Seismic Fragility Assessment of RC Columns Exposed to the Freeze-Thaw Damage
Abstract
:1. Introduction
2. The Proposed Deterioration Model of RC Columns
2.1. Review of the Experimental Data
2.2. Freeze–Thaw Test Results of Plain Concrete
2.2.1. Variation Law of the Peak Stress
2.2.2. Variation Law of the Peak Strain
2.2.3. Variation Law of the Elastic Modulus
2.3. Development of the Proposed Deterioration Model
2.3.1. Constitutive Model of Plain Concrete under Freeze–Thaw Cycling
2.3.2. Constitutive Model of the Confined Concrete
- (1)
- Time-varying formula for the peak stress
- (2)
- Time-varying formula for the peak strain
- (3)
- Time-varying equation for the shape parameter
3. Seismic Fragility Theory
4. Case-Study Analysis
4.1. Bridge Description and FE Modeling
4.2. Selection of the Seismic Records
4.3. Application of the Proposed Deterioration Model
4.3.1. Variation in the Constitutive Parameters
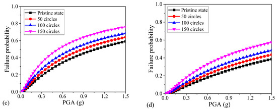
4.3.2. Seismic Fragility Analysis Considering the Freeze–Thaw Damage
5. Conclusions
Author Contributions
Funding
Institutional Review Board Statement
Informed Consent Statement
Acknowledgments
Conflicts of Interest
References
- Zhang, K.; Zhou, J.; Yin, Z. Experimental study on mechanical properties and pore structure deterioration of concrete under freeze–thaw cycles. Materials 2021, 14, 6568. [Google Scholar] [CrossRef] [PubMed]
- Zhang, X.; Guan, J.; Chen, X.; Pei, W.; Yu, S.; Wang, Y.; Wang, W. Effect of permafrost on seismic performance of railway bridge pile foundation with elevated cap. Int. J. Struct. Stab. Dyn. 2022, 22, 2241002. [Google Scholar] [CrossRef]
- Gong, F.; Maekawa, K. Multi-scale simulation of freeze-thaw damage to RC column and its restoring force characteristics. Eng. Struct. 2018, 156, 522–536. [Google Scholar] [CrossRef]
- Billah, A.; Todorov, B. Effects of subfreezing temperature on the seismic response of lead rubber bearing isolated bridge. Soil Dyn. Earthq. Eng. 2019, 126, 65–72. [Google Scholar] [CrossRef]
- Yu, H.; Ma, H.; Yan, K. An equation for determining freeze-thaw fatigue damage in concrete and a model for predicting the service life. Constr. Build. Mater. 2017, 137, 104–116. [Google Scholar] [CrossRef]
- Si, Z.; Du, X.; Huang, L.; Li, Y. Meso-scale failure of freezing–thawing damage of concrete under uniaxial compression. Appl. Sci. 2020, 10, 1252. [Google Scholar] [CrossRef] [Green Version]
- Li, B.; Mao, J.; Shen, W.; Liu, H.; Liu, X.; Xu, G. Mesoscopic cracking model of cement-based materials subjected to freeze-thaw cycles. Constr. Build. Mater. 2019, 211, 1050–1064. [Google Scholar] [CrossRef]
- Xu, G.; Zeng, J.; Wang, Q.; Xiang, X.; Wei, Z. Bond stress-slip model for concrete-embedded smooth bars in salt-frozen environment. IOP Conf. Ser. Earth Environ. Sci. 2019, 304, 052081. [Google Scholar] [CrossRef]
- Wang, X.; Petru, M. Freeze–thaw resistance of epoxy/concrete interface evaluated by a novel wedge splitting test. Constr. Build. Mater. 2019, 210, 434–441. [Google Scholar] [CrossRef]
- Gong, F.; Takahashi, Y.; Maekawa, K. Multi-scale computational modeling for concrete damage by mixed pore pressures—Case of coupled alkali–silica reaction and cyclic freeze-thaw. Eng. Comput. 2018, 35, 2367–2385. [Google Scholar] [CrossRef]
- Liu, K.; Yan, J.; Alam, M.; Zou, C. Seismic fragility analysis of deteriorating recycled aggregate concrete bridge columns subjected to freeze-thaw cycles. Eng. Struct. 2019, 187, 1–15. [Google Scholar] [CrossRef]
- Yu, X.; Chen, L.; Fang, Q.; Ruan, Z.; Hong, J.; Xiang, H. A concrete constitutive model considering coupled effects of high temperature and high strain rate. Int. J. Impact Eng. 2017, 101, 66–77. [Google Scholar] [CrossRef]
- Niu, D.; Zhang, G.; Luo, D.; Guan, X.; Liu, X. Research on frost resistance of reinforced concrete in extreme freeze-thaw environment. Ind. Constr. 2019, 49, 1–6. (In Chinese) [Google Scholar]
- Zhang, D.; Mao, M.; Zhang, S.; Yang, Q. Influence of stress damage and high temperature on the freeze–thaw resistance of concrete with fly ash as fine aggregate. Constr. Build. Mater. 2019, 229, 116845. [Google Scholar] [CrossRef]
- Plotnikova, A.; Wotherspoon, L.; Beskhyroun, S.; Yang, Z. Influence of seasonal freezing on dynamic bridge characteristics using in-situ monitoring data. Cold Reg. Sci. Technol. 2019, 160, 184–193. [Google Scholar] [CrossRef]
- Zheng, S.; Zheng, Y.; Liu, H.; Zhang, Y. Seismic performance and numerical simulation method of chloride corrosion RC joints. J. Huazhong Univ. Sci. Technol. 2021, 49, 109–115. [Google Scholar]
- Li, Y.; Yin, S.; Lv, H. Combined effects of dry-wet cycles and sustained loads on the seismic behavior of TRC-strengthened RC columns. Structures 2021, 33, 2226–2237. [Google Scholar] [CrossRef]
- Liu, S.; Du, M.; Tian, Y.; Wang, X.; Sun, G. Bond behavior of reinforced concrete considering freeze–thaw cycles and corrosion of stirrups. Materials 2021, 14, 4732. [Google Scholar] [CrossRef]
- Ma, K.; Li, S.; Long, G.; Xie, Y.; Yu, L.; Xie, Q. Performance evolution and damage constitutive model of thin layer SCC under the coupling effect of freeze–thaw cycles and load. J. Mater. Civ. Eng. 2020, 32, 04020147. [Google Scholar] [CrossRef]
- Gong, F.; Ueda, T.; Wang, Y.; Zhang, D.; Wang, Z. Mesoscale simulation of fatigue behavior of concrete materials damaged by freeze-thaw cycles. Constr. Build. Mater. 2017, 144, 702–716. [Google Scholar] [CrossRef] [Green Version]
- Niu, D.; Wang, J.; He, H. Frost durability and stress–strain relationship of lining shotcrete in cold environment. Constr. Build. Mater. 2019, 198, 58–69. [Google Scholar]
- Duan, A.; Jin, W.; Qian, J. Effect of freeze–thaw cycles on the stress–strain curves of unconfined and confined concrete. Mater. Struct. 2011, 44, 3–15. [Google Scholar] [CrossRef]
- Ma, B.; Ye, Y.; Sun, Y. Mechanical Properties Analysis of salt corrosion and freeze-thaw concrete based on damage model. J. Build. Struct. 2009, 30, 298–302. [Google Scholar]
- Qiu, W.; Teng, F.; Pan, S. Damage constitutive model of concrete under repeated load after seawater freeze-thaw cycles. Constr. Build. Mater. 2020, 236, 3–11. [Google Scholar] [CrossRef]
- Zhu, X.; Chen, X.; Bai, Y.; Ning, Y.; Zhang, W. Evaluation of fracture behavior of high-strength hydraulic concrete damaged by freeze-thaw cycle test. Constr. Build. Mater. 2022, 321, 126346. [Google Scholar] [CrossRef]
- Li, Y.; Li, B.; Zhang, L.; Ma, C. Damage evolution of concrete piles mixed with admixtures in marine corrosion and freeze-thaw environment. Geofluids 2021, 2021, 1393881. [Google Scholar] [CrossRef]
- Yang, H.; Liu, C.; Jiang, J. Damage constitutive model of stirrup-confined recycled aggregate concrete after freezing and thawing cycles. Constr. Build. Mater. 2020, 253, 1148–1162. [Google Scholar] [CrossRef]
- Li, B.; Mao, J.; Nawa, T.; Han, T. Mesoscopic damage model of concrete subjected to freeze-thaw cycles using mercury intrusion porosimetry and differential scanning calorimetry (MIP-DSC). Constr. Build. Mater. 2017, 147, 79–90. [Google Scholar] [CrossRef]
- Sun, M.; Xin, D.; Zou, C. Damage evolution and plasticity development of concrete materials subjected to freeze-thaw during the load process. Mech. Mater. 2019, 139, 2145–2159. [Google Scholar] [CrossRef]
- Gong, X.; Yu, H.; Wu, C. Research on the constitutive relationship of concrete under uniaxial compression in freeze–thaw environment. Constr. Build. Mater. 2022, 336, 1617–1626. [Google Scholar] [CrossRef]
- Zheng, S.; Zheng, Y.; Dong, L. Constitutive model of corroded stirrup restrained concrete in offshore environment. J. Zhejiang Univ. 2020, 54, 48–55. (In Chinese) [Google Scholar]
- Teng, F. Study on Seismic Behavior of Reinforced Concrete Piers after Sea Water Freezing-Thawing Cycle; Dalian University of Technology: Dalian, China, 2021; pp. 48–55. [Google Scholar]
- Choi, E.; DesRoches, R.; Nielson, B. Seismic fragility of typical bridges in moderate seismic zones. Eng. Struct. 2004, 26, 187–199. [Google Scholar] [CrossRef]
- Nielson, B.; DesRoches, R. Seismic fragility methodology for highway bridges using a component level approach. Earthq. Eng. Struct. Dyn. 2007, 36, 823–839. [Google Scholar] [CrossRef]
- Wu, W.; Li, L.; Shao, X. Seismic assessment of medium-span concrete cable-stayed bridges using the component and system fragility functions. J. Bridge Eng. 2016, 21, 04016027. [Google Scholar] [CrossRef]
- Işık, E.; Harirchian, E.; Bilgin, H.; Jadhav, K. The effect of material strength and discontinuity in RC structures according to different site-specific design spectra. Res. Eng. Struct. Mater. 2021, 7, 413–430. [Google Scholar] [CrossRef]
- Cirak, C.; Palanci, M.; Senel, S. Fragility based evaluation of different code based assessment approaches for the performance estimation of existing buildings. Bull. Earthq. Eng. 2022, 20, 1685–1716. [Google Scholar] [CrossRef]
- Li, H.; Li, L.; Zhou, G.; Xu, L. Effects of various modeling uncertainty parameters on the seismic response and seismic fragility estimates of the aging highway bridges. Bull. Earthq. Eng. 2020, 18, 6337–6373. [Google Scholar] [CrossRef]
- Li, H.; Li, L.; Zhou, G.; Xu, L. Time-dependent seismic fragility assessment for aging highway bridges subject to non-uniform chloride-induced corrosion. J. Earthq. Eng. 2022, 26, 3523–3553. [Google Scholar] [CrossRef]
- Bülbül, M.; Harirchian, E.; Işık, M.; Aghakouchaki Hosseini, S.; Işık, E. A hybrid ANN-GA model for an automated rapid vulnerability assessment of existing RC buildings. Appl. Sci. 2022, 12, 5138. [Google Scholar] [CrossRef]
- Su, Z.; Tan, X.; Chen, W.; Jia, H.; Xu, F. A model of unfrozen water content in rock during freezing and thawing with experimental validation by nuclear magnetic resonance. J. Rock Mech. Geotech. Eng. 2022, 14, 1545–1555. [Google Scholar] [CrossRef]
- Cui, F.; Li, H.; Dong, X.; Wang, B.; Li, J.; Xue, H.; Qi, M. Improved time-dependent seismic fragility estimates for deteriorating RC bridge substructures exposed to chloride attack. Adv. Struct. Eng. 2021, 24, 437–452. [Google Scholar] [CrossRef]
- Li, H.; Zhou, G.; Wang, J. Selection of ground motion intensity measures and evaluation of the ground motion-related uncertainties in the probabilistic seismic demand analysis of highway bridges. Buildings 2022, 12, 1184. [Google Scholar] [CrossRef]
- Alipour, A.; Shafei, B.; Shinozuka, M. Performance evaluation of deteriorating highway bridges located in high seismic areas. J. Bridge Eng. 2011, 16, 597–611. [Google Scholar] [CrossRef]
- Cornell, C. Probabilistic basis for 2000 SAC federal emergency management agency steel moment frame guidelines. J. Struct. Eng. 2002, 128, 526–533. [Google Scholar] [CrossRef] [Green Version]
- Pang, Y.; Wu, X.; Shen, G.; Yuan, W. Seismic fragility analysis of cable-stayed bridges considering different sources of uncertainties. J. Bridge Eng. 2014, 19, 04013015. [Google Scholar] [CrossRef]
- Barbato, M.; Gu, Q.; Conte, J. Probabilistic push-over analysis of structural and soil-structure systems. J. Struct. Eng. 2010, 136, 1330–1341. [Google Scholar] [CrossRef] [Green Version]
- Darmawan, M.; Stewart, M. Spatial time-dependent reliability analysis of corroding pretensioned prestressed concrete bridge girders. Struct. Saf. 2007, 29, 16–31. [Google Scholar] [CrossRef]
- Nielson, B. Analytical Fragility Curves for Highway Bridges in Moderate Seismic Zones. Ph.D. Thesis, School of Civil and Environmental Engineering, Georgia Institute of Technology, Atlantic, NJ, USA, 2005; pp. 1–24. [Google Scholar]
- PEER (Pacific Earthquake Engineering Research Center). PEER Ground Motion Database; PEER: Berkeley, CA, USA, 2013. [Google Scholar]
- JTG/T B02–01; Guidelines for Seismic Design of Chinese Highway Bridges. Ministry of Transport of the People’s Republic of China: Beijing, China, 2008.
- Cao, X.; Feng, D.; Wang, Z.; Wu, G. Parametric investigation of the assembled bolt-connected buckling-restrained brace and performance evaluation of its application into structural retrofit. J. Build. Eng. 2022, 48, 103988. [Google Scholar] [CrossRef]
- Cao, X.; Feng, D.; Li, Y. Assessment of various seismic fragility analysis approaches for structures excited by non-stationary stochastic ground motions. Mech. Syst. Signal Process. 2023, 186, 109838. [Google Scholar] [CrossRef]
represents Gong et al. (2018) [10];
represents Niu et al. (2019) [21];
represents Duan et al. (2011) [22];
represents Sun et al. (2019) [23]; and
represents Zhang et al. (2019) [14]).
represents Gong et al. (2018) [10];
represents Niu et al. (2019) [21];
represents Duan et al. (2011) [22];
represents Sun et al. (2019) [23]; and
represents Zhang et al. (2019) [14]).
represents Gong et al. (2018) [10];
represents Niu et al. (2019) [21];
represents Duan et al. (2011) [22];
represents Sun et al. (2019) [23]; and
represents Zhang et al. (2019) [14]).
represents Gong et al. (2018) [10];
represents Niu et al. (2019) [21];
represents Duan et al. (2011) [22];
represents Sun et al. (2019) [23]; and
represents Zhang et al. (2019) [14]).
represents Gong et al. (2018) [10];
represents Niu et al. (2019) [21];
represents Duan et al. (2011) [22];
represents Sun et al. (2019) [23]; and
represents Zhang et al. (2019) [14]).
represents Gong et al. (2018) [10];
represents Niu et al. (2019) [21];
represents Duan et al. (2011) [22];
represents Sun et al. (2019) [23]; and
represents Zhang et al. (2019) [14]).





| Literature | Shape | Dimensions (mm) | Water-to-Cement Ratio | Compressive Strength (MPa) | Freeze–Thaw Cycles | Object |
|---|---|---|---|---|---|---|
| Gong et al. [10] | Prism | 100 × 100 × 100 | 0.50 | 36.85 | 0, 100, 200, 300 | Plain concrete |
| Zhang et al. [14] | Cylinder | d = 100, h = 200 | 0.50 | 29.64 | 0, 50, 100, 200, 300 | Plain concrete |
| Niu et al. [21] | Prism | 100 × 100 × 300 | 0.43 | 35.42 | 0, 50, 100, 150, 200 | Plain concrete |
| Duan et al. [22] | Prism | 100 × 100 × 300 | 0.45 | 30.26 | 0, 75, 100, 125, 150 | Plain and confined concrete |
| Sun et al. [23] | Prism | 100 × 100 × 400 | 0.50 | 30.48 | 0, 50, 100, 150, 200 | Plain concrete |
| Parameter | Units | Distribution | Mean | Variation Coefficient | Reference |
|---|---|---|---|---|---|
| Yield strength of steel | MPa | Lognormal | 335 | 0.07 | [46,47] |
| Ultimate strain of steel | — | Lognormal | 0.0017 | 0.2 | [46,47] |
| Elastic modulus of steel | MPa | Normal | 2 × 105 | 0.2 | [48] |
| Elastic modulus of concrete | MPa | Normal | Equation (3) | 0.12 | [23,29] |
| Compressive strength of plain concrete | MPa | Lognormal | Equation (1) | 0.15 | [49] |
| Peak strain of plain concrete | — | Lognormal | Equation (2) | 0.2 | [49] |
| Compressive strength of confined concrete | MPa | Lognormal | Equation (11) | 0.2 | [33,49] |
| Peak strain of confined concrete | — | Lognormal | Equation (12) | 0.2 | [33,49] |
| Damping ratio | — | Normal | 0.045 | 0.278 | [34] |
| Deck mass ratios | — | Uniform | 1.0 | 0.058 | [34] |
| Concrete cover depth | mm | Normal | 50 | 0.15 | [48] |
| Bearing shear modulus | MPa | Uniform | 1.365 | 0.3 | [34] |
| Bearing coefficient of friction | MPa | Lognormal | 0.36 | 0.1 | [34] |
| Passive stiffness of abutment | kN/m | Uniform | 3.2 × 105 | 0.25 | [49] |
| Active stiffness of abutment | kN/m | Uniform | 7.0 × 104 | 0.286 | [34] |
| Translational stiffness of foundation | kN/m | Uniform | 6.2 × 105 | 0.29 | [49] |
| Rotational stiffness of foundation | kN·m/rad | Uniform | 1.8 × 107 | 0.289 | [49] |
| Number of the Freeze–Thaw Cycles | PSDM | R2 | |
|---|---|---|---|
| 0 | 0.797 | 0.411 | |
| 50 | 0.782 | 0.414 | |
| 100 | 0.773 | 0.425 | |
| 150 | 0.769 | 0.438 |
Disclaimer/Publisher’s Note: The statements, opinions and data contained in all publications are solely those of the individual author(s) and contributor(s) and not of MDPI and/or the editor(s). MDPI and/or the editor(s) disclaim responsibility for any injury to people or property resulting from any ideas, methods, instructions or products referred to in the content. |
© 2023 by the authors. Licensee MDPI, Basel, Switzerland. This article is an open access article distributed under the terms and conditions of the Creative Commons Attribution (CC BY) license (https://creativecommons.org/licenses/by/4.0/).
Share and Cite
Cui, F.; Guan, G.; Cui, L.; Li, M.; Deng, S.; Li, H. Seismic Fragility Assessment of RC Columns Exposed to the Freeze-Thaw Damage. Buildings 2023, 13, 126. https://doi.org/10.3390/buildings13010126
Cui F, Guan G, Cui L, Li M, Deng S, Li H. Seismic Fragility Assessment of RC Columns Exposed to the Freeze-Thaw Damage. Buildings. 2023; 13(1):126. https://doi.org/10.3390/buildings13010126
Chicago/Turabian StyleCui, Fengkun, Guangzhu Guan, Long Cui, Mian Li, Shuwen Deng, and Huihui Li. 2023. "Seismic Fragility Assessment of RC Columns Exposed to the Freeze-Thaw Damage" Buildings 13, no. 1: 126. https://doi.org/10.3390/buildings13010126
APA StyleCui, F., Guan, G., Cui, L., Li, M., Deng, S., & Li, H. (2023). Seismic Fragility Assessment of RC Columns Exposed to the Freeze-Thaw Damage. Buildings, 13(1), 126. https://doi.org/10.3390/buildings13010126

