Multi-Response Optimization on Hydrated Calcium Aluminate Rich Ternary Binders Using Taguchi Design of Experiments and Principal Component Analysis
Abstract
:1. Introduction
1.1. Ternary Binder Systems
- To investigate the impact of several controllable factors on the fresh and hardened properties of ternary binders.
- To assess the influence of each factor on each response output and develop mathematical models.
- To evaluate continuous data via principal component analysis, grouping variables according to specific characteristics and attempting to relate them to original factors.
- To propose a more cost-effective method for determining the composition of ternary binders and the required quantities of admixtures for optimal conditions with minimal experimental runs.
1.2. Statistical Models
1.2.1. Design of Experiments (DOE)
1.2.2. Taguchi Method
1.2.3. Principal Component Analysis (PCA)
2. Materials and Methods
2.1. Materials and Compositions
2.2. Analytical Methods
2.2.1. Flow Test
2.2.2. Calorimetry
2.2.3. Early Age Stability
2.2.4. Strength
2.2.5. Mercury Intrusion Porosimetry (MIP)
2.2.6. X-ray Diffraction (XRD)
2.2.7. Minitab
3. Results and Discussions
3.1. Fresh Properties—Workability
3.2. Structure Build-Up
3.2.1. Hydration Kinetics
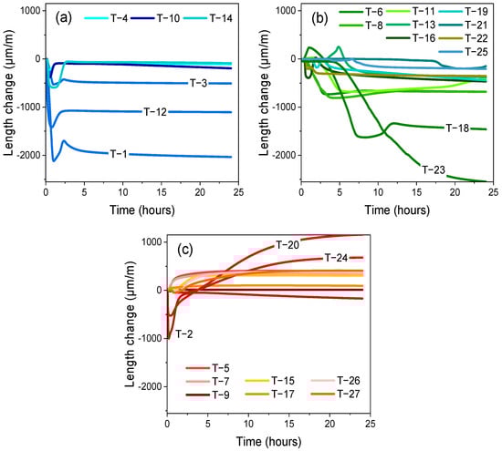
3.2.2. Early Age Shrinkage
3.3. Solid State Properties
3.3.1. Compressive Strength
3.3.2. Mercury Intrusion Porosimetry (MIP)
3.3.3. X-ray Diffraction Analysis
4. Conclusions
- The Taguchi orthogonal array method is promising. It is both efficient and cost-effective method of identifying the significant parameters impacting the properties of ternary binders.
- Principal Component Analysis is effective in managing large datasets. It reduces them to a few significant variables (typically three, referred to as Principal Components). These components can then be correlated with the parameters under investigation.
- Addition of retarders (such as citric acid) in ternary binder systems rich on CAC (like C3) tend to improve flow properties.
- The cumulative heat flow, indicative of the intensity of hydration, is primarily dependent on the level of cement replacement by limestone powder (LSP), quartz powder (QP), or Slag and the addition and dosage of accelerator.
- The used statistical approached indicate that the length change behavior is greatly influenced by the accelerator dosage. Formulations with relatively high AC dosages exhibit expansion, while those without AC show shrinkage.
- The compressive strength and porosity of the binder compositions are negatively affected when the replacement ratio of the cement by LSP, QP, or Slag increases, and/or the accelerator dosage rises.
Author Contributions
Funding
Data Availability Statement
Acknowledgments
Conflicts of Interest
Appendix A
| Factor | Statistical Parameters | Flow | Cumulative Heat of Hydration | Compressive Strength | Cumulative Pore Volume |
|---|---|---|---|---|---|
| Composition | DF | 2 | 2 | 2 | 2 |
| Adj SS | 77,046 | 321 | 58.12 | 20,434 | |
| Adj MS | 38,523 | 160.5 | 29.06 | 10,217 | |
| F | 3.16 | 0.29 | 0.18 | 2.85 | |
| P | 0.061 | 0.753 | 0.839 | 0.078 | |
| Powder | DF | 2 | 2 | 2 | 2 |
| Adj SS | 8265 | 270.3 | 168.4 | 448 | |
| Adj MS | 4132 | 135.2 | 84.2 | 223.8 | |
| F | 0.27 | 0.24 | 0.53 | 0.05 | |
| P | 0.763 | 0.788 | 0.596 | 0.951 | |
| R. Ratio | DF | 2 | 2 | 2 | 2 |
| Adj SS | 15,907 | 8997 | 2267 | 43,722 | |
| Adj MS | 7954 | 4498.7 | 1133.3 | 21,861 | |
| F | 0.54 | 22.86 | 16.71 | 8.51 | |
| P | 0.590 | 0.000 | 0.000 | 0.002 | |
| SP | DF | 2 | 2 | 2 | 2 |
| Adj SS | 6986 | 266.1 | 33.35 | 679 | |
| Adj MS | 3493 | 133.1 | 16.67 | 339.5 | |
| F | 0.23 | 0.24 | 0.1 | 0.08 | |
| P | 0.796 | 0.791 | 0.904 | 0.927 | |
| AC | DF | 2 | 2 | 2 | 2 |
| Adj SS | 10,041 | 418.3 | 667 | 4858 | |
| Adj MS | 5020 | 209.1 | 333.5 | 2429 | |
| F | 0.33 | 0.38 | 2.43 | 0.57 | |
| P | 0.719 | 0.690 | 0.111 | 0.573 | |
| RT | DF | 2 | 2 | 2 | 2 |
| Adj SS | 176,624 | 1461 | 136 | 486 | |
| Adj MS | 88312 | 730.4 | 68.01 | 243.1 | |
| F | 10.96 | 1.43 | 0.42 | 0.05 | |
| P | 0.000 | 0.259 | 0.660 | 0.947 | |
| ST | DF | 2 | 2 | 2 | 2 |
| Adj SS | 25,179 | 643.3 | 238.8 | 3005 | |
| Adj MS | 12,588 | 321.7 | 119.4 | 1502 | |
| F | 0.88 | 0.59 | 0.77 | 0.35 | |
| P | 0.429 | 0.562 | 0.477 | 0.711 |
References
- Bier, T.A. Composition and properties of ternary binders. In Cementitious Materials: Composition, Properties, Application; De Gruyter: Berlin/Boston, Germany, 2017; pp. 353–376. [Google Scholar]
- Lamberet, S. Durability of Ternary Binders Based on Portland Cement, Calcium Aluminate Cement and Calcium Sulfate. Ph.D. Thesis, EPFL, Lausanne, Switzerland, 2005. [Google Scholar]
- Kighelman, J. Hydration and Structure Development of Ternary Binder Systems as Used in Self-Levelling Compounds. Ph.D. Thesis, EPFL, Lausanne, Switzerland, 2007. [Google Scholar]
- Pelletier, P.; Winnefeld, F.; Lothenbach, B. The ternary system Portland cement–calcium sulphoaluminate clinker–anhydrite: Hydration mechanism and mortar properties. Cem. Concr. Compos. 2010, 32, 497–507. [Google Scholar]
- Pelletier-Chaignat, L.; Winnefeld, F.; Lothenbach, B.; Le Saout, G.; Müller, C.J.; Famy, C. Influence of the calcium sulphate source on the hydration mechanism of Portland cement–calcium sulphoaluminate clinker–calcium sulphate binders. Cem. Concr. Compos. 2011, 33, 551–561. [Google Scholar]
- Le Saoût, G.; Lothenbach, B.; Hori, A.; Higuchi, T.; Winnefeld, F. Hydration of Portland cement with additions of calcium sulfoaluminates. Cem. Concr. Res. 2012, 43, 81–94. [Google Scholar]
- Qoku, E.; Bier, T.A.; Westphal, T. Phase assemblage in ettringite-forming cement pastes: A X-ray diffraction and thermal analysis characterization. J. Build. Eng. 2017, 12, 37–50. [Google Scholar]
- Wolf, J.J.; Jansen, D.; Goetz-Neunhoeffer, F.; Neubauer, J. Relating phase transitions to pore size distributions and mechanical mortar properties in CSA-OPC-C$ based systems–The potential impact of delayed straetlingite formation. Cem. Concr. Res. 2021, 147, 106496. [Google Scholar]
- Park, S.; Jeong, Y.; Moon, J.; Lee, N. Hydration characteristics of calcium sulfoaluminate (CSA) cement/ortland cement blended pastes. J. Build. Eng. 2021, 34, 101880. [Google Scholar]
- Qoku, E.; Bier, T.A.; Schmidt, G.; Skibsted, J. Impact of sulphate source on the hydration of ternary pastes of Portland cement, calcium aluminate cement and calcium sulphate. Cem. Concr. Com. 2022, 131, 104502. [Google Scholar]
- Torréns-Martín, D.; Fernández-Carrasco, L.; Blanco-Varela, M.T. Conduction calorimetric studies of ternary binders based on Portland cement, calcium aluminate cement and calcium sulphate. J. Therm. Anal. Calorim. 2013, 114, 799–807. [Google Scholar]
- Taylor, H.F.W. Cement Chemistry; Academic Press: London, UK, 1990. [Google Scholar]
- Qoku, E. Characterization and Quantification of Crystalline and Amorphous Phase Assemblage in Ternary Binders during Hydration. Ph.D. Thesis, TU Bergakagemie Freiberg, Freiberg, Germany, 2019. [Google Scholar]
- Yuan, Q.; Zhou, D.; Li, B.; Huang, H.; Shi, C. Effect of mineral admixtures on the structural build-up of cement paste. Constr. Build. Mater. 2018, 160, 117–126. [Google Scholar]
- Chaunsali, P.; Mondal, P. Physico-chemical interaction between mineral admixtures and OPC–calcium sulfoaluminate (CSA) cements and its influence on early-age expansion. Cem. Concr. Res. 2016, 80, 10–20. [Google Scholar]
- Zajac, M.; Rossberg, A.; Le Saout, G.; Lothenbach, B. Influence of limestone and anhydrite on the hydration of Portland cements. Cem. Concr. Com. 2014, 46, 99–108. [Google Scholar] [CrossRef]
- Emoto, T.; Bier, T.A. Rheological behavior as influenced by plasticizers and hydration kinetics. Cem. Concr. Res. 2007, 37, 647–654. [Google Scholar] [CrossRef]
- Bier, T.A.; Bajrami, A.; Westphal, T.; Qoku, E.; Qorllari, A. Influence of Re-dispersible Powders on Very Early Shrinkage in Functional Mortars. Adv. Mater. Res. 2015, 1129, 77–85. [Google Scholar] [CrossRef]
- Wolf, J.J.; Jansen, D.; Goetz-Neunhoeffer, F.; Neubauer, J. Impact of varying Li2CO3 additions on the hydration of ternary CSA-OPC anhydrite mixes. Cem. Concr. Res. 2020, 131, 106015. [Google Scholar] [CrossRef]
- Bier, T.A.; Amathieu, L. Calcium Aluminate Cement (CAC) in Building Chemistry Formulations. In Proceedings of the ConChem, International Exhibition & Conference, Dusseldorf, Germany, 2–4 December 1997. [Google Scholar]
- Box, G.E.P.; Hunter, J.S.; Hunter, W.G. Statistics for Experimenters, Design, Innovation, and Discovery; Wiley: Hoboken, NJ, USA, 2005. [Google Scholar]
- Montgomery, D.C. Design and Analysis of Experiments; Wiley: Hoboken, NJ, USA, 2017. [Google Scholar]
- Barrentine, L.B. An Introduction to Design of Experiments. A Simplified Approach; ASQ: Milwaukee, WI, USA, 1999. [Google Scholar]
- Mathews, P.G. Design of Experiments with MINITAB; ASQ: Milwaukee, WI, USA, 2005. [Google Scholar]
- Roy, R.K. A Primer on the Taguchi Method, 2nd ed.; Society of Manufacturing Engineers: Dearbon, MI, USA, 2010. [Google Scholar]
- Taguchi, G.; Chowdhury, S.; Wu, Y. Taguchi’s Quality Engineering Handbook; Wiley: Hoboken, NJ, USA, 2005. [Google Scholar]
- Fisher, R.A. The Design of Experiments; Oliver and Boyd: Edinburgh, UK, 1935. [Google Scholar]
- Zambanini, R.A. The Application of Taguchi’s Method of Parameter Design to the Design of Mechanical Systems. Doctoral Dissertation, Lehigh University, Bethlehem, PA, USA, 1992. [Google Scholar]
- Taguchi, G. The role of DOE for robust engineering: A commentary. Qual. Reliab. Eng. Int. 1996, 12, 73–74. [Google Scholar] [CrossRef]
- Chong, B.W.; Othman, R.; Jaya, R.P.; Hasan, M.R.M.; Sandu, A.V.; Nabiałek, M.; Jeż, B.; Pietrusiewicz, P.; Kwiatkowski, D.; Postawa, P.; et al. Design of Experiment on Concrete Mechanical Properties Prediction. A Critical Review. Materials 2021, 14, 1866. [Google Scholar] [CrossRef]
- Tan, O.; Hinislioglu, S.; Altun, S. Taguchi approach for optimization of the bleeding on cement–based grouts. Tunn. Undergr. Space Technol. 2005, 20, 167–173. [Google Scholar] [CrossRef]
- Tanyildizi, H.; Şahin, M. Application of Taguchi method for optimization of concrete strengthened with polymer after high temperature. Constr. Build. Mater. 2015, 79, 97–103. [Google Scholar] [CrossRef]
- Shahen, N.; Khushnood, R.A.; Bier, T.A. Mechanical and energy performance of variably cured effective microorganisms cementitious composite designed via Taguchi. J. Clean. Prod. 2021, 310, 127350. [Google Scholar] [CrossRef]
- Qorllari, A.; Bier, T.A. Optimization of Workability and Compressive Strength of Self-Compacting Mortar Using Screening Design. CivilEng 2022, 3, 998–1012. [Google Scholar] [CrossRef]
- Onoue, K.; Bier, T.A. Optimization of alkali-activated mortar utilizing ground granulated blast-furnace slag and natural pozzolan from Germany with the dynamic approach of the Taguchi method. Constr. Build. Mater. 2017, 144, 357–372. [Google Scholar] [CrossRef]
- Jolliffe, I.T. Principal Component Analysis; Springer: Berlin/Heidelberg, Germany, 2002. [Google Scholar]
- Saporta, G.; Niang, N. Principal Component Analysis: Application to Statistical Process Control; John Wiley & Sons: Hoboken, NJ, USA, 2009. [Google Scholar]
- Abdi, H.; Williams, L.J. Principal component analysis. WIREs ComStat. 2010, 2, 433–459. [Google Scholar] [CrossRef]
- Larose, D.T. Data Mining Methods and Models; John Wiley & Sons, Inc.: Hoboken, NJ, USA, 2006. [Google Scholar]
- Zhou, J.; Ye, G.; Breugel, K. Characterization of pore structure in cement-based materials using pressurization–depressurization cycling mercury intrusion porosimetry (PDC-MIP). Cem. Concr. Res. 2010, 40, 1120–1128. [Google Scholar] [CrossRef]
- Anwar, M.; Emarah, D.A. Pore structure of concrete containing ternary cementitious blends. Results Mater. 2019, 1, 100019. [Google Scholar] [CrossRef]
- Bass, I. Six Sigma Statistics with Excel and Minitab; McGraw-Hill: New York, NY, USA, 2007. [Google Scholar]
- Sawyer, S. Analysis of Variance: The Fundamental Concepts. J. Man. Manip. Ther. 2009, 17, 27–37. [Google Scholar] [CrossRef]
- Lummer, N.R.; Plank, J. Combination of lignosulfonate and AMPS®-co-NNDMA water retention agent—An example for dual synergistic interaction between admixtures in cement. Cem. Concr. Res. 2012, 42, 728–735. [Google Scholar] [CrossRef]
- Gelardi, G.; Flatt, R.J. Working mechanisms of water reducers and superplasticizers. In Science and Technology of Concrete Admixtures; Woodhead Publishing: Cambridge, UK, 2016; pp. 256–278. [Google Scholar]
- Panesar, D.K.; Zhang, R. Performance comparison of cement replacing materials in concrete: Limestone fillers and supplementary cementing materials–A review. Constr. Build. Mater. 2020, 251, 118866. [Google Scholar] [CrossRef]
- Rodger, S.A.; Double, D.D. The chemistry of hydration of high alumina cement in the presence of accelerating and retarding admixtures. Cem. Concr. Res. 1984, 14, 73–82. [Google Scholar] [CrossRef]
- Zhang, Y.; Wang, Y.; Li, T.; Xiong, Z.; Sun, Y. Effects of lithium carbonate on performances of sulphoaluminate cement-based dual liquid high water material and its mechanisms. Constr. Build. Mater. 2018, 161, 374–380. [Google Scholar] [CrossRef]
- Fu, Y.; Gu, P.; Xie, P.; Beaudoin, J.J. Effect of chemical admixtures on the expansion of shrinkage-compensating cement containing a pre-hydrated high alumina cement-based expansive additive. Cem. Concr. Res. 1995, 25, 29–38. [Google Scholar] [CrossRef]
- Mehta, P.K. Mechanism of expansion associated with ettringite formation. Cem. Concr. Res. 1973, 3, 1–6. [Google Scholar] [CrossRef]
- Cohen, M.D. Modeling of expansive cements. Cem. Concr. Res. 1983, 13, 519–528. [Google Scholar] [CrossRef]
- Bizzozero, J.; Gosselin, C.; Scrivener, K.L. Expansion mechanisms in calcium aluminate and sulfoaluminate systems with calcium sulfate. Cem. Concr. Res. 2014, 56, 190–202. [Google Scholar] [CrossRef]
- Livesey, P. Strength characteristics of Portland-limestone cements. Con. Build. Mater. 1991, 5, 147–150. [Google Scholar] [CrossRef]
- Kenai, S.; Soboyejo, W.; Soboyejo, A. Some Engineering Properties of Limestone Concrete. Mater. Manuf. Process. 2004, 19, 949–961. [Google Scholar] [CrossRef]
- Ramezanianpour, A.A. Cement Replacement Materials: Properties, Durability, Sustainability; Springer: Berlin/Heidelberg, Germany, 2014. [Google Scholar]
- Su, Y.; Luo, B.; Luo, Z.; Huang, H.; Li, J.; Wang, D. Effect of Accelerators on the Workability, Strength, and Microstructure of Ultra-High-Performance Concrete. Materials 2021, 15, 159. [Google Scholar] [CrossRef] [PubMed]
- Silva, B.; Pinto, A.P.F.; Gomes, A.; Candeias, A. Impact of a viscosity-modifying admixture on the properties of lime mortars. J. Build. Eng. 2020, 31, 101132. [Google Scholar] [CrossRef]
- Zhang, G.; Li, G.; Li, Y. Effects of superplasticizers and retarders on the fluidity and strength of sulphoaluminate cement. Constr. Build. Mater. 2016, 126, 44–54. [Google Scholar] [CrossRef]
- Rößler, M.; Odler, I. Investigation on the relationship between porosity, structure and strength of hydrated portland cement pastes: Effect of porosity. Cem. Concr. Res. 1985, 15, 320–330. [Google Scholar]















| PC | Fondu | Anhydrite | LSP | Slag | QP | |
|---|---|---|---|---|---|---|
| CaO | 66.54 | 37.9 | 37.6 | 80.19 | 44.92 | |
| SiO2 | 16.46 | 4.3 | 0.69 | 10.58 | 34.26 | 100 |
| Fe2O3 | 3.51 | 17 | 0.65 | 1.91 | 0.58 | |
| MgO | 1.23 | 0.62 | 0.09 | 1.38 | 6.11 | |
| Al2O3 | 4.18 | 38.7 | 0.06 | 4.42 | 9.11 | |
| K2O | 1.65 | 0.05 | 0.01 | 1.13 | 0.67 | |
| TiO2 | 1.8 | 0.01 | 0.78 | |||
| SO3 | 6.41 | 0.38 | 3.57 | |||
| Cr2O3 | 0.12 | 0.01 | ||||
| MnO | 0.15 | 0.01 | ||||
| P2O3 | 0.11 | 0.04 |
| PC | Fondu | Anhydrite | LSP | Slag | QP | |
|---|---|---|---|---|---|---|
| C3S | 60 | |||||
| C2S | 19 | 9 | ||||
| C3A | 4 | |||||
| C4AF | 8 | 8 | ||||
| CA | 64 | |||||
| C12A7 | 5 | |||||
| C2AS | 5 | |||||
| C3FT | 8 | |||||
| AH3 | 1 | |||||
| CaCO3 | 94 | 3 | ||||
| SiO2 | 3 | 95 | ||||
| Anhydrite | 9 | 100 | ||||
| Gypsum | ||||||
| Ankerite | 3 | |||||
| Microcline | 5 | |||||
| Amorphous | 97 |
| PC (wt.%) | Fondu (wt.%) | Anhydrite (wt.%) | LSP/QP/Slag (wt.%) | |
|---|---|---|---|---|
| Composition 1 (C1) | 31 | 49 | 20 | 0 |
| 23.25 | 36.75 | 15 | 25 | |
| 15.50 | 24.50 | 10 | 50 | |
| Composition 2 (C2) | 13 | 64.50 | 22.50 | 0 |
| 9.75 | 48.37 | 16.87 | 25 | |
| 6.50 | 32.25 | 11.25 | 50 | |
| Composition 3 (C3) | 0 | 70 | 30 | 0 |
| 0 | 52.5 | 22.5 | 25 | |
| 0 | 35 | 15 | 50 |
| Factors | Levels | |||
|---|---|---|---|---|
| 1 | 2 | 3 | ||
| 1 | Composition | C1 | C2 | C3 |
| 2 | Type of mineral powder | LSP | QP | Slag |
| 3 | Replacement ratio (wt.%) | 0 | 25 | 50 |
| 4 | Superplasticizer (SP) (wt.%) | 0 | 0.05 | 0.1 |
| 5 | Accelerator (AC) (wt.%) | 0 | 0.05 | 0.1 |
| 6 | Retarder (RT) (wt.%) | 0 | 0.1 | 0.2 |
| 7 | Stabilizer (ST) (wt.%) | 0 | 0.05 | 0.1 |
| Composition | Powder | R. Ratio | SP | AC | RT | ST | |
|---|---|---|---|---|---|---|---|
| 1 | 1 | 1 | 1 | 1 | 1 | 1 | 1 |
| 2 | 1 | 1 | 2 | 2 | 2 | 2 | 2 |
| 3 | 1 | 1 | 3 | 3 | 3 | 3 | 3 |
| 4 | 1 | 2 | 1 | 2 | 2 | 3 | 3 |
| 5 | 1 | 2 | 2 | 3 | 3 | 1 | 1 |
| 6 | 1 | 2 | 3 | 1 | 1 | 2 | 2 |
| 7 | 1 | 3 | 1 | 3 | 3 | 2 | 2 |
| 8 | 1 | 3 | 2 | 1 | 1 | 3 | 3 |
| 9 | 1 | 3 | 3 | 2 | 2 | 1 | 1 |
| 10 | 2 | 1 | 1 | 2 | 3 | 2 | 3 |
| 11 | 2 | 1 | 2 | 3 | 1 | 3 | 1 |
| 12 | 2 | 1 | 3 | 1 | 2 | 1 | 2 |
| 13 | 2 | 2 | 1 | 3 | 1 | 1 | 2 |
| 14 | 2 | 2 | 2 | 1 | 2 | 2 | 3 |
| 15 | 2 | 2 | 3 | 2 | 3 | 3 | 1 |
| 16 | 2 | 3 | 1 | 1 | 2 | 3 | 1 |
| 17 | 2 | 3 | 2 | 2 | 3 | 1 | 2 |
| 18 | 2 | 3 | 3 | 3 | 1 | 2 | 3 |
| 19 | 3 | 1 | 1 | 3 | 2 | 3 | 2 |
| 20 | 3 | 1 | 2 | 1 | 3 | 1 | 3 |
| 21 | 3 | 1 | 3 | 2 | 1 | 2 | 1 |
| 22 | 3 | 2 | 1 | 1 | 3 | 2 | 1 |
| 23 | 3 | 2 | 2 | 2 | 1 | 3 | 2 |
| 24 | 3 | 2 | 3 | 3 | 2 | 1 | 3 |
| 25 | 3 | 3 | 1 | 2 | 1 | 1 | 3 |
| 26 | 3 | 3 | 2 | 3 | 2 | 2 | 1 |
| 27 | 3 | 3 | 3 | 1 | 3 | 3 | 2 |
| Principal Components | PC1 | PC2 | PC3 | |
|---|---|---|---|---|
| Heat of hydration | Eigenvalue | 18.85 | 5.14 | 1.97 |
| Proportion | 0.70 | 0.19 | 0.07 | |
| Cumulative | 0.70 | 0.89 | 0.96 | |
| Length change | Eigenvalue | 16.03 | 5.39 | 2.77 |
| Proportion | 0.59 | 0.20 | 0.10 | |
| Cumulative | 0.59 | 0.79 | 0.90 | |
| Cumulative pore volume | Eigenvalue | 24.32 | 1.29 | 0.30 |
| Proportion | 0.93 | 0.05 | 0.01 | |
| Cumulative | 0.93 | 0.98 | 0.99 | |
| XRD patterns | Eigenvalue | 23.19 | 1.94 | 0.63 |
| Proportion | 0.89 | 0.07 | 0.02 | |
| Cumulative | 0.89 | 0.97 | 0.99 |
Disclaimer/Publisher’s Note: The statements, opinions and data contained in all publications are solely those of the individual author(s) and contributor(s) and not of MDPI and/or the editor(s). MDPI and/or the editor(s) disclaim responsibility for any injury to people or property resulting from any ideas, methods, instructions or products referred to in the content. |
© 2023 by the authors. Licensee MDPI, Basel, Switzerland. This article is an open access article distributed under the terms and conditions of the Creative Commons Attribution (CC BY) license (https://creativecommons.org/licenses/by/4.0/).
Share and Cite
Myftarago, A.; Bier, T.A.; Qoku, E.; Aliti, R.; Zogaj, M. Multi-Response Optimization on Hydrated Calcium Aluminate Rich Ternary Binders Using Taguchi Design of Experiments and Principal Component Analysis. Buildings 2023, 13, 2494. https://doi.org/10.3390/buildings13102494
Myftarago A, Bier TA, Qoku E, Aliti R, Zogaj M. Multi-Response Optimization on Hydrated Calcium Aluminate Rich Ternary Binders Using Taguchi Design of Experiments and Principal Component Analysis. Buildings. 2023; 13(10):2494. https://doi.org/10.3390/buildings13102494
Chicago/Turabian StyleMyftarago, Anxhelina, Thomas A. Bier, Elsa Qoku, Ramadan Aliti, and Milazim Zogaj. 2023. "Multi-Response Optimization on Hydrated Calcium Aluminate Rich Ternary Binders Using Taguchi Design of Experiments and Principal Component Analysis" Buildings 13, no. 10: 2494. https://doi.org/10.3390/buildings13102494
APA StyleMyftarago, A., Bier, T. A., Qoku, E., Aliti, R., & Zogaj, M. (2023). Multi-Response Optimization on Hydrated Calcium Aluminate Rich Ternary Binders Using Taguchi Design of Experiments and Principal Component Analysis. Buildings, 13(10), 2494. https://doi.org/10.3390/buildings13102494

