Effect of Biomass Ash on the Properties and Microstructure of Magnesium Phosphate Cement-Based Materials
Abstract
:1. Introduction
2. Experimental Details
2.1. Raw Materials and Sample Preparation
2.2. Experimental Methods
3. Results and Discussion
3.1. Flowability and Setting Time
3.2. Compressive and Flexural Strength
3.3. Drying Shrinkage
3.4. Bonding Strength
3.5. Microstructural Investigations
3.5.1. XRD Analysis
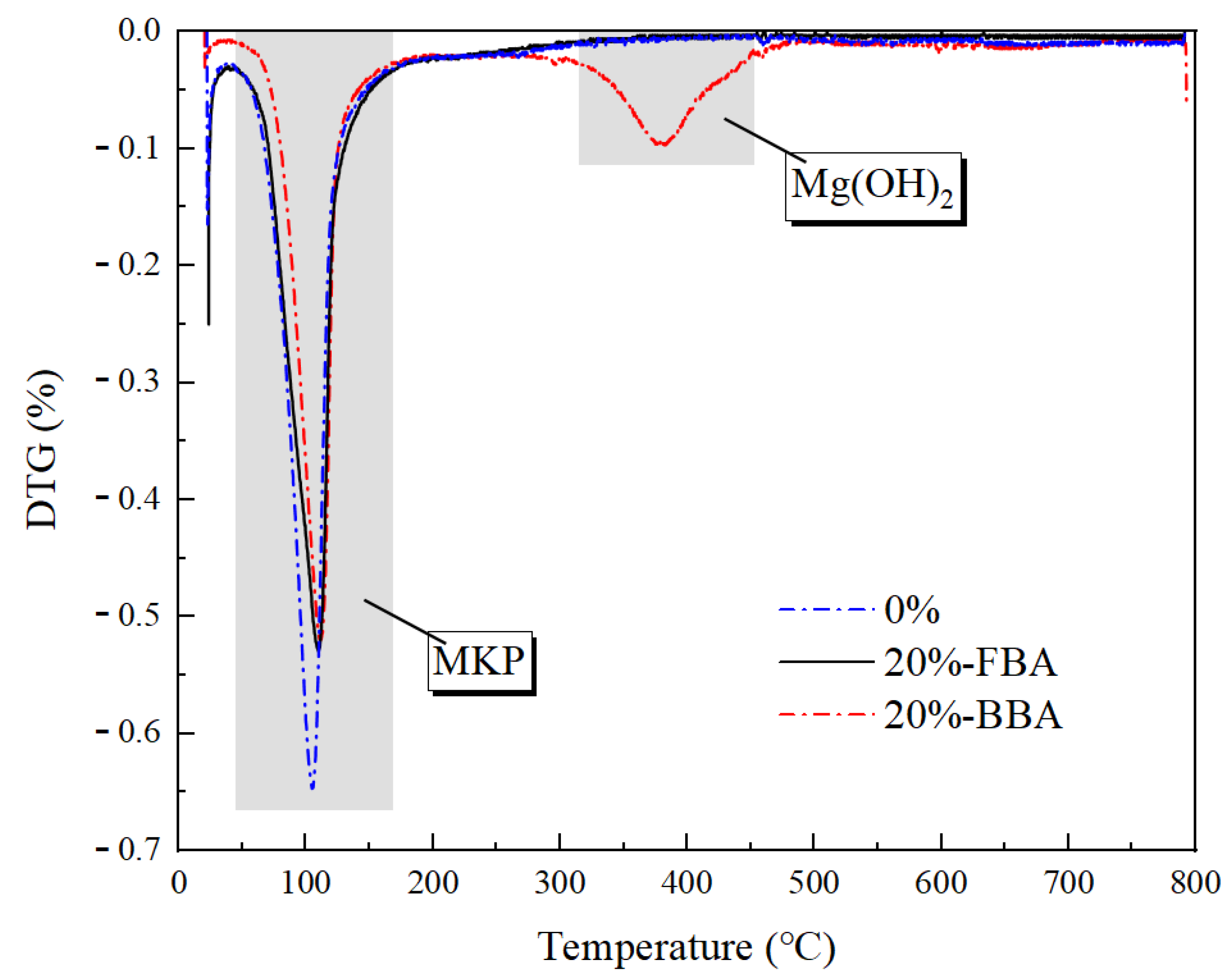
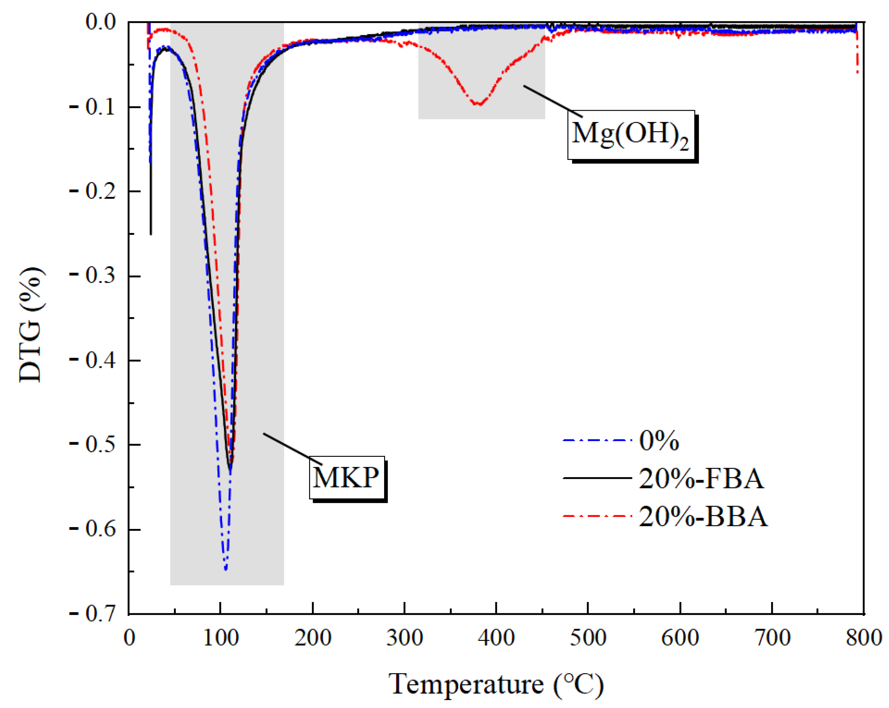
3.5.2. Thermogravimetry Analysis
3.5.3. Pore Structure Analysis
3.5.4. SEM Analysis
4. Conclusions
- The flowability of MPC mortars first increased and then decreased as BA content increased. The setting time of MPC mortars decreased as BA content increased due to the reaction of SiO2 in BA with MgO.
- The compressive and flexural strength of MPC mortars decreased with increasing amounts of BA. The effect of BA on the strength was not significant when the BA dosage is low and the curing age is short. The drying shrinkage of MPC mortar specimens increased exponentially with the increase of BA content. The incorporation of BA reduced the bonding strength of the MPC mortar, which is associated with increased drying shrinkage.
- XRD results showed that no new crystalline hydration products were formed when BA was incorporated into MPC and the main crystalline hydration product was MgKPO4·6H2O. In combination with thermogravimetric analysis, it is confirmed that BA incorporation produces a certain amount of magnesium silicate gel. Although BA has reactivity, the incorporation of BA into MPC still led to a reduction in hydration products.
- The MIP test results showed an increase in porosity and average pore diameter when incorporating high-volume BA into the MPC, which was associated with the poor particle packing state and low hydration product generation. The incorporation of BA into MPC had a significant effect on the microstructure morphology and the hollow columnar-like hydration product may be formed by the reaction of BA with MgO in the paste.
Author Contributions
Funding
Institutional Review Board Statement
Informed Consent Statement
Data Availability Statement
Acknowledgments
Conflicts of Interest
References
- Hadian, S.; Madani, K. A system of systems approach to energy sustainability assessment: Are all renewables really green? Ecol. Indic. 2015, 52, 194–206. [Google Scholar] [CrossRef]
- Bilgili, F.; Ozturk, I. Biomass energy and economic growth nexus in G7 countries: Evidence from dynamic panel data. Renew. Sustain. Energy Rev. 2015, 49, 132–138. [Google Scholar] [CrossRef]
- Bui, Q.; Wang, Z.; Zhang, B.; Le, H.; Vu, K. Revisiting the biomass energy-economic growth linkage of BRICS countries: A panel quantile regression with fixed effects approach. J. Clean. Prod. 2021, 316, 128382. [Google Scholar] [CrossRef]
- Feng, P.; Zhou, S.; Zhao, J. Effect of cattle manure ash on workability and mechanical properties of magnesium phosphate cement. Constr. Build. Mater. 2016, 129, 79–88. [Google Scholar] [CrossRef]
- Chen, X.; Zhou, S.; Zhang, H.; Hui, Y. Alkali silicate reaction of cement mortar with cattle manure ash. Constr. Build. Mater. 2019, 203, 722–733. [Google Scholar] [CrossRef]
- Li, G.; Zhang, J.; Zhang, G. Mechanical property and water stability of the novel CSA-MKPC blended system. Constr. Build. Mater. 2017, 136, 99–107. [Google Scholar] [CrossRef]
- Gardner, L.; Walling, A.; Corkhill, C.; Bernal, S.A.; Lejeune, V.; Stennett, M.C.; Provis, J.L.; Hyatt, N.C. Temperature transformation of blended magnesium potassium phosphate cement binders. Cem. Concr. Res. 2021, 141, 106332. [Google Scholar] [CrossRef]
- Ahmad, M.; Bing, C.; Yu, J. A comprehensive study of basalt fiber reinforced magnesium phosphate cement incorporating ultrafine fly ash. Compos. Part B Eng. 2019, 168, 204–217. [Google Scholar] [CrossRef]
- Zhang, T.; Chen, H.; Li, X.; Zhu, Z. Hydration behavior of magnesium potassium phosphate cement and stability analysis of its hydration products through thermodynamic modeling. Cem. Concr. Res. 2017, 98, 101–110. [Google Scholar]
- Sha, F.; Li, S.; Liu, R.; Li, Z.; Zhang, Q. Experimental study on performance of cement-based grouts admixed with fly ash, bentonite, superplasticizer and water glass. Constr. Build. Mater. 2018, 161, 282–291. [Google Scholar] [CrossRef]
- Li, Y.; Lin, H. Experimental study on the effect of different dispersed degrees carbon nanotubes on the modification of magnesium phosphate cement. Constr. Build. Mater. 2019, 200, 240–247. [Google Scholar] [CrossRef]
- Yang, Q.; Zhu, B.; Zhang, S.; Wu, X. Properties and applications of magnesia–phosphate cement mortar for rapid repair of concrete. Cem. Concr. Res. 2000, 30, 1807–1813. [Google Scholar] [CrossRef]
- Wang, A.; Zhang, J.; Li, J.; Ma, A.B.; Liu, L.T. Effect of liquid-to-solid ratios on the properties of magnesium phosphate chemically bonded ceramics. Mater. Sci. Eng. C 2013, 33, 2508–2512. [Google Scholar] [CrossRef] [PubMed]
- Zhang, Y.; Wang, S.; Zhang, B.; Hou, D.; Li, H.; Li, L.; Wang, J.; Lin, C. A preliminary investigation of the properties of potassium magnesium phosphate cement-based grouts mixed with fly ash, water glass and bentonite. Constr. Build. Mater. 2020, 237, 117501. [Google Scholar] [CrossRef]
- Dong, P.; Ahmad, M.; Bing, C.; Munir, M.J.; Kazmi, S.M.S. A study on magnesium phosphate cement mortars reinforced by polyvinyl alcohol fibers. Constr. Build. Mater. 2021, 302, 124154. [Google Scholar] [CrossRef]
- Luo, Z.; Ma, Y.; Mu, W.; Liu, J.; He, J.; Zhou, X. Magnesium phosphate cement prepared with electric furnace ferronickel slag: Properties and its hydration mechanism. Constr. Build. Mater. 2021, 300, 123991. [Google Scholar] [CrossRef]
- Wang, Q.; Yu, C.; Yang, J.; Chong, L.; Xu, X.; Wu, Q. Influence of nickel slag powders on properties of magnesium potassium phosphate cement paste. Constr. Build. Mater. 2019, 205, 668–678. [Google Scholar] [CrossRef]
- Ahmad, M.; Chen, B. Effect of silica fume and basalt fiber on the mechanical properties and microstructure of magnesium phosphate cement (MPC) mortar. Constr. Build. Mater. 2018, 190, 466–478. [Google Scholar] [CrossRef]
- Liao, W.; Ma, H.; Sun, H.; Huang, Y.; Wang, Y. Potential large-volume beneficial use of low-grade fly ash in magnesia-phosphate cement based materials. Fuel 2017, 209, 490–497. [Google Scholar] [CrossRef]
- Zhou, S.; Zhang, X.; Chen, X. Pozzolanic activity of feedlot biomass (cattle manure) ash. Constr. Build. Mater. 2012, 28, 493–498. [Google Scholar] [CrossRef]
- Zhou, S.; Tang, W.; Xu, P.; Chen, X. Effect of cattle manure ash on strength, workability and water permeability of concrete. Constr. Build. Mater. 2015, 84, 121–127. [Google Scholar] [CrossRef]
- Zhou, S.; Zhang, S.; Shen, J.; Guo, W. Effect of cattle manure ash′s particle size on compression strength of concrete. Case Stud. Constr. Mater. 2019, 10, e00215. [Google Scholar] [CrossRef]
- Qi, T.; Gao, X.; Feng, G.; Bai, J.; Wang, Z.; Chen, Q.; Wang, H.; Du, X. Effect of biomass power plant ash on fresh properties of cemented coal gangue backfill. Constr. Build. Mater. 2022, 340, 127853. [Google Scholar] [CrossRef]
- Sunita, A. Effect of biomass Ash, foundry sand and recycled concrete aggregate over the strength aspects of the concrete. Mater. Today Proc. 2022, 50, 2044–2051. [Google Scholar] [CrossRef]
- Ying, J.; Jiang, Z.; Xiao, J. Synergistic effects of three-dimensional graphene and silica fume on mechanical and chloride diffusion properties of hardened cement paste. Constr. Build. Mater. 2022, 316, 125756. [Google Scholar] [CrossRef]
- Zhou, J.; Zheng, K.; Liu, Z.; He, F. Chemical effect of nano-alumina on early-age hydration of Portland cement. Cem. Concr. Res. 2019, 116, 159–167. [Google Scholar] [CrossRef]
- Tuan, N.; Ye, G.; Breugel, K.; Copuroglu, O. Hydration and microstructure of ultra high performance concrete incorporating rice husk ash. Cem. Concr. Res. 2011, 41, 1104–1111. [Google Scholar] [CrossRef]
- He, Y.; Lai, Z.; Yan, T.; He, X.; Lu, Z.; Lv, S.; Li, F.; Fan, X.; Zhang, H. Effect of Cd2+ on early hydration process of magnesium phosphate cement and its leaching toxicity properties. Constr. Build. Mater. 2019, 209, 32–40. [Google Scholar] [CrossRef]
- Shi, Y.; Long, G.; Ma, C.; Xie, Y.; He, J. Design and preparation of Ultra-High Performance Concrete with low environmental impact. J. Clean. Prod. 2019, 214, 633–643. [Google Scholar] [CrossRef]
- Lothenbach, B.; Scrivener, K.; Hooton, R. Supplementary cementitious materials. Cem. Concr. Res. 2011, 41, 217–229. [Google Scholar] [CrossRef]
- Tam, C.; Tam, V.; Ng, K. Assessing drying shrinkage and water permeability of reactive powder concrete produced in Hong Kong. Constr. Build. Mater. 2016, 26, 79–89. [Google Scholar] [CrossRef]
- Li, Z. Drying shrinkage prediction of paste containing meta-kaolin and ultrafine fly ash for developing ultra-high performance concrete. Mater. Today Commun. 2016, 6, 74–80. [Google Scholar] [CrossRef]
- Yalcinkaya, C.; Yazici, H. Effects of ambient temperature and relative humidity on early-age shrinkage of UHPC with high-volume mineral admixtures. Constr. Build. Mater. 2017, 144, 252–259. [Google Scholar] [CrossRef]
- Tan, Y.; Yu, H.; Li, Y.; Bi, W.; Yao, X. The effect of slag on the properties of magnesium potassium phosphate cement. Constr. Build. Mater. 2016, 126, 313–320. [Google Scholar] [CrossRef]
- Haque, M.; Chen, B.; Liu, Y. The role of bauxite and fly-ash on the water stability and microstructural densification of magnesium phosphate cement composites. Constr. Build. Mater. 2020, 260, 119953. [Google Scholar] [CrossRef]

















| Compounds | Dead-Burned MgO | FBA | BBA |
|---|---|---|---|
| MgO (%) | 96.76 | 5.24 | 5.18 |
| SiO2 | 0.72 | 52.15 | 49.38 |
| Al2O3 | 0.26 | 11.72 | 9.5 |
| CaO | 1.34 | 9.73 | 9.63 |
| K2O | - | 4.73 | 4.61 |
| Fe2O3 | 0.76 | 4.61 | 4.59 |
| Na2O | - | 2.44 | 2.48 |
| P2O5 | - | 1.58 | 1.63 |
| SO3 | - | 1.55 | 1.4 |
| TiO2 | - | 0.94 | 0.93 |
| LOI | - | 1.3 | 1.9 |
| NO. | MgO | NH4H2PO4 | KH2PO4 | H₃BO₃ | BA | Sand | Water |
|---|---|---|---|---|---|---|---|
| 100 MPC | 780 | 156 | 117 | 90 | 0 | 1143 | 183 |
| 5 BA-95 MPC | 741 | 148 | 111 | 86 | 57 | 1143 | 183 |
| 10 BA-90 MPC | 702 | 140 | 105 | 81 | 114 | 1143 | 183 |
| 15 BA-85 MPC | 663 | 133 | 99 | 77 | 171 | 1143 | 183 |
| 20 BA-80 MPC | 624 | 125 | 94 | 72 | 228 | 1143 | 183 |
| 25 BA-75 MPC | 585 | 117 | 88 | 68 | 285 | 1143 | 183 |
Disclaimer/Publisher’s Note: The statements, opinions and data contained in all publications are solely those of the individual author(s) and contributor(s) and not of MDPI and/or the editor(s). MDPI and/or the editor(s) disclaim responsibility for any injury to people or property resulting from any ideas, methods, instructions or products referred to in the content. |
© 2022 by the authors. Licensee MDPI, Basel, Switzerland. This article is an open access article distributed under the terms and conditions of the Creative Commons Attribution (CC BY) license (https://creativecommons.org/licenses/by/4.0/).
Share and Cite
Zhou, S.; Shi, Y.; Wu, P.; Zhang, H.; Hui, Y.; Jin, W. Effect of Biomass Ash on the Properties and Microstructure of Magnesium Phosphate Cement-Based Materials. Buildings 2023, 13, 30. https://doi.org/10.3390/buildings13010030
Zhou S, Shi Y, Wu P, Zhang H, Hui Y, Jin W. Effect of Biomass Ash on the Properties and Microstructure of Magnesium Phosphate Cement-Based Materials. Buildings. 2023; 13(1):30. https://doi.org/10.3390/buildings13010030
Chicago/Turabian StyleZhou, Shuguang, Ye Shi, Pengtao Wu, Haiyu Zhang, Yuetong Hui, and Wei Jin. 2023. "Effect of Biomass Ash on the Properties and Microstructure of Magnesium Phosphate Cement-Based Materials" Buildings 13, no. 1: 30. https://doi.org/10.3390/buildings13010030
APA StyleZhou, S., Shi, Y., Wu, P., Zhang, H., Hui, Y., & Jin, W. (2023). Effect of Biomass Ash on the Properties and Microstructure of Magnesium Phosphate Cement-Based Materials. Buildings, 13(1), 30. https://doi.org/10.3390/buildings13010030
