysia, and they need to divert their attention to the identified barriers and their significance. This will ultimately lead to the overall development of smart cities in a positive direction, which will ultimately be better for Malaysia’s urban construction industry in the future.
Author Contributions
Conceptualization, A.W. and I.O.; methodology, A.W.; software, H.A.; validation, S.A.; formal analysis, A.A.M.E.; investigation, H.A.; resources, H.A.; data curation, A.A.M.E.; writing—original draft preparation, S.A., A.W.; writing—review and editing, A.W., H.A.; visualization, M.B.K.; supervision, I.O.; project administration, I.O.; funding acquisition, S.A., H.A., A.A.M.E. All authors have read and agreed to the published version of the manuscript.
Funding
This research received no external funding.
Informed Consent Statement
Informed consent was obtained from all subjects involved in the study.
Data Availability Statement
The data is not publically available.
Acknowledgments
The researchers would like to acknowledge Deanship of Scientific Research, Taif University for funding this work.
Conflicts of Interest
The authors declare no conflict of interest.
References
- Isa, M.N.; Hua, T.C.; Jazuli, A.R.M.; Shaharuddin, S.; Yusof, S.N.M. Cadastral in Supporting Smart Cities in Malaysia. In Proceedings of the FIG Working Week 2017 Surveying the World of Tomorrow—From Digitalisation to Augmented Reality, Helsinki, Finland, 29 May–2 June 2017. [Google Scholar]
- Liu, D.; Guo, K.; Wang, B.; Peng, Y. Summary and perspective survey on digital twin technology. Yi Qi Yi Biao Xue Bao/Chin. J. Sci. Instrum. 2018, 19, 1–10. [Google Scholar] [CrossRef]
- White, G.; Zink, A.; Codecá, L.; Clarke, S. A digital twin smart city for citizen feedback. Cities 2021, 110, 103064. [Google Scholar] [CrossRef]
- Ozturk, G.B. Digital Twin Research in the AECO-FM Industry. J. Build. Eng. 2021, 40, 102730. [Google Scholar] [CrossRef]
- Asri, N.A.M.; Ibrahim, R.; Jamel, S. Designing a model for smart city through digital transformation. Int. J. Adv. Trends Comput. Sci. Eng. 2019, 8, 345–351. [Google Scholar] [CrossRef]
- Schimanski, C.P.; Monizza, G.P.; Marcher, C.; Matt, D.T. Pushing digital automation of configure-to-order services in small and medium enterprises of the construction equipment industry: A design science research approach. Appl. Sci. 2019, 9, 3780. [Google Scholar] [CrossRef]
- Fuller, A.; Fan, Z.; Day, C.; Barlow, C. Digital Twin: Enabling Technologies, Challenges and Open Research. IEEE Access 2020, 8, 108952–108971. [Google Scholar] [CrossRef]
- Olszewski, R.; Cegiełka, M.; Wesołowski, J. The Concept and Development of a Serious Game „Alter Eco” as Part of Creating a Digital Twin of a Smart City. In Proceedings of the Lecture Notes in Computer Science (Including Subseries Lecture Notes in Artificial Intelligence and Lecture Notes in Bioinformatics), Arequipa, Peru, 11–15 November 2019. [Google Scholar]
- Dembski, F.; Wössner, U.; Letzgus, M.; Ruddat, M.; Yamu, C. Urban digital twins for smart cities and citizens: The case study of herrenberg, germany. Sustainability 2020, 12, 2307. [Google Scholar] [CrossRef]
- Cheng, K.H.; Cheah, T.C. A study of Malaysia’s smart cities initiative progress in comparison of neighbouring countries (Singapore & Indonesia). J. Crit. Rev. 2020, 7, 47–54. [Google Scholar] [CrossRef]
- Duch-zebrowska, P.; Zielonko-jung, K. Integrating digital twin technology into large panel system estates retrofit projects. Urban Plan. 2021, 6, 164–171. [Google Scholar] [CrossRef]
- Xie, R.; Chen, M.; Liu, W.; Jian, H.; Shi, Y. Digital twin technologies for turbomachinery in a life cycle perspective: A review. Sustainability 2021, 13, 2495. [Google Scholar] [CrossRef]
- Madni, A.M.; Madni, C.C.; Lucero, S.D. Leveraging digital twin technology in model-based systems engineering. Systems 2019, 7, 7. [Google Scholar] [CrossRef]
- Chen, C.; Zhao, Z.; Xiao, J.; Tiong, R. A conceptual framework for estimating building embodied carbon based on digital twin technology and life cycle assessment. Sustainability 2021, 13, 13875. [Google Scholar] [CrossRef]
- Opoku, D.G.J.; Perera, S.; Osei-Kyei, R.; Rashidi, M.; Famakinwa, T.; Bamdad, K. Drivers for Digital Twin Adoption in the Construction Industry: A Systematic Literature Review. Buildings 2022, 12, 113. [Google Scholar] [CrossRef]
- Ramu, S.P.; Boopalan, P.; Pham, Q.V.; Maddikunta, P.K.R.; Huynh-The, T.; Alazab, M.; Nguyen, T.T.; Gadekallu, T.R. Federated learning enabled digital twins for smart cities: Concepts, recent advances, and future directions. Sustain. Cities Soc. 2022, 79, 103663. [Google Scholar] [CrossRef]
- Thiong’o, G.M.; Rutka, J.T. Digital Twin Technology: The Future of Predicting Neurological Complications of Pediatric Cancers and Their Treatment. Front. Oncol. 2022, 11, 781499. [Google Scholar] [CrossRef]
- Torrecilla-García, J.A.; Pardo-Ferreira, M.C.; Rubio-Romero, J.C. Overall introduction to the framework of BIM-based digital twinning in decision-making in safety management in building construction industry. Dir. Organ. 2021, 74, 31–38. [Google Scholar] [CrossRef]
- Agnusdei, G.P.; Elia, V.; Gnoni, M.G. Is digital twin technology supporting safety management? A bibliometric and systematic review. Appl. Sci. 2021, 11, 2706. [Google Scholar] [CrossRef]
- Lim, S.B.; Malek, J.A.; Yigitcanlar, T. Post-materialist values of smart city societies: International comparison of public values for good enough governance. Future Internet 2021, 13, 201. [Google Scholar] [CrossRef]
- Bhatti, G.; Mohan, H.; Raja Singh, R. Towards the future of ssmart electric vehicles: Digital twin technology. Renew. Sustain. Energy Rev. 2021, 141, 110801. [Google Scholar] [CrossRef]
- Farouk, A.M.; Rahman, R.A.; Romali, N.S. Economic analysis of rehabilitation approaches for water distribution networks: Comparative study between Egypt and Malaysia. J. Eng. Des. Technol. 2021, 21, 130–149. [Google Scholar] [CrossRef]
- Teisserenc, B.; Sepasgozar, S. Project data categorization, adoption factors, and non-functional requirements for blockchain based digital twins in the construction industry 4.0. Buildings 2021, 11, 626. [Google Scholar] [CrossRef]
- Zhu, J.; Wu, P. Towards effective bim/gis data integration for smart city by integrating computer graphics technique. Remote Sens. 2021, 13, 1889. [Google Scholar] [CrossRef]
- Rafsanjani, H.N.; Nabizadeh, A.H. Towards digital architecture, engineering, and construction (AEC) industry through virtual design and construction (VDC) and digital twin. Energy Built Environ. 2021, 4, 169–178. [Google Scholar] [CrossRef]
- Lu, Q.; Jiang, H.; Chen, S.; Gu, Y.; Gao, T.; Zhang, J. Applications of Digital Twin System in a Smart City System with Multi-Energy. In Proceedings of the 2021 IEEE 1st International Conference on Digital Twins and Parallel Intelligence, DTPI 2021, Beijing, China, 15 July–15 August 2021. [Google Scholar]
- Murugan, R.; Palanichamy, N. Smart City Air Quality Prediction using Machine Learning. In Proceedings of the 5th International Conference on Intelligent Computing and Control Systems, ICICCS 2021, Madurai, India, 6–8 May 2021. [Google Scholar]
- Li, X.; Liu, H.; Wang, W.; Zheng, Y.; Lv, H.; Lv, Z. Big data analysis of the Internet of Things in the digital twins of smart city based on deep learning. Future Gener. Comput. Syst. 2022, 128, 167–177. [Google Scholar] [CrossRef]
- Rani, N.S.A.; Boubekeur, I. Proposed framework on public and private partnership for smart cities growth in Malaysia. Test Eng. Manag. 2020, 82, 5632–5639. [Google Scholar]
- Ford, D.N.; Wolf, C.M. Smart Cities with Digital Twin Systems for Disaster Management. J. Manag. Eng. 2020, 36, 04020027. [Google Scholar] [CrossRef]
- Kee, D.M.H.; Ching, S.L. An assessment of the viability of the smart parking system: The case of a smart city initiative in Malaysia. Glob. Bus. Organ. Excell. 2020, 39, 26–34. [Google Scholar] [CrossRef]
- Greif, T.; Stein, N.; Flath, C.M. Peeking into the void: Digital twins for construction site logistics. Comput. Ind. 2020, 121, 103264. [Google Scholar] [CrossRef]
- Mohammadi, N.; Vimal, A.; Taylor, J.E. Knowledge Discovery in Smart City Digital Twins. In Proceedings of the Annual Hawaii International Conference on System Sciences, Maui, HI, USA, 7–10 January 2020. [Google Scholar]
- Shamanna, P.; Saboo, B.; Damodharan, S.; Mohammed, J.; Mohamed, M.; Poon, T.; Kleinman, N.; Thajudeen, M. Reducing HbA1c in Type 2 Diabetes Using Digital Twin Technology-Enabled Precision Nutrition: A Retrospective Analysis. Diabetes Ther. 2020, 11, 2703–2714. [Google Scholar] [CrossRef]
- Laamarti, F.; Badawi, H.F.; Ding, Y.; Arafsha, F.; Hafidh, B.; Saddik, A. El An ISO/IEEE 11073 Standardized Digital Twin Framework for Health and Well-Being in Smart Cities. IEEE Access 2020, 8, 105950–105961. [Google Scholar] [CrossRef]
- Du, J.; Zhu, Q.; Shi, Y.; Wang, Q.; Lin, Y.; Zhao, D. Cognition Digital Twins for Personalized Information Systems of Smart Cities: Proof of Concept. J. Manag. Eng. 2020, 36, 04019052. [Google Scholar] [CrossRef]
- Francisco, A.; Mohammadi, N.; Taylor, J.E. Smart City Digital Twin–Enabled Energy Management: Toward Real-Time Urban Building Energy Benchmarking. J. Manag. Eng. 2020, 36, 04019045. [Google Scholar] [CrossRef]
- Austin, M.; Delgoshaei, P.; Coelho, M.; Heidarinejad, M. Architecting Smart City Digital Twins: Combined Semantic Model and Machine Learning Approach. J. Manag. Eng. 2020, 36, 04020026. [Google Scholar] [CrossRef]
- Dave, R.; Dave, S.; Thakkar, H. Digital Twins: Current problems in Smart City and Recommendations for future technology. Int. Res. J. Eng. Technolgy 2020, 7. [Google Scholar]
- Shirowzhan, S.; Tan, W.; Sepasgozar, S.M.E. Digital twin and CyberGIS for improving connectivity and measuring the impact of infrastructure construction planning in smart cities. ISPRS Int. J. Geo-Inf. 2020, 9, 240. [Google Scholar] [CrossRef]
- Kwak, Y.H. 2019 Journal of Management in Engineering End-of-Year Review. J. Manag. Eng. 2020, 36, 01620001. [Google Scholar] [CrossRef]
- Opoku, D.G.J.; Perera, S.; Osei-Kyei, R.; Rashidi, M. Digital twin application in the construction industry: A literature review. J. Build. Eng. 2021, 40, 102726. [Google Scholar] [CrossRef]
- Deren, L.; Wenbo, Y.; Zhenfeng, S. Smart city based on digital twins. Comput. Urban Sci. 2021, 1, 4. [Google Scholar] [CrossRef]
- Teisserenc, B.; Sepasgozar, S. Adoption of blockchain technology through digital twins in the construction industry 4.0: A PESTELS approach. Buildings 2021, 11, 670. [Google Scholar] [CrossRef]
- Mylonas, G.; Kalogeras, A.; Kalogeras, G.; Anagnostopoulos, C.; Alexakos, C.; Munoz, L. Digital Twins from Smart Manufacturing to Smart Cities: A Survey. IEEE Access 2021, 9, 143222–143249. [Google Scholar] [CrossRef]
- Qi, Q.; Tao, F.; Hu, T.; Anwer, N.; Liu, A.; Wei, Y.; Wang, L.; Nee, A.Y.C. Enabling technologies and tools for digital twin. J. Manuf. Syst. 2021, 58, 3–21. [Google Scholar] [CrossRef]
- Waqar, A.; Othman, I. Impact of 3D Printing on the Overall Project Success of Residential Construction Projects Using Structural Equation Modelling. Int. J. Environ. Res. Public Health 2023, 20, 3800. [Google Scholar] [CrossRef]
- Waqar, A.; Qureshi, A.H.; Alaloul, W.S. Barriers to Building Information Modeling (BIM) Deployment in Small Construction Projects: Malaysian Construction Industry. Sustainability 2023, 15, 2477. [Google Scholar] [CrossRef]
- Anderl, R.; Haag, S.; Schützer, K.; Zancul, E. Digital twin technology-An approach for Industrie 4.0 vertical and horizontal lifecycle integration. It-Inf. Technol. 2021, 60, 125–132. [Google Scholar] [CrossRef]
- Taylor, J.E.; Bennett, G.; Mohammadi, N. Engineering Smarter Cities with Smart City Digital Twins. J. Manag. Eng. 2021, 37, 02021001. [Google Scholar] [CrossRef]
- Akanmu, A.A.; Anumba, C.J.; Ogunseiju, O.O. Towards next generation cyber-physical systems and digital twins for construction. J. Inf. Technol. Constr. 2021, 26, 505–525. [Google Scholar] [CrossRef]
- Mashaly, M. Connecting the twins: A review on digital twin technology & its networking requirements. Procedia Comput. Sci. 2021, 184, 299–305. [Google Scholar]
- Turner, C.J.; Oyekan, J.; Stergioulas, L.; Griffin, D. Utilizing Industry 4.0 on the Construction Site: Challenges and Opportunities. IEEE Trans. Ind. Inform. 2021, 17, 746–756. [Google Scholar] [CrossRef]
- Lim, S.B.; Malek, J.A.; Yussoff, M.F.Y.M.; Yigitcanlar, T. Understanding and acceptance of smart city policies: Practitioners’ perspectives on the malaysian smart city framework. Sustainability 2021, 17, 9559. [Google Scholar] [CrossRef]
- Liu, Z.; Xing, Z.; Huang, C.; Du, X. Digital twin modeling method for construction process of assembled building. Jianzhu Jiegou Xuebao/J. Build. Struct. 2021, 42, 213–222. [Google Scholar] [CrossRef]
- Sepasgozar, S.M.E. Differentiating digital twin from digital shadow: Elucidating a paradigm shift to expedite a smart, sustainable built environment. Buildings 2021, 11, 151. [Google Scholar] [CrossRef]
- Zhang, Z.; Zou, Y.; Zhou, T.; Zhang, X.; Xu, Z. Energy consumption prediction of electric vehicles based on digital twin technology. World Electr. Veh. J. 2021, 12, 160. [Google Scholar] [CrossRef]
- Petrova-Antonova, D.; Ilieva, S. Digital Twin Modeling of Smart Cities. In Advances in Intelligent Systems and Computing; Springer: Berlin/Heidelberg, Germany, 2021. [Google Scholar]
- Lee, D.; Lee, S. Digital twin for supply chain coordination in modular construction. Appl. Sci. 2021, 11, 5909. [Google Scholar] [CrossRef]
- Hämäläinen, M. Smart City Development with Digital Twin Technology; University of Maribor: Maribor, Slovenia, 2021. [Google Scholar]
- Allam, Z.; Jones, D.S. Future (post-COVID) digital, smart and sustainable cities in the wake of 6G: Digital twins, immersive realities and new urban economies. Land Use Policy 2021, 101, 105201. [Google Scholar] [CrossRef]
- Yang, D.; Karimi, H.R.; Kaynak, O.; Yin, S. Developments of digital twin technologies in industrial, smart city and healthcare sectors: A survey. Complex Eng. Syst. 2021, 1, 3. [Google Scholar] [CrossRef]
- Yang, S.; Kim, H. Urban digital twin applications as a virtual platform of smart city. Int. J. Sustain. Build. Technol. Urban Dev. 2021, 12, 363–379. [Google Scholar] [CrossRef]
- Major, P.; Li, G.; Hildre, H.P.; Zhang, H. The use of a data-driven digital twin of a smart city: A case study of ålesund, norway. IEEE Instrum. Meas. Mag. 2021, 24, 39–49. [Google Scholar] [CrossRef]
- Liu, Y.; Folz, P.; Pan, S.; Ramparany, F.; Bolle, S.; Ballot, E.; Coupaye, T. Digital Twin-Driven Approach for Smart City Logistics: The Case of Freight Parking Management. In Proceedings of the IFIP Advances in Information and Communication Technology, Tampere, Finland, 17–20 August 2021. [Google Scholar]
- Mavrokapnidis, D.; Mohammadi, N.; Taylor, J.E. Community Dynamics in Smart City Digital Twins: A Computer Vision-Based Approach for Monitoring and Forecasting Collective Urban Hazard Exposure. In Proceedings of the Annual Hawaii International Conference on System Sciences, Maui, HI, USA, 5–8 January 2021. [Google Scholar]
- Alshammari, K.; Beach, T.; Rezgui, Y. Cybersecurity for digital twins in the built environment: Current research and future directions. J. Inf. Technol. Constr. 2021, 26, 159–173. [Google Scholar] [CrossRef]
- Zhang, J.; Cheng, J.C.P.; Chen, W.; Chen, K. Digital Twins for Construction Sites: Concepts, LoD Definition, and Applications. J. Manag. Eng. 2022, 38, 04021094. [Google Scholar] [CrossRef]
- Deng, T.; Zhang, K.; Shen, Z.J. (Max) A systematic review of a digital twin city: A new pattern of urban governance toward smart cities. J. Manag. Sci. Eng. 2021, 6, 125–134. [Google Scholar] [CrossRef]
- Kaewunruen, S.; Sresakoolchai, J.; Ma, W.; Phil-Ebosie, O. Digital twin aided vulnerability assessment and risk-based maintenance planning of bridge infrastructures exposed to extreme conditions. Sustainability 2021, 13, 2051. [Google Scholar] [CrossRef]
- Amin, M.H.; Sajak, A.A.B.; Jaafar, J.; Husin, H.S.; Mohamad, S. Real Time Water Quality Monitoring System for Smart City in Malaysia. ASEAN J. Sci. Eng. 2021, 2, 47–64. [Google Scholar] [CrossRef]
- Yu, H.; Han, S.; Yang, D.; Wang, Z.; Feng, W. Job Shop Scheduling Based on Digital Twin Technology: A Survey and an Intelligent Platform. Complexity 2021, 2021, 8823273. [Google Scholar] [CrossRef]
- Narayanan, K. Technology Focus: Intelligent Operations (May 2021). J. Pet. Technol. 2021, 73, 51. [Google Scholar] [CrossRef]
- Ibrahim, R.; Asri, N.A.M.; Jamel, S. Utilization of IOTs in Developing the Architecture of Smart City in Malaysia. In Proceedings of the 2019 IEEE 9th International Conference on System Engineering and Technology, ICSET 2019—Proceeding, Shah Alam, Malaysia, 7 October 2019. [Google Scholar]
- Sepasgozar, S.M.E.; Karimi, R.; Shirowzhan, S.; Mojtahedi, M.; Ebrahimzadeh, S.; McCarthy, D. Delay causes and emerging digital tools: A novel model of delay analysis, including integrated project delivery and PMBOK. Buildings 2019, 9, 191. [Google Scholar] [CrossRef]
- Waqar, A.; Othman, I.; Skrzypkowski, K. Evaluation of Success of Superhydrophobic Coatings in the Oil and Gas Construction Industry Using Structural. Coatings 2023, 13, 526. [Google Scholar] [CrossRef]
- Waqar, A.; Khan, M.B.; Shafiq, N.; Skrzypkowski, K. Assessment of Challenges to the Adoption of IOT for the Safety Management of Small Construction Projects in Malaysia: Structural Equation Modeling Applied Sciences Assessment of Challenges to the Adoption of IOT for the Safety Management of Small Construction Projects in Malaysia: Structural Equation Modeling Approach. Appl. Sci. 2023, 13, 3340. [Google Scholar] [CrossRef]
- Simonofski, A.; Hertoghe, E.; Steegmans, M.; Snoeck, M.; Wautelet, Y. Engaging citizens in the smart city through participation platforms: A framework for public servants and developers. Comput. Hum. Behav. 2021, 124, 106901. [Google Scholar] [CrossRef]
- Heng, S.; Tsilionis, K.; Scharff, C.; Wautelet, Y. Understanding AI ecosystems in the Global South: The cases of Senegal and Cambodia. Int. J. Inf. Manag. 2022, 64, 102454. [Google Scholar] [CrossRef]
Disclaimer/Publisher’s Note: The statements, opinions and data contained in all publications are solely those of the individual author(s) and contributor(s) and not of MDPI and/or the editor(s). MDPI and/or the editor(s) disclaim responsibility for any injury to people or property resulting from any ideas, methods, instructions or products referred to in the content. |
© 2023 by the authors. Licensee MDPI, Basel, Switzerland. This article is an open access article distributed under the terms and conditions of the Creative Commons Attribution (CC BY) license (https://creativecommons.org/licenses/by/4.0/).







