Abstract
Experimental simulation and parametric studies have been conducted to investigate the effect of pounding in base-isolated (BI) frame structures with expansion gaps. Earthquakes often result in extensive damage at expansion joints, which encouraged this experimental evaluation of pounding between BI frames. In the present research, the pounding effect in a series of combinations, such as adjacent flexible and stiffer BI frames of similar frequency and different frequency to adjacent frames, were experimentally analysed to find better combinations of adjacent structures with an expansion gap. In the experiments, the surfaces at the isolation and frame slab levels were free to impact in order to investigate direct pounding (DP) and mitigated pounding (MP) by inserting a neoprene rubber pad into the gap. The investigation was conducted by comparing BI structures with and without pounding responses as a result of the El Centro earthquake excitation. To demonstrate the extent of the pounding effect in adjacent structures, the horizontal and pounding force variations in each combination during DP and MP were evaluated. The experimental responses analysis results help in justifying a better variety of adjacent BI structures with an expansion gap. This experimental study shows that mitigating material in the gap is more efficient for nearer frequency combinations than for different frequency frame combinations.
1. Introduction
Past earthquake effects have revealed that pounding is the reason for significant damage in adjacent buildings that are closely spaced and structures with expansion joints [1,2,3,4,5]. Hence, recent earthquake-resistant design codes require a minimum seismic gap between superstructure segments, which is a desirable solution for tall structures. However, widening the gap is not a desired option since large traffic loads move on bridge decks and utility connections in longer structures must be carried over the expansion joints. Sato et al. [6] conducted a full-scale shake table test to examine the safety of a four-story BI RC hospital structure for different ground motions. They observed that furniture and medical equipment produced large displacements with a higher velocity and collision with surrounding walls. If this is the behaviour in a single BI structure, then the behaviour of adjacent BI structures with expansion gaps will be adversely affected due to impacts at the isolation and structural slab levels. Hence, this has encouraged many researchers to numerically and experimentally analyse the responses of adjacent BI structures. An alternative to avoid pounding in adjacent structures during an earthquake is connecting them through dampers [7,8].
Numerical modelling, used to simulate structural responses of adjacent structures’ pounding due to earthquake excitation, is essential for analysis. Hence, different approaches to modelling earthquake-induced structural pounding are described by many researchers. Ye et al. [9] presented a modified Kelvin impact model to investigate the behaviour of BI building pounding with adjacent structures. Pant and Wijeyewickrema [10] presented three-dimensional finite element analyses that were carried out considering the material and geometric nonlinearities to study the seismic performance of the BI building with a surrounding wall at the base and an adjacent BI RC building. Masroor and Mosqueda [11] developed a numerical impact element for the numerical simulation of pounding against surrounding walls, which can capture the contact force of a BI structure impacting with various wall configurations, such as soil-backfilled concrete walls and rigid steel walls. Mavronicola et al. [12] investigated the effect of pounding during the peak response of a BI building using a three-dimensional domain created via specially developed software. The seismic pounding response was also presented through a dimensional analysis investigation of bilinear inter-story resistance characteristics of adjacent buildings with a multi-degree of freedom system by Zhai et al. [13].
Extensive investigation of earthquake-induced pounding between BI structures and adjacent structures has been analysed by researchers using different numerical methods. Matsagar and Jangid [14,15] studied the performance of different isolation systems during the pounding and investigated the impact behaviour based on the gap distance and the stiffness of adjacent BI structures. Komodromos et al. [16] discovered that if the flexibility of isolation has increased to reduce the acceleration in the structure of the floor level above, it will increase the chances of pounding with the adjacent structure if the gap between them is limited. Agarwal et al. [17] numerically illustrated a variable friction base-isolation model of Teflon bearings buildings’ pounding performances in comparison to the fixed base. Previous researchers [18] have also investigated how the effectiveness of seismic isolation is affected due to pounding adjacent structures. Polycarpou and Komodromos [19,20] analytically investigated the pounding of superstructures when isolated buildings are surrounded by fixed bases on either side. This analysis was carried out for different earthquake excitations to examine the responses of the isolated structures. They also developed a specialised software application to perform numerical simulations and parametric studies efficiently. Pant and Wijeyewickrema [21,22] evaluated the responses of BI buildings for near-fault ground motions. They also analysed BI RC buildings for bidirectional excitation by considering the nonlinear behaviour of the superstructure and the isolation system.
Polycarpou et al. [23] presented a numerical simulation of the incorporation of rubber material in the seismic gap to prevent sudden impact pulses during pounding. A numerical pounding study of two multi-story buildings with rubber bumpers at seismic locations was also analysed to find the changes in the response compared to its absence. A more recent study on pounding can be found in the research study by Mavronicola et al. [24], who discovered that, when a BI structure is subjected to a strong bidirectional near-fault ground motion, inter-story deflections of the building are amplified due to pounding. Jing et al. [25] studied the pounding effect of a sliding isolation for a liquid storage tank. The study concluded that the increased range of the friction coefficient is limited for a sliding isolation for a liquid storage tank, and is therefore not an effective way to reduce the pounding probability. Mazza and Labernarda [26] investigated the effects of structural pounding between in-plan irregularly framed BI (retrofitted with CSS bearings) structures when placed adjacent to T- and C-shaped configurations. Khatami et al. [27] analysed that rubber bumpers can be successfully applied to reduce the adverse effects of earthquake-induced pounding between structures-spaced BI buildings.
Pounding between adjacent structures is mitigated by using advanced techniques, such as tuned mass dampers, shared tuned mass dampers, and optimal shared multiple tuned mass damper inserters [28,29,30,31,32]. The effect of using linear and nonlinear fluid viscous dampers to mitigate the pounding between a series of structures has been investigated, and it was found that a substantial improvement in the performance of buildings has been observed for almost all stories [33,34]. Masroor and Mosqueda [35] conducted an experimental simulation of a BI building pounding against surrounding walls. The pounding effect on the superstructure at the isolation level was also examined. The observations indicate that the impact force depends on the gap distance, impact velocity, and properties of the surrounding wall. Otsuki et al. [36] conducted a series of shake table tests to identify damage mechanisms and the safety margin of expansion joints.
From a survey of the literature listed above, it can be observed that an experimental investigation of pounding responses in adjacent BI structures and performance of adjacent BI structures due to mitigating material in a pounding gap study has not been attempted. Therefore, it is necessary to analyse realistic responses to the pounding effect at isolation and structural slab levels. Experimental responses to an adjacent BI structure with rubber material in the pounding gap may help to evaluate the efficiency of the pounding mitigation technique.
The present study objective was to experimentally evaluate the pounding effect between two adjacent BI frames with an expansion gap on a shake table subjected to El Centro earthquake excitation. MP was analysed by introducing a rubber pad in the pounding gaps. The realistic DP and MP responses of the BI frames due to pounding at the isolation and frame slab levels were analysed for three combinations of adjacent frame structures. In the first case of combinations, two adjacent flexible frames of similar frequency but varying length, slab mass, and stiffness were mounted on a similar frequency BI system and tested for DP and MP. The second combination examined two adjacent stiffer frames of similar frequency on a BI system. In the third case of combinations, two adjacent frames of different frequencies were experimented on a similar frequency BI system. This study helps us to evaluate and justify a better combination of adjacent structures in a long building with an expansion gap. It also investigates the rubber pad efficiency to mitigate the DP effect.
2. Experimental Setup
The pounding responses of long BI structures with expansion joints were experimentally studied by analysing two BI frame models of equal height but different lengths, with a gap between them. These models were fixed on a uniaxial shake table subjected to seismic excitation in the direction parallel to the lengthier side of the frames. This experiment was repeated with 2 mm neoprene rubber attached to any one of the frame surfaces in a gap for a MP response. The BI frames’ acceleration data were acquired from the isolation slab and frame slab to analyse their response behaviour. The specimens for the experiments were designed so that their natural frequencies would not show much difference, irrespective of the length and number of columns.
2.1. Frame Models Specifications
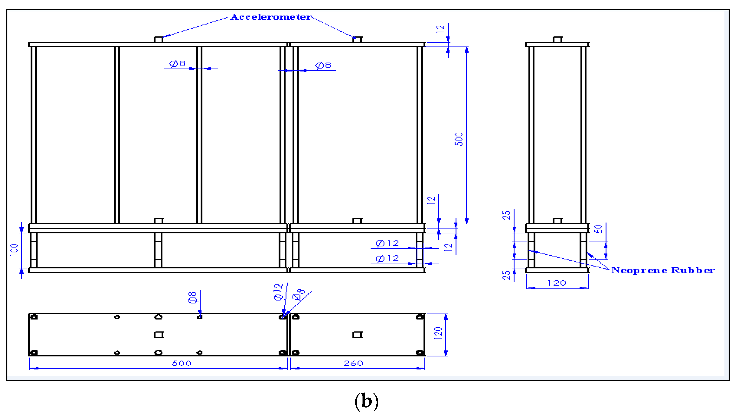
Four frame models with a height of 0.50 m were fabricated, of which two were flexible and two were stiffer. The top mild steel plate of the frame had a width of 0.12 m and a thickness of 0.012 m, equally maintained for all four models so that the pounding surfaces were equal. Both the flexible and stiffer models had two frames, one of 0.50 m in length and the other 0.26 m. The flexible frame specimen columns had circular cross-sections of 4 mm in diameter and were fabricated from stainless steel. The 0.50 m and 0.26 m length models had 10 and 6 numbers of steel (SS400) columns equally spaced centre to centre, respectively (Figure 1a). The stiffer frame specimens had 8 mm diameter columns. The 0.50 m and 0.26 m length models had eight and four numbers of steel (SS400) columns, respectively, equally spaced (Figure 1b). Based on the column diameters, the models were called flexible or stiffer. Additional plates of the same size were added to increase the load on the frames’ slab. The MP experiments were performed by attaching a 2 mm thick neoprene rubber with a Shore hardness of 60 to one of the frames in the gap left for direct pounding experiments. Table 1 shows the fundamental frequencies for the flexible and stiffer specimens for different slab masses. The analytical method results are close to the results from the experiment, which used a (FFT) Fast Fourier Transform analyser to find the fundamental frequencies.
Figure 1.
(a) Flexible models; (b) stiffer models.
Table 1.
The natural frequency of flexible and stiffer models.
2.2. Base-Isolation Models Specifications
Two BI models with equal height but different lengths were fabricated, of which one model was lengthier, and the other was shorter. The lengths of the BI models were 0.50 m and 0.26 m. The floor of the lengthier BI slab model was built using 500 mm × 120 mm × 12 mm mild steel plates with six columns, and the shorter one was built using 260 mm × 120 mm × 12 mm mild steel plates with four columns. Both models had a height of 100 mm and 12 mm diameter neoprene rubber columns, of which 50 mm was exposed, and the remainder was fitted in a steel tube for a rigid connection, as shown in Figure 2. The side surfaces were kept plain so that surface interactions were free to take place during the experiments. The neoprene rubber column had a Shore hardness of 56, a Young’s modulus of E 3.25 MN m−2, and a shear modulus of G 0.81 MN m−2; the dynamic properties of the models using the Fast Fourier Transform analyser are tabulated in Table 2. From this, we can observe that the BI modes were of similar frequencies.
Figure 2.
Base-isolation models.
Table 2.
Properties of base-isolation models.
2.3. Base-Isolated Frame Models Experimental Setup
The BI models and frame models were of similar dimensions and slab areas. Hence, the frame models were mounted on the isolation model to form a BI frame model. The lengthier frames were mounted on a lengthier BI model, and similarly, the shorter frames were in isolation with rigid connections. The first set combination of the adjacent flexible BI models for experimentation was set up as shown in Figure 3. The second combination of the adjacent BI stiffer models’ set up is shown in Figure 4. In these two sets of experiments, the models of similar frequency frames were mounted adjacent to each other on the BI system. The different frequency combinations of the adjacent BI models were set up using a lengthier stiffer model and a shorter flexible model or vice versa. Pounding in BI structures can take place at the isolation slab level and even at the frame’s slab level. Therefore, the BI models were fabricated such that the accelerometers to acquire responses were mounted at the isolation slab level and the other at the frame slab level center, as shown in Figure 3 and Figure 4. The BI models were fitted on the shake table rigidly, and unidirectional earthquake loading parallel to the length of the model was applied. The shake table was vibrated in displacement control mode for 0.4 g El-Centro 1940 NS earthquake excitation (Figure 5). In the experiments, a gap of 3 mm was maintained between the models for different combinations.
Figure 3.
Base-isolated flexible models. (a) Experimental setup; (b) schematic diagram.

Figure 4.
Base-isolated stiffer models. (a) Experimental setup; (b) schematic diagram.
Figure 5.
Vibration of 0.4 g El Centro 1940 NS Earthquake excitation input to the shake table.
3. Experimental Studies
Longer BI frame structures have expansion joints that might be flexible, stiffer, or a combination of flexible and stiffer arrangements. Therefore, the experiments were conducted for all these combinations. The individual acceleration (without pounding) response at the isolation level and frame slab level of the models for the seismic excitation is plotted in Figure 6. This is required to compare the DP and MP pounding responses and to analyse the pounding effects in longer structures with expansion joints. The expansion gap between the models had slab plane surfaces for impact interaction between the adjacent models at the isolation and frame slab levels during excitation. The gap space was reduced by 2 mm in the MP experiments due to the insertion of a rubber strip. The models were set on the shake table, as shown in Figure 3 and Figure 4, for experimentation. Pounding behaviour is unpredictable initially; experiments for scaled earthquake excitation were conducted for similar frequency models and then for different frequency models.

Figure 6.
Responses of individual base-isolated models subjected to earthquake excitation.
3.1. Pounding between Flexible Base-Isolated Models
The flexible BI models were used in this pounding experiment, as shown in Figure 3. A gap of 3 mm between the models was maintained on the shake table. These experiments aimed to study DP and MP responses between flexible BI model combinations of similar frequencies. Hence, for experiments BI (FL1 and FS1) and BI (FL2 and FS2), the combinations were used as adjacent models. The DP and MP experiments conducted with flexible models are listed in Table 3, and the responses at the isolation and frame slab levels were collected for analysis.
Table 3.
Experiments of flexible base-isolated models.
3.2. Pounding between Stiffer Base-Isolated Models
The stiffer BI models were used in these experiments, as shown in Figure 4. These experiments aimed to study DP and MP responses between stiffer model combinations of similar frequencies. Hence, for experiments BI (SL1 and SS1) and BI (SL2 and SS2), the combinations were used as adjacent models. A gap of 3 mm was maintained between specimens on the shake table. The list of experiments conducted using stiffer models for DP and MP is tabulated in Table 4, and the responses at both levels were collected for analysis.
Table 4.
Experiments of stiffer base-isolated models.
3.3. Pounding between Different Frequency Models
These experiments aimed to study DP and MP responses between different frequency BI model combinations with an expansion gap. The specimens used in these experiments were combinations of flexible and stiffer models, BI (SL1 and FS1), BI (FL1 and SS1), BI (SL2 and FS2), and BI (FL2 and SS2). The list of experiments using the combined models for DP and MP is tabulated in Table 5.
Table 5.
Experiments of different frequency models.
4. Acceleration Responses of Experiments
The acceleration responses of all the experiments were plotted for clear visualisation and investigation of reactions due to DP and MP at the isolation and frame slab levels when subjected to earthquake excitation. These responses vary due to the stiffness of the frame and due to the pounding effects. The impulse responses due to pounding are visible for analysis. The acceleration responses are given below for each category of the experiment.
4.1. Response of Models without Pounding
The responses at the isolation and frame slab levels of individual BI models subjected to earthquake excitation are presented in Figure 6. Each model displayed different reactions due to different stiffnesses and masses at the floor level. These without-pounding responses help us analyse the effect on acceleration variation during pounding experiments and compare the maximum deviation with Table 6. From the overall responses at the isolation slab level, we can observe that there was not a significant difference in the acceleration amplitude despite variations in the frame and frame slab mass stiffness. The pattern of response is similar in similar frequency models, irrespective of magnitude. The magnitude of the acceleration responses of the shorter BI models is much higher than the lengthier models.
Table 6.
Without-pounding responses.
4.2. Response of Pounding between Flexible Models
The response of DP and MP between the flexible BI model of similar frequency subjected to earthquake excitation is presented in Figure 7 and shows the pounding effect. The maximum acceleration of all the experiments is collected in Table 7 to demonstrate the overall behaviour of the flexible BI models at the isolation and frame slab levels. We observe changes in variance in the acceleration pattern in the initial 20 s with impulse curves during pounding and variations in the maximum magnitude when compared to the individual model responses. The responses of experiments BIFDP-1 and BIFMP-1 indicate that the shorter base isolated frame slab was highly disturbed due to pounding with the adjacent lengthier model. The shorter model’s acceleration maximum magnitude was increased by 80% due to pounding compared to without-pounding/individual models’ responses. The responses of BIFDP-2 and BIFMP-2 indicate that the pounding response magnitude was not greater than without-pounding responses. This indicates that the models used in this experiment are safer combinations of adjacent structures when considering the pounding effect. The mitigation technique in both experimental cases, BIFMP-1 and 2, is advantageous in reducing the magnitude of the response compared to DP, despite decreasing the clear gap and increasing the slab mass.

Figure 7.
Responses of DP and MP in flexible base-isolated models.
Table 7.
Maximum responses in flexible base-isolated models.
4.3. Response of Pounding between Stiffer Models
The responses from the experiments of the stiffer BI model combinations at the isolation slab and frame slab level are plotted for analysis in Figure 8. The maximum effect of pounding was investigated through the maximum acceleration response in Table 8 compared to without-pounding in Table 6. Since the stiffness of the frame structures is higher, pounding at the isolation level was visible during experimentation, and this is justified by comparing responses with without-pounding responses. The model responses of the BISDP-1 and BISMP-1 experiments’ magnitudes are lower than those of the individual models. The shorter frame slab’s maximum response magnitude was significantly reduced by 16% and 23% due to DP and MP, respectively. Therefore, this type of adjacent structural combination is safer in regard to the pounding effect. In the BISDP-2 and BISMP-2 experiments, the shorter frame model was affected due to pounding with the adjacent lengthier model. DP and MP increased the maximum response magnitude by 9.8% and 19.8%, respectively. Compared to the flexible model experiments for BIFDP-1 and BIFMP-1, the pounding effect was less in the stiffer BI models. The MP responses indicate that the mitigation technique used has advantages in terms of fewer slab mass combinations of models and disadvantages in terms of increased slab mass combinations.

Figure 8.
Responses of DP and MP in stiffer base-isolated models.
Table 8.
Maximum response in stiffer models.
4.4. Response of Pounding between Stiffer and Flexible Models
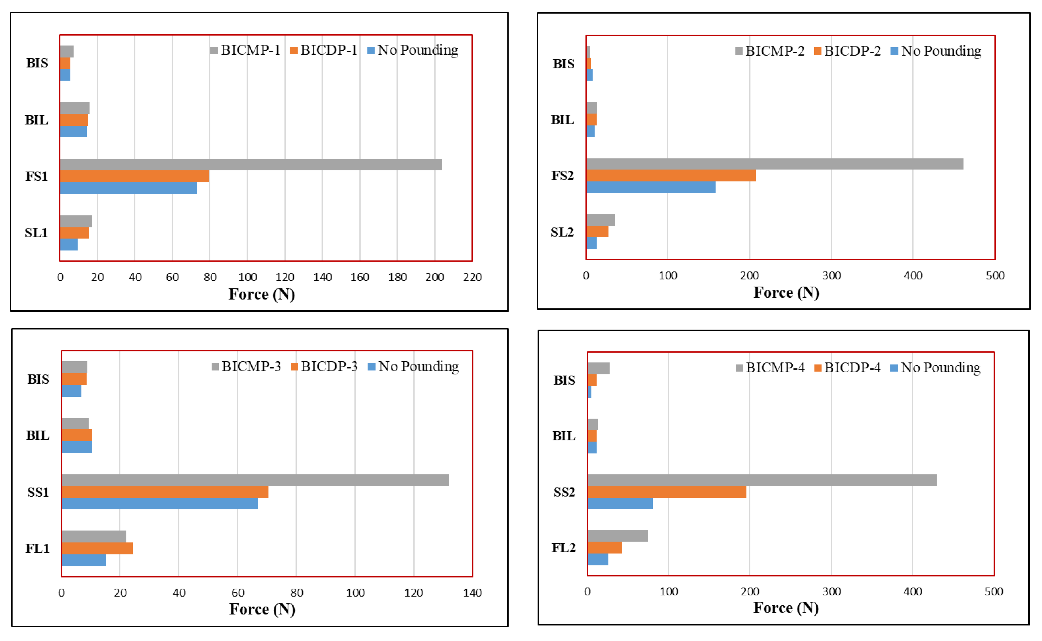
The experimental responses of adjacent different frequency BI frames are presented in Figure 9 for investigation of the pounding effect at the isolation and frame slab levels. The adjacent frame slabs’ reactions were found to be highly disturbed due to the DP and MP compared to previous nearer-frequency responses. Pounding at the isolation level can also be seen clearly from the acceleration responses’ graphs in Figure 9. The maximum magnitude tabulated in Table 9 compared to individual responses in Table 6 shows enormous differences compared to previous experimental observations. Frequent pounding between the adjacent models was observed for a longer duration, especially in BICMP-2 and 4, compared to previous experimental observations. One crucial parameter observed from the responses of this experiment is that the adjacent shorter model frame is highly affected due to pounding, irrespective of its stiffness.


Figure 9.
Responses of DP and MP between flexible and stiffer models.
Table 9.
Maximum response in a combination of different frequency models.
The responses of experiments BICDP-1 and 2 and BICMP-1 and 2 show that the pounding effect increased in the shorter flexible models due to increasing slab masses of the frames and the mitigation material in the gap. The maximum acceleration magnitude increased in the shorter frame FS due to DP and MP having risen by 1.3 and 2.9 times, respectively, without pounding maximum responses. Similarly, SL increased by 2.03 and 2.58 times in the lengthier frames due to the pounding effect. In experiments BICDP-3 and 4 and BICMP-3 and 4, we can also observe a similar effect in the adjacent models, which can be analysed from Figure 9 and Table 9. The BI FL frame’s magnitude of the acceleration was increased to the maximum by 1.62 and 2.88 times that of the without-pounding responses during DP and MP. Similarly, in the shorter, stiffer frame, we observed the maximum increase in the response magnitude by 1.97 and 5.32 times. The mitigation technique failed, and the adverse effect due to its presence was witnessed in the responses. Hence, neoprene rubber damping material between two different frequencies of BI frame structures in an expansion gap is not an advisable solution to reduce the pounding effect. The overall response variations due to pounding in BI different frequency combinations are much higher than those of similar frequency combinations. Hence, these different adjacent frequency BI structures combinations with expansion gaps behave vulnerably due to pounding.
5. Horizontal and Pounding Forces
Earthquake-resistant structures are designed for the maximum horizontal force induced at the floor level due to base excitation. The horizontal forces in the BI adjacent structures with expansion gaps are affected due to earthquake excitation and pounding at the expansion gap, as seen from the responses presented in Figure 7, Figure 8 and Figure 9 compared to the individual response in Figure 6. Hence, it is essential to analyse the maximum variation of horizontal forces due to the pounding effect. This analysis is also necessary to understand the behaviour of different combinations of adjacent structures based on dynamic properties. It is also essential to determine the efficiency of mitigating material behaviour by analysing the variation in the horizontal force due to its presence or absence in the expansion gap. Based on these maximum horizontal force variations due to pounding, the maximum pounding force induced in the adjacent structures was also evaluated.
The horizontal forces were calculated using the absolute maximum acceleration and the floor mass. The maximum horizontal forces due to the pounding effect minus the horizontal forces due to without-pounding effect derive the pounding force. The positive magnitude of the pounding force indicates an additional horizontal force that is added due to the impact interaction with the adjacent structures. The negative magnitude indicates the reduction of force compared to the individual response horizontal force, either transferred to the adjacent structures during pounding or absorbed by the structure or mitigation material between the adjacent structures. The horizontal and pounding details in the adjacent models at the isolation and frame slab levels were studied for all experimental combinations for analysing different structural combinations’ behaviour and determining the efficiency of the mitigation technique used.
5.1. Horizontal and Pounding Forces in Flexible Models Combinations
The horizontal forces at the isolation and frame slab levels of the BI adjacent flexible models’ combination experiments are plotted in Figure 10 to analyse the pounding effect. In the figure, the forces are plotted for the isolation and frame slab levels of the adjacent models to analyse the variation of forces at that level during various pounding conditions. In BIFDP-1 and BIFMP-1, the experimental horizontal forces plotted indicate a difference in the shorter model FS1 compared to the without-pounding case; it increased in force by 1.80 times during DP and 1.78 times during MP. Alternatively, in the lengthier frames and isolation levels, we can observe a reduction in forces during DP and MP, which indicates the transfer of force to the adjacent shorter models due to pounding. Due to the increase in the frame slab mass, we can observe different behaviour in the horizontal forces’ variation in the BIFDP-2 and BIFMP-2 experimental models. In this experiment, the shorter model’s horizontal forces during DP and MP were less than the individual models, but the lengthier frame model slab increased force by 1.7 times during DP and 1.8 times during MP.
Figure 10.
Maximum horizontal forces in flexible base-isolated models.
The pounding force derived from the differences of the horizontal forces during DP and MP with and without-pounding forces of the model is tabulated in Table 10 for investigation of the pounding effect in combinations of flexible BI adjacent structures with an expansion gap. In this table, we can observe that, due to the DP and MP between the BI FL1 and FS1 models, the pounding forces increased in the shorter model and there was a force reduction in the adjacent lengthier frames. Similar behaviour was also observed at the isolation levels. This presents a redistribution of the horizontal forces during pounding. However, in BI FL2 and FS2, the pounding forces were maximized in the lengthier models compared to the shorter ones. The efficiency of the mitigation technique adopted in these experiments was analysed by evaluating the difference in the horizontal forces during MP compared to DP. In BIFMP-3 and 4, we can observe that the horizontal pounding forces in the model’s frame slab decreased compared to the DP case due to the mitigation material. At the same time, this mitigation technique was not successful at the isolation level in the BIFMP-4 experiment. This indicates that the efficiency of the mitigation material was reduced due to an increased frame slab mass.
Table 10.
The pounding effect between flexible base-isolated models.
5.2. Horizontal and Pounding Forces in Stiffer Models Combinations
The experimental results of the horizontal and pounding forces of the adjacent stiffer base-isolated models’ combination of BISDP-1 and BISMP-1 plotted in Figure 11 and Table 11 show that the forces during DP and MP were less than the individual model forces. From this, we can observe that SL1 and SS1 were less by 16.86%, BIL was 34% less, and BIS was 9.7% less than without-pounding horizontal forces. The maximum pounding force induced in the models was of negative magnitude, indicating that the original horizontal forces in the models for earthquake excitation were reduced due to pounding between the adjacent models at the isolation and slab levels. The experimental results of BISDP-2 and BISMP-2 show that the horizontal and pounding forces in the shorter model SS2 increased by 9% and 14.5%, respectively, during DP and MP. The pounding forces in BISMP 1 indicate that, despite the reduction in the gap compared to the flexible model experiments, the mitigating technique worked well due to the increase in stiffness. Overall, the pounding forces were comparatively lower than the flexible model combinations. Hence, this combination of adjacent structures and mitigation techniques is safer for practical implementation, considering the pounding effect.
Figure 11.
Maximum horizontal force in stiffer base-isolated models.
Table 11.
The pounding effect between stiffer base-isolated models.
5.3. Horizontal and Pounding Forces in Different Frequency Models’ Combinations
The horizontal force of the different frequency combination experiments derived from the acceleration responses is plotted in Figure 12 to analyse the pounding effect. All four experimental horizontal force results indicate that, due to DP and MP, the forces at the isolation and frame slab levels were much greater than the individual model responses. The difference in the forces at the frame slab was greater than at the isolation level. In the MP experiments, the horizontal forces were significantly greater than the DP case in a shorter model, irrespective of its stiffness. In all the BICMP-1, 2, 3, and 4 experiments, the horizontal forces in the shorter model increased by 6.68, 2.9, 1.97, and 5.8 times the individual model’s maximum force, respectively, and these differences are enormously greater compared to the similar frequency models. This indicates the adverse effect of the mitigation material present in the gap. Compared to all the combinations of the different frequency experiments, BICDP-4 was adversely affected at the isolation and frame slab levels due to pounding. The BIS horizontal forces were 5.5 times greater, BIL was 1.2 times greater, FL2 was 2.9 times greater, and SS2 was 5.3 times greater than the individual model forces. Therefore, this experimental study proves that different frequency adjacent BI structures are highly vulnerable if a pounding interaction takes place. Compared to the similar frequency combinations, the horizontal force variation in these combinations was incredibly high. The overall pounding study in the different frequency adjacent structures indicates that the gap between the structures should be increased for the safety of structures against pounding. An expansion gap that is required between different frequency adjacent structures is larger than the gap between similar frequency structures for safer behaviour during the pounding effect.
Figure 12.
Maximum horizontal force in different frequency base-isolated models.
The pounding force of the experiments with BI adjacent models of different frequencies is presented in Table 12 to analyse the pounding effect at the isolation and frame slab levels due to earthquake excitation. Most of the magnitude of the pounding force shown in the table are positive values, indicating that in this different frequency combination of structures, the additional horizontal force was induced in the adjacent models due to pounding. This is mainly observed at the BI frame slab level. The experimental responses analysis shows that the shorter model was highly affected compared to the lengthier model in all the combinations tested, irrespective of its stiffness. Due to the increase in the slab mass, the pounding forces increased randomly to a significantly higher magnitude. Similar changes were observed in the MP results due to the reduction of the clear gap by the mitigating material. Since the pounding force is derived from horizontal force variation, we observed similar adverse effects during the MP cases, especially in BICMP-4. It was also observed that the pounding effect at the isolation level was comparatively much less than at the frame slab level. From the overall observations of the forces, it is clear that different frequency structures adjacent to each other with a pounding-gap must be avoided in practical implementation in earthquake zones. Comparing horizontal and pounding forces of different frequency experimental results with the similar frequency, we observed that similar frequency combinations are far better where the general mitigation technique works quite well.
Table 12.
The pounding effect between different frequency base-isolated models.
6. Numerical Analysis
The experiments with BI adjacent flexible and stiffer models were numerically simulated using the nonlinear solver function in LS-DYNA (Figure 13). In the model, the plate and rubber were represented by eight-node solid hexa elements (EL Form-1) with a mesh size of 2 mm. A Mat piecewise linear plasticity (MAT24) material card was assigned to a steel plate, and a Mat Mooney–Rivlin rubber (MAT27) mat card was assigned to the rubber pads. The nodes at the interface between the rubber and steel plate elements were equivalent and shared common nodes. A single surface with a 0.1 friction coefficient was used for automatic contact to capture the interactions. A 3 mm separation between the models was maintained, and the bottom surfaces of the BI models’ boundary conditions were assigned as fixed. The models were subjected to earthquake El Centro (0.4 g) loading. The maximum response of the finite element models and experiments is tabulated in Table 13. These response values match the experimental results tabulated in Table 7 and Table 8 with small deviations.
Figure 13.
FEM models. (a) Flexible BI adjacent models; (b) stiffer BI adjacent models.
Table 13.
Comparison between numerical and experimental responses of adjacent BI models.
7. Conclusions
The experiments of three different structural combinations of adjacent BI models were conducted to analyse the infield pounding effect between BI structures. The first two sets of experiments focused on the behaviour of the responses in similar-frequency BI models. The other set of experiments was concerned with different frequency models. The DP and MP responses of the models when subjected to El Centro earthquake excitation were analysed, and the following conclusions are summarised:
- The acceleration response, horizontal forces, and pounding forces for different combinations of adjacent BI models show that the similar-frequency combinations are acceptable compared to different frequency models under earthquake excitations. Hence, adjacent structures of similar frequencies with expansion gaps are advisable for practical implementations.
- Among the flexible and stiffer structures with similar frequency combinations, the stiffer model combination is safer from the pounding effect. When considering the pounding effect, adjacent stiffer structures with similar frequency (regardless of varying length, stiffness, and slab mass) are safer than different frequency adjacent stiffer structures.
- Introducing rubber material in the expansion gap reduces the pounding effect between similar frequency models compared to DP. This can be observed in experiments BIFMP 1 and 2 and BISMP 1 and 2. However, the mitigation technique adversely affected the adjacent model combinations BICMP-1 to 4. Hence, this mitigation technique can only be implemented in longer BI structures of similar frequencies.
- The results of experiments BICDP 1, 2, 3, and 4 indicate that, due to pounding, horizontal forces in shorter models are affected to a greater extent compared to the adjacent lengthier model. Irrespective of the stiffness and slab mass of shorter structures, these models are highly affected by pounding during earthquake excitation.
- The gap required between different frequency structures will be comparatively larger than that between similar frequency structures for safer behaviour considering the pounding effect.
- The acceleration responses of similar-frequency BI model experiments show fewer impulse curves, indicating a pounding effect, but regular impulses with higher magnitudes were observed in different frequency BI model combinations. Therefore, the force exchange at the expansion gap between the different frequency models next to each other lasts longer.
- The pounding effect on the acceleration response and horizontal force at the isolation level is comparatively much less than at the frame slab level, which is noticeable in all combinations.
The conclusions are based on extensive shake table testing for different combinations of adjacent BI structures with an expansion gap. Expansion gaps in construction are unavoidable; thus, the present study gives preliminary guidelines for practically mitigating the adverse effects of pounding between adjacent structures. However, as an extension of this work, more earthquake ground motion and analytical models are being investigated to further validate the outcomes of the present study.
Author Contributions
Conceptualization, S.S.H. and R.S.J.; methodology, S.S.H.; software, S.S.H.; validation, S.S.H. and R.S.J.; formal analysis, S.S.H. and R.S.J.; investigation, R.S.J.; resources, S.S.H.; data curation, S.S.H.; writing—original draft preparation, S.S.H.; writing—review and editing, S.S.H.; visualization, R.S.J.; supervision, R.S.J.; project administration, S.S.H. and R.S.J.; funding acquisition, S.S.H. and R.S.J.; All authors have read and agreed to the published version of the manuscript.
Funding
This research received no external funding.
Institutional Review Board Statement
Not applicable.
Data Availability Statement
Not applicable.
Acknowledgments
This research was supported by the Indian Institute of Technology Bombay (IITB) under the Quality Improvement Program (QIP). The researcher thanks Argahdeep Laskar, Heavy Structures Laboratory. The researcher also thanks the technical team of the Heavy Structures Laboratory headed by Nissar Khan, for their active technical support and cooperation during the various stages of research. Thanks are also due to the staff of the Experiment Mechanics Laboratory for their technical help and support.
Conflicts of Interest
The authors declare no conflict of interest.
References
- Kasai, K.; Maison, B.F. Building Pounding Damage during the 1989 Loma Prieta Earthquake. Eng. Struct. 1997, 19, 195–207. [Google Scholar] [CrossRef]
- Jankowski, R.; Wilde, K.; Fujino, Y. Pounding of Superstructure Segments in Isolated Elevated Bridge during Earthquakes. Earthq. Eng. Struct. Dyn. 1998, 27, 487–502. [Google Scholar] [CrossRef]
- Shrestha, B.; He, L.; Bi, K.; Hao, H.; Ren, W. Experimental Study of Seismic Pounding Effects on Bridge Structures Subjected to Spatially Varying Ground Motions. In Proceedings of the Australian Earthquake Engineering Society 2014 Conference, Lorne, VI, Australia, 21–23 November 2014; Available online: https://aees.org.au/wp-content/uploads/2015/06/29-Shrestha.pdf (accessed on 15 January 2023).
- Cole, G.L.; Dhakal, R.P.; Turner, F.M. Building Pounding Damage Observed in the 2011 Christchurch Earthquake. Earthq. Eng. Struct. Dyn. 2012, 41, 893–913. [Google Scholar] [CrossRef]
- Zahrai, S.M.; Heidarzadeh, M. Destructive Effects of the 2003 Bam Earthquake on Structures. Asian J. Civ. Eng. (Build. Hous.) 2007, 8, 329–342. [Google Scholar]
- Sato, E.; Furukawa, S.; Kakehi, A.; Nakashima, M. Full-Scale Shaking Table Test for Examination of Safety and Functionality of Base-Isolated Medical Facilities. Earthq. Eng. Struct. Dyn. 2011, 40, 1435–1453. [Google Scholar] [CrossRef]
- Patel, C.C.; Jangid, R.S. Dynamic Response of Adjacent Structures Connected by Friction Damper. Earthq. Struct. 2011, 2, 149–169. [Google Scholar] [CrossRef]
- Patel, C.C.; Jangid, R.S. Dynamic Response of Identical Adjacent Structures Connected by Viscous Damper. Struct. Control. Health Monit. 2014, 21, 205–224. [Google Scholar] [CrossRef]
- Ye, K.; Li, L.; Zhu, H. A Modified Kelvin Impact Model for Pounding Simulation of Base-Isolated Building with Adjacent Structures. Earthq. Eng. Eng. Vib. 2009, 8, 433–446. [Google Scholar] [CrossRef]
- Pant, D.R.; Wijeyewickrema, A.C. Structural Performance of a Base-Isolated Reinforced Concrete Building Subjected to Seismic Pounding. Earthq. Eng. Struct. Dyn. 2012, 41, 1709–1716. [Google Scholar] [CrossRef]
- Masroor, A.; Mosqueda, G. Impact Model for Simulation of Base Isolated Buildings Impacting Flexible Moat Walls. Earthq. Eng. Struct. Dyn. 2013, 42, 357–376. [Google Scholar] [CrossRef]
- Mavronicola, E.A.; Polycarpou, P.C.; Komodromos, P. Spatial Seismic Modeling of Base-Isolated Buildings Pounding against Moat Walls: Effects of Ground Motion Directionality and Mass Eccentricity. Earthq. Eng. Struct. Dyn. 2017, 46, 1161–1179. [Google Scholar] [CrossRef]
- Zhai, C.; Jiang, S.; Li, S.; Xie, L. Dimensional Analysis of Earthquake-Induced Pounding between Adjacent Inelastic MDOF Buildings. Earthq. Eng. Eng. Vib. 2015, 14, 295–313. [Google Scholar] [CrossRef]
- Matsagar, V.A.; Jangid, R.S. Seismic Response of Base-Isolated Structures during Impact with Adjacent Structures. Eng. Struct. 2003, 25, 1311–1323. [Google Scholar] [CrossRef]
- Matsagar, V.A.; Jangid, R.S. Impact Response of Torsionally Coupled Base-Isolated Structures. J. Vib. Control 2010, 16, 1623–1649. [Google Scholar] [CrossRef]
- Komodromos, P.; Polycarpou, P.C.; Papaloizou, L.; Phocas, M.C. Response of Seismically Isolated Buildings Considering Poundings. Earthq. Eng. Struct. Dyn. 2007, 36, 1605–1622. [Google Scholar] [CrossRef]
- Agarwal, V.K.; Niedzwecki, J.M.; van de Lindt, J.W. Earthquake Induced Pounding in Friction Varying Base Isolated Buildings. Eng. Struct. 2007, 29, 2825–2832. [Google Scholar] [CrossRef]
- Komodromos, P. Simulation of the Earthquake-Induced Pounding of Seismically Isolated Buildings. Comput. Struct. 2008, 86, 618–626. [Google Scholar] [CrossRef]
- Polycarpou, P.C.; Komodromos, P. On Poundings of a Seismically Isolated Building with Adjacent Structures during Strong Earthquakes. Earthq. Eng. Struct. Dyn. 2010, 39, 933–940. [Google Scholar] [CrossRef]
- Polycarpou, P.C.; Komodromos, P. Earthquake-Induced Poundings of a Seismically Isolated Building with Adjacent Structures. Eng. Struct. 2010, 32, 1937–1951. [Google Scholar] [CrossRef]
- Pant, D.R.; Wijeyewickrema, A.C. Influence of Near-Fault Ground Motions on the Response of Base-Isolated Reinforced Concrete Buildings Considering Seismic Pounding. Adv. Struct. Eng. 2013, 16, 1973–1988. [Google Scholar] [CrossRef]
- Pant, D.R.; Wijeyewickrema, A.C. Performance of Base-Isolated Reinforced Concrete Buildings under Bidirectional Seismic Excitation Considering Pounding with Retaining Walls Including Friction Effects. Earthq. Eng. Struct. Dyn. 2014, 43, 1521–1541. [Google Scholar] [CrossRef]
- Polycarpou, P.C.; Komodromos, P.; Polycarpou, A.C. A Nonlinear Impact Model for Simulating the Use of Rubber Shock Absorbers for Mitigating the Effects of Structural Pounding during Earthquakes. Earthq. Eng. Struct. Dyn. 2013, 42, 81–100. [Google Scholar] [CrossRef]
- Mavronicola, E.A.; Polycarpou, P.C.; Komodromos, P. Effect of Ground Motion Directionality on the Seismic Response of Base Isolated Buildings Pounding against Adjacent Structures. Eng. Struct. 2020, 207, 110202. [Google Scholar] [CrossRef]
- Jing, W.; Feng, J.; Cheng, X. Pounding Probability of Base-Isolated Steel Liquid Storage Tank Under Earthquake Actions. J. Vib. Eng. Technol. 2021, 9, 1347–1357. [Google Scholar] [CrossRef]
- Mazza, F.; Labernarda, R. Effects of Near-Fault Acceleration and Non-Acceleration Pulses on Pounding between in-Plan Irregular Fixed-Base and Base-Isolated Buildings. Struct. Control. Health Monit. 2022, 29, 2. [Google Scholar] [CrossRef]
- Khatami, S.M.; Naderpour, H.; Mortezaei, A.; Sharbatdar, A.; Lasowicz, N.; Jankowski, R. The Effectiveness of Rubber Bumpers in Reducing the Effects of Earthquake-Induced Pounding between Base-Isolated Buildings. Appl. Sci. 2022, 12, 4971. [Google Scholar] [CrossRef]
- Stanikzai, M.H.; Elias, S.; Matsagar, V.A.; Jain, A.K. Seismic Response Control of Base-Isolated Buildings Using Multiple Tuned Mass Dampers. Struct. Des. Tall Spec. Build. 2019, 28, e1576. [Google Scholar] [CrossRef]
- Rupakhety, R.; Elias, S.; Olafsson, S. Shared Tuned Mass Dampers for Mitigation of Seismic Pounding. Appl. Sci. 2020, 10, 1918. [Google Scholar] [CrossRef]
- Djerouni, S.; Elias, S.; Abdeddaim, M.; De Domenico, D. Effectiveness of Optimal Shared Multiple Tuned Mass Damper Inerters for Pounding Mitigation of Adjacent Buildings. Pract. Period. Struct. Des. Constr. 2023, 28, 04022063. [Google Scholar] [CrossRef]
- Djerouni, S.; Elias, S.; Abdeddaim, M.; Rupakhety, R. Optimal Design and Performance Assessment of Multiple Tuned Mass Damper Inerters to Mitigate Seismic Pounding of Adjacent Buildings. J. Build. Eng. 2022, 48, 103994. [Google Scholar] [CrossRef]
- Djerouni, S.; Abdeddaim, M.; Ounis, A. Seismic Response Control of Adjacent Buildings Using Optimal Backward-Shared Tuned Mass Damper Inerter and Optimal Backward-Shared Tuned Inerter Damper. Asian J. Civ. Eng. 2021, 22, 1499–1523. [Google Scholar] [CrossRef]
- Elwardany, H.; Jankowski, R.; Seleemah, A. Mitigating the Seismic Pounding of Multi-Story Buildings in Series Using Linear and Nonlinear Fluid Viscous Dampers. Arch. Civ. Mech. Eng. 2021, 21, 137. [Google Scholar] [CrossRef]
- Kazemi, F.; Mohebi, B.; Jankowski, R. Predicting the Seismic Collapse Capacity of Adjacent SMRFs Retrofitted with Fluid Viscous Dampers in Pounding Condition. Mech. Syst. Signal Process. 2021, 161, 107939. [Google Scholar] [CrossRef]
- Masroor, A.; Mosqueda, G. Experimental Simulation of Base-Isolated Buildings Pounding against Moat Wall and Effects on Superstructure Response. Earthq. Eng. Struct. Dyn. 2012, 41, 2093–2109. [Google Scholar] [CrossRef]
- Otsuki, Y.; Kurata, M.; Skalomenos, K.A.; Ikeda, Y. Damage Sequence and Safety Margin Assessment of Expansion Joints by Shake Table Testing. Earthq. Eng. Struct. Dyn. 2019, 48, 3–26. [Google Scholar] [CrossRef]
Disclaimer/Publisher’s Note: The statements, opinions and data contained in all publications are solely those of the individual author(s) and contributor(s) and not of MDPI and/or the editor(s). MDPI and/or the editor(s) disclaim responsibility for any injury to people or property resulting from any ideas, methods, instructions or products referred to in the content. |
© 2023 by the authors. Licensee MDPI, Basel, Switzerland. This article is an open access article distributed under the terms and conditions of the Creative Commons Attribution (CC BY) license (https://creativecommons.org/licenses/by/4.0/).


















