Analyzing the Relationship between Compressive Strength and Modulus of Elasticity in Concrete with Ladle Furnace Slag
Abstract
:1. Introduction
2. Materials and Methods
2.1. Raw Materials
2.2. Mix Design
2.3. Experimental Tests
2.4. Formulas of the Regulations
2.5. Statistical Analyses
- Analysis of the significance of each factor (LFS content, LFS type, and concrete age) and their interactions with the values of the compressive strength and modulus of elasticity of concrete. To this end, a three-way analysis of variance (ANOVA) was applied with a confidence level of 95% by using all the replicates for an accurate evaluation of the dispersion of the experimental results [60].
- Evaluation of the existence of a dependence relationship between both mechanical properties by a study of correlations. Pearson, Spearman, and Kendall correlations were considered to model all the possible interrelationships between them [61].
- 3.
- Development of simple regression models not dependent on the concrete age. In these models, the compressive strength was the independent variable, and the modulus of elasticity was the dependent variable.
- 4.
- Development of multiple regression models dependent on concrete age. Again, the independent variable was the compressive strength, and the dependent variable was the modulus of elasticity, but variable adjustment coefficients dependent on the age of concrete were introduced.
3. Results and Discussion
3.1. Experimental Results
3.2. Validity of the Formulas of the Regulations
3.3. Statistical Analyses
3.3.1. Three-Way Analysis of Variance (ANOVA)
3.3.2. Analysis of Correlations
- The joint consideration of both LFS types without age differentiation led to positive correlations, indicating an increasing relationship, but with very low absolute values. If the LFS content is considered as the factor that fundamentally conditions both properties, then its effect depends on the LFS type, as explained in the three-way ANOVA (Table 5). This performance caused the relationship between both mechanical properties to follow different patterns for each LFS type [60].
- Higher correlations were obtained when separating by LFS type. However, these values were much higher when using the non-stabilized LFS. The low correlations for the stabilized LFS were because its effect on the compressive strength was lower than on the modulus of elasticity (Table 4); this behavior is also found in the literature [52]. In addition, this effect varied with concrete age, as found in the three-way ANOVA (Table 6).
- Separation by age led to stronger correlations than when it was not considered. The highest level of accuracy was achieved when separation by LFS type was simultaneously considered, as it encompassed all the significant interactions according to the ANOVA (Table 6) [57]. The correlations were almost equal to 1 at all ages for the non-stabilized LFS, whereas a greater influence of age on this relationship was found for the stabilized LFS; thus, higher values were reached at older ages. In general, the Spearman correlations provided the highest values.
3.3.3. Non-Time-Dependent Models
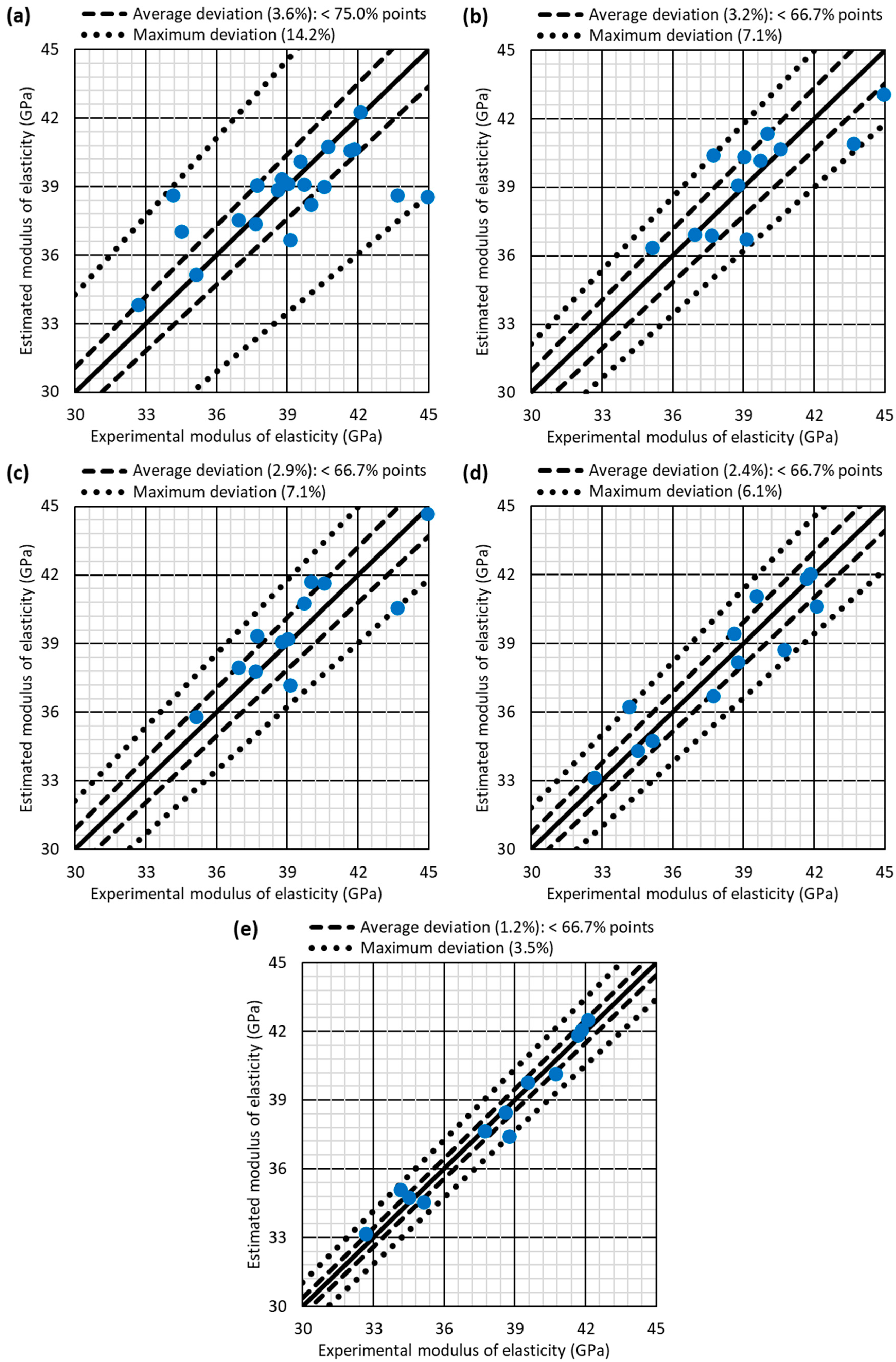
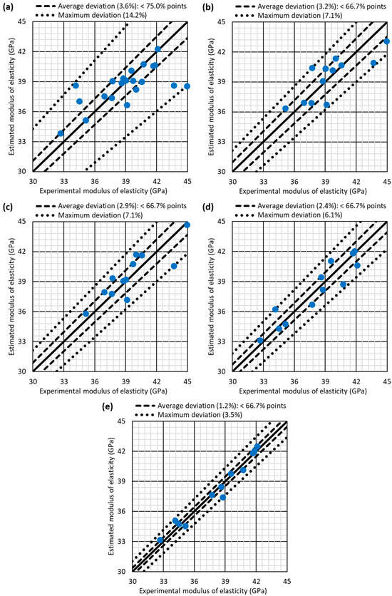
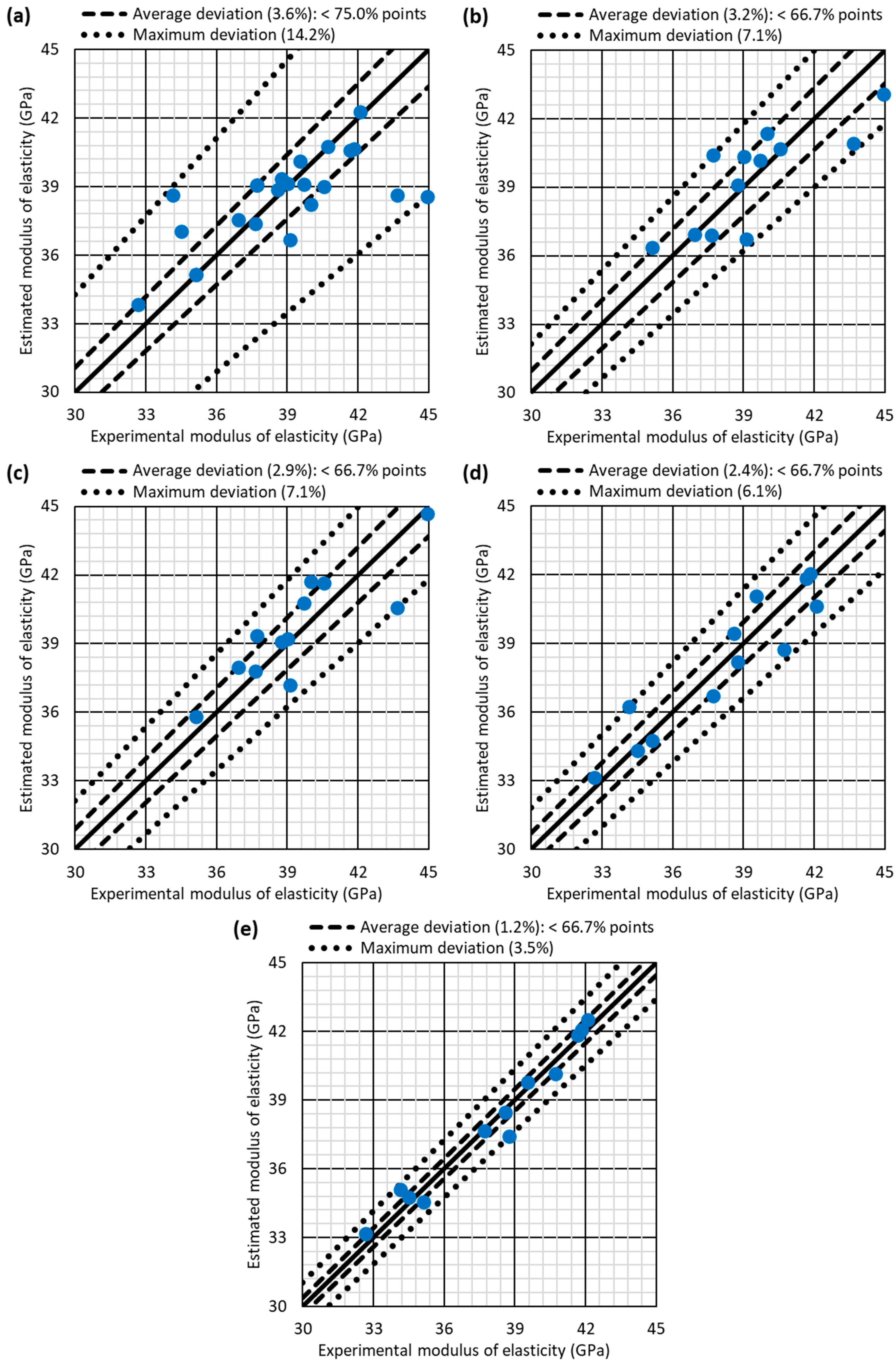
3.3.4. Time-Dependent Models
- First, as in the non-time-dependent models, the separation by LFS type reduced both types of deviations. For instance, the maximum deviation was 14.2% when both LFS types were simultaneously considered, but only 3–7% when each LFS type was separately addressed. The effect of each LFS type on the mechanical properties of concrete largely depends on its chemical composition [32] and its possible pre-treatment or stabilization [45]. These factors (chemical composition and pre-treatment of the LFS) also affect the relationship between their mechanical properties, as is the case with the relationship between the compressive strength and the modulus of elasticity.
- In addition, the consideration of the functions dependent on first-order time powers for the adjustment coefficients led to a lower estimation precision, but this could be considered almost negligible. For the stabilized LFS, the deviations remained practically unchanged, while for the non-stabilized LFS the average and maximum deviations slightly increased, by 1% and 3% in absolute value, respectively. The use of first-order time powers did not affect the proportion of estimated values that showed a deviation from their corresponding experimental values below the average deviation. Therefore, the use of first-order powers of time in this case allows the simplification of the model [27] without a great loss of precision.
4. Conclusions
- With regard to the formulas presented in the standards, the Eurocode 2 formula [13] demonstrated superior accuracy in estimating the modulus of elasticity of LFS concrete from the compressive strength. However, this formula occasionally overestimated this mechanical property; so, the formula of ACI 318-19 [14] provided a more conservative estimation, enhancing the safety of the prediction.
- In general, the Pearson and Spearman correlations between the compressive strength and the modulus of elasticity yielded similar values, although the monotonic correlations were slightly higher. Nevertheless, in regression terms, the goodness of fit of the linear model was very low, and the best estimative approach was a double reciprocal model that was dependent on the first power of compressive strength.
- The chemical composition of the LFS and the pre-treatment it may have undergone prior to its addition to concrete resulted in the varying effects of each LFS type on the mechanical behavior of concrete. This was revealed by the significance of the interaction between the content and type of LFS according to the analysis of variance (ANOVA). Thus, a more accurate estimation of the modulus of elasticity from the compressive strength was achieved when models were developed for each LFS type separately. This was also corroborated by the increased value of the correlations observed.
- Concrete age modified the effect of LFS on compressive strength, as shown by the fact that the interaction between the LFS content and the concrete age was significant according to the ANOVA. Thus, the introduction of the age of concrete as an independent variable when estimating the modulus of elasticity separately from the compressive strength allowed a considerable improvement in the estimation accuracy.
- The functions dependent on the concrete age in the estimation models had a linear nature that was dependent on the second power of time. However, when each LFS type was considered separately, these functions could be simplified by considering only first-order powers of time, which did not noticeably affect the precision of the estimations.
Author Contributions
Funding
Data Availability Statement
Conflicts of Interest
References
- Silva, R.V.; De Brito, J.; Dhir, R.K. The influence of the use of recycled aggregates on the compressive strength of concrete: A review. Eur. J. Environ. Civ. Eng. 2015, 19, 825–849. [Google Scholar] [CrossRef]
- Al-Atta, B.; Kalfat, R.; Al-Mahaidi, R. Hybrid and patch anchors for prevention of IC debonding in RC planks flexurally strengthened using FRP. Structures 2022, 43, 1042–1056. [Google Scholar] [CrossRef]
- Zheng, J.; Pan, Z.; Zhen, H.; Deng, X.; Zheng, C.; Qiu, Z.; Xie, L.; Xiong, Z.; Li, L.; Liu, F. Experimental Investigation on the Seismic Behavior of Precast Concrete Beam-Column Joints with Five-Spiral Stirrups. Buildings 2023, 13, 2357. [Google Scholar] [CrossRef]
- Zhou, C.; Wang, J.; Shao, X.; Li, L.; Sun, J.; Wang, X. The feasibility of using ultra-high performance concrete (UHPC) to strengthen RC beams in torsion. J. Mater. Res. Technol. 2023, 24, 9961–9983. [Google Scholar] [CrossRef]
- Sun, L.; Wang, C.; Zhang, C.; Yang, Z.; Li, C.; Qiao, P. Experimental investigation on the bond performance of sea sand coral concrete with FRP bar reinforcement for marine environments. Adv. Struct. Eng. 2023, 26, 533–546. [Google Scholar] [CrossRef]
- Revilla-Cuesta, V.; Fiol, F.; Perumal, P.; Ortega-López, V.; Manso, J.M. Using recycled aggregate concrete at a precast-concrete plant: A multi-criteria company-oriented feasibility study. J. Clean. Prod. 2022, 373, 133873. [Google Scholar] [CrossRef]
- Kouddane, B.; Sbartaï, Z.M.; Elachachi, S.M.; Lamdouar, N. New multi-objective optimization to evaluate the compressive strength and variability of concrete by combining non-destructive techniques. J. Build. Eng. 2023, 77, 107526. [Google Scholar] [CrossRef]
- Xu, D.; Tang, J.; Hu, X.; Yu, C.; Han, F.; Sun, S.; Deng, W.; Liu, J. The influence of curing regimes on hydration, microstructure and compressive strength of ultra-high performance concrete: A review. J. Build. Eng. 2023, 76, 107401. [Google Scholar] [CrossRef]
- Barros, H.; Ferreira, C.; Figueiras, J. Serviceability design of reinforced concrete members—Closed form solution. Eng. Struct. 2013, 49, 600–605. [Google Scholar] [CrossRef]
- Honfi, D.; Mårtensson, A.; Thelandersson, S. Reliability of beams according to Eurocodes in serviceability limit state. Eng. Struct. 2012, 35, 48–54. [Google Scholar] [CrossRef]
- Vintimilla, C.; Etxeberria, M. Limiting the maximum fine and coarse recycled aggregates-type a used in structural concrete. Constr. Build. Mater. 2023, 380, 131273. [Google Scholar] [CrossRef]
- Silva, R.V.; De Brito, J.; Dhir, R.K. Establishing a relationship between modulus of elasticity and compressive strength of recycled aggregate concrete. J. Clean. Prod. 2016, 112, 2171–2186. [Google Scholar] [CrossRef]
- EN 1992-1; EC-2 Eurocode 2: Design of Concrete Structures. Part 1-1: General Rules and Rules for Buildings. CEN (European Committee for Standardization): Brussels, Belgium, 2010.
- ACI-318-19; Building Code Requeriments for Structural Concrete. American Concrete Insititute: Indianapolis, IN, USA, 2019.
- Singh, A.; Wang, Y.; Zhou, Y.; Sun, J.; Xu, X.; Li, Y.; Liu, Z.; Chen, J.; Wang, X. Utilization of antimony tailings in fiber-reinforced 3D printed concrete: A sustainable approach for construction materials. Constr. Build. Mater. 2023, 408, 133689. [Google Scholar] [CrossRef]
- Slaný, M.; Kuzielová, E.; Žemlička, M.; Matejdes, M.; Struhárová, A.; Palou, M.T. Metabentonite and metakaolin-based geopolymers/zeolites: Relation between kind of clay, calcination temperature and concentration of alkaline activator. J. Therm. Anal. Calor. 2023, 148, 10531–10547. [Google Scholar] [CrossRef]
- Pellegrino, C.; Faleschini, F.; Meyer, C. Recycled materials in concrete. In Developments in the Formulation and Reinforcement of Concrete; Woodhead Publishing: Sawston, UK, 2019; pp. 19–54. [Google Scholar] [CrossRef]
- Idrees, M.; Ameen, A.; Shi, J.; Saeed, F.; Gencel, O. Preparation and performance optimization of eco-friendly geopolymers prepared from coarser lignite-based waste fly ash. Constr. Build. Mater. 2023, 391, 131804. [Google Scholar] [CrossRef]
- Huang, H.; Yuan, Y.; Zhang, W.; Zhu, L. Property Assessment of High-Performance Concrete Containing Three Types of Fibers. Int. J. Concr. Struct. Mater. 2021, 15, 39. [Google Scholar] [CrossRef]
- Chen, L.; Chen, Z.; Xie, Z.; Wei, L.; Hua, J.; Huang, L.; Yap, P.S. Recent developments on natural fiber concrete: A review of properties, sustainability, applications, barriers, and opportunities. Dev. Built Environ. 2023, 16, 100255. [Google Scholar] [CrossRef]
- Chen, W.; Xu, J.; Li, Z.; Huang, X.; Wu, Y. Load-carrying capacity of circular recycled aggregate concrete-filled steel tubular stub columns under axial compression: Reliability analysis and design factor calibration. J. Build. Eng. 2023, 66, 105935. [Google Scholar] [CrossRef]
- Faleschini, F.; Trento, D.; Ortega-López, V.; Zanini, M.A. Shear transfer in fly ash concrete with electric arc furnace aggregates. Mag. Concr. Res. 2023, 75, 906–918. [Google Scholar] [CrossRef]
- Tayebani, B.; Said, A.; Memari, A. Less carbon producing sustainable concrete from environmental and performance perspectives: A review. Constr. Build. Mater. 2023, 404, 133234. [Google Scholar] [CrossRef]
- Sun, X.; Zhao, Y.; Qiu, J.; Xing, J. Review: Alkali-activated blast furnace slag for eco-friendly binders. J. Mater. Sci. 2022, 57, 1599–1622. [Google Scholar] [CrossRef]
- Ortega-López, V.; Revilla-Cuesta, V.; Santamaría, A.; Orbe, A.; Skaf, M. Microstructure and Dimensional Stability of Slag-Based High-Workability Concrete with Steelmaking Slag Aggregate and Fibers. J. Mater. Civ. Eng. 2022, 34, 4022224. [Google Scholar] [CrossRef]
- Revilla-Cuesta, V.; Faleschini, F.; Pellegrino, C.; Skaf, M.; Ortega-López, V. Simultaneous addition of slag binder, recycled concrete aggregate and sustainable powders to self-compacting concrete: A synergistic mechanical-property approach. J. Mater. Res. Technol. 2022, 18, 1886–1908. [Google Scholar] [CrossRef]
- Chandru, P.; Karthikeyan, J. Models to predict the mechanical properties of blended SCC containing recycled steel slag and crushed granite stone as coarse aggregate. Constr. Build. Mater. 2021, 302, 124342. [Google Scholar] [CrossRef]
- Buari, T.A.; Adeleke, J.S.; Olutoge, F.A.; Ayininuola, G.M.; Dahunsi, B.I.O. Approximation of elasticity modulus of groundnut shell ash-based self-consolidating high-performance concrete using artificial neural network. Asian J. Civ. Eng. 2023, 24, 947–958. [Google Scholar] [CrossRef]
- Ahmadi, M.; Kioumarsi, M. Predicting the elastic modulus of normal and high strength concretes using hybrid ANN-PSO. Mater. Today Proc. 2023; in press. [Google Scholar] [CrossRef]
- Santamaría, A.; Ortega-López, V.; Skaf, M.; Faleschini, F.; Orbe, A.; San-José, J.T. Ladle furnace slags for construction and civil works: A promising reality. In Waste and Byproducts in Cement-Based Materials; Woodhead Publishing: Sawston, UK, 2021; pp. 659–679. [Google Scholar] [CrossRef]
- Brand, A.S.; Fanijo, E.O. A review of the influence of steel furnace slag type on the properties of cementitious composites. Appl. Sci. 2020, 10, 8210. [Google Scholar] [CrossRef]
- Santamaría, A.; González, J.J.; Losáñez, M.M.; Skaf, M.; Ortega-López, V. The design of self-compacting structural mortar containing steelmaking slags as aggregate. Cem. Concr. Compos. 2020, 111, 103627. [Google Scholar] [CrossRef]
- Pasetto, M.; Baliello, A.; Giacomello, G.; Pasquini, E. The Use of Steel Slags in Asphalt Pavements: A State-of-the-Art Review. Sustainability 2023, 15, 8817. [Google Scholar] [CrossRef]
- Roberto, A.; Monticelli, R.; Roncella, R.; Romeo, E.; Tebaldi, G. Swelling Potential and Performance Level of Hot Mix Asphalt Containing Not-Hydrated Ladle Furnace Steel Slags as Filler. J. Test. Eval. 2023, 52, 1–11. [Google Scholar] [CrossRef]
- Martins, A.C.P.; Franco de Carvalho, J.M.; Costa, L.C.B.; Andrade, H.D.; de Melo, T.V.; Ribeiro, J.C.L.; Pedroti, L.G.; Peixoto, R.A.F. Steel slags in cement-based composites: An ultimate review on characterization, applications and performance. Constr. Build. Mater. 2021, 291, 123265. [Google Scholar] [CrossRef]
- Yildirim, I.Z.; Prezzi, M. Chemical, mineralogical, and morphological properties of steel slag. Adv. Civ. Eng. 2011, 2011, 463638. [Google Scholar] [CrossRef]
- Wu, L.; Li, H.; Mei, H.; Rao, L.; Wang, H.; Lv, N. Generation, utilization, and environmental impact of ladle furnace slag: A minor review. Sci. Total Environ. 2023, 895, 165070. [Google Scholar] [CrossRef] [PubMed]
- Araos Henríquez, P.; Aponte, D.; Ibáñez-Insa, J.; Barra Bizinotto, M. Ladle furnace slag as a partial replacement of Portland cement. Constr. Build. Mater. 2021, 289, 123106. [Google Scholar] [CrossRef]
- Araos, P.; Uribarri, A.; Barra, M.; Aponte, D. The Effect of Ladle Furnace Slag (LFS) Content Replacement as a Supplementary Cementitious Material in Portland Cement-Based Systems. In RILEM Bookseries; Springer: Berlin/Heidelberg, Germany, 2023; Volume 44, pp. 76–87. [Google Scholar] [CrossRef]
- Jiang, Y.; Ling, T.C.; Shi, C.; Pan, S.Y. Characteristics of steel slags and their use in cement and concrete—A review. Resour. Conserv. Recycl. 2018, 136, 187–197. [Google Scholar] [CrossRef]
- Ortega-López, V.; Manso, J.M.; Cuesta, I.I.; González, J.J. The long-term accelerated expansion of various ladle-furnace basic slags and their soil-stabilization applications. Constr. Build. Mater. 2014, 68, 455–464. [Google Scholar] [CrossRef]
- Rodríguez, A.; Santamaría-Vicario, I.; Calderón, V.; Junco, C.; García-Cuadrado, J. Study of the expansion of cement mortars manufactured with Ladle Furnace Slag LFS. Mater. Constr. 2019, 69, e183. [Google Scholar] [CrossRef]
- Chatterji, S. Mechanism of expansion of concrete due to the presence of dead-burnt CaO and MgO. Cem. Concr. Res. 1995, 25, 51–56. [Google Scholar] [CrossRef]
- Zhao, J.; Liu, Q.; Fang, K. Optimization of f-MgO/f-CaO phase in ladle furnace slag by air rapidly cooling. Mater. Lett. 2020, 280, 128528. [Google Scholar] [CrossRef]
- Fang, K.; Zhao, J.; Wang, D.; Wang, H.; Dong, Z. Use of ladle furnace slag as supplementary cementitious material before and after modification by rapid air cooling: A comparative study of influence on the properties of blended cement paste. Constr. Build. Mater. 2022, 314, 125434. [Google Scholar] [CrossRef]
- Aponte, D.; Martín, O.S.; Barrio, S.V.; Bizinotto, M.B. Ladle steel slag in activated systems for construction use. Minerals 2020, 10, 687. [Google Scholar] [CrossRef]
- Sultana, I.; Islam, G.M.S. Performance of Ladle Furnace Slag in Mortar under Standard and Accelerated Curing. Adv. Civ. Eng. 2022, 2022, 7824084. [Google Scholar] [CrossRef]
- Singh, S.K.; Tiwari, N. Development of sustainable ternary cementitious binder with OPC integrating calcined clay and LF slag. J. Build. Eng. 2023, 75, 107025. [Google Scholar] [CrossRef]
- de Freitas Cordova de Souza, E.; da Silva, T.F.; de Castro, M.A.; dos Santos Ferreira, G.C. Combined Use of Ladle Furnace Slag and Rice Husk Ash as a Supplementary Cementitious Material. Mater. Res. 2023, 26 (Suppl. S1), e20230069. [Google Scholar] [CrossRef]
- Deepak, M.; Ramalinga Reddy, Y.; Nagendra, R. Investigating the mechanical strength, durability and micro-structural properties of slag-based concrete. Innov. Infrastruct. Solut. 2023, 8, 272. [Google Scholar] [CrossRef]
- Gaibor, N.; Leitão, D.; Miranda, T.; Cristelo, N.; Fernandes, L.; Pereira, E.N.B.; Cunha, V.M.C.F. Fiber-Reinforced Alkali-Activated Cements from Ceramic Waste and Ladle Furnace Slag without Thermal Curing. J. Mater. Civ. Eng. 2023, 35, 4023271. [Google Scholar] [CrossRef]
- Sideris, K.K.; Tassos, C.; Chatzopoulos, A.; Manita, P. Mechanical characteristics and durability of self compacting concretes produced with ladle furnace slag. Constr. Build. Mater. 2018, 170, 660–667. [Google Scholar] [CrossRef]
- Anastasiou, E.K.; Papayianni, I.; Papachristoforou, M. Behavior of self compacting concrete containing ladle furnace slag and steel fiber reinforcement. Mater. Des. 2014, 59, 454–460. [Google Scholar] [CrossRef]
- Polanco, J.A.; Manso, J.M.; Setién, J.; González, J.J. Strength and durability of concrete made with electric steelmaking slag. ACI Mater. J. 2011, 108, 196–203. [Google Scholar]
- da Silva, T.F.; Moura, M.A.N.; de Souza, E.F.C.; Ferreira, G.C.S.; Pereira, V.F.R. Influence of the cooling process on the physicochemical properties of ladle furnace slag, used in the replacement of Portland cement. Rev. Mater. 2022, 27, e20220089. [Google Scholar] [CrossRef]
- Hu, Z.; Chang, J.; Chen, X.; Guan, Y.; Bi, W. Preparation of magnesium oxysulfate cement with semidry carbonation high calcium content light-burned magnesium (Ca-LBM). Constr. Build. Mater. 2023, 408, 133664. [Google Scholar] [CrossRef]
- Revilla-Cuesta, V.; Evangelista, L.; de Brito, J.; Skaf, M.; Ortega-López, V. Mechanical performance and autogenous and drying shrinkage of MgO-based recycled aggregate high-performance concrete. Constr. Build. Mater. 2022, 314, 125726. [Google Scholar] [CrossRef]
- Gonçalves, T.; Silva, R.V.; de Brito, J.; Fernández, J.M.; Esquinas, A.R. Mechanical and durability performance of mortars with fine recycled concrete aggregates and reactive magnesium oxide as partial cement replacement. Cem. Concr. Compos. 2020, 105, 103420. [Google Scholar] [CrossRef]
- EN-Euronorm Rue de stassart, 36; European Committee for Standardization: Belgium, Brussels.
- Cantero, B.; Sáez del Bosque, I.F.; Matías, A.; Medina, C. Statistically significant effects of mixed recycled aggregate on the physical-mechanical properties of structural concretes. Constr. Build. Mater. 2018, 185, 93–101. [Google Scholar] [CrossRef]
- Revilla-Cuesta, V.; Shi, J.Y.; Skaf, M.; Ortega-López, V.; Manso, J.M. Non-destructive density-corrected estimation of the elastic modulus of slag-cement self-compacting concrete containing recycled aggregate. Dev. Built Environ. 2022, 12, 100097. [Google Scholar] [CrossRef]
- Zhang, J.; Han, G.; Shen, D.; An, X.; Mendomo Meye, S. A new model to predict the optimal mix design of self-compacting concrete considering powder properties and superplasticizer type. J. Mater. Res. Technol. 2022, 19, 3980–3993. [Google Scholar] [CrossRef]
- Nguyen, T.D.; Cherif, R.; Mahieux, P.Y.; Lux, J.; Aït-Mokhtar, A.; Bastidas-Arteaga, E. Artificial intelligence algorithms for prediction and sensitivity analysis of mechanical properties of recycled aggregate concrete: A review. J. Build. Eng. 2023, 66, 105929. [Google Scholar] [CrossRef]
- Vakharia, V.; Gujar, R. Prediction of compressive strength and portland cement composition using cross-validation and feature ranking techniques. Constr. Build. Mater. 2019, 225, 292–301. [Google Scholar] [CrossRef]





| Aggregate | Density (kg/m3) | Water Absorption (% wt.) | Fineness Modulus |
|---|---|---|---|
| Siliceous 0/16 mm | 2.59/2.70 1 | 1.8/0.2 1 | 5.85 |
| Limestone 0/2 mm | 2.66 | 0.1 | 2.73 |
| LFS Type | Density (kg/m3) | Water Absorption (% wt.) | Fineness Modulus |
|---|---|---|---|
| Stabilized | 2.68 | 0.4 | 2.60 |
| Non-stabilized | 2.74 | 1.4 | 1.86 |
| Mix | Cement | Water | Plasticizer | Viscosity Regulator | Siliceous # Limestone Aggregate | LFS |
|---|---|---|---|---|---|---|
| 0R | 320 | 149 | 4.0 | 2.0 | 1750 # 320 | 0 |
| 5S | 320 | 151 | 4.0 | 2.0 | 1750 # 304 | 16 1 |
| 10S | 320 | 152 | 4.0 | 2.0 | 1750 # 288 | 32 1 |
| 20S | 320 | 156 | 4.0 | 2.0 | 1750 # 256 | 65 1 |
| 5NS | 320 | 154 | 4.0 | 2.0 | 1750 # 304 | 16 2 |
| 10NS | 320 | 156 | 4.0 | 2.0 | 1750 # 288 | 32 2 |
| 20NS | 320 | 162 | 4.0 | 2.0 | 1750 # 256 | 65 2 |
| Mix | Compressive Strength | Modulus of Elasticity | ||||
|---|---|---|---|---|---|---|
| 28 Days | 90 Days | 180 Days | 28 Days | 90 Days | 180 Days | |
| 0R | 37.0 | 42.5 | 46.6 | 35.1 | 37.7 | 38.8 |
| 5S | 41.6 | 42.7 | 45.9 | 36.9 | 39.0 | 39.7 |
| 10S | 41.3 | 41.2 | 45.5 | 37.6 | 40.0 | 40.6 |
| 20S | 39.9 | 41.8 | 44.2 | 39.1 | 43.7 | 44.9 |
| 5NS | 47.4 | 48.0 | 50.6 | 39.6 | 42.1 | 41.7 |
| 10NS | 44.5 | 45.4 | 50.8 | 38.6 | 40.7 | 41.8 |
| 20NS | 34.5 | 39.3 | 44.4 | 32.7 | 34.5 | 34.2 |
| Factor | Compressive Strength | Modulus of Elasticity | ||
|---|---|---|---|---|
| p-Value | Homogeneous Groups | p-Value | Homogeneous Groups | |
| LFS content | 0.0000 | None | 0.0001 | 0% and 20%; 5% and 10% |
| LFS type | 0.0003 | None | 0.0037 | None |
| Age | 0.0000 | None | 0.0000 | 90 days and 180 days |
| Interaction | p-Values for Compressive Strength | p-Values for Modulus of Elasticity |
|---|---|---|
| LFS content–LFS type 1 | 0.0000 | 0.0000 |
| LFS content–Age 1 | 0.0044 | 0.9625 |
| LFS type–Age 1 | 0.2627 | 0.5197 |
| LFS content–LFS type–Age 2 | 0.4193 | 0.7040 |
| LFS Type | Age Condition | Pearson | Spearman | Kendall |
|---|---|---|---|---|
| Both together | All ages | 0.65 | 0.61 | 0.47 |
| 28 days | 0.88 | 0.83 | 0.70 | |
| 90 days | 0.57 | 0.42 | 0.41 | |
| 180 days | 0.27 | 0.11 | 0.11 | |
| Stabilized LFS | All ages | 0.44 | 0.38 | 0.27 |
| 28 days | 0.59 | 0.20 | 0.00 | |
| 90 days | −0.49 | −0.60 | −0.33 | |
| 180 days | −0.98 | −1.00 | −1.00 | |
| Non-stabilized LFS | All ages | 0.88 | 0.91 | 0.76 |
| 28 days | 0.99 | 1.00 | 1.00 | |
| 90 days | 0.99 | 1.00 | 1.00 | |
| 180 days | 0.97 | 1.00 | 1.00 |
| LFS Type | Coefficient A | Coefficient B | R2 (%) | Mean Absolute Error | p-Value Durbin–Watson |
|---|---|---|---|---|---|
| Both together | 0.011 | 0.629 | 48.59 | 0.00100 | 0.0832 |
| Stabilized LFS | 0.012 | 0.558 | 25.91 | 0.00116 | 0.1748 |
| Non-stabilized LFS | 0.010 | 0.714 | 76.28 | 0.00073 | 0.0693 |
| LFS Type | Coefficient A | Coefficient B | Coefficient C | ||||
|---|---|---|---|---|---|---|---|
| A0 | A1 | A2 | B0 | B1 | B2 | ||
| Both together | 52.72 | −0.5555 | 0.0030 | 1411 | 19.90 | −0.1097 | 3180 |
| Stabilized LFS (first-order time powers) | 29.94 | 0.5770 | 0.0000 | 1040 | −27.56 | 0.0000 | 1940 |
| Stabilized LFS (second-order time powers) | 0.1357 | −0.0088 | 0.0001 | −12.77 | 0.3649 | −0.0010 | −6.47 |
| Non-stabilized LFS (first-order time powers) | 8.14 | −0.0555 | 0.0000 | 482.0 | 2.95 | 0.0000 | 760.2 |
| Non-stabilized LFS (second-order time powers) | 4148 | −59.14 | 0.1405 | 83562 | 2202 | −3.44 | 223,206 |
| LFS Type | R2 (%) | Mean Absolute Value | Durbin–Watson Statistic 1 |
|---|---|---|---|
| Both together | 47.93 | 1.4008 | 1.7096 |
| Stabilized LFS (first-order time powers) | 63.00 | 1.2840 | 2.1046 |
| Stabilized LFS (second-order time powers) | 74.18 | 0.9548 | 2.5501 |
| Non-stabilized LFS (first-order time powers) | 87.20 | 0.9111 | 1.9311 |
| Non-stabilized LFS (second-order time powers) | 96.58 | 0.4582 | 2.1944 |
Disclaimer/Publisher’s Note: The statements, opinions and data contained in all publications are solely those of the individual author(s) and contributor(s) and not of MDPI and/or the editor(s). MDPI and/or the editor(s) disclaim responsibility for any injury to people or property resulting from any ideas, methods, instructions or products referred to in the content. |
© 2023 by the authors. Licensee MDPI, Basel, Switzerland. This article is an open access article distributed under the terms and conditions of the Creative Commons Attribution (CC BY) license (https://creativecommons.org/licenses/by/4.0/).
Share and Cite
Revilla-Cuesta, V.; Serrano-López, R.; Espinosa, A.B.; Ortega-López, V.; Skaf, M. Analyzing the Relationship between Compressive Strength and Modulus of Elasticity in Concrete with Ladle Furnace Slag. Buildings 2023, 13, 3100. https://doi.org/10.3390/buildings13123100
Revilla-Cuesta V, Serrano-López R, Espinosa AB, Ortega-López V, Skaf M. Analyzing the Relationship between Compressive Strength and Modulus of Elasticity in Concrete with Ladle Furnace Slag. Buildings. 2023; 13(12):3100. https://doi.org/10.3390/buildings13123100
Chicago/Turabian StyleRevilla-Cuesta, Víctor, Roberto Serrano-López, Ana B. Espinosa, Vanesa Ortega-López, and Marta Skaf. 2023. "Analyzing the Relationship between Compressive Strength and Modulus of Elasticity in Concrete with Ladle Furnace Slag" Buildings 13, no. 12: 3100. https://doi.org/10.3390/buildings13123100
APA StyleRevilla-Cuesta, V., Serrano-López, R., Espinosa, A. B., Ortega-López, V., & Skaf, M. (2023). Analyzing the Relationship between Compressive Strength and Modulus of Elasticity in Concrete with Ladle Furnace Slag. Buildings, 13(12), 3100. https://doi.org/10.3390/buildings13123100

