Abstract
Epoxy resin concrete has superior mechanical properties compared to ordinary concrete, and will play an increasingly important role in urban construction. In this paper, the application effect and prospect of epoxy resin concrete in precast composite frame structures are discussed. Taking the joint surface of the old and new concrete at the end of the composite beam as the research object, three specimens were devised and fabricated. Subsequently, a horizontal cyclic load test was conducted, and the seismic performance indices were analyzed. Multiple finite element models were established to assess the influence of precast concrete strength, the diameter of the longitudinal bar of the beam, the shear span ratio, and the epoxy resin concrete post-cast area, among other factors, on the seismic performance of the beam end. Four findings indicate the following: Firstly, epoxy resin concrete, characterized by its high performance attributes, can be used as a post-cast material in precast concrete structures. Secondly, when the strength of the post-cast epoxy concrete approximates or slightly exceeds that of the precast concrete, and the ratio of longitudinal reinforcement and shear span ratio are appropriately balanced, the operational performance of the composite beam frame structure is enhanced. In addition, when post-cast epoxy resin concrete is employed in the beam-column joint area, the mechanical performance of the composite beam end in the joint area matches or even surpasses that of the structure that was cast in situ. And subsequently, the expansion of post-cast area resulted in better mechanical performance. Finally, when the area of post-cast epoxy resin concrete is a non-node area, the mechanical properties of the composite beam end are worse than the former. However, the amount of epoxy resin concrete used will be greatly reduced, and as the precast node area expands, the bearing capacity of the beam end will increase and gradually approach the cast-in situ structure, indicating that this construction scheme also has advantages.
1. Introduction
The advantages of precast structures comprise rapid production speed, consistent component quality, high construction efficiency, reduced labor resource consumption, and the promotion of sustainable development [1]. Therefore, they have progressively assumed a pivotal role in the burgeoning construction industry. Simultaneously, as individuals’ demands for building functionalities continue to advance, the complexity and height of structures have escalated, thereby imposing more stringent requirements on the safety and reliability of building structures, including those of a precast nature.
Failures in prefabricated concrete structures frequently occur at the joints of each prefabricated component, thus rendering joint design a key point in structural design [2]. In recent years, numerous scholars have delved into the seismic performance of prefabricated concrete frame joints [3,4,5,6], as well as the seismic performance of bucket arch joints [7], yielding a wealth of findings. Refs. [8,9,10,11] mainly study the composite frame structure from the aspects of composite surface construction, shear resistance, and bending resistance of composite beams. However, so far, most of the studies on prefabricated frame structures focus on the post-cast area in beam-column joints. The non-node area is rarely involved as a post-cast area, and this is in fact also a commonly used construction scheme in engineering.
In addition, the global development of high-performance concrete [12] has prompted the gradual exploration of its application in precast structures. In 1993, Soubra et al. [13] conducted a study on the mechanical properties of post-cast steel fiber concrete precast beam-column members, revealing that the load-bearing capacity of steel fiber concrete-connected members surpassed that of ordinary concrete-connected members. In 2005, Gustavo et al. [14] employed high-performance fiber-reinforced cement composites (HPFRCC) in the post-cast joints of earthquake-resistant structures, resulting in significantly enhanced shear strength, ductility, and energy dissipation capacity when subjected to significant inelastic deformation. In 2009, Zheng et al. [15] proposed the utilization of ultra-high-performance concrete material (UHPC) for post-cast components of prefabricated members, demonstrating the favorable integrity performance of post-cast UHPC material in the prefabricated framework. In 2019, Deng et al. [16] substituted ordinary concrete with high ductility concrete (HDC) in nodal sections, thereby realizing the robust-nodal design principle and effectively enhancing the deformation and energy dissipation capacity of frame nodes. In terms of composite frame structures, in 2023, Wang et al. [17] proposed a new type of UHPC shear bond wet joint for connecting different prefabricated components of the precast composite beam, and evaluated the influence of different parameters of the UHPC shear bond on the shear performance of the wet joint through a series of launch tests. In 2016, Liang et al. [18] studied the important seismic characteristics of fiber-reinforced concrete (FRC) beam-column joints and RC beam-column joints under quasi-static reciprocating loads, and the results showed that the bearing capacity and deformation capacity of the beam-column joints were improved by post-cast FRC in the core area of the composite beams.
Epoxy resin concrete is a high-performance concrete—a combined material comprising epoxy resin, a curing agent, and a sand aggregate—that exhibits superior characteristics compared to conventional silicate concrete, including enhanced tensile strength, crack resistance, material uniformity, integrity, and freeze-thaw resistance [19]. Due to the illustrious interfacial bond strength between epoxy resin and concrete, as well as its commendable thermal stability, chemical resistance, and mechanical properties, it is commonly employed in reinforcement projects such as concrete crack repair [20,21,22,23,24]. Gil-Martin et al. [25] conducted a study comparing the mechanical properties of beam-column joints constructed with epoxy resin concrete and tire-doped rubber concrete. The findings revealed that the beam-column joints utilizing epoxy resin concrete exhibited satisfactory performance, whereas the tire-rubber doped concrete proved unsuitable for the core area of the joints. In addition, the mechanical properties of members of epoxy resin concrete were studied in Refs. [26,27,28]. This study provided rationale and direction for the application of epoxy concrete in building structures. However, there are very few studies on the application of epoxy resin concrete in building structures. At the same time, because the epoxy resin base has a good interfacial bond strength with concrete, if it is applied to the post-cast area of the monolithic precast concrete structure, it will greatly improve the bonding quality and shear strength of the new and old concrete bonding surface, and solve the key problems of prefabricated structures. However, there is almost no research in this area.
In light of the exceptional mechanical properties of epoxy resin concrete, this research aims to employ it as the post-cast material for a monolithic precast composite frame structure, takes the joint surface of new and old concrete at the end of the composite beam as the research object, and adopts the method of combining test and finite element analysis to study the influence of the type of post-cast concrete, the concrete strength, the ratio of longitudinal reinforcement of the beam, the shear-span ratio, and the scope and location of the post-cast area on the seismic performance of the composite beam end. Then, the bending and shear performance of the composite beam end with post-cast epoxy resin concrete was evaluated to provide data support for the popularization and application of epoxy resin concrete in precast building structures.
2. Test Profile
2.1. Test Piece Design
The research focused on the beam ends of the frame edge nodes, which served as the selected subjects for investigation. Three specimens were designed and produced, each utilizing different post-cast materials. Table 1 presents the fundamental particulars of these specimens. The dimensions of the (composite) beam section were b × h = 150 mm × 300 mm, with a post-cast layer thickness of 100 mm. The column section measured 300 mm × 300 mm. Both the beams and columns were reinforced with HRB400 longitudinal bars and stirrups. The joint interface between post-cast concrete and precast component of the composite beam was positioned 50 mm below the upper edge of the beam-column joint. The horizontal bonding surface was offered with a keyway, featuring a rough texture, while the vertical bonding surface also exhibited a rough texture. Figure 1 illustrates the geometry and reinforcement of the specimens.
Table 1.
Basic information of specimens.

Figure 1.
Specimens size and reinforcement. Note:
Precast ordinary concrete;
Cast- and Post-cast ordinary concrete;
Post-cast epoxy resin concrete.
Precast ordinary concrete;
Cast- and Post-cast ordinary concrete;
Post-cast epoxy resin concrete.
2.2. Basic Mechanical Properties of Materials
The average cubic compressive strength of the precast concrete was measured to be 30.9 MPa, whereas the average cubic compressive strength of the post-cast ordinary concrete amounted to 33.6 MPa. The mix ratio of the epoxy concrete is detailed in Table 2, with the average compressive strength of the measured cube reaching 55.4 MPa. The average yield strength of the 16 mm steel bar was determined to be 361.1 MPa, while the 8 mm steel bar exhibited an average yield strength of 369.5 MPa. In addition, the elastic modulus of the steel bar was measured to be 2.0 × 105 MPa.
Table 2.
Mix ratio of epoxy resin concrete.
2.3. The Production Process of the Specimens
The plywood was utilized as the formwork material. The cast-in situ specimen was constructed in one pouring process, while the other two specimens underwent two pouring processes. The key production process of specimens is depicted in Figure 2. Initially, the steel framework was assembled, and the formwork was produced. Subsequently, the mold was supported and the steel framework was positioned accordingly. At the joint of the new-old concrete, the polyethylene partition was temporarily supported and secured. Following this, the concrete (precast part) was poured for the first time. After the precast section had undergone curing and solidification, the temporarily fixed polyethylene partition was removed, and the formwork was cleansed and dried. Subsequently, a second concrete (post-cast part) pouring was conducted. Three days later, the mold was dismantled and stored in a cool environment for a duration of 28 days.
Figure 2.
Key production process of specimens.
2.4. Loading Device and Loading Scheme
The testing apparatus for loading is illustrated in Figure 3. The horizontal reciprocating load was applied at the midpoint of the terminal section of the loading beam. This process was divided into two loading stages: load control and displacement control. Prior to the specimen reaching its yield point, load control loading was implemented. Once the specimen had yielded, displacement control loading was employed. The load was regulated by a multiple of the yield displacement. The load cycle for each stage was repeated three times until the bearing capacity of the specimen declined to below 85% of the peak load, thereby concluding the test.
Figure 3.
Test loading device.
3. Test Process and Failure Characteristics of Specimen
- (1)
- Specimen WJ-RC
Under 40 kN (push), the first horizontal crack emerges at the right side of the beam end, positioned 12 cm above the base. When the load is increased to 50 kN (push), the beam-column junction on the right side of the beam end experiences cracking. Upon applying a reverse load of 50 kN (pull), an oblique crack appears at the left side of the beam end, positioned 5 cm above the base. This crack extends diagonally towards the lower right, passing through the left root and causing the tensile steel bar to yield. The yield displacement, Δy = 1.21 mm. Subsequently, displacement control loading leads to the formation of oblique cracks at different heights along the beam end as the displacement increases. When the beam is loaded to 3Δy (pull), the left oblique crack extends diagonally towards the lower right, intersecting with the right oblique crack to form a cross-shaped main crack. Additionally, a horizontal crack traverses the width of the beam section. Upon reaching 6Δy, the peak load of 130.8 kN is achieved. During the progressive reduction in bearing capacity, the shear oblique crack widens, causing slight compression of the concrete at the left root of the beam end. The right root of the beam end exhibits a slight tendency to lift, indicating its weakness. At a load of 9Δy, the load drops to 85% of the peak load, marking the end of the test. The failures of the specimen are depicted in Figure 4.
Figure 4.
Failure condition of specimen WJ-RC.
- (2)
- Specimen WJ-CC
When subjected to a load of 30kN (pull), the first crack appears along the right side of the keyway on the horizontal bonding surface. Under a load of 40 kN (push), the right beam-column junction experiences cracking. Upon reaching a load of 41.3 kN (pull), the beam’s longitudinal tendons yield, resulting in a yield displacement of Δy = 1.25 mm. Subsequent displacement-controlled loading leads to the emergence of horizontal cracks at various heights along the beam’s end, with oblique cracks extending towards the keyway of the bonding surface as the displacement increases. When the beam is subjected to a load of 3Δy (push), the horizontal cracks in the beam’s width direction become interconnected. Conversely, when the beam is loaded to 3Δy (pull), primary cross cracks form. The peak load is attained at 6Δy (with an average peak load of 117.5 kN in both directions), beyond which the load reduces. Upon reaching a reverse load of 9Δy (pull), slippage occurs at the interface between the new and old concrete, leading to crack development. Severe damage is observed on both sides of the keyway and the vertical joint, with the post-cast concrete on the right side of the beam experiencing near-shear failure. At a load of 11Δy, the load decreases to 85% of the peak load, marking the conclusion of the test. The failures of the specimen are depicted in Figure 5.
Figure 5.
Failure condition of specimen WJ-CC.
- (3)
- Specimen WJ-EC
When subjected to a load of 40kN (push), the initial occurrence of a crack is observed on the left horizontal joint surface of the beam end, which subsequently propagates above the keyway. Upon further loading to 64.5kN (push), a portion of the tensile steel bar undergoes yielding, resulting in a yield displacement of Δy = 1.1 mm. Subsequently, displacement control loading is implemented, accompanied by the application of a reciprocating load. As a consequence, inclined cracks emerge in the prefabricated section, extending towards the keyway, while the post-cast epoxy resin concrete section remains devoid of evident cracks. Upon reaching a load of 6Δy, a series of subtle horizontal cracks occur in the tension area beneath the post-cast epoxy concrete on the right side of the beam end. Notably, these cracks do not exhibit significant propagation thereafter. Conversely, the cracks in the precast concrete, situated on the upper part of the keyway of the horizontal bonding surface, experience an increase in both magnitude and intersection. The peak load is attained at 10Δy (with an average value of 129.1 kN in both loading directions). Subsequently, the load gradually diminishes, resulting in severe concrete spalling above the keyway of the horizontal bonding surface. At a load of 13Δy, the load drops to 85% of the peak load, signifying the conclusion of the test. The failures of the specimen are depicted in Figure 6.
Figure 6.
Failure condition of specimen WJ-EC.
In summary, flexural-shear failure was observed in all three specimens. Among them, the integrity of cast-in situ specimens was found to be superior, exhibiting a greater number of inclined cracks and a more uniform distribution. The weakest section was identified as the beam end root section, which displayed characteristics of bending failure. The failure of the two composite beam specimens primarily occurred at the joint between the old and new concrete. In the case of specimen WJ-CC, the vertical joints and horizontal joints with keyway suffered severe damage, with the ordinary concrete pouring layer being nearly severed, resulting in poor integrity. Specimen WJ-EC, on the other hand, experienced concentrated failure on the horizontal bonding surface with keyway, while the vertical bonding plane remained largely intact. Notably, the precast part—i.e., the horizontal bonding plane—exhibited significant damage. In the post-cast epoxy concrete area, only a few small cracks with a uniform distribution were observed, indicating the participation and contribution of the post-cast epoxy resin concrete to improving the overall performance of the node area in the load-bearing process.
4. Experimental Results and Analysis
4.1. Hysteresis Curve
Figure 7 illustrates the P-Δ hysteresis curves of the three specimens. Due to a malfunction in the displacement meter, the hysteresis curve of WJ-RC is asymmetric, and then the negative hysteretic characteristics were observed and analyzed.
Figure 7.
Hysteresis curve of specimens.
As depicted in Figure 7, the mechanical properties of the epoxy resin concrete render is superior to post-cast ordinary concrete specimen WJ-CC. The post-cast epoxy concrete specimen WJ-EC exhibits a decelerated strength degradation, a more complete hysteresis loop, and enhanced energy dissipation capacity. In addition, the hysteresis loop of WJ-EC surpasses that of WJ-RC, albeit marginally, thereby indicating that the hysteresis performance of composite beam frame joints in post-cast epoxy concrete is equivalent to, or even surpasses, that of fully-cast joints.
4.2. Skeleton Curve
Figure 8 illustrates the skeleton curves for each specimen, while Table 3 presents the measured data for each characteristic point on the skeleton curve. The following can be seen from Figure 8 and Table 3:
Figure 8.
Skeleton curve.
Table 3.
The measured data of skeleton curve feature points of each specimen.
- (1)
- During the early loading stage, the load value of the WJ-EC specimen exhibited the most rapid increase, indicating the highest stiffness. In comparison, the stiffness of the WJ-RC and WJ-CC specimens was slightly lower, with minimal difference between them. After reaching the ultimate load, the WJ-EC specimen demonstrated the slowest decrease in bearing capacity, followed by the WJ-RC specimen, while the bearing capacity of the WJ-CC specimen exhibited a more pronounced decline.
- (2)
- The cracking load of the WJ-CC specimen was the lowest, whereas the cracking load of the WJ-EC specimen was marginally lower than that of the fully cast specimen, with no significant distinction between them. The initial crack in both the WJ-CC and WJ-EC specimens appeared on the horizontal joint surface between the old and new concrete. The cracking displacement of the two specimens was similar and smaller than that of the fully cast specimens.
- (3)
- The overall trend of the skeleton curve for the WJ-EC specimen was higher, resulting in a 10% increase in bearing capacity compared to the WJ-CC specimen. The bearing capacity of the WJ-EC specimen was similar to that of the WJ-RC specimen, but the ductility of the WJ-EC specimen was 1.65 times greater than that of the WJ-RC specimen.
In summary, considering the cracking load, bearing capacity, stiffness, and ductility, the performance of post-cast ordinary concrete specimens is deemed the most inferior. Conversely, the performance of post-cast epoxy resin concrete specimens is either equivalent to or surpasses that of all the fuiiy-cast specimens.
5. Finite Element Analysis
Modeling and finite element analysis of concrete and epoxy resin concrete can be carried out from both micro and macro perspectives. Simulations at the micro scale are more accurate. For example, M.M. Shahzamanian [29] simulated the representative volume element (RVE) of a gelling system (Type I) containing fly ash (Class F) by using the voxel-based finite element analysis (FEA) method, and analyzed the homogenized macroscopic mechanical properties. Kamali-Bernard [30] proposed a three-dimensional multi-scale modeling method for the mechanical properties of cement-based materials—that is, to generate real 3D representative V-volume elements of cement-based materials at different scales, and then analyze and calculate their mechanical properties. The macroscopic perspective—that is, ignoring the microstructure of concrete and simulating its mechanical properties only from the macroscopic perspective—is more suitable for the analysis of concrete structures. In this paper, both concrete and epoxy resin concrete are simulated from a macroscopic perspective.
5.1. Constitutive Model of Materials
For the concrete, a plastic damage model is employed, while the constitutive relationship of ordinary concrete adheres to the uniaxial stress-strain curve recommended in the Code for Design of Concrete Structures [31]. As for epoxy resin concrete, its constitutive relation is established based on the comprehensive curve equation of compressive stress-strain, which has been fitted by our research group through tests (Equation (1)). The stress-strain curve of the rebar follows a double broken line model.
a and b are undetermined parameters whose values range from:
In this paper, a is 0.7 and b is 7.
5.2. Establishment of Model
The epoxy resin concrete is modeled using the C3D8R unit, while the rebar is modeled using the T3D2 unit. The rebar is fully embedded in the concrete. The interface between the new and old concrete is simulated using surface-to-surface contact, and the tangential action is based on the Coulomb friction model. According to Ref. [32], combined with EU Norms [33]: the friction coefficient μ is taken as 0.6 for new and old concrete bonding surfaces with untreated surfaces, μ is taken as 0.7 for bonding surfaces with a roughness not less than 3 mm and a width not less than 40 mm, and μ is taken as 0.9 for the cogging bonding surface. The friction coefficient μ of the interface between ordinary concrete in this paper is taken as 0.8, and after repeated calculations, the friction coefficient μ of the interface between epoxy resin concrete and ordinary concrete is taken as 0.95. Normal action is governed by “Hard contact”, wherein the contact pressure is unrestricted when transmitted through the contact surface. If the contact pressure value becomes negative, the two contact surfaces separate, and the contact constraint on the node is released. The bottom beam is subjected to fixed constraints, and the loading mode is monotone loading.
5.3. Model Verification
The specimens WJ-RC, WJ-CC, and WJ-EC were subjected to finite element analysis individually, enabling an approximation of the damage conditions of the model through the distribution of the concrete compression damage factors, as depicted in Figure 9. It is evident from Figure 9a that the cast-in situ specimen WJ-RC exhibits superior integrity and a more uniform distribution of damage. Conversely, Figure 9b,c reveals noticeable differences in the damage conditions between the new and old concrete bonding surfaces. The vertical and horizontal joints of the WJ-CC specimens suffered severe damage, while the WJ-EC specimen primarily exhibited concentrated damage on the precast concrete of the upper side of the horizontal bonding surfaces, with the concrete on both sides of the vertical bonding surface remaining essentially intact. In summary, the numerical simulation results effectively approximate the actual failure state of the specimen.
Figure 9.
Comparison of failure forms of each specimen.
Figure 10 and Table 4 present a comparison between the test results and the simulation results of the skeleton curves for each specimen. The overall trend of the curves demonstrates a significant similarity between the two. The simulated value deviates from the test value of the peak load by approximately 10%, while the deviation between the simulated value and the test value of the peak displacement amounts to roughly 20%. The excessive initial slope of the simulated skeleton curve can be attributed to the finite element simulation’s neglect of adverse factors such as residual stress and gap squeezing between the test loading devices. In general, the finite element model established in this study adequately approximates the mechanical properties of the beam ends in the joint region of the overlapping beams.
Figure 10.
Comparison between simulated skeleton curve and test skeleton curve.
Table 4.
Comparison of experimental and simulated shear strength.
5.4. Influence of Parameter Variation on Seismic Performance of the Composite Beam
Based on specimen WJ-EC, a finite element analysis was conducted, examining parameters such as the strength of precast concrete, the diameter of longitudinal reinforcement in beams and columns, the shear span ratio, and the post-cast area of epoxy resin concrete. Certain parameters remained unchanged, including the strength of post-cast epoxy resin concrete, the reinforcement ratio of stirrups, and the size of key slots. A total of 14 finite element models were established in 5 groups, as detailed in Table 5 and Table 6. Among them, changing the post-cast area of epoxy resin concrete includes two cases. In the first case, the post-cast joint area with epoxy resin concrete was expanded by modifying the distance y between the horizontal joint surface and the upper edge of the beam-column joint, resulting in an enlarged post-cast joint area (Figure 11a), as shown in specimens WJ-EC10 and WJ-EC11. The second case aimed to retain the integrity of the precast beam-column joints while changing the position of the precast joint area and horizontal joint surface in the composite beam (Figure 11b). Specimens WJ-EC12, WJ-EC13, and WJ-EC14 exemplify this scenario.
Table 5.
Parameter setting of the model (The first case).
Table 6.
Parameter setting of the model (The second case).
Figure 11.
The model diagram of change of epoxy concrete post-cast area.
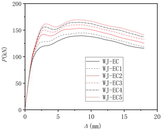
5.4.1. Influence of Precast Concrete Strength
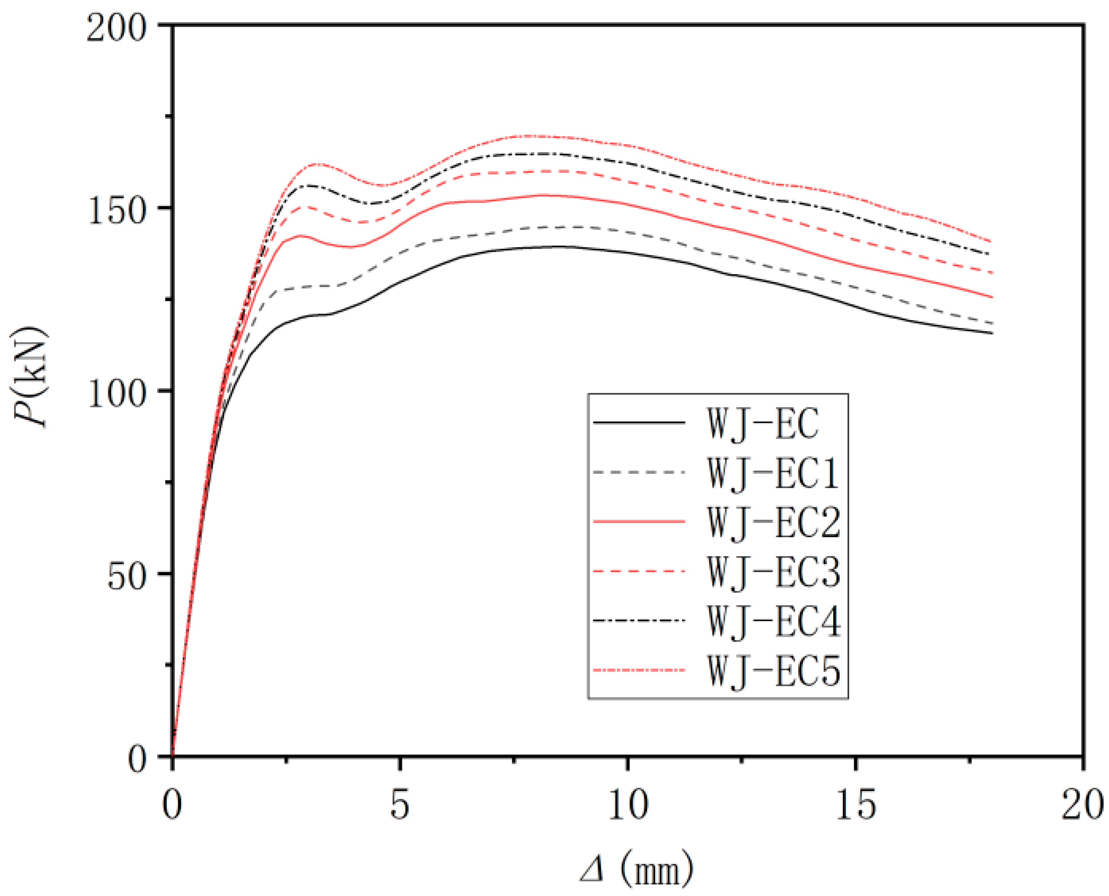
The stress nephogram and concrete compression damage factors distribution map of the typical model are presented in Figure 12. It is evident that the strength of the precast partial concrete exerts a minimal influence on the failure pattern of joints. In the limit state, the peak stress points of all specimens all appear near the joint surface of the precast section and the post-cast section, with the post-cast portion contributing significantly to the stress distribution. The P-Δ curve of each specimen is depicted in Figure 13. It is observed that the initial stiffness of the specimen remains largely unaffected by the concrete strength, whereas the bearing capacity exhibits a noticeable dependence on it. Specifically, when the concrete strength grade is elevated from C30 to C40, the bearing capacity of the specimen increases from 139.4 kN to 144.6 kN, corresponding to a growth rate of 3.7%. Subsequently, as the concrete strength grade is further increased from C40 to C50, the bearing capacity rises from 144.6 kN to 153.3 kN, exhibiting a growth rate of 6.0%. Similarly, when the concrete strength grade is raised from C50 to C60, the bearing capacity increases from 153.3 kN to 160.0 kN, demonstrating a growth rate of 4.0%. However, beyond this point, the rate of increase in bearing capacity reduces gradually with the enhancement of concrete strength. In summary, the optimal working performance of the specimen is achieved when the strength of the post-cast epoxy resin concrete is approximately equal to or slightly higher than that of the precast partial concrete. The main reason is that in this case, the interaction ability of the new and old concrete of the bonding surface including the shear bond is equivalent, and its overall working performance is the most fully exerted.

Figure 12.
Stress nephogram and damage factors distribution map of specimens with different strength.
Figure 13.
P-Δ curves of different concrete strength specimens.
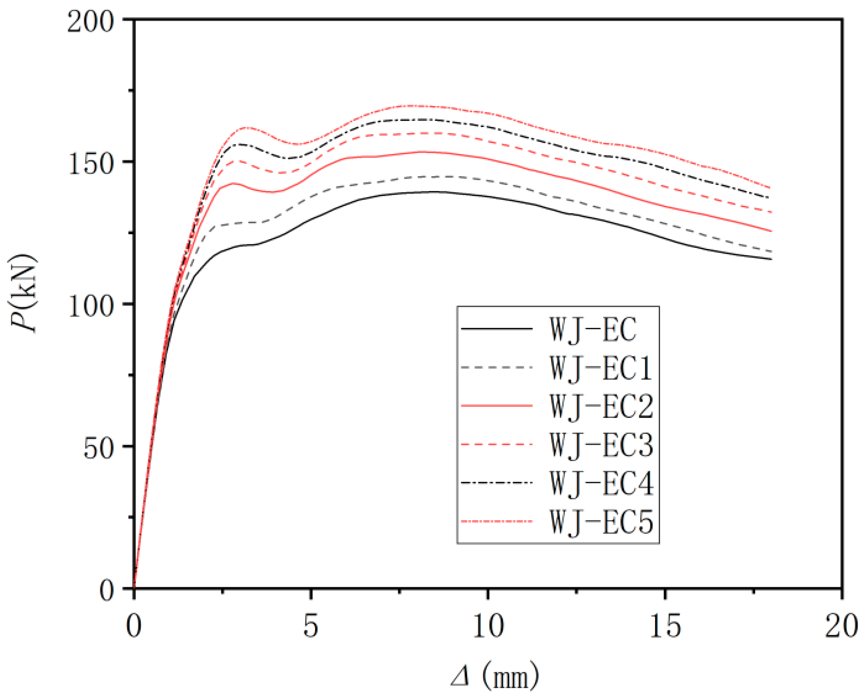
5.4.2. Effect of the Longitudinal Reinforcement Ratio of the Composite Beam
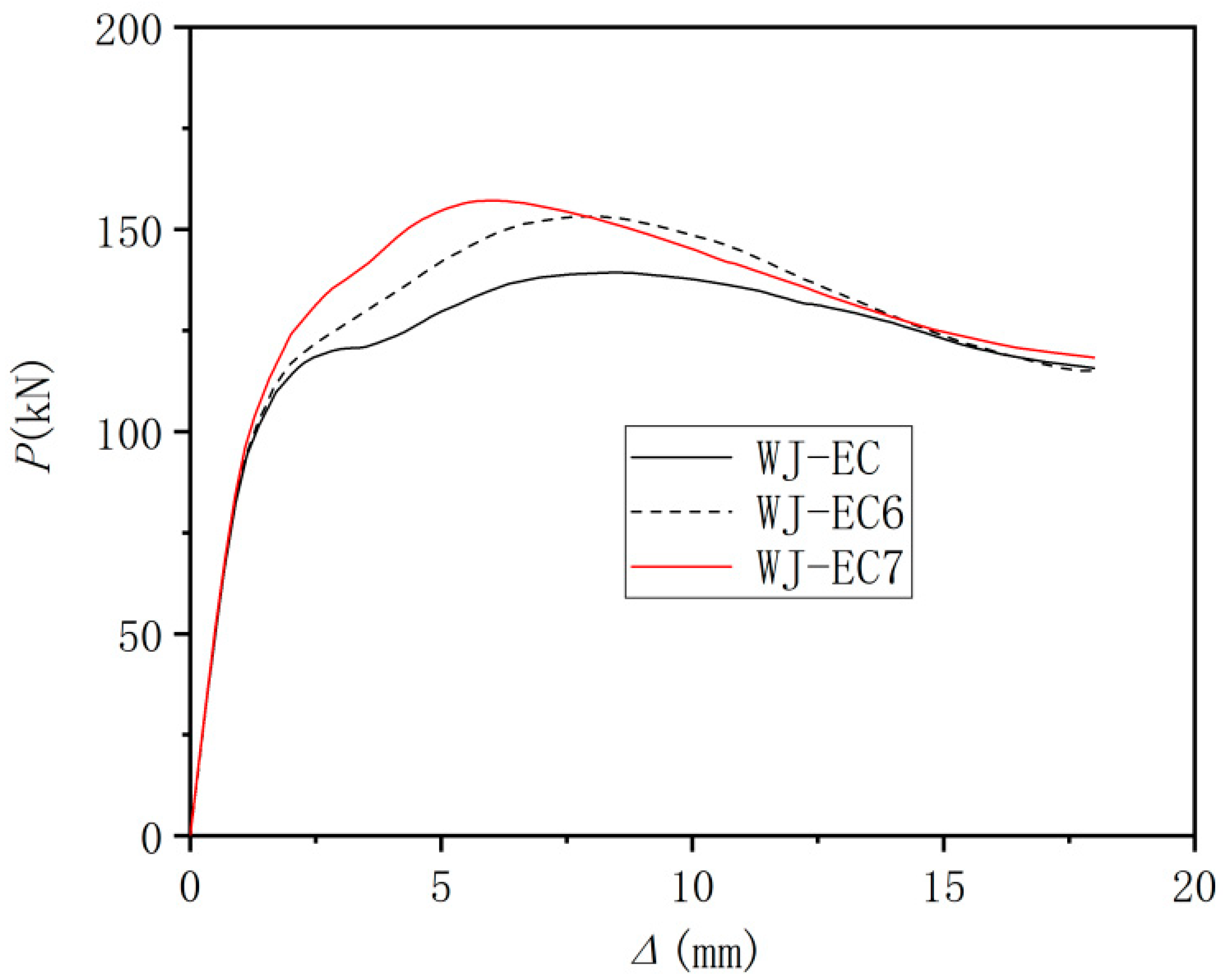
Figure 14 presents the stress nephogram and concrete compression damage factors distribution map for each specimen of the composite beam, featuring varying longitudinal bar diameters. Figure 15 displays the P-Δ curves for each specimen. It is evident that the reinforcement ratio of the longitudinal reinforcement in the composite beam has a minimal influence on the failure pattern of the joint area, but significantly impacts the bearing capacity. During the initial loading stage, the P-Δ curves of all specimens exhibit significant overlap, indicating similar initial stiffness. As the plastic stage is reached, an increase in the longitudinal reinforcement ratio leads to an elevation in peak load, a reduction in peak displacement, and a steeper declining section of the curve, thereby accelerating the degradation of bearing capacity after reaching the peak. For instance, when the diameter of the longitudinal reinforcement increases from 16 mm to 18 mm, the bearing capacity rises from 139.4 kN to 153.2 kN, reflecting a growth rate of 9.8%. Similarly, when the diameter of the longitudinal reinforcement increases from 18 mm to 20 mm, the bearing capacity increases from 153.2 kN to 157.2 kN, with a growth rate of 2.6%. These findings demonstrate that at lower reinforcement ratios, the bearing capacity experiences a significant increase, with an increased reinforcement ratio. However, at higher reinforcement ratios, the bearing capacity growth slows down, and the ductility experiences a significant decrease. The main reason is that with the increase in the reinforcement ratio of longitudinal reinforcement, the shear bearing capacity of the joint surface gradually depends on the strength of the concrete, and the brittle failure property is also gradually obvious.
Figure 14.
Stress nephogram and damage factors distribution map of specimens with different longitudinal diameters.
Figure 15.
P-Δ curves of specimens with different longitudinal diameters.
5.4.3. The Influence of Shear–Span Ratio
Figure 16 presents the stress nephogram and concrete compression damage factors distribution map for each specimen, varying in shear–span ratio. Figure 17 displays the P-Δ curves for each specimen. It is evident that the damage observed on both sides of the joint surface in the three specimens is similar. Specifically, the prefabricated side exhibits more severe damage, while the after-cast epoxy concrete side experiences relatively lighter damage. As the shear–span ratio decreases, the shear failure characteristics of the specimen become more pronounced, and the right side of the vertical joint surface demonstrates a greater contribution to the shear force, thus enhancing the bearing capacity. Notably, specimens with a shear to span ratio of 2.5 exhibit a lower bearing capacity, with the right side of the post-cast section of the vertical joint plane exhibiting minimal force participation, while the left side of the prefabricated section displays evident bending failure characteristics. The bearing capacities of specimens with shear span ratios of 1.0, 1.5, and 2.5 are recorded as 195.7 kN, 139.4 kN, and 91.3 kN, respectively. Thus, an increase in the shear span ratio leads to a decrease in the specimen’s bearing capacity, an increase in the peak displacement, a deceleration in the falling section, and an enhancement in deformation capacity. The main reason is that the shear-span ratio reflects the ratio of bending moment and shear force on the cross-section of the specimen, the shear force has an obvious effect when the shear-span ratio is small, and it has the characteristics of shear brittleness failure during failure. However, when the shear-span ratio is large, the bending moment has an obvious effect, and the ductile failure characteristics are obvious.
Figure 16.
Stress nephogram and damage factors distribution map of specimens with different shear–span ratios.
Figure 17.
P-Δ curves of specimens with different shear–span ratios.
5.4.4. The Effect of the Epoxy Resin Concrete Post-Cast Area
- (1)
- Case 1: Expand the area of the post-cast node
Premised on specimen WJ-EC, the post-cast area was expanded—specifically, the horizontal bonding surface with a keyway was positioned at distances of 200 mm and 300 mm above the beam-column joint edge, denoted as models WJ-EC10 and WJ-EC11, respectively (Figure 11a). The stress nephogram and concrete compression damage factors distribution map of each specimen are depicted in Figure 18. Additionally, Figure 19 illustrates the P-Δ curves for each specimen.

Figure 18.
Stress nephogram and damage factors distribution map of each specimen (Case 1).
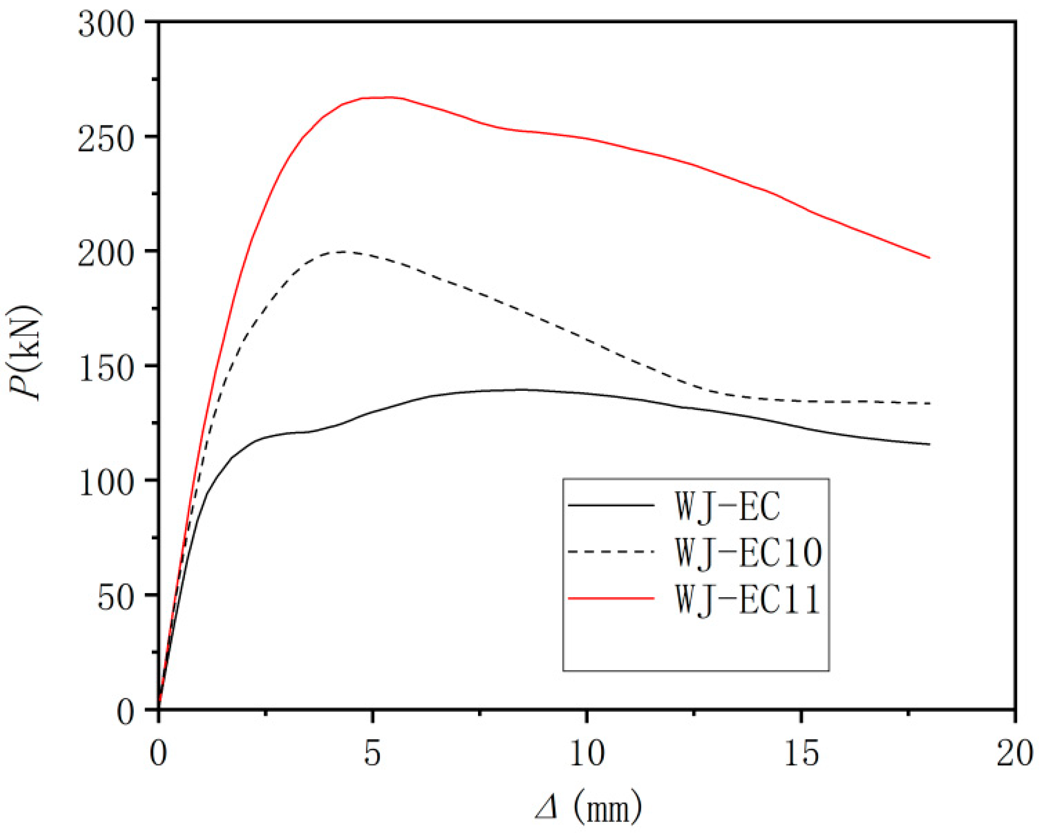
Figure 19.
P-Δ curves of each specimen (Case 1).
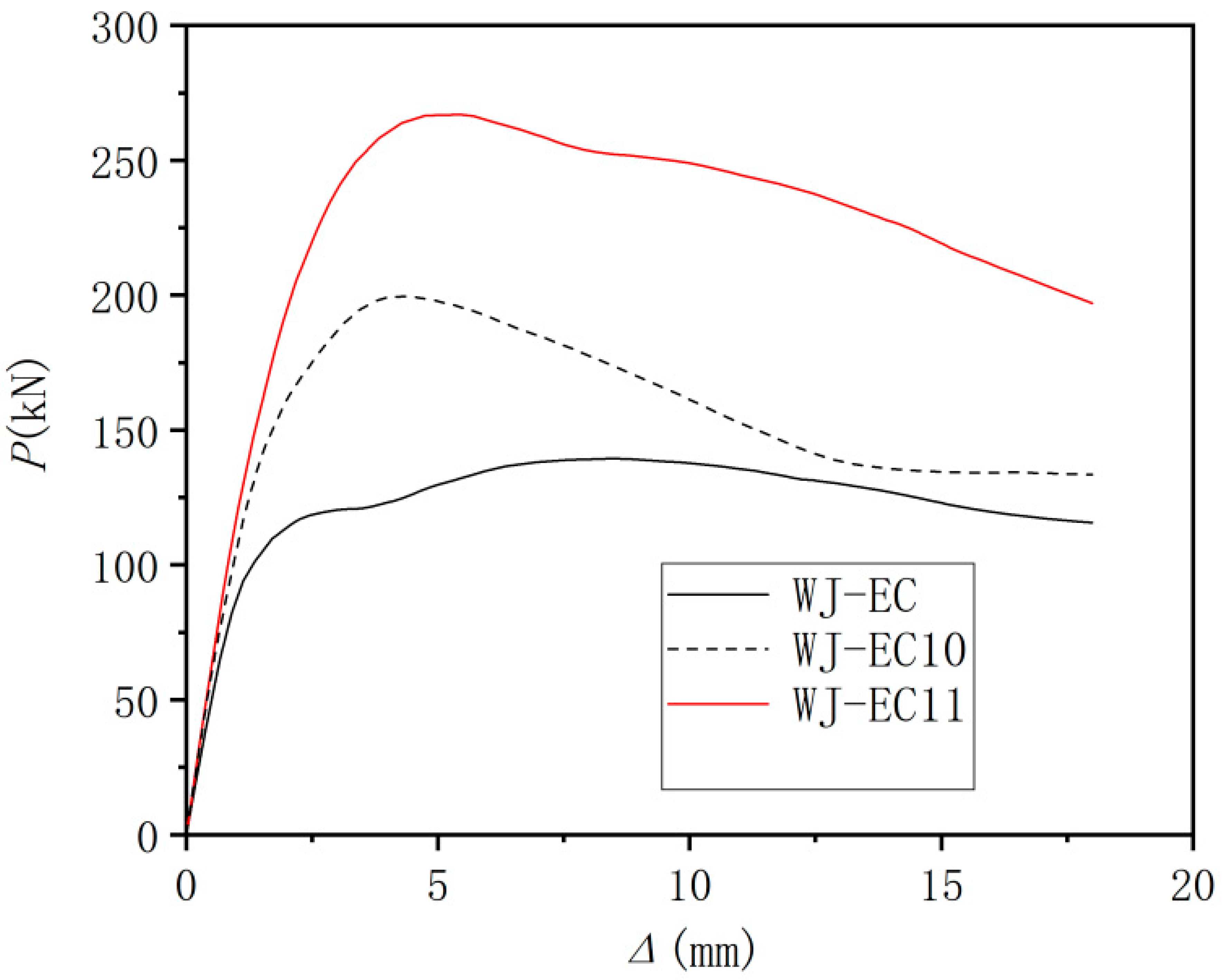
As observed in Figure 18, the enlargement of the post-cast area resulted in an increased contribution of the post-poured epoxy concrete, with an excellent mechanical properties section for the specimen’s stress, hence leading to a significant enhancement in its bearing capacity. The damage in all three specimens was predominantly concentrated in the precast section, characterized by lower material strength. Figure 19 reveals that the bearing capacity and initial stiffness of the specimen experienced a significant increase with the subsequent expansion of the post-cast area. Moreover, the declining section of the curve exhibited a slightly steeper slope, indicating a minor reduction in the specimen’s deformation ability, albeit not significantly. The bearing capacities of specimens WJ-EC, WJ-EC10, and WJ-EC11 were determined to be 139.4 kN, 199.6 kN, and 267.0 kN, respectively. Therefore, compared to specimen WJ-EC, specimen WJ-EC10 exhibited a 43% increase in bearing capacity, while specimen WJ-EC11 demonstrated a remarkable 91% increase.
- (2)
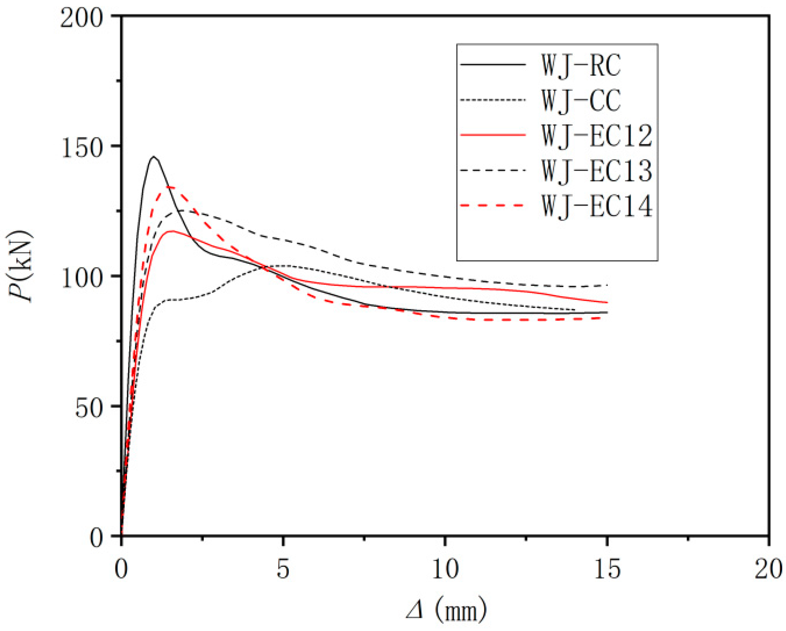
- Case 2: Reserve the precast node area
To ensure the integrity of the precast beam-column joints, the distance y from the joint surface of the precast node area and the composite beam to the edge of the node was set at 70 mm, 165 mm, and 330 mm, respectively. This resulted in an incremental increase in the precast joint area for specimens WJ-EC12, WJ-EC13, and WJ-EC14. The steel bar connection at the horizontal joint of each specimen was mechanically connected. Considering the sleeve length and construction requirements, the thickness of the horizontal joint was set at 70 mm (Figure 11b). The simulation results of these three specimens were compared with those of WJ-RC and WJ-CC. The stress nephogram and concrete compression damage factors distribution map of each specimen are shown in Figure 20, while the P-Δ curves of each specimen are presented in Figure 21.


Figure 20.
Stress nephogram and damage factors distribution map of each specimen (Case 2).
Figure 21.
P-Δ curves of each specimen (Case 2).
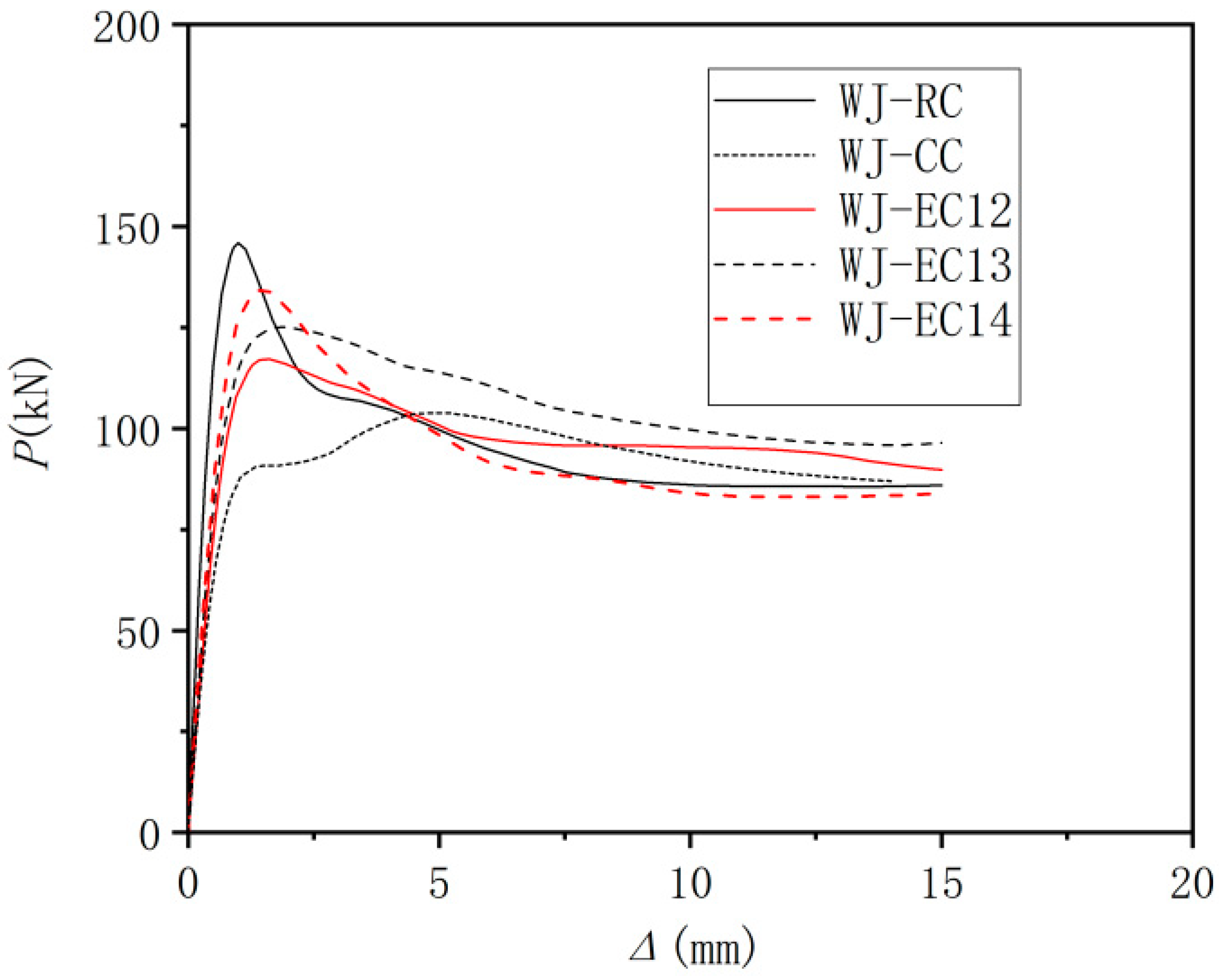
As depicted in Figure 20, the stress distribution and damage distribution of the cast-in situ specimen WJ-RC were found to be the most uniform. The post-cast epoxy resin concrete played a significant role in bearing the stress of the specimen, with its contribution increasing as the y value increased. In contrast, the damage in the other specimens was concentrated in the precast ordinary concrete. With the expansion of the precast joint area, the participation degree and damage degree of the post-cast epoxy resin concrete increased, leading to an increase in the bearing capacity of the specimens. Figure 21 demonstrates that the bearing capacities of specimens WJ-RC, WJ-EC12, WJ-EC13, and WJ-EC14 were 139.0 kN, 117.0 kN, 125.0 kN, and 134.4 kN, respectively. It is worth noting that the bearing capacity of the specimens increased with the expansion of the precast joint area, but remained smaller than that of the cast-in situ specimens. This can be attributed to the fact that the post-cast epoxy resin concrete compromised the overall performance of the specimen, and its volume was relatively small, thereby underutilizing the superior mechanical properties of epoxy resin concrete. In addition, the bearing capacity of specimen WJ-CC was 103.8 kN, which was lower than that of the cast-in situ specimen and the post-cast specimen with epoxy resin concrete. This indicates that the prefabricated construction scheme, which preserves the integrity of the precast joint area, is advantageous.
6. Conclusions and Prospects
6.1. Conclusions
In this paper, ordinary concrete and epoxy resin concrete were utilized as post-cast materials for the purpose of conducting bending and shear performance tests, finite element simulation, and parameter analysis on the composite beam end of precast composite frame structures. The conclusions obtained can provide reference for the further application of epoxy resin concrete in urban construction.
- (1)
- The composite beam frame structure, specifically in the beam-column joint area featuring post-cast epoxy resin concrete, exhibits a structural behavior that is essentially identical to that of the cast-in situ reinforced concrete frame structure. Moreover, it demonstrates superior load-bearing capacity and deformation performance. Conversely, the composite beam frame structure with post-cast ordinary concrete in the joint area exhibits inadequate mechanical properties. Therefore, epoxy concrete, as a high-performance concrete, holds potential for applications in precast concrete structures.
- (2)
- In the case of the composite beam frame structure with post-poured epoxy resin concrete in the joint area, an increase in the strength of precast concrete leads to an enhancement in the beam end’s load-bearing capacity and ensures stable deformation performance. Notably, when the strength of post-cast epoxy concrete approaches or slightly surpasses that of precast concrete, the load-bearing capacity experiences the most significant improvement. In addition, an increase in the longitudinal reinforcement ratio results in an increase in the beam end’s load-bearing capacity, albeit with a slight decrease in deformation performance. Conversely, as the shear span ratio decreases, the beam end’s load-bearing capacity increases, but the deformation performance deteriorates significantly. Therefore, it is necessary to avoid excessively small shear–span ratios for composite beams, such as those lower than 1.5. Additionally, the expansion of the post-cast area allows for the full utilization of epoxy resin concrete’s superior mechanical properties, leading to a significant increase in the beam end’s load-bearing capacity and initial stiffness, albeit with a slight decrease in deformation capacity.
- (3)
- The composite beam frame structure, which preserves the integrity of the precast joint area and is infused with epoxy resin concrete, exhibits an enhanced load-bearing capacity at the beam end due to the expansion of the prefabricated joint area. However, this capacity remains inferior to that of the cast-in situ reinforced concrete frame structure. Therefore, the aforementioned composite beam frame structure, as discussed in Conclusion (2), demonstrates superior mechanical properties. Nevertheless, it necessitates a substantial quantity of epoxy resin concrete, resulting in high costs.
- (4)
- In contrast, the composite beam frame structure, which maintains the integrity of the precast joint area and is filled with ordinary concrete, exhibits enhanced load-bearing capacity and deformation performance at the beam end compared to the composite beam frame structure filled with ordinary concrete in the joint area. As the precast joint area expands, the load-bearing capacity at the beam end increases and gradually approaches that of the cast-in situ reinforced concrete frame structure. This observation highlights the advantages of the precast construction scheme that preserves the integrity of the precast joint area.
6.2. Prospects
From the perspective of mechanical properties, there is good bond strength between epoxy resin concrete and ordinary concrete, which is suitable for the connection joints of precast concrete structures. But other properties, such as durability, chemical stability, atmospheric stability, temperature effect, environmental protection, construction convenience, etc., need to be further studied, and the engineering applicability of epoxy resin concrete in construction engineering should be fully and comprehensively analyzed to promote its engineering application.
Author Contributions
Methodology, X.Z.; Software, S.X.; Investigation, P.C.; Data curation, D.X.; Writingoriginal draft, S.X.; Writing—review & editing, P.C.; Supervision, X.Z. All authors have read and agreed to the published version of the manuscript.
Funding
This research was funded by the National Natural Science Foundation of China, grant number 51678389.
Data Availability Statement
Data are contained within the article.
Conflicts of Interest
The authors declare no conflict of interest.
References
- Sha, M.; Liu, P.; Gao, J.; Ma, H. Research status and application of prefabricated concrete frame joints. E3S Web Conf. 2021, 260, 03025. [Google Scholar] [CrossRef]
- Lin, K.; Lu, X.; Li, Y.; Guan, H. Experimental study of a novel multi-hazard resistant prefabricated concrete frame structure. Soil Dynam. Earthq. Eng. 2019, 119, 390–470. [Google Scholar] [CrossRef]
- Wang, C.; Liu, Y.; Zheng, X.; Wu, J. Experimental investigation of a precast concrete connection with all-steel bamboo-shaped energy dissipaters. Eng. Struct. 2019, 178, 298–308. [Google Scholar] [CrossRef]
- Ghayeb, H.H.; Abdul Razak, H.; Ramli Sulong, N.H. Seismic performance of innovative hybrid precast reinforced concrete beam-to-column connections. Eng. Struct. 2020, 202, 109886. [Google Scholar] [CrossRef]
- Ding, T.; Xiao, J.; Khan, A.-u.-R. Behavior of concrete beam-column frame joints with DfD connections: A simulation study with interface modelling. Eng. Struct. 2019, 189, 347–358. [Google Scholar] [CrossRef]
- Gou, S.; Ding, R.; Fan, J.; Nie, X.; Zhang, J. Experimental study on seismic performance of precast LSECC/RC composite joints with U-shaped LSECC beam shells. Eng. Struct. 2019, 189, 618–634. [Google Scholar] [CrossRef]
- Si, J.; Chen, J.; Li, F.; Wu, Z.; Zhou, M.; Ju, J. Experimental study on seismic performance of prefabricated concrete bucket arch joints. Earthq. Eng. Eng. Dynam. 2021, 41, 114–122. (In Chinese) [Google Scholar]
- Hanson, N.W. Precast-prestressed concrete bridge horizontal shear connections. J. PCA Res. Dev. Lab. 1960, 2, 38–58. [Google Scholar]
- Gohnert, M. Horizontal shear transfer across a roughened surface. Cement Concrete Compos. 2003, 25, 379–385. [Google Scholar] [CrossRef]
- Lawrence, F.K.; Adam, S. Interface shear in high strength composite T-beams. PCI J. 2004, 49, 102–110. [Google Scholar]
- Salih, M.N.; Tahir, M.M.; Mohammad, S.; Ahmad, Y.; Sulaiman, A.; Shek, P.N.; Abraham, A.; Firdaus, M.; Aminuddin, K.M. Experimental study on flexural behaviour of partially encased cold-formed steel composite beams using rebar as shear connector. IOP Conf. Ser. Mater. Sci. Eng. 2019, 513, 012038. [Google Scholar] [CrossRef]
- Ozawa, K.; Maekawa, K.; Okamura, H. Development of high performance concrete. J. Faculty Eng. Univ. Tokyo Ser. B (Jpn.) 1992, 41, 381–439. [Google Scholar]
- Soubra, K.S.; Wight, J.K.; Naaman, A.E. Cyclic response of fibrous cast-in-place connections in precast beam-column subassemblages. Struct. J. 1993, 90, 316–323. [Google Scholar]
- Parra-Montesinos, G.J. High-Performance Fiber-Reinforced Cement Composites: An Alternative for Seismic Design of Structures. Struct. J. 2005, 102, 668–675. [Google Scholar]
- Zheng, Q.; Liu, Y.; Long, L.; Chen, G.; Ma, Y. Experimental research on seismic behavior of precast concrete frame connected with UHPC. Ind Constr. 2019, 49, 85–91. [Google Scholar]
- Deng, M.; Ma, F.; Ye, W.; Yin, P. Experimental study on aseismic behavior of locally used HDC assembled frame beam-column joints. Eng. Mech. 2019, 36, 68–78. (In Chinese) [Google Scholar]
- Wang, H.; Wang, N.; Liu, X.; Yue, Q.; Yan, J.; Zhang, Y. Effects of UHPC shear key on strengthening shear performances of wet joint in prefabricated composite beams. Eng. Struct. 2024, 299, 117130. [Google Scholar] [CrossRef]
- Liang, X.; Wang, Y.; Tao, Y.; Deng, M. Seismic Performance of Fiber-Reinforced Concrete Interior Beam-Column Joints. Eng. Struct. 2016, 126, 432–445. [Google Scholar] [CrossRef]
- Qian, Y.; Li, Z.; Jin, Y.; Wang, R. Experimental Study on Axial Tension Members of a New Epoxy Resin Concrete. Sci. Adv. Mater. 2021, 13, 2005–2015. [Google Scholar] [CrossRef]
- Xiang, Q.; Xiao, F. Applications of epoxy materials in pavement engineering. Construct. Build. Mater. 2020, 235, 117529. [Google Scholar] [CrossRef]
- Rahman, M.M.; Akhtarul Islam, M. Application of epoxy resins in building materials: Progress and prospects. Polym. Bull. 2022, 79, 1949–1975. [Google Scholar] [CrossRef]
- Zhang, W.; Guan, X.; Ren, J.; Gu, X. Experimental study on chloride permeability of concrete surface-treated with epoxy resin. J. Build. Mater. 2008, 11, 339–344. [Google Scholar]
- El-Hawary, M.; Al-Khaiat, H.; Fereig, S. Fereing Effect of Sea Water on Epoxy-repaired Concrete. Cement Concrete Compos. 1998, 20, 41–52. [Google Scholar] [CrossRef]
- Yu, T. The Experimental Study of Repairing Concrete Cracks with Epoxy Resin Grouting. Master’s Thesis, Beijing University of Technology, Beijing, China, 2016. (In Chinese). [Google Scholar]
- Gil-Martín, L.M.; Rodríguez-Suesca, A.E.; Fernández-Ruiz, M.A.; Hernández-Montes, E. Cyclic behavior of RC beam-column joints with epoxy resin and ground tire rubber as partial cement replacement. Construct. Build. Mater. 2019, 211, 659–674. [Google Scholar] [CrossRef]
- Li, X. Study on the Behavior of the Axial Compression Members of the New Epoxy Resin Concrete. Master’s Thesis, Jilin Jianzhu University, Jilin, China, 2019. (In Chinese). [Google Scholar]
- Zhang, G. Study on the Mechanical Properties of New Epoxy Resin Concrete Axial Tensile Members. Master’s Thesis, Jilin Jianzhu University, Jilin, China, 2019. (In Chinese). [Google Scholar]
- Sun, Z. Study on Mechanical Behavior of New Epoxy Resin Concrete Beam. Master’s Thesis, Jilin Jianzhu University, Jilin, China, 2019. (In Chinese). [Google Scholar]
- Shahzamanian, M.M.; Basirun, W.J. Modeling of Cementitious Representative Volume Element with Additives. J. Multiscale Modell. 2017, 29, 1750003. [Google Scholar] [CrossRef]
- Bernard, F.; Kamali-Bernard, S. Performance simulation and quantitative analysis of cement-based materials subjected to leaching. Comput. Mater. Sci. 2010, 218, 2262010. [Google Scholar] [CrossRef]
- GB 50010-2010; Code for Design of Concrete Structures. China Architecture & Building Press: Beijing, China, 2015. (In Chinese)
- Lv, X.; Yu, Z.; Shan, Z. Seismic behaviour of frame structures with assembly of prefabricated concrete beam. J. Build. Eng. 2021, 40, 102765. [Google Scholar] [CrossRef]
- EN1992-1-2; European Standard. Euro-Code2: Design of Concrete Structures-Part1: General Rules and Rules for Buildings. European Committee for Standardization: Bruxelles, Belgium, 2021.
Disclaimer/Publisher’s Note: The statements, opinions and data contained in all publications are solely those of the individual author(s) and contributor(s) and not of MDPI and/or the editor(s). MDPI and/or the editor(s) disclaim responsibility for any injury to people or property resulting from any ideas, methods, instructions or products referred to in the content. |
© 2023 by the authors. Licensee MDPI, Basel, Switzerland. This article is an open access article distributed under the terms and conditions of the Creative Commons Attribution (CC BY) license (https://creativecommons.org/licenses/by/4.0/).


























