Recycling Textile Waste to Enhance Building Thermal Insulation and Reduce Carbon Emissions: Experimentation and Model-Based Dynamic Assessment
Abstract
1. Introduction
2. Textile Reinforced Mortar: Preparing and Testing Methods
2.1. Samples Preparation
2.2. Workability and Density Measurement
2.3. Mechanical Characterization
2.4. Thermal Characterization
2.4.1. Analytical Prediction of Composite Thermal Conductivity
- Series and Parallel models: Figure 5 shows the two plain theoretical methodologies that have been followed to predict the effect of adding a reinforcing material on the thermal conductivity of a matrix. The first approach focuses on individually considering the contribution of each component to model the thermal conductivity of the composite through the application of the percolation theory [54]. Based on the electrical analogy, this model is called a series model. In this case, the effective thermal conductivity of the composite material is given by [55,56,57]:
- Maxwell model: This model was developed to define the electrical conductivity of a heterogeneous medium composed of dispersed spheres. The development of this model provides an accurate solution for the effective thermal conductivity of arbitrarily distributed homogeneous spherical particles without interaction in a homogeneous matrix [56]:
- Rayleigh model: This model was adapted to predict the effect of cylindrical reinforcement materials on the thermal conductivity of a matrix. The equation below allows for the effective thermal conductivity to be calculated [58]:
- Hashin and Shtrikman model: Following the approach of Maxwell and using the perturbation hypothesis, Hashin and Shtrikman developed a model to predict the thermal conductivity of randomly scattered units in a continuous matrix. This model provides upper and lower limits of the effective thermal conductivity rather than deriving an equation for it. Moreover, it is shown that, in the case of composite material, these limits are the most restrictive that one can obtain in terms of volume fractions of charge and conductivity [59]. Equations (5) and (6) indicate the lower and upper limits of the conductivity [55]:
- Hatta and Taya model: Hatta and Taya developed a model to predict the thermal conductivity of a composite consisting of short fibers with different orientations [60,61] based on the analogy of Eshelby [62]. This approach is based on predicting the steady-state equivalent thermal conductivity of the composite by considering the shape and interactions between the additions with different orientations. The equation they arrived at is [55]:
- Nielsen and Lewis model: Nielsen and Lewis derived a semi-theoretical model for predicting thermal conductivity [63,64], based on the Halpin-Tsai equation [65]. They adjusted the model to handle non-spherical additives using a coefficient, which depends on the shape and orientation of the particles. Moreover, Nielsen and Lewis’s model considers the effect of the maximum fraction of the additive, φmax. The semi-empirical model developed is as follows [66]:
2.4.2. Experimental Characterization
2.4.3. Numerical Characterization
3. Evaluation of Characterization Results
3.1. Workability Testing
3.2. Bulk Density Testing
3.3. Mechanical Characterization
3.4. Thermal Characterization
4. Case Study: Numerical Investigation of a Hollow Brick Wall Coated with Textile-Reinforced Mortar
4.1. Numerical Model and Validation
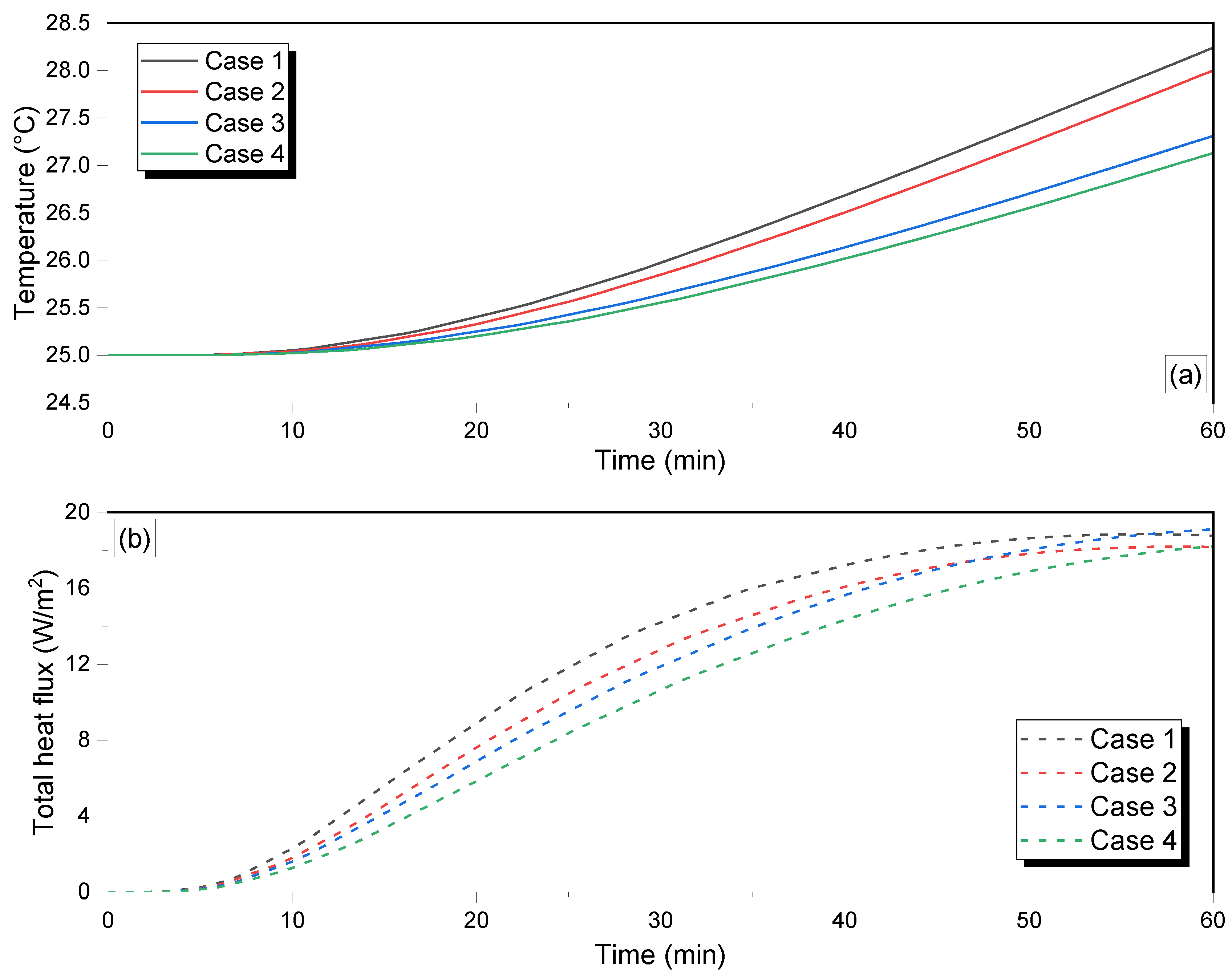
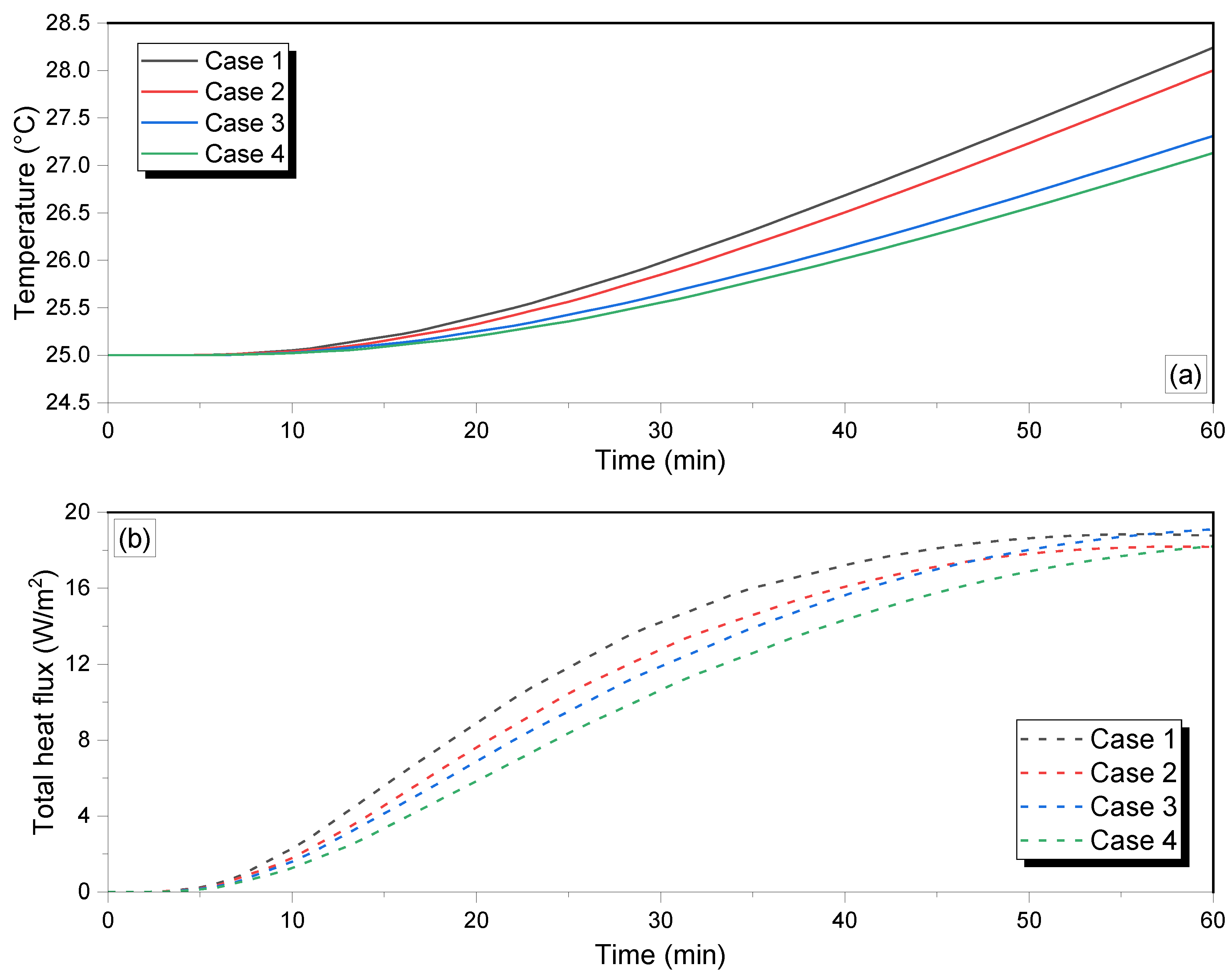
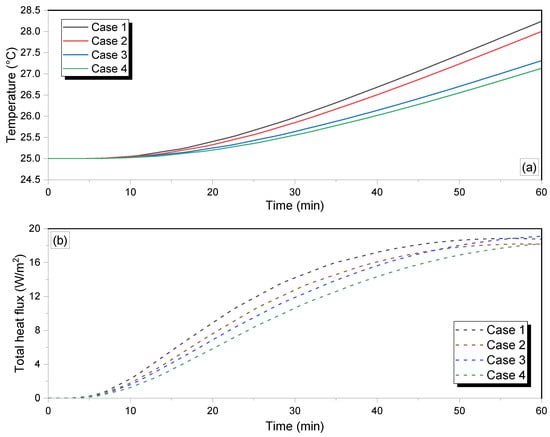
4.2. Computational Assessment of a Textile Reinforced Wall
5. Conclusions and Perspective
Author Contributions
Funding
Data Availability Statement
Acknowledgments
Conflicts of Interest
References
- de Oliveira, E.M.; Machado de Oliveira, E.; de Oliveira, C.M.; Dal-Bó, A.G.; Peterson, M. Study of the Incorporation of Fabric Shavings from the Clothing Industry in Coating Mortars. J. Clean. Prod. 2021, 279, 123730. [Google Scholar] [CrossRef]
- United Nations Environment Programme. Global Status Report for Buildings and Construction; United Nations Environment Programme: Washington, DC, USA, 2021. [Google Scholar]
- Pour le développement industriel Cartographie Des Déchets Textiles En Tunisie et Maroc; Competitivite Pacc. 2021, Volume 9. Available online: https://switchmed.eu/wp-content/uploads/2021/07/MAROC_TUNISIE_DA_9_Cartographie_D%C3%A9chetsTextiles.pdf (accessed on 17 October 2022).
- Agence de Promotion de l’Industrie et de l’Innovation. INDUSTRIES DU TEXTILE ET DE L’HABILLEMENT EN TUNISIE; Centre de Documentation et de l’Information Industrielle: Tunis, Tunisie, 2019; Volume 7. [Google Scholar]
- Wang, Y.; Jiang, Z.; Li, L.; Qi, Y.; Sun, J.; Jiang, Z. A Bibliometric and Content Review of Carbon Emission Analysis for Building Construction. Buildings 2023, 13, 205. [Google Scholar] [CrossRef]
- International Energy Agency. Net Zero by 2050: A Roadmap for the Global Energy Sector; International Energy Agency: Paris, France, 2021; Volume 224. [Google Scholar]
- Paraschiv, S.; Paraschiv, L.S.; Serban, A. Increasing the Energy Efficiency of a Building by Thermal Insulation to Reduce the Thermal Load of the Micro-Combined Cooling, Heating and Power System. Energy Rep. 2021, 7, 286–298. [Google Scholar] [CrossRef]
- Aste, N.; Leonforte, F.; Manfren, M.; Mazzon, M. Thermal Inertia and Energy Efficiency—Parametric Simulation Assessment on a Calibrated Case Study. Appl. Energy 2015, 145, 111–123. [Google Scholar] [CrossRef]
- Zach, J.; Novak, V.; Peterkova, J.; Bubenik, J.; Kosir, M.; Bozicek, D.; Krejza, Z. The Use of Advanced Environmentally Friendly Systems in the Insulation and Reconstruction of Buildings. Buildings 2023, 13, 404. [Google Scholar] [CrossRef]
- Balo, F.; Ulutas, A. Energy-Performance Evaluation with Revit Analysis of Mathematical-Model-Based Optimal Insulation Thickness. Buildings 2023, 13, 408. [Google Scholar] [CrossRef]
- Majumder, A.; Canale, L.; Mastino, C.C.; Pacitto, A.; Frattolillo, A.; Dell’isola, M. Thermal Characterization of Recycled Materials for Building Insulation. Energies 2021, 14, 3564. [Google Scholar] [CrossRef]
- Rosca, B.; Corobceanu, V. Structural Grade Concrete Containing Expanded Polystyrene Beads with Different Particle Distributions of Normal Weight Aggregate. Mater. Today Proc. 2020, 42, 548–554. [Google Scholar] [CrossRef]
- Gencel, O.; Yavuz Bayraktar, O.; Kaplan, G.; Arslan, O.; Nodehi, M.; Benli, A.; Gholampour, A.; Ozbakkaloglu, T. Lightweight Foam Concrete Containing Expanded Perlite and Glass Sand: Physico-Mechanical, Durability, and Insulation Properties. Constr. Build. Mater. 2022, 320, 126187. [Google Scholar] [CrossRef]
- Mo, K.H.; Lee, H.J.; Liu, M.Y.J.; Ling, T.C. Incorporation of Expanded Vermiculite Lightweight Aggregate in Cement Mortar. Constr. Build. Mater. 2018, 179, 302–306. [Google Scholar] [CrossRef]
- Borinaga- Treviño, R.; Cuadrado, J.; Canales, J.; Rojí, E. Lime Mud Waste from the Paper Industry as a Partial Replacement of Cement in Mortars Used on Radiant Floor Heating Systems. J. Build. Eng. 2021, 41, 102408. [Google Scholar] [CrossRef]
- Ayed, R.; Baddadi, S.; Bouadila, S.; Skouri, S.; Lazaar, M. Architectural Development of the Buildings’ Envelope to Improve Energy Efficiency. In Advances in Science, Technology and Innovation; Springer International Publishing: Berlin/Heidelberg, Germany, 2022; pp. 459–461. ISBN 9783031008085. [Google Scholar]
- Li, J.; Meng, X.; Gao, Y.; Mao, W.; Luo, T.; Zhang, L. Effect of the Insulation Materials Filling on the Thermal Performance of Sintered Hollow Bricks. Case Stud. Therm. Eng. 2018, 11, 62–70. [Google Scholar] [CrossRef]
- Zukowski, M.; Haese, G. Experimental and Numerical Investigation of a Hollow Brick Filled with Perlite Insulation. Energy Build. 2010, 42, 1402–1408. [Google Scholar] [CrossRef]
- Ayed, R.; Baddadi, S.; Dellagi, A.; Bouadila, S.; Lazaar, M. Thermal Behavior Improvement of Building Materials Using Expanded Polystyrene. In Proceedings of the 2022 13th International Renewable Energy Congress, IREC 2022, Hammamet, Tunisia, 13–15 December 2022; IEEE: New York, NY, USA, 2022; pp. 13–16. [Google Scholar]
- Cardinale, T.; Arleo, G.; Bernardo, F.; Feo, A.; De Fazio, P. Thermal and Mechanical Characterization of Panels Made by Cement Mortar and Sheep’s Wool Fibres. Energy Procedia 2017, 140, 159–169. [Google Scholar] [CrossRef]
- de Azevedo, A.R.G.; Marvila, M.T.; Tayeh, B.A.; Cecchin, D.; Pereira, A.C.; Monteiro, S.N. Technological Performance of Açaí Natural Fibre Reinforced Cement-Based Mortars. J. Build. Eng. 2021, 33, 101675. [Google Scholar] [CrossRef]
- Rama Rao, P.; Ramakrishna, G. Experimental Investigation on Mechanical Properties of Oil Palm Empty Fruit Bunch Fiber Reinforced Cement Mortar. Mater. Today Proc. 2021, 46, 471–477. [Google Scholar] [CrossRef]
- Benmansour, N.; Agoudjil, B.; Gherabli, A.; Kareche, A.; Boudenne, A. Thermal and Mechanical Performance of Natural Mortar Reinforced with Date Palm Fibers for Use as Insulating Materials in Building. Energy Build. 2014, 81, 98–104. [Google Scholar] [CrossRef]
- Jiang, D.; Lv, S.; Cui, S.; Sun, S.; Song, X.; He, S.; Zhang, J.; An, P. Effect of Thermal Insulation Components on Physical and Mechanical Properties of Plant Fibre Composite Thermal Insulation Mortar. J. Mater. Res. Technol. 2020, 9, 12996–13013. [Google Scholar] [CrossRef]
- Quiñones-Bolaños, E.; Gómez-Oviedo, M.; Mouthon-Bello, J.; Sierra-Vitola, L.; Berardi, U.; Bustillo-Lecompte, C. Potential Use of Coconut Fibre Modified Mortars to Enhance Thermal Comfort in Low-Income Housing. J. Environ. Manag. 2021, 277, 111503. [Google Scholar] [CrossRef] [PubMed]
- Awoyera, P.O.; Akinrinade, A.D.; de Sousa Galdino, A.G.; Althoey, F.; Kirgiz, M.S.; Tayeh, B.A. Thermal Insulation and Mechanical Characteristics of Cement Mortar Reinforced with Mineral Wool and Rice Straw Fibers. J. Build. Eng. 2022, 53, 104568. [Google Scholar] [CrossRef]
- Borinaga-treviño, R.; Orbe, A.; Canales, J.; Norambuena-contreras, J. Thermal and Mechanical Properties of Mortars Reinforced with Recycled Brass Fibres. Constr. Build. Mater. 2021, 284, 122832. [Google Scholar] [CrossRef]
- Zhang, X.; He, W.; Zhang, Y.; Chen, C.; Wu, X. Tensile Behavior of Basalt-Fiber-Grid-Reinforced Mortar before and after Exposure to Elevated Temperature. Buildings 2022, 12, 2269. [Google Scholar] [CrossRef]
- Koutas, L.N.; Papakonstantinou, C.G. Flexural Strengthening of RC Beams with Textile-Reinforced Mortar Composites Focusing on the Influence of the Mortar Type. Eng. Struct. 2021, 246, 113060. [Google Scholar] [CrossRef]
- Zhang, H.Y.; Liu, H.Y.; Kodur, V.; Li, M.Y.; Zhou, Y. Flexural Behavior of Concrete Slabs Strengthened with Textile Reinforced Geopolymer Mortar. Compos. Struct. 2022, 284, 115220. [Google Scholar] [CrossRef]
- Adheem, A.H.; Kadhim, M.M.A.; Jawdhari, A.; Fam, A. Confinement Model for Concrete Wrapped with Fiber Reinforced Cementitious Mortar. Constr. Build. Mater. 2021, 312, 125401. [Google Scholar] [CrossRef]
- Dinh, N.H.; Van Tran, H.; Choi, K.K. Direct Shear Behavior of Cementitious Mortar Reinforced by Carbon Fiber Textile. Constr. Build. Mater. 2020, 249, 118760. [Google Scholar] [CrossRef]
- Brazão Farinha, C.; de Brito, J.; Veiga, R. Incorporation of High Contents of Textile, Acrylic and Glass Waste Fibres in Cement-Based Mortars. Influence on Mortars’ Fresh, Mechanical and Deformability Behaviour. Constr. Build. Mater. 2021, 303, 124424. [Google Scholar] [CrossRef]
- Shamseldein, A.; ELgabbas, F.; Elshafie, H. Tensile Behavior of Basalt Textile-Reinforced Mortar (BTRM). Ain Shams Eng. J. 2022, 13, 101488. [Google Scholar] [CrossRef]
- Mercimek, Ö.; Ghoroubi, R.; Özdemir, A.; Anil, Ö.; Erbaş, Y. Investigation of Strengthened Low Slenderness RC Column by Using Textile Reinforced Mortar Strip under Axial Load. Eng. Struct. 2022, 259, 114191. [Google Scholar] [CrossRef]
- Guo, L.; Deng, M.; Chen, H.; Li, R.; Ma, X.; Zhang, Y. Experimental Study on Pre-Damaged RC Beams Shear-Strengthened with Textile-Reinforced Mortar (TRM). Eng. Struct. 2022, 256, 113956. [Google Scholar] [CrossRef]
- Dong, Z.; Deng, M.; Dai, J.; Ma, P. Diagonal Compressive Behavior of Unreinforced Masonry Walls Strengthened with Textile Reinforced Mortar Added with Short PVA Fibers. Eng. Struct. 2021, 246, 113034. [Google Scholar] [CrossRef]
- Pinto, J.; Peixoto, A.; Vieira, J.; Fernandes, L.; Morais, J.; Cunha, V.M.C.F.; Varum, H. Render Reinforced with Textile Threads. Constr. Build. Mater. 2013, 40, 26–32. [Google Scholar] [CrossRef]
- Sadrolodabaee, P.; Claramunt, J.; Ardanuy, M.; de la Fuente, A. A Textile Waste Fiber-Reinforced Cement Composite: Comparison between Short Random Fiber and Textile Reinforcement. Materials 2021, 14, 3742. [Google Scholar] [CrossRef] [PubMed]
- Gulinelli, P.; Aprile, A.; Rizzoni, R.; Grunevald, Y.H.; Lebon, F. Multiscale Numerical Analysis of TRM-Reinforced Masonry under Diagonal Compression Tests. Buildings 2020, 10, 196. [Google Scholar] [CrossRef]
- Abbas, S.; Amjad, R.; Nehdi, M.L.; Ali, S. Material Characterization of Locally Available Textile Fabrics for Structural Applications. Buildings 2022, 12, 1589. [Google Scholar] [CrossRef]
- Briga-Sá, A.; Nascimento, D.; Teixeira, N.; Pinto, J.; Caldeira, F.; Varum, H.; Paiva, A. Textile Waste as an Alternative Thermal Insulation Building Material Solution. Constr. Build. Mater. 2013, 38, 155–160. [Google Scholar] [CrossRef]
- Briga-Sá, A.; Gaibor, N.; Magalhães, L.; Pinto, T.; Leitão, D. Thermal Performance Characterization of Cement-Based Lightweight Blocks Incorporating Textile Waste. Constr. Build. Mater. 2022, 321, 126330. [Google Scholar] [CrossRef]
- EN 197-1; Cement—Part 1: Composition, Specifications and Conformity Criteria for Common Cements. European Commitee for Standarization: Brussels, Belgium, 1992.
- EN 1015-2; Methods of Testing Mortars for Masonry—Part 2: Bulk Sampling of Mortars and Preparation of Mortars for Testing. European Commitee for Standarization: Brussels, Belgium, 1999.
- EN 1015-3; Methods of Test for Mortar for Masonry—Part 3: Determination of Consistence of Fresh Mortar (by Flow Table). European Commitee for Standarization: Brussels, Belgium, 1999. Available online: https://standards.globalspec.com/std/733841/EN1015-3 (accessed on 17 October 2022).
- EN 1015-6; Methods of Test for Mortar for Masonry—Part 6. Determination of Bulk Density of Fresh Mortar. European Commitee for Standarization: Brussels, Belgium, 1998.
- EN 1015-10; Methods of Test for Mortar for Masonry—Part 10: Determination of Dry Bulk Density of Hardened Mortar. European Commitee for Standarization: Brussels, Belgium, 1999.
- EN 1015-11; Methods of Test for Mortar for Masonry—Part 11: Determination of Flexural and Compressive Strength of Hardened Mortar 2020. European Commitee for Standarization: Brussels, Belgium, 2020.
- Maxwell, J.C. A Treatise on Electricity and Magnetism; Dover Publications: New York, NY, USA, 1954. [Google Scholar]
- Hamilton, R.L.; Crosser, O.K. Thermal Conductivity of Heterogeneous Two-Component Systems. Ind. Eng. Chem. Fundam. 1962, 1, 187–191. [Google Scholar] [CrossRef]
- Agar, Y.; Uno, T. Estimation on Thermal Conductivities of Filled Polymers. J. Appl. Polym. Sci. 1986, 32, 5705–5712. [Google Scholar] [CrossRef]
- Hasselman, D.P.; Johnson, L.F. Effective Thermal Conductivity of Composites with Interfacial Thermal Barrier Resistance. J. Compos. Mater. 1987, 21, 508–515. [Google Scholar] [CrossRef]
- Sahimi, M.; Scriven, L.E.; Davis, H.T. On the Improvement of the Effective-Medium Approximation to the Percolation Conductivity Problem. J. Phys. C Solid State Phys. 1984, 17, 1941. [Google Scholar] [CrossRef]
- Bigg, D.M. Thermal Conductivity of Heterophase Polymer Compositions; Springer: Berlin/Heidelberg, Germany, 1995; Volume 119. [Google Scholar]
- Progelhof, R.C.; Throne, J.L.; Ruetsch, R.R. Methods for Predicting the Thermal Conductivity of Composite Systems: A Review. Polym. Eng. Sci. 1976, 16, 615–625. [Google Scholar] [CrossRef]
- Kumlutas, D.; Tavman, I.H. A Numerical and Experimental Study on Thermal Conductivity of Particle Filled Polymer Composites. J. Thermoplast. Compos. Mater. 2006, 19, 441–455. [Google Scholar] [CrossRef]
- Rayleigh, L. On the Influence of Obstacles Arranged in Rectangular Order upon the Properties of a Medium. Lond. Edinb. Dublin Philos. Mag. J. Sci. 2009, 37–41. [Google Scholar] [CrossRef]
- Hashin, Z.; Shtrikman, S. A Variational Approach to the Theory of the Effective Magnetic Permeability of Multiphase Materials. J. Appl. Phys. 1962, 33, 3125–3131. [Google Scholar] [CrossRef]
- Hatta, H.; Taya, M. Effective Thermal Conductivity of a Misoriented Short Fiber Composite. J. Appl. Phys. 1985, 58, 2478–2486. [Google Scholar] [CrossRef]
- Hatta, H.; Taya, M. Thermal Conductivity of Coated Filler Composites. J. Appl. Phys. 1986, 59, 1851–1860. [Google Scholar] [CrossRef]
- Eshelby, J.D. The Determination of the Elastic Field of an Ellipsoidal Inclusion, and Related Problems. Proc. R. Soc. London. Ser. A Math. Phys. Sci. 1957, 241, 376–396. [Google Scholar] [CrossRef]
- Lewis, T.B.; Nielsen, L.E. Dynamic Mechanical Properties of Particulate-Filled Composites. J. Appl. Polym. Sci. 1970, 14, 1449–1471. [Google Scholar] [CrossRef]
- NIELSEN, L.E. Thermal Conductivity of Particulate-Filled Polymers. J. Appl. Polym. Sci. 1973, 17, 3819–3820. [Google Scholar] [CrossRef]
- Halpin, J.C. Stiffness and Expansion Estimates for Oriented Short Fiber Composites. J. Compos. Mater. 1969, 3–7. [Google Scholar] [CrossRef]
- Bigg, D.M. Thermally Conductive Polymer Compositions. Polym. Compos. 1986, 7, 125–140. [Google Scholar] [CrossRef]
- EN 998-1:2017; Specification for Mortar for Masonry—Part 1: Rendering and Plastering Mortar. European Commitee for Standarization: Brussels, Belgium, 2005.
- Wendl, M.C. Theoretical Foundations of Conduction and Convection Heat Transfer; The Wendl Foundation: Saint Louis, MO, USA, 2012. [Google Scholar]




















| Material | Thermal Conductivity [W/m∙K] | Thermal Diffusivity [mm2/s] | Volumetric Heat Capacity [MJ/m3 K] |
|---|---|---|---|
| Cement | 0.140 | 0.201 | 0.694 |
| Sand | 0.335 | 0.278 | 0.278 |
| Textile fibers | 0.082 | 0.418 | 0.196 |
| Materials | PM | M10 | M20 | M30 | M40 |
|---|---|---|---|---|---|
| Cement | 215 | 215 | 215 | 215 | 215 |
| Sand | 1540 | 1386 | 1232 | 1078 | 924 |
| Textile | 0 | 5.26 | 10.52 | 15.78 | 21.04 |
Disclaimer/Publisher’s Note: The statements, opinions and data contained in all publications are solely those of the individual author(s) and contributor(s) and not of MDPI and/or the editor(s). MDPI and/or the editor(s) disclaim responsibility for any injury to people or property resulting from any ideas, methods, instructions or products referred to in the content. |
© 2023 by the authors. Licensee MDPI, Basel, Switzerland. This article is an open access article distributed under the terms and conditions of the Creative Commons Attribution (CC BY) license (https://creativecommons.org/licenses/by/4.0/).
Share and Cite
Ayed, R.; Bouadila, S.; Skouri, S.; Boquera, L.; Cabeza, L.F.; Lazaar, M. Recycling Textile Waste to Enhance Building Thermal Insulation and Reduce Carbon Emissions: Experimentation and Model-Based Dynamic Assessment. Buildings 2023, 13, 535. https://doi.org/10.3390/buildings13020535
Ayed R, Bouadila S, Skouri S, Boquera L, Cabeza LF, Lazaar M. Recycling Textile Waste to Enhance Building Thermal Insulation and Reduce Carbon Emissions: Experimentation and Model-Based Dynamic Assessment. Buildings. 2023; 13(2):535. https://doi.org/10.3390/buildings13020535
Chicago/Turabian StyleAyed, Rabeb, Salwa Bouadila, Safa Skouri, Laura Boquera, Luisa F. Cabeza, and Mariem Lazaar. 2023. "Recycling Textile Waste to Enhance Building Thermal Insulation and Reduce Carbon Emissions: Experimentation and Model-Based Dynamic Assessment" Buildings 13, no. 2: 535. https://doi.org/10.3390/buildings13020535
APA StyleAyed, R., Bouadila, S., Skouri, S., Boquera, L., Cabeza, L. F., & Lazaar, M. (2023). Recycling Textile Waste to Enhance Building Thermal Insulation and Reduce Carbon Emissions: Experimentation and Model-Based Dynamic Assessment. Buildings, 13(2), 535. https://doi.org/10.3390/buildings13020535

