From Trees to Skyscrapers: Holistic Review of the Advances and Limitations of Multi-Storey Timber Buildings
Abstract
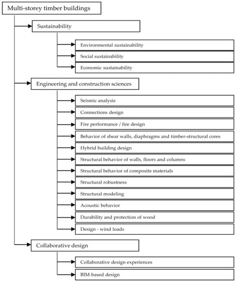
:1. Introduction
1.1. Sustainability of Multi-Storey Timber Buildings
1.2. Engineering and Construction Sciences in Multi-Storey Timber Buildings
1.3. Collaborative Design in Multi-Storey Timber Buildings
1.4. Objective of the Article
2. Methodology
2.1. Literature Review
- -
- Set 1 of keywords: Tall wood building and tall timber building;
- -
- Set 2 of keywords: Multi-storey timber.
- (i)
- Research articles, review articles, reports, and conference proceedings were included;
- (ii)
- The search considered words in the title, abstract, and keywords of the articles;
- (iii)
- The search was restricted to the English language only. However, in the case of publications in other languages, it was considered valid that the title, the abstract, and the keywords were in English;
- (iv)
- The years of publication of the articles were limited to the 2017 to mid-2022 period. Specifically, the review was completed in early August 2022.
2.2. Comparative Analysis
3. Results
3.1. Advances in Sustainability
3.2. Limitations in Sustainability
3.3. Advances in Engineering and Construction Sciences
3.3.1. Seismic Analysis
3.3.2. Connections Design
3.3.3. Fire Performance/Fire Design
3.4. Limitations in Engineering and Construction Sciences
3.5. Advances in Collaborative Design
3.6. Limitations in Collaborative Design
4. Discussion
5. Conclusions
Author Contributions
Funding
Institutional Review Board Statement
Informed Consent Statement
Data Availability Statement
Acknowledgments
Conflicts of Interest
References
- Ramage, M.H.; Burridge, H.; Busse-Wicher, M.; Fereday, G.; Reynolds, T.; Shah, D.U.; Wu, G.; Yu, L.; Fleming, P.; Densley-Tingley, D.; et al. The wood from the trees: The use of timber in construction. Renew. Sustain. Energy Rev. 2017, 68, 333–359. [Google Scholar] [CrossRef]
- Wiegand, E.; Ramage, M. The impact of policy instruments on the first generation of Tall Wood Buildings. Build. Res. Inf. 2022, 50, 255–275. [Google Scholar] [CrossRef]
- Russell, A.E.; Kumar, B.M. Forestry for a Low-Carbon Future: Integrating Forests and Wood Products Into Climate Change Strategies. Environ. Sci. Policy Sustain. Dev. 2017, 59, 16–23. [Google Scholar] [CrossRef]
- Zilic, F.; Elissetche, J.P.; Hernandez, V. Oportunidades de Manufactura Avanzada para la Industria de la Construcción en Madera; Polo Madera: Concepción, Chile, 2018. [Google Scholar]
- Banco Mundial. La Construcción de Viviendas en Madera: Un Pilar Para el Desarrollo Sostenible y la Agenda de Reactivación; Banco Mundial: Washington, DC, USA, 2020; Volume I. [Google Scholar]
- Chahade, T.; Schober, K.U.; Morillas, L. Structural design optimization of multidimensional gridshells: Parametric interaction of architecture, engineering and manufacturing. In Proceedings of the WCTE 2018—World Conference on Timber Engineering, Seoul, Korea, 20–23 August 2018. [Google Scholar]
- Macias, D. Topological (Bio)Timber an Algorithm and Data Approach to 3d Printing a Bioplastic and Wood Architecture. Ph.D. Thesis, University of Cincinnati, Cincinnati, OH, USA, 2017. [Google Scholar]
- Monizza, G.P.; Rauch, E.; Matt, D.T. Parametric and Generative Design Techniques for Mass-Customization in Building Industry: A Case Study for Glued-Laminated Timber. Procedia CIRP 2017, 60, 392–397. [Google Scholar] [CrossRef]
- Mork, J.H.; Luczkowski, M.; Manum, B.; Rønnquist, A. Toward mass customized architecture. Applying principles of mass customization while designing site-specific, customer-inclusive and bespoke timber structures. In Digital Wood Design; Springer: Berlin/Heidelberg, Germany, 2019; Volume 24, pp. 221–249. [Google Scholar]
- Loss, C.; Tannert, T.; Tesfamariam, S. State-of-the-art review of displacement-based seismic design of timber buildings. Constr. Build. Mater. 2018, 191, 481–497. [Google Scholar] [CrossRef]
- Cappellazzi, J.; Konkler, M.J.; Sinha, A.; Morrell, J.J. Potential for decay in mass timber elements: A review of the risks and identifying possible solutions. Wood Mater. Sci. Eng. 2020, 15, 351–360. [Google Scholar] [CrossRef]
- Östman, B. National fire regulations for the use of wood in buildings—Worldwide review 2020. Wood Mater. Sci. Eng. 2022, 17, 2–5. [Google Scholar] [CrossRef]
- Huber, J.A.J.; Ekevad, M.; Girhammar, U.A.; Berg, S. Structural robustness and timber buildings—A review. Wood Mater. Sci. Eng. 2019, 14, 107–128. [Google Scholar] [CrossRef]
- Bartlett, A.I.; Hadden, R.M.; Bisby, L.A. A Review of Factors Affecting the Burning Behaviour of Wood for Application to Tall Timber Construction. Fire Technol. 2019, 55, 1–49. [Google Scholar] [CrossRef]
- Ugalde, D.; Almazán, J.L.; Santa María, H.; Guindos, P. Seismic protection technologies for timber structures: A review. Eur. J. Wood Wood Prod. 2019, 77, 173–194. [Google Scholar] [CrossRef]
- Leskovar, V.Ž.; Premrov, M. A Review of Architectural and Structural Design Typologies of Multi-Storey Timber Buildings in Europe. Forests 2021, 12, 757. [Google Scholar] [CrossRef]
- Ávila, F.; Dechent, P.; Opazo, A. Seismic behaviour evaluation of CLT horizontal diaphragms on hybrid buildings with reinforced concrete shear walls. Eng. Struct. 2021, 244, 112698. [Google Scholar] [CrossRef]
- Gonzalez, I.; Vargas, J. Método Simplificado para Modelación de Edificios en media altura tipo Marco-Plataforma de Madera Utilizando un programa Computacional de Elementos Finitos. In Proceedings of the 4th Congreso Latinoamericano De Estructuras De maderas, Montevideo, Uruguay, 18–20 November 2019; pp. 1–7. [Google Scholar]
- Ramage, M.; Foster, R.; Smith, S.; Flanagan, K.; Bakker, R. Super Tall Timber: Design research for the next generation of natural structure. J. Archit. 2017, 22, 104–122. [Google Scholar] [CrossRef]
- Ilgın, H.E.; Karjalainen, M.; Pelsmakers, S. Contemporary tall residential timber buildings: What are the main architectural and structural design considerations? Int. J. Build. Pathol. Adapt. 2022. [Google Scholar] [CrossRef]
- Rinaldi, V.; Casagrande, D.; Cimini, C.; Follesa, M.; Fragiacomo, M. An upgrade of existing practice-oriented FE design models for the seismic analysis of CLT buildings. Soil Dyn. Earthq. Eng. 2021, 149, 106802. [Google Scholar] [CrossRef]
- Zhang, X.; Azim, M.R.; Bhat, P.; Popovski, M.; Tannert, T. Seismic performance of embedded steel beam connection in cross-laminated timber panels for tall-wood hybrid system. Can. J. Civ. Eng. 2017, 44, 611–618. [Google Scholar] [CrossRef]
- Li, Z.; Luo, J.; He, M.; Tao, D.; Liang, F.; He, G. Seismic performance of multi-story glulam post-and-beam structures reinforced with knee-braces. J. Build. Eng. 2021, 44, 102887. [Google Scholar] [CrossRef]
- Poirier, E.; Moudgil, M.; Fallahi, A.; Staub-French, S.; Tannert, T. Design and construction of a 53-meter-tall timber building at the University of British Columbia. In Proceedings of the World Conference on Timber Engineering, Vienna, Austria, 22–25 August 2016; pp. 1–10. [Google Scholar]
- Montaño, J.; Maury, R.; Almazán, J.L.; Estrella, X.; Guindos, P. Development of an amplified added stiffening and damping system for wood-frame shear walls. Lat. Am. J. Solids Struct. 2020, 17, 1–26. [Google Scholar] [CrossRef]
- Estrella, X.; Malek, S.; Almazán, J.L.; Guindos, P.; Santa María, H. Experimental study of the effects of continuous rod hold-down anchorages on the cyclic response of wood frame shear walls. Eng. Struct. 2021, 230. [Google Scholar] [CrossRef]
- Green, M. Tall wood, strategies on sustainability for the cities of the future. Mater. Arquit. 2017, 15, 127–129. [Google Scholar]
- Foster, R.M.; Ramage, M.H. Briefing: Super tall timber—Oakwood Tower. Proc. Inst. Civ. Eng. Constr. Mater. 2017, 170, 118–122. [Google Scholar] [CrossRef]
- Kaufmann, H.; Schuster, S.; Stieglmeier, M. Building Information Modelling (BIM) als Planungsmethode im modernen Holzbau—Eine Standortbestimmung zur Identifizierung von Anforderungen und Hemmnissen; TUM: Munich, Germany, 2019. [Google Scholar]
- Stepinac, M.; Šušteršič, I.; Gavrić, I.; Rajčić, V. Seismic design of timber buildings: Highlighted challenges and future trends. Appl. Sci. 2020, 10, 1380. [Google Scholar] [CrossRef]
- Hummel, J.; Seim, W. Displacement-based design approach to evaluate the behaviour factor for multi-storey CLT buildings. Eng. Struct. 2019, 201, 109711. [Google Scholar] [CrossRef]
- Quintana Gallo, P.; Carradine, D.M.; Bazaez, R. State of the art and practice of seismic-resistant hybrid timber structures. Eur. J. Wood Wood Prod. 2021, 79, 5–28. [Google Scholar] [CrossRef]
- Sandoli, A.; D’Ambra, C.; Ceraldi, C.; Calderoni, B.; Prota, A. Sustainable cross-laminated timber structures in a seismic area: Overview and future trends. Appl. Sci. 2021, 11, 2078. [Google Scholar] [CrossRef]
- Mpidi Bita, H.; Huber, J.A.J.; Palma, P.; Tannert, T. Prevention of Disproportionate Collapse for Multistory Mass Timber Buildings: Review of Current Practices and Recent Research. J. Struct. Eng. 2022, 148, 04022079. [Google Scholar] [CrossRef]
- Wieruszewski, M.; Mazela, B. Lamelirano drvo (CLT) kao alternativni oblik drva za gradnju. Drv. Ind. 2017, 68, 359–367. [Google Scholar] [CrossRef]
- Gosselin, A.; Blanchet, P.; Lehoux, N.; Cimon, Y. Collaboration enables innovative timber structure adoption in construction. Buildings 2018, 8, 183. [Google Scholar] [CrossRef]
- Santana-Sosa, A.; Fadai, A. A holistic approach for industrializing timber construction. In Proceedings of the IOP Conference Series: Earth and Environmental Science, Moscow, Russia, 27 May–6 June 2019; Institute of Physics Publishing: Graz, Austria, 2019; Volume 323, p. 012015. [Google Scholar]
- Santana-Sosa, A.; Riola-Parada, F. A theoretical approach towards resource efficiency in multi-story timber buildings through BIM and lean. In Proceedings of the WCTE 2018—World Conference on Timber Engineering, Seoul, Korea, 20–23 August 2018; pp. 1–8. [Google Scholar]
- Staub-French, S.; Poirier, E.; Calderon, F.; Chikhi, I.; Zadeh, P.; Chudasma, D.; Huang, S. Building Information Modeling (BIM) and Design for Manufacturing and Assembly (DfMA) for Mass Timber Construction; Vancouver, BC, Canada, 2018. [Google Scholar]
- Forcael, E.; Martínez-Rocamora, A.; Sepúlveda-Morales, J.; García-Alvarado, R.; Nope-Bernal, A.; Leighton, F. Behavior and Performance of BIM Users in a Collaborative Work Environment. Appl. Sci. 2020, 10, 2199. [Google Scholar] [CrossRef]
- Forcael, E.; Ferrari, I.; Opazo-Vega, A.; Pulido-Arcas, J.A. Construction 4.0: A Literature Review. Sustainability 2020, 12, 9755. [Google Scholar] [CrossRef]
- Radhakrishnan, S.; Erbis, S.; Isaacs, J.A.; Kamarthi, S. Correction: Novel keyword co-occurrence network-based methods to foster systematic reviews of scientific literature. PLoS ONE 2017, 12, e0185771. [Google Scholar] [CrossRef] [PubMed]
- Tettey, U.Y.A.; Dodoo, A.; Gustavsson, L. Effect of different frame materials on the primary energy use of a multi storey residential building in a life cycle perspective. Energy Build. 2019, 185, 259–271. [Google Scholar] [CrossRef]
- Bruno, R.; Bevilacqua, P.; Cuconati, T.; Arcuri, N. Energy evaluations of an innovative multi-storey wooden near Zero Energy Building designed for Mediterranean areas. Appl. Energy 2019, 238, 929–941. [Google Scholar] [CrossRef]
- Lešnik, M.; Premrov, M.; Žegarac Leskovar, V. Design parameters of the timber-glass upgrade module and the existing building: Impact on the energy-efficient refurbishment process. Energy 2018, 162, 1125–1138. [Google Scholar] [CrossRef]
- Hafner, A.; Schäfer, S. Comparative LCA study of different timber and mineral buildings and calculation method for substitution factors on building level. J. Clean. Prod. 2017, 167, 630–642. [Google Scholar] [CrossRef]
- Sandoli, A.; D’Ambra, C.; Ceraldi, C.; Calderoni, B.; Prota, A. Role of perpendicular to grain compression properties on the seismic behaviour of CLT walls. J. Build. Eng. 2021, 34, 101889. [Google Scholar] [CrossRef]
- Margani, G.; Evola, G.; Tardo, C.; Marino, E.M. Energy, seismic, and architectural renovation of RC framed buildings with prefabricated timber panels. Sustainability 2020, 12, 4845. [Google Scholar] [CrossRef]
- Žemaitis, P.; Linkevičius, E.; Aleinikovas, M.; Tuomasjukka, D. Sustainability impact assessment of glue laminated timber and concrete-based building materials production chains—A Lithuanian case study. J. Clean. Prod. 2021, 321, 129005. [Google Scholar] [CrossRef]
- Rajagopalan, N.; Kelley, S.S. Evaluating sustainability of buildings using multi-Attribute decision tools. For. Prod. J. 2017, 67, 179–189. [Google Scholar] [CrossRef]
- Lu, H.R.; El Hanandeh, A.; Gilbert, B.P. A comparative life cycle study of alternative materials for Australian multi-storey apartment building frame constructions: Environmental and economic perspective. J. Clean. Prod. 2017, 166, 458–473. [Google Scholar] [CrossRef]
- Piccardo, C.; Gustavsson, L. Implications of different modelling choices in primary energy and carbon emission analysis of buildings. Energy Build. 2021, 247, 111145. [Google Scholar] [CrossRef]
- Walberg, D. Massive versus lightweight construction in residential building. Mauerwerk 2017, 21, 26–33. [Google Scholar] [CrossRef]
- Markström, E.; Kuzman, M.K.; Bystedt, A.; Sandberg, D.; Fredriksson, M. Swedish architects view of engineered wood products in buildings. J. Clean. Prod. 2018, 181, 33–41. [Google Scholar] [CrossRef]
- Padilla-Rivera, A.; Amor, B.; Blanchet, P. Evaluating the link between low carbon reductions strategies and its performance in the context of climate Change: A carbon footprint of awood-frame residential building in Quebec, Canada. Sustainability 2018, 10, 2715. [Google Scholar] [CrossRef]
- Evans, P.D.; Matsunaga, H.; Preston, A.F.; Kewish, C.M. Wood Protection for Carbon Sequestration—A Review of Existing pproaches and Future Directions. Curr. For. Reports 2022, 8, 181–198. [Google Scholar] [CrossRef]
- Abed, J.; Rayburg, S.; Rodwell, J.; Neave, M. A Review of the Performance and Benefits of Mass Timber as an Alternative to Concrete and Steel for Improving the Sustainability of Structures. Sustainability 2022, 14, 5570. [Google Scholar] [CrossRef]
- Pasternack, R.; Wishnie, M.; Clarke, C.; Wang, Y.; Belair, E.; Marshall, S.; Gu, H.; Nepal, P.; Dolezal, F.; Lomax, G.; et al. What Is the Impact of Mass Timber Utilization on Climate and Forests? Sustainability 2022, 14, 758. [Google Scholar] [CrossRef]
- Al-Najjar, A.; Dodoo, A. Modular multi-storey construction with cross-laminated timber: Life cycle environmental implications. Wood Mater. Sci. Eng. 2022, 1–15. [Google Scholar] [CrossRef]
- Younis, A.; Dodoo, A. Cross-laminated timber for building construction: A life-cycle-assessment overview. J. Build. Eng. 2022, 52, 104482. [Google Scholar] [CrossRef]
- Gauch, H.L.; Hawkins, W.; Ibell, T.; Allwood, J.M.; Dunant, C.F. Carbon vs. cost option mapping: A tool for improving early-stage design decisions. Autom. Constr. 2022, 136, 104178. [Google Scholar] [CrossRef]
- Jussila, J.; Nagy, E.; Lähtinen, K.; Hurmekoski, E.; Häyrinen, L.; Mark-Herbert, C.; Roos, A.; Toivonen, R.; Toppinen, A. Wooden multi-storey construction market development—Systematic literature review within a global scope with insights on the Nordic region. Silva Fenn. 2022, 56, 10609. [Google Scholar] [CrossRef]
- Tannert, T.; Connolly, T.J. Hybrides Tragwerk des 18-stöckigen Studentenwohnheims “Tall Wood Building“ in Vancouver und Alternative in Holz. Bautechnik 2020, 97, 56–63. [Google Scholar] [CrossRef]
- Marfella, G.; Winson-Geideman, K. Timber and multi-storey buildings: Industry perceptions of adoption in Australia. Buildings 2021, 11, 653. [Google Scholar] [CrossRef]
- Chaggaris, R.; Pei, S.; Kingsley, G.; Feitel, A. Carbon impact and cost of mass timber beam–column gravity systems. Sustainability 2021, 13, 12966. [Google Scholar] [CrossRef]
- Hens, I.; Solnosky, R.; Brown, N.C. Design space exploration for comparing embodied carbon in tall timber structural systems. Energy Build. 2021, 244, 110983. [Google Scholar] [CrossRef]
- Iqbal, A. Developments in tall wood and hybrid buildings and environmental impacts. Sustainability 2021, 13, 11881. [Google Scholar] [CrossRef]
- Guo, H.; Liu, Y.; Meng, Y.; Huang, H.; Sun, C.; Shao, Y. A Comparison of the energy saving and carbon reduction performance between reinforced concrete and cross-laminated timber structures in residential buildings in the severe cold region of China. Sustainability 2017, 9, 1426. [Google Scholar] [CrossRef]
- Toivonen, R.; Vihemäki, H.; Toppinen, A. Policy narratives on wooden multi-storey construction and implications for technology innovation system governance. For. Policy Econ. 2021, 125, 102409. [Google Scholar] [CrossRef]
- Viholainen, N.; Kylkilahti, E.; Autio, M.; Pöyhönen, J.; Toppinen, A. Bringing ecosystem thinking to sustainability-driven wooden construction business. J. Clean. Prod. 2021, 292, 126029. [Google Scholar] [CrossRef]
- Connolly, T.; Loss, C.; Iqbal, A.; Tannert, T. Feasibility study of mass-timber cores for the UBC tall wood building. Buildings 2018, 8, 98. [Google Scholar] [CrossRef]
- Liang, S.; Gu, H.; Bergman, R.; Kelley, S.S. Comparative life-cycle assessment of a mass timber building and concrete alternative. Wood Fiber Sci. 2020, 52, 217–229. [Google Scholar] [CrossRef]
- Setter, L.; Smoorenburg, E.; Wijesuriya, S.; Tabares-Velasco, P.C. Energy and hygrothermal performance of cross laminated timber single-family homes subjected to constant and variable electric rates. J. Build. Eng. 2019, 25, 100784. [Google Scholar] [CrossRef]
- Lukić, I.; Premrov, M.; Passer, A.; Žegarac Leskovar, V. Embodied energy and GHG emissions of residential multi-storey timber buildings by height—A case with structural connectors and mechanical fasteners. Energy Build. 2021, 252, 111387. [Google Scholar] [CrossRef]
- Dodoo, A.; Nguyen, T.; Dorn, M.; Olsson, A.; Bader, T.K. Exploring the synergy between structural engineering design solutions and life cycle carbon footprint of cross-laminated timber in multi-storey buildings. Wood Mater. Sci. Eng. 2021. [Google Scholar] [CrossRef]
- Zubizarreta, M.; Cuadrado, J.; Orbe, A.; García, H. Modeling the environmental sustainability of timber structures: A case study. Environ. Impact Assess. Rev. 2019, 78, 106286. [Google Scholar] [CrossRef]
- Karjalainen, M.; Ilgın, H.E. The change over time in finnish residents’ attitudes towards multi-story timber apartment buildings. Sustainability 2021, 13, 5501. [Google Scholar] [CrossRef]
- Markström, E.; Kitek Kuzman, M.; Bystedt, A.; Sandberg, D. Use of wood products in multi-storey residential buildings: Views of Swedish actors and suggested measures for an increased use. Wood Mater. Sci. Eng. 2019, 14, 404–419. [Google Scholar] [CrossRef]
- Lazarevic, D.; Kautto, P.; Antikainen, R. Finland’s wood-frame multi-storey construction innovation system: Analysing motors of creative destruction. For. Policy Econ. 2020, 110, 101861. [Google Scholar] [CrossRef]
- Gosselin, A.; Blanchet, P.; Lehoux, N.; Cimon, Y. Main Motivations and Barriers for Using Wood in Multi-Story and Non-Residential Construction Projects. BioResources 2017, 12, 546–570. [Google Scholar] [CrossRef]
- Viholainen, N.; Franzini, F.; Lähtinen, K.; Nyrud, A.Q.; Widmark, C.; Hoen, H.F.; Toppinen, A. Citizen views on wood as a construction material: Results from seven european countries. Can. J. For. Res. 2021, 51, 647–659. [Google Scholar] [CrossRef]
- Kylkilahti, E.; Berghäll, S.; Autio, M.; Nurminen, J.; Toivonen, R.; Lähtinen, K.; Vihemäki, H.; Franzini, F.; Toppinen, A. A consumer-driven bioeconomy in housing? Combining consumption style with students’ perceptions of the use of wood in multi-storey buildings. Ambio 2020, 49, 1943–1957. [Google Scholar] [CrossRef]
- Lähtinen, K.; Harju, C.; Toppinen, A. Consumers’ perceptions on the properties of wood affecting their willingness to live in and prejudices against houses made of timber. Wood Mater. Sci. Eng. 2019, 14, 325–331. [Google Scholar] [CrossRef]
- Lindgren, J.; Emmitt, S.; Widén, K. Construction projects as mechanisms for knowledge integration: Mechanisms and effects when diffusing a systemic innovation. Eng. Constr. Archit. Manag. 2018, 25, 1516–1533. [Google Scholar] [CrossRef]
- BuHamdan, S.; Duncheva, T.; Alwisy, A. Developing a BIM and Simulation-Based Hazard Assessment and Visualization Framework for CLT Construction Design. J. Constr. Eng. Manag. 2021, 147, 04021003. [Google Scholar] [CrossRef]
- Karjalainen, M.; Ilgın, H.E.; Tulonen, L. Main design considerations and prospects of contemporary tall timber apartment buildings: Views of key professionals from finland. Sustainability 2021, 13, 6593. [Google Scholar] [CrossRef]
- Larasatie, P.; Guerrero, J.E.; Conroy, K.; Hall, T.E.; Hansen, E.; Needham, M.D. What does the public believe about tall wood buildings? An exploratory study in the US Pacific Northwest. J. For. 2018, 116, 429–436. [Google Scholar] [CrossRef]
- Montague, I.; Stout, K.; Shmulsky, R. Love it or leave it: What do millennials really think of wood products? For. Prod. J. 2021, 71, 150. [Google Scholar] [CrossRef]
- Lindgren, J.; Emmitt, S. Diffusion of a systemic innovation A longitudinal case study of a Swedish multi-storey timber housebuilding system. Constr. Innov. 2017, 17, 25–44. [Google Scholar] [CrossRef]
- Ilgın, H.E.; Karjalainen, M.; Pelsmakers, S. Finnish architects’ attitudes towards multi-storey timber-residential buildings. Int. J. Build. Pathol. Adapt. 2021. ahead-of-print. [Google Scholar] [CrossRef]
- Harte, A.M. Mass timber—The emergence of a modern construction material. J. Struct. Integr. Maint. 2017, 2, 121–132. [Google Scholar] [CrossRef]
- Chaggaris, R.; Pei, S.; Kingsley, G.; Kinder, E. Cost-Effectiveness of Mass Timber Beam–Column Gravity Systems. J. Archit. Eng. 2021, 27, 04021028. [Google Scholar] [CrossRef]
- Burback, B.; Pei, S. Cross-Laminated Timber for Single-Family Residential Construction: Comparative Cost Study. J. Archit. Eng. 2017, 23, 06017002. [Google Scholar] [CrossRef]
- Knauf, M. Market potentials for timber-concrete composites in Germany’s building construction sector. Eur. J. Wood Wood Prod. 2017, 75, 639–649. [Google Scholar] [CrossRef]
- van der Westhuyzen, F.S.; Wium, J. A development cost comparison between a multi-storey mass timber and reinforced concrete building in South Africa. J. South African Inst. Civ. Eng. 2021, 63, 35–44. [Google Scholar] [CrossRef]
- Kasbar, M.; Staub-French, S.; Pilon, A.; Poirier, E.; Teshnizi, Z.; Froese, T. Construction productivity assessment on Brock Commons Tallwood House. Constr. Innov. 2021, 21, 951–968. [Google Scholar] [CrossRef]
- Yang, T.Y.; Etebarian, H. Enhancing the seismic performance of mid-rise wood-frame buildings with rigid spine columns. Struct. Des. Tall Spec. Build. 2019, 28, e1556. [Google Scholar] [CrossRef]
- Fitzgerald, D.; Miller, T.H.; Sinha, A.; Nairn, J.A. Cross-laminated timber rocking walls with slip-friction connections. Eng. Struct. 2020, 220, 110973. [Google Scholar] [CrossRef]
- Cui, Y.; Shu, Z.; Zhou, R.; Li, Z.; Chen, F.; Ma, Z. Self-centering steel-timber hybrid shear wall with slip friction dampers: Theoretical analysis and experimental investigation. Struct. Des. Tall Spec. Build. 2020, 29, e1789. [Google Scholar] [CrossRef]
- Khajehpour, M.; Pan, Y.; Tannert, T. Seismic Analysis of Hybrid Steel Moment Frame CLT Shear Walls Structures. J. Perform. Constr. Facil. 2021, 35, 04021059. [Google Scholar] [CrossRef]
- Jin, Z.; Pei, S.; Blomgren, H.; Powers, J. Simplified Mechanistic Model for Seismic Response Prediction of Coupled Cross-Laminated Timber Rocking Walls. J. Struct. Eng. 2019, 145, 04018253. [Google Scholar] [CrossRef]
- Migda, W.; Szczepański, M.; Lasowicz, N.; Jakubczyk-Gałczyńska, A.; Jankowski, R. Non-linear analysis of inter-story pounding between wood-framed buildings during ground motion. Geosci. 2019, 9, 488. [Google Scholar] [CrossRef]
- Bolvardi, V.; Pei, S.; van de Lindt, J.W.; Dolan, J.D. Direct displacement design of tall cross laminated timber platform buildings with inter-story isolation. Eng. Struct. 2018, 167, 740–749. [Google Scholar] [CrossRef]
- Nguyen, T.T.; Dao, T.N.; Aaleti, S.; van de Lindt, J.W.; Fridley, K.J. Seismic assessment of a three-story wood building with an integrated CLT-lightframe system using RTHS. Eng. Struct. 2018, 167, 695–704. [Google Scholar] [CrossRef]
- Hong, H.P.; Yang, S.C. Reliability and fragility assessment of the mid- and high-rise wood buildings subjected to bidirectional seismic excitation. Eng. Struct. 2019, 201, 109734. [Google Scholar] [CrossRef]
- Zhang, X.; Popovski, M.; Tannert, T. High-capacity hold-down for mass-timber buildings. Constr. Build. Mater. 2018, 164, 688–703. [Google Scholar] [CrossRef]
- Pei, S.; Lenon, C.; Kingsley, G.; Deng, P. Seismic Design of Cross-Laminated Timber Platform Buildings Using a Coupled Shearwall Concept. J. Archit. Eng. 2017, 23, 06017001. [Google Scholar] [CrossRef]
- Anandan, Y.K.; van de Lindt, J.W.; Amini, M.O.; Dao, T.N.; Aaleti, S. Experimental Dynamic Testing of Full-Scale Light-Frame-CLT Wood Shear Wall System. J. Archit. Eng. 2021, 27, 04020042. [Google Scholar] [CrossRef]
- Asgari, H.; Tannert, T.; Ebadi, M.M.; Loss, C.; Popovski, M. Hyperelastic hold-down solution for CLT shear walls. Constr. Build. Mater. 2021, 289, 123173. [Google Scholar] [CrossRef]
- Sciomenta, M.; Rinaldi, V.; Bedon, C.; Fragiacomo, M. Application of modal-displacement based design method to multi-story timber Blockhaus structures. Appl. Sci. 2020, 10, 3889. [Google Scholar] [CrossRef]
- Zhang, X.; Ma, H.; Zhao, Y.; Zhao, H. Dynamic responses on traditional Chinese timber multi-story building with high platform base under earthquake excitations. Earthq. Struct. 2020, 19, 331–345. [Google Scholar] [CrossRef]
- Sun, X.; He, M.; Li, Z.; Shu, Z. Performance evaluation of multi-storey cross-laminated timber structures under different earthquake hazard levels. J. Wood Sci. 2018, 64, 23–39. [Google Scholar] [CrossRef]
- Demirci, C.; Málaga-Chuquitaype, C.; Macorini, L. Seismic drift demands in multi-storey cross-laminated timber buildings. Earthq. Eng. Struct. Dyn. 2018, 47, 1014–1031. [Google Scholar] [CrossRef]
- Demirci, C.; Málaga-Chuquitaype, C.; Macorini, L. Seismic shear and acceleration demands in multi-storey cross-laminated timber buildings. Eng. Struct. 2019, 198, 109467. [Google Scholar] [CrossRef]
- Steiger, R.; Feltrin, G.; Weber, F.; Nerbano, S.; Motavalli, M. Experimental modal analysis of a multi-storey light-frame timber building. Bull. Earthq. Eng. 2017, 15, 3265–3291. [Google Scholar] [CrossRef]
- Polastri, A.; Izzi, M.; Pozza, L.; Loss, C.; Smith, I. Seismic analysis of multi-storey timber buildings braced with a CLT core and perimeter shear-walls. Bull. Earthq. Eng. 2019, 17, 1009–1028. [Google Scholar] [CrossRef]
- Pu, W.; Liu, C.; Dai, F. Optimum hysteretic damper design for multi-story timber structures represented by an improved pinching model. Bull. Earthq. Eng. 2018, 16, 6221–6241. [Google Scholar] [CrossRef]
- Moroder, D.; Smith, T.; Dunbar, A.; Pampanin, S.; Buchanan, A. Seismic testing of post-tensioned Pres-Lam core walls using cross laminated timber. Eng. Struct. 2018, 167, 639–654. [Google Scholar] [CrossRef]
- Fritsch, E.; Sieffert, Y.; Algusab, H.; Grange, S.; Garnier, P.; Daudeville, L. Numerical analysis on seismic resistance of a two-story timber-framed structure with stone and earth infill. Int. J. Archit. Herit. 2019, 13, 820–840. [Google Scholar] [CrossRef]
- Bahmani, P.; van de Lindt, J.; Iqbal, A.; Rammer, D. Mass timber rocking panel retrofit of a four-story soft-story building with full-scale shake table validation. Buildings 2017, 7, 48. [Google Scholar] [CrossRef]
- Iqbal, A.; Pampanin, S.; Buchanan, A. A General Design Approach for Post-tensioned Timber Subassemblies. J. Earthq. Eng. 2021, 25, 2955–2970. [Google Scholar] [CrossRef]
- Di Cesare, A.; Ponzo, F.C.; Nigro, D.; Pampanin, S.; Smith, T. Shaking table testing of post-tensioned timber frame building with passive energy dissipation systems. Bull. Earthq. Eng. 2017, 15, 4475–4498. [Google Scholar] [CrossRef]
- D’Arenzo, G.; Casagrande, D.; Reynolds, T.; Fossetti, M. In-plane elastic flexibility of cross laminated timber floor diaphragms. Constr. Build. Mater. 2019, 209, 709–724. [Google Scholar] [CrossRef]
- Aloisio, A.; Alaggio, R.; Fragiacomo, M. Fragility functions and behavior factors estimation of multi-story cross-laminated timber structures characterized by an energy-dependent hysteretic model. Earthq. Spectra 2021, 37, 134–159. [Google Scholar] [CrossRef]
- Di Cesare, A.; Ponzo, F.C.; Lamarucciola, N.; Nigro, D. Experimental seismic response of a resilient 3-storey post-tensioned timber framed building with dissipative braces. Bull. Earthq. Eng. 2020, 18, 6825–6848. [Google Scholar] [CrossRef]
- He, M.; Luo, Q.; Li, Z.; Dong, H.; Li, M. Seismic performance evaluation of timber-steel hybrid structure through large-scale shaking table tests. Eng. Struct. 2018, 175, 483–500. [Google Scholar] [CrossRef]
- Trutalli, D.; Pozza, L. Seismic design of floor–wall joints of multi-storey CLT buildings to comply with regularity in elevation. Bull. Earthq. Eng. 2018, 16, 183–201. [Google Scholar] [CrossRef]
- Aicher, S.; Tapia, C. Novel internally LVL-reinforced glued laminated timber beams with large holes. Constr. Build. Mater. 2018, 169, 662–677. [Google Scholar] [CrossRef]
- Vassallo, D.; Follesa, M.; Fragiacomo, M. Seismic design of a six-storey CLT building in Italy. Eng. Struct. 2018, 175, 322–338. [Google Scholar] [CrossRef]
- Li, Z.; Dong, H.; Wang, X.; He, M. Experimental and numerical investigations into seismic performance of timber-steel hybrid structure with supplemental dampers. Eng. Struct. 2017, 151, 33–43. [Google Scholar] [CrossRef]
- Rodrigues, L.G.; Branco, J.M.; Neves, L.A.C.; Barbosa, A.R. Seismic assessment of a heavy-timber frame structure with ring-doweled moment-resisting connections. Bull. Earthq. Eng. 2018, 16, 1341–1371. [Google Scholar] [CrossRef]
- Chen, J.; Xiong, H.; Ventura, C.E. Non-linear simplified models for seismic response estimation of a novel tall timber-concrete hybrid structural system. Eng. Struct. 2021, 229, 111635. [Google Scholar] [CrossRef]
- Pacchioli, S.; Pozza, L.; Trutalli, D.; Polastri, A. Earthquake-resistant CLT buildings stiffened with vertical steel ties. J. Build. Eng. 2021, 40, 102334. [Google Scholar] [CrossRef]
- van de Lindt, J.W.; Furley, J.; Amini, M.O.; Pei, S.; Tamagnone, G.; Barbosa, A.R.; Rammer, D.; Line, P.; Fragiacomo, M.; Popovski, M. Experimental seismic behavior of a two-story CLT platform building. Eng. Struct. 2019, 183, 408–422. [Google Scholar] [CrossRef]
- Loss, C.; Pacchioli, S.; Polastri, A.; Casagrande, D.; Pozza, L.; Smith, I. Numerical study of alternative seismic-resisting systems for CLT buildings. Buildings 2018, 8, 162. [Google Scholar] [CrossRef]
- Aloisio, A.; Pasca, D.; Tomasi, R.; Fragiacomo, M. Dynamic identification and model updating of an eight-storey CLT building. Eng. Struct. 2020, 213, 110593. [Google Scholar] [CrossRef]
- Casagrande, D.; Bezzi, S.; D’Arenzo, G.; Schwendner, S.; Polastri, A.; Seim, W.; Piazza, M. A methodology to determine the seismic low-cycle fatigue strength of timber connections. Constr. Build. Mater. 2020, 231, 117026. [Google Scholar] [CrossRef]
- Iqbal, A.; Fragiacomo, M.; Pampanin, S.; Buchanan, A. Seismic resilience of plywood-coupled LVL wall panels. Eng. Struct. 2018, 167, 750–759. [Google Scholar] [CrossRef]
- Li, Z.; He, M.; Wang, X.; Li, M. Seismic performance assessment of steel frame infilled with prefabricated wood shear walls. J. Constr. Steel Res. 2018, 140, 62–73. [Google Scholar] [CrossRef]
- Rossi, S.; Giongo, I.; Casagrande, D.; Tomasi, R.; Piazza, M. Evaluation of the displacement ductility for the seismic design of light-frame wood buildings. Bull. Earthq. Eng. 2019, 17, 5313–5338. [Google Scholar] [CrossRef]
- Hashemi, A.; Zarnani, P.; Masoudnia, R.; Quenneville, P. Seismic resistant rocking coupled walls with innovative Resilient Slip Friction (RSF) joints. J. Constr. Steel Res. 2017, 129, 215–226. [Google Scholar] [CrossRef]
- Hafeez, G.; Doudak, G.; McClure, G. Effect of nonstructural components on the dynamic characteristics of light-frame wood buildings. Can. J. Civ. Eng. 2020, 47, 257–271. [Google Scholar] [CrossRef]
- Zhang, X.; Xuan, L.; Huang, W.; Yuan, L.; Li, P. Structural Design and Analysis for a Timber-Concrete Hybrid Building. Front. Mater. 2022, 9, 844398. [Google Scholar] [CrossRef]
- Tesfamariam, S. Performance-Based Design of Tall Timber Buildings Under Earthquake and Wind Multi-Hazard Loads: Past, Present, and Future. Front. Built Environ. 2022, 8, 848698. [Google Scholar] [CrossRef]
- Chen, J.; Xiong, H.; Ventura, C.E. Seismic reliability evaluation of a tall concrete-timber hybrid structural system. Struct. Des. Tall Spec. Build. 2022, 31, e1933. [Google Scholar] [CrossRef]
- Das, S.; Tesfamariam, S. Multiobjective design optimization of multi-outrigger tall-timber building: Using SMA-based damper and Lagrangian model. J. Build. Eng. 2022, 51, 104358. [Google Scholar] [CrossRef]
- Teweldebrhan, B.T.; Tesfamariam, S. Performance-based design of tall-coupled cross-laminated timber wall building. Earthq. Eng. Struct. Dyn. 2022, 51, 1677–1696. [Google Scholar] [CrossRef]
- Tesfamariam, S.; Goda, K. Risk assessment of CLT-RC hybrid building: Consideration of earthquake types and aftershocks for Vancouver, British Columbia. Soil Dyn. Earthq. Eng. 2022, 156, 107240. [Google Scholar] [CrossRef]
- Tannert, T.; Loss, C. Contemporary and Novel Hold-Down Solutions for Mass Timber Shear Walls. Buildings 2022, 12, 202. [Google Scholar] [CrossRef]
- Ogrizovic, J.; Abbiati, G.; Stojadinović, B.; Frangi, A. Hybrid simulation of a post-tensioned timber frame and validation of numerical models for seismic design. Eng. Struct. 2022, 265, 114415. [Google Scholar] [CrossRef]
- Ussher, E.; Gurholt, C.U.D.; Mikalsen, J.N.; Aloisio, A.; Tomasi, R. Effect of construction features on the dynamic performance of mid-rise CLT platform-type buildings. Wood Mater. Sci. Eng. 2022, 0, 1–13. [Google Scholar] [CrossRef]
- Darzi, A.; Bessason, B.; Halldorsson, B.; Molina, S.; Kharazian, A.; Moosapoor, M. High spatial-resolution loss estimation using dense array strong-motion near-fault records. Case study for Hveragerði and the Mw6.3 Ölfus earthquake, South Iceland. Int. J. Disaster Risk Reduct. 2022, 73, 102894. [Google Scholar] [CrossRef]
- Zhang, X.; Pan, Y.; Tannert, T. The influence of connection stiffness on the dynamic properties and seismic performance of tall cross-laminated timber buildings. Eng. Struct. 2021, 238, 112261. [Google Scholar] [CrossRef]
- Contiguglia, C.P.; Pelle, A.; Lai, Z.; Briseghella, B.; Nuti, C. Chinese high rise reinforced concrete building retrofitted with clt panels. Sustainability 2021, 13, 9667. [Google Scholar] [CrossRef]
- Tesfamariam, S.; Madheswaran, J.; Goda, K. Displacement-Based Design of Hybrid RC–Timber Structure: Seismic Risk Assessment. J. Struct. Eng. 2019, 145, 04019125. [Google Scholar] [CrossRef]
- Sokol, M.; Ároch, R.; Lamperová, K.; Marton, M.; García-Sanz-calcedo, J. Parametric analysis of rotational effects in seismic design of tall structures. Appl. Sci. 2021, 11, 597. [Google Scholar] [CrossRef]
- Létourneau-Gagnon, M.; Dagenais, C.; Blanchet, P. Fire performance of self-tapping screws in tall mass-timber buildings. Appl. Sci. 2021, 11, 3579. [Google Scholar] [CrossRef]
- Miyamoto, B.T.; Sinha, A.; Morrell, I. Connection performance of mass plywood panels. For. Prod. J. 2020, 70, 88–99. [Google Scholar] [CrossRef]
- Bora, S.; Sinha, A.; Barbosa, A.R. Effect of Wetting and Redrying on Performance of Cross-Laminated Timber Angle Bracket Connection. J. Struct. Eng. 2021, 147, 04021121. [Google Scholar] [CrossRef]
- Hossain, A.; Popovski, M.; Tannert, T. Group Effects for Shear Connections with Self-Tapping Screws in CLT. J. Struct. Eng. 2019, 145, 04019068. [Google Scholar] [CrossRef]
- Fan, B.; Kan, H.; Kan, Y.; Bai, Y.; Han, G.; Bai, L.; Zhang, S.; Gao, Z. An aqueous polyisocyanate adhesive with excellent bond durability for engineered wood composites enhanced by polyamidoamine-epichlorohydrin co-crosslinking and montmorillonite hybridization. Int. J. Adhes. Adhes. 2022, 112, 103022. [Google Scholar] [CrossRef]
- Maurer, B.; Maderebner, R. Cross Laminated Timber under Concentrated Compression Loads—Methods of Reinforcement. Eng. Struct. 2021, 245, 112534. [Google Scholar] [CrossRef]
- Chen, Z.; Lu, W.; Bao, Y.; Zhang, J.; Wang, L.; Yue, K. Numerical investigation of connection performance of timber-concrete composite slabs with inclined self-tapping screws under high temperature. J. Renew. Mater. 2022, 10, 89–104. [Google Scholar] [CrossRef]
- Barber, D. Determination of fire resistance ratings for glulam connectors within US high rise timber buildings. Fire Saf. J. 2017, 91, 579–585. [Google Scholar] [CrossRef]
- Morandi, F.; De Cesaris, S.; Garai, M.; Barbaresi, L. Measurement of flanking transmission for the characterisation and classification of cross laminated timber junctions. Appl. Acoust. 2018, 141, 213–222. [Google Scholar] [CrossRef]
- Brown, J.R.; Li, M.; Tannert, T.; Moroder, D. Experimental study on orthogonal joints in cross-laminated timber with self-tapping screws installed with mixed angles. Eng. Struct. 2021, 228, 111560. [Google Scholar] [CrossRef]
- Akter, S.T.; Schweigler, M.; Serrano, E.; Bader, T.K. A numerical study of the stiffness and strength of cross-laminated timber wall-to-floor connections under compression perpendicular to the grain. Buildings 2021, 11, 442. [Google Scholar] [CrossRef]
- Ceylan, A. Çapraz Lamine Ahşap (CLT) Duvar–Döşeme Birleşiminin Yapısal Davranışının Deneysel İncelenmesi. MEGARON/Yıldız Tech. Univ. Fac. Archit. E-J. 2019, 14, 521–529. [Google Scholar] [CrossRef]
- Naud, N.; Sorelli, L.; Salenikovich, A.; Cuerrier-Auclair, S. Fostering a cast-in-place steel–uhpfrc connector for ductile timber–concrete composite structures: Parametric study of the shear behaviour and design considerations. Can. J. Civ. Eng. 2021, 48, 1081–1092. [Google Scholar] [CrossRef]
- Pereira, M.C. de M.; Pascal Sohier, L.A.; Descamps, T.; Junior, C.C. Doweled cross laminated timber: Experimental and analytical study. Constr. Build. Mater. 2021, 273, 121820. [Google Scholar] [CrossRef]
- Wu, Y.-J.; Xie, Q.-F.; Zhang, Y.; Zhang, L.-P.; Yang, H.-F. Rotational performance of frictional glulam beam-to-column connections with shape memory alloy strips. J. Build. Eng. 2022, 45, 103520. [Google Scholar] [CrossRef]
- Landel, P.; Linderholt, A. Reduced and test-data correlated FE-models of a large timber truss with dowel-type connections aimed for dynamic analyses at serviceability level. Eng. Struct. 2022, 260, 114208. [Google Scholar] [CrossRef]
- Hubbard, C.; Salem, O. Fire resistance of a fully concealed, moment-resisting new timber connection utilizing mechanically-fastened steel rods. Fire Saf. J. 2022, 129, 103546. [Google Scholar] [CrossRef]
- Daneshvar, H.; Niederwestberg, J.; Dickof, C.; Jackson, R.; Hei Chui, Y. Perforated steel structural fuses in mass timber lateral load resisting systems. Eng. Struct. 2022, 257, 114097. [Google Scholar] [CrossRef]
- Polastri, A.; Casagrande, D. Mechanical behaviour of multi-panel cross laminated timber shear-walls with stiff connectors. Constr. Build. Mater. 2022, 332, 127275. [Google Scholar] [CrossRef]
- Xing, Z.; Zhang, J.; Zheng, C.; Lu, C. Experimental study and finite element analysis on residual carrying capacity of CLT wall-floor angle bracket connections after fire. Constr. Build. Mater. 2022, 328, 127113. [Google Scholar] [CrossRef]
- Tapia, C.; Claus, M.; Aicher, S. A finger-joint based edge connection for the weak direction of CLT plates. Constr. Build. Mater. 2022, 340, 127645. [Google Scholar] [CrossRef]
- Mam, K.; Douthe, C.; Le Roy, R.; Consigny, F. Shape optimization of braced frames for tall timber buildings: Influence of semi-rigid connections on design and optimization process. Eng. Struct. 2020, 216, 110692. [Google Scholar] [CrossRef]
- Masaeli, M.; Gilbert, B.P.; Karampour, H.; Underhill, I.D.; Lyu, C.H.; Gunalan, S. Scaling effect on the moment and shear responses of three types of beam-to-column connectors used in mass timber buildings. Eng. Struct. 2020, 208, 110329. [Google Scholar] [CrossRef]
- Ottenhaus, L.M.; Li, M.; Smith, T. Analytical Derivation and Experimental Verification of Overstrength Factors of Dowel-type Timber Connections for Capacity Design. J. Earthq. Eng. 2020, 26, 2970–2984. [Google Scholar] [CrossRef]
- Ogrizovic, J.; Wanninger, F.; Frangi, A. Experimental and analytical analysis of moment-resisting connections with glued-in rods. Eng. Struct. 2017, 145, 322–332. [Google Scholar] [CrossRef]
- Hidalgo, J.P.; Cowlard, A.; Abecassis-Empis, C.; Maluk, C.; Majdalani, A.H.; Kahrmann, S.; Hilditch, R.; Krajcovic, M.; Torero, J.L. An experimental study of full-scale open floor plan enclosure fires. Fire Saf. J. 2017, 89, 22–40. [Google Scholar] [CrossRef]
- Richter, F.; Jervis, F.X.; Huang, X.; Rein, G. Effect of oxygen on the burning rate of wood. Combust. Flame 2021, 234, 111591. [Google Scholar] [CrossRef]
- Muszyński, L.; Gupta, R.; Hyun Hong, S.; Osborn, N.; Pickett, B. Fire resistance of unprotected cross-laminated timber (CLT) floor assemblies produced in the USA. Fire Saf. J. 2019, 107, 126–136. [Google Scholar] [CrossRef]
- Wade, C.; Spearpoint, M.; Fleischmann, C.; Baker, G.; Abu, A. Predicting the Fire Dynamics of Exposed Timber Surfaces in Compartments Using a Two-Zone Model. Fire Technol. 2018, 54, 893–920. [Google Scholar] [CrossRef]
- Crielaard, R.; van de Kuilen, J.W.; Terwel, K.; Ravenshorst, G.; Steenbakkers, P. Self-extinguishment of cross-laminated timber. Fire Saf. J. 2019, 105, 244–260. [Google Scholar] [CrossRef]
- Engel, T.; Moosmüller, K.; Werther, N. Brandgefahr durch Elektroinstallationen in modernen mehrgeschossigen Holzgebäuden. Bautechnik 2021, 98, 353–364. [Google Scholar] [CrossRef]
- Merk, M. Die Muster HolzBauRichtlinie—Erweiterte Regelungen für das Bauen mit Holz bis zur Hochhausgrenze. Bautechnik 2020, 97, 583–588. [Google Scholar] [CrossRef]
- Suttner, E.; Rauch, M.; Werther, N.; Winter, S. Ganzheitlicher Feuerwiderstand für Konstruktionen in Holzbauweise. Bautechnik 2019, 96, 815–823. [Google Scholar] [CrossRef]
- van der Westhuyzen, S.; Walls, R.; de Koker, N. Fire tests of south african cross-laminated timber wall panels: Fire ratings, charring rates, and delamination. J. South African Inst. Civ. Eng. 2020, 62, 33–41. [Google Scholar] [CrossRef]
- Sudhoff, P.; Steeger, F.; Zehfuß, J.; Kampmeier, B. Brandverhalten von Dämmstoffen aus nachwachsenden Rohstoffen—Teil 2: Untersuchungen zur bautechnischen Verwendung im Gefach von Holztafelbauweisen. Bauphysik 2021, 43, 303–313. [Google Scholar] [CrossRef]
- Whelton, M.; Macilwraith, A. Timber/steel composite members in multi-storey buildings under fire test loadings. J. Struct. Integr. Maint. 2017, 2, 152–167. [Google Scholar] [CrossRef]
- Lin, S.; Huang, X. Extinction of Wood Fire: Modeling Smoldering and Near-Limit Flame Under Irradiation. Fire Technol. 2022, 1–18. [Google Scholar] [CrossRef]
- Wiesner, F.; Hadden, R.; Deeny, S.; Bisby, L. Structural fire engineering considerations for cross-laminated timber walls. Constr. Build. Mater. 2022, 323, 126605. [Google Scholar] [CrossRef]
- Chorlton, B.; Gales, J. Structural Repair of Fire-Damaged Glulam Timber. J. Archit. Eng. 2021, 27, 04020043. [Google Scholar] [CrossRef]
- Lucherini, A.; Razzaque, Q.S.; Maluk, C. Exploring the fire behaviour of thin intumescent coatings used on timber. Fire Saf. J. 2019, 109, 102887. [Google Scholar] [CrossRef]
- Chorlton, B.; Gales, J. Mechanical performance of laminated veneer lumber and Glulam beams after short-term incident heat exposure. Constr. Build. Mater. 2020, 263, 120129. [Google Scholar] [CrossRef]
- Zhang, Y.; Wang, L.; Chen, L. Energy-based time equivalent approach for evaluating the fire resistance of timber components exposed to realistic design fire curves. Struct. Des. Tall Spec. Build. 2021, 30, e1861. [Google Scholar] [CrossRef]
- Mohammadi, J.; Ling, L. Can Wood Become an Alternative Material for Tall Building Construction? Pract. Period. Struct. Des. Constr. 2017, 22, 04017014. [Google Scholar] [CrossRef]
- Bagheri, M.M.; Doudak, G. Experimental and numerical study on the deflection of multi-storey light-frame timber shear walls. Eng. Struct. 2021, 233, 111951. [Google Scholar] [CrossRef]
- Tuhkanen, E.; Rauk, L. Potential of cross-laminated timber for independent shear wall systems. Wood Mater. Sci. Eng. 2019, 14, 355–365. [Google Scholar] [CrossRef]
- Zajic, M. A plastic model for partially anchored timber frame walls subjected to shear and bending. Proc. Inst. Civ. Eng. Struct. Build. 2021, 174, 504–515. [Google Scholar] [CrossRef]
- Hughes, C.; McPolin, D.; McGetrick, P.; McCrum, D. Behaviour of cross-laminated timber wall systems under monotonic lateral loading. J. Struct. Integr. Maint. 2019, 4, 153–161. [Google Scholar] [CrossRef]
- Cao, J.; Xiong, H.; Ghahari, S.F.; Taciroglu, E. A validated lateral response model for mass timber frames with knee-braces. Eng. Struct. 2021, 239, 112278. [Google Scholar] [CrossRef]
- Orellana, P.; Santa María, H.; Almazán, J.L.; Estrella, X. Cyclic behavior of wood-frame shear walls with vertical load and bending moment for mid-rise timber buildings. Eng. Struct. 2021, 240, 112298. [Google Scholar] [CrossRef]
- Sadeghi Marzaleh, A.; Nerbano, S.; Sebastiani Croce, A.; Steiger, R. OSB sheathed light-frame timber shear walls with strong anchorage subjected to vertical load, bending moment, and monotonic lateral load. Eng. Struct. 2018, 173, 787–799. [Google Scholar] [CrossRef]
- Casagrande, D.; Doudak, G.; Vettori, M.; Fanti, R. Proposal for an equivalent frame model for the analysis of multi-storey monolithic CLT shearwalls. Eng. Struct. 2021, 245, 112894. [Google Scholar] [CrossRef]
- Khajehpour, M.; Casagrande, D.; Doudak, G. The role of lintels and parapets on the mechanical performance of multi-storey cross laminated timber shearwalls with openings. Eng. Struct. 2022, 255, 113912. [Google Scholar] [CrossRef]
- Edskär, I.; Lidelöw, H. Dynamic properties of cross-laminated timber and timber truss building systems. Eng. Struct. 2019, 186, 525–535. [Google Scholar] [CrossRef]
- Brown, J.R.; Li, M.; Palermo, A.; Pampanin, S.; Sarti, F. Experimental Testing of a Low-Damage Post-Tensioned C-Shaped CLT Core-Wall. J. Struct. Eng. 2021, 147, 04020357. [Google Scholar] [CrossRef]
- Lukacs, I.; Björnfot, A.; Tomasi, R. Strength and stiffness of cross-laminated timber (CLT) shear walls: State-of-the-art of analytical approaches. Eng. Struct. 2019, 178, 136–147. [Google Scholar] [CrossRef]
- Turesson, J.; Sharifi, Z.; Berg, S.; Ekevad, M. Influence of laminate direction and glue area on in-plane shear modulus of cross-laminated timber. SN Appl. Sci. 2020, 2, 2126. [Google Scholar] [CrossRef]
- Maciejko, A. Expression of Glued Laminated Timber in Long Spans Structures Associated with its Natural Origin. Civ. Environ. Eng. Reports 2020, 30, 55–64. [Google Scholar] [CrossRef]
- Totsuka, M.; Aoki, K.; Inayama, M. Prediction of strength and stiffness of concentrated compressive load applied to the narrow face of cross-laminated timber. Eur. J. Wood Wood Prod. 2021, 80, 451–463. [Google Scholar] [CrossRef]
- Silva, C.; Branco, J.M.; Mehdipour, Z.; Xavier, J.; Lourenço, P.B. Experimental Stress Analysis of Cross-Laminated Timber Elements under Cyclic Moisture. J. Mater. Civ. Eng. 2022, 34, 04022184. [Google Scholar] [CrossRef]
- Bahrami, A.; Azizian, D. Assessment of Glulam and Reinforced Concrete Beams in Multi-Storey Building. Civ. Environ. Eng. 2022, 18, 66–75. [Google Scholar] [CrossRef]
- Kuai, L.; Ormarsson, S.; Vessby, J.; Maharjan, R. A numerical and experimental investigation of non-linear deformation behaviours in light-frame timber walls. Eng. Struct. 2022, 252, 113599. [Google Scholar] [CrossRef]
- Gil Pérez, M.; Früh, N.; La Magna, R.; Knippers, J. Integrative structural design of a timber-fibre hybrid building system fabricated through coreless filament winding: Maison Fibre. J. Build. Eng. 2022, 49, 104114. [Google Scholar] [CrossRef]
- Bahrami, A.; Edås, M.; Magnenat, K.; Norén, J. The behavior of cross-laminated timber and reinforced concrete floors in a multi-story building. Int. J. Adv. Appl. Sci. 2022, 9, 43–50. [Google Scholar] [CrossRef]
- Ye, Q.; Gong, Y.; Ren, H.; Guan, C.; Wu, G.; Chen, X. Analysis and calculation of stability coefficients of cross-laminated timber axial compression member. Polymers 2021, 13, 4267. [Google Scholar] [CrossRef]
- Jockwer, R.; Grönquist, P.; Frangi, A. Long-term deformation behaviour of timber columns: Monitoring of a tall timber building in Switzerland. Eng. Struct. 2021, 234, 111855. [Google Scholar] [CrossRef]
- Tong, D.; Brown, S.A.; Corr, D.; Cusatis, G. Wood creep data collection and unbiased parameter identification of compliance functions. Holzforschung 2020, 74, 1011–1020. [Google Scholar] [CrossRef]
- Xin, Z.; Gattas, J. Structural Behaviors of Integrally-Jointed Plywood Columns with Knot Defects. Int. J. Struct. Stab. Dyn. 2021, 21, 2150022. [Google Scholar] [CrossRef]
- Orlowski, K. Failure modes and behaviour of stiffened engineered timber wall systems under axial-loading. Structures 2020, 25, 360–369. [Google Scholar] [CrossRef]
- Zhou, J.; Chui, Y.H.; Niederwestberg, J.; Gong, M. Effective bending and shear stiffness of cross-laminated timber by modal testing: Method development and application. Compos. Part B Eng. 2020, 198, 108225. [Google Scholar] [CrossRef]
- Xu, B.-H.; Zhang, S.-D.; Zhao, Y.-H.; Bouchaïr, A. Rolling Shear Properties of Hybrid Cross-Laminated Timber. J. Mater. Civ. Eng. 2021, 33, 04021159. [Google Scholar] [CrossRef]
- Alinoori, F.; Sharafi, P.; Moshiri, F.; Samali, B. Experimental investigation on load bearing capacity of full scaled light timber framed wall for mid-rise buildings. Constr. Build. Mater. 2020, 231, 117069. [Google Scholar] [CrossRef]
- Movaffaghi, H.; Pyykkö, J.; Yitmen, I. Value-driven design approach for optimal long-span timber-concrete composite floor in multi-storey wooden residential buildings. Civ. Eng. Environ. Syst. 2020, 37, 100–116. [Google Scholar] [CrossRef]
- Movaffaghi, H.; Yitmen, I. Multi-criteria decision analysis of timber–concrete composite floor systems in multi-storey wooden buildings. Civ. Eng. Environ. Syst. 2021, 38, 161–175. [Google Scholar] [CrossRef]
- Loss, C.; Davison, B. Innovative composite steel-timber floors with prefabricated modular components. Eng. Struct. 2017, 132, 695–713. [Google Scholar] [CrossRef]
- Naud, N.; Sorelli, L.; Salenikovich, A.; Cuerrier-Auclair, S. Fostering GLULAM-UHPFRC composite structures for multi-storey buildings. Eng. Struct. 2019, 188, 406–417. [Google Scholar] [CrossRef]
- Lamothe, S.; Sorelli, L.; Blanchet, P.; Galimard, P. Lightweight and slender timber-concrete composite floors made of CLT-HPC and CLT-UHPC with ductile notch connectors. Eng. Struct. 2021, 243, 112409. [Google Scholar] [CrossRef]
- Nouri, F.; Valipour, H.R. Moment-rotation model for steel-timber composite connections with slab continuity steel rods. J. Constr. Steel Res. 2020, 173, 106257. [Google Scholar] [CrossRef]
- Woschitz, R.; Deix, K.; Huber, C.; Kampitsch, T. Entwicklung neuartiger Holz-Betonverbunddecken in Fertigteilbauweise. Bautechnik 2021, 98, 12–22. [Google Scholar] [CrossRef]
- Voulpiotis, K.; Köhler, J.; Jockwer, R.; Frangi, A. A holistic framework for designing for structural robustness in tall timber buildings. Eng. Struct. 2021, 227, 111432. [Google Scholar] [CrossRef]
- Lyu, C.H.; Gilbert, B.P.; Guan, H.; Underhill, I.D.; Gunalan, S.; Karampour, H.; Masaeli, M. Experimental collapse response of post-and-beam mass timber frames under a quasi-static column removal scenario. Eng. Struct. 2020, 213, 110562. [Google Scholar] [CrossRef]
- Lyu, C.H.; Gilbert, B.P.; Guan, H.; Underhill, I.D.; Gunalan, S.; Karampour, H. Experimental study on the quasi-static progressive collapse response of post-and-beam mass timber buildings under corner column removal scenarios. Eng. Struct. 2021, 242, 112497. [Google Scholar] [CrossRef]
- Huber, J.A.J.; Ekevad, M.; Girhammar, U.A.; Berg, S. Finite element analysis of alternative load paths in a platform-framed CLT building. Proc. Inst. Civ. Eng. Struct. Build. 2020, 173, 379–390. [Google Scholar] [CrossRef]
- Huber, J.A.J.; Mpidi Bita, H.; Tannert, T.; Berg, S. Finite element analysis of alternative load paths to prevent disproportionate collapse in platform-type CLT floor systems. Eng. Struct. 2021, 240, 112362. [Google Scholar] [CrossRef]
- Tannert, T.; Bita, H.M.; Huber, J.A.J. Untersuchungen zur Prävention von progressivem Kollaps von Holzhochhäusern. Bautechnik 2021, 98, 3–11. [Google Scholar] [CrossRef]
- Lyu, C.H.; Gilbert, B.P.; Guan, H.; Underhill, I.D.; Gunalan, S.; Karampour, H. Experimental study on the quasi-static progressive collapse response of post-and-beam mass timber buildings under an edge column removal scenario. Eng. Struct. 2021, 228, 111425. [Google Scholar] [CrossRef]
- Cheng, X.; Gilbert, B.P.; Guan, H.; Underhill, I.D.; Karampour, H. Experimental dynamic collapse response of post-and-beam mass timber frames under a sudden column removal scenario. Eng. Struct. 2021, 233, 111918. [Google Scholar] [CrossRef]
- Dao, T.N.; Ho, T.X. Nonlinear Numerical Model of Post-Tensioned Elastic Rocking Panels for Application in Building Structural Analysis. J. Struct. Eng. 2020, 146, 04019202. [Google Scholar] [CrossRef]
- Binck, C.; Cao, A.S.; Frangi, A. Lateral stiffening systems for tall timber buildings—Tube-in-tube systems. Wood Mater. Sci. Eng. 2022, 1–8. [Google Scholar] [CrossRef]
- Bezabeh, M.A.; Bitsuamlak, G.T.; Popovski, M.; Tesfamariam, S. Dynamic Response of Tall Mass-Timber Buildings to Wind Excitation. J. Struct. Eng. 2020, 146, 04020199. [Google Scholar] [CrossRef]
- Bezabeh, M.A.; Bitsuamlak, G.T.; Popovski, M.; Tesfamariam, S. Probabilistic serviceability-performance assessment of tall mass-timber buildings subjected to stochastic wind loads: Part II—Structural reliability analysis. J. Wind Eng. Ind. Aerodyn. 2018, 181, 112–125. [Google Scholar] [CrossRef]
- Kurent, B.; Brank, B.; Ao, W.K. Model updating of seven-storey cross-laminated timber building designed on frequency-response-functions-based modal testing. Struct. Infrastruct. Eng. 2021, 1–19. [Google Scholar] [CrossRef]
- Altunisik, A.C. Shaking table test of wooden building models for structural identification. Earthquakes Struct. 2017, 12, 67–77. [Google Scholar] [CrossRef]
- Zhang, X.N.; Shan, R.L.; Lu, M. Rectification of jacking method for brick-wooden buildings in deformation analysis with CFST reinforcement. Struct. Des. Tall Spec. Build. 2018, 27, e1439. [Google Scholar] [CrossRef]
- Bettarello, F.; Gasparella, A.; Caniato, M. The influence of floor layering on airborne sound insulation and impact noise reduction: A study on cross laminated timber (CLT) structures. Appl. Sci. 2021, 11, 5938. [Google Scholar] [CrossRef]
- Olsson, J.; Linderholt, A. Measurements of low frequency impact sound frequency response functions and vibrational properties of light weight timber floors utilizing the ISO rubber ball. Appl. Acoust. 2020, 166, 107313. [Google Scholar] [CrossRef]
- Olsson, J.; Linderholt, A. Low-frequency impact sound of timber floors: A finite element–based study of conceptual designs. Build. Acoust. 2021, 28, 17–34. [Google Scholar] [CrossRef]
- Flodén, O.; Persson, K.; Sandberg, G. A multi-level model correlation approach for low-frequency vibration transmission in wood structures. Eng. Struct. 2018, 157, 27–41. [Google Scholar] [CrossRef]
- Singh, T.; Page, D.; Simpson, I. Manufactured structural timber building materials and their durability. Constr. Build. Mater. 2019, 217, 84–92. [Google Scholar] [CrossRef]
- Ganster, K.; Schickhofer, G. In situ-Messung innerhalb einer Außenwand in Holz-Massivbauweise mit Brettsperrholz im sockelnahen Bereich. Bauphysik 2020, 42, 236–245. [Google Scholar] [CrossRef]
- Ayanleye, S.; Udele, K.; Nasir, V.; Zhang, X.; Militz, H. Durability and protection of mass timber structures: A review. J. Build. Eng. 2022, 46, 103731. [Google Scholar] [CrossRef]
- Riggio, M.; Mrissa, M.; Krész, M.; Včelák, J.; Sandak, J.; Sandak, A. Leveraging Structural Health Monitoring Data Through Avatars to Extend the Service Life of Mass Timber Buildings. Front. Built Environ. 2022, 8, 887593. [Google Scholar] [CrossRef]
- Xia, Z.; Van De Kuilen, J.W.G.; Polastri, A.; Ceccotti, A.; He, M. Influence of core stiffness on the behavior of tall timber buildings subjected to wind loads. Front. Struct. Civ. Eng. 2021, 15, 213–226. [Google Scholar] [CrossRef]
- Zhao, X.; Zhang, B.; Kilpatrick, T.; Sanderson, I. Numerical analysis on global serviceability behaviours of tall clt buildings to the eurocodes and uk national annexes. Buildings 2021, 11, 124. [Google Scholar] [CrossRef]
- Lazzarini, E.; Frison, G.; Trutalli, D.; Marchi, L.; Scotta, R. Comfort assessment of high-rise timber buildings exposed to wind-induced vibrations. Struct. Des. Tall Spec. Build. 2021, 30, e1882. [Google Scholar] [CrossRef]
- Cao, A.S.; Stamatopoulos, H. A theoretical study of the dynamic response of planar timber frames with semi-rigid moment-resisting connections subjected to wind loads. Eng. Struct. 2021, 240, 112367. [Google Scholar] [CrossRef]
- Bezabeh, M.A.; Gairola, A.; Bitsuamlak, G.T.; Popovski, M.; Tesfamariam, S. Structural performance of multi-story mass-timber buildings under tornado-like wind field. Eng. Struct. 2018, 177, 519–539. [Google Scholar] [CrossRef]
- Bezabeh, M.A.; Bitsuamlak, G.T.; Popovski, M.; Tesfamariam, S. Probabilistic serviceability-performance assessment of tall mass-timber buildings subjected to stochastic wind loads: Part I—Structural design and wind tunnel testing. J. Wind Eng. Ind. Aerodyn. 2018, 181, 85–103. [Google Scholar] [CrossRef]
- Poirier, E.; Staub-French, S.; Pilon, A.; Fallahi, A.; Teshnizi, Z.; Tannert, T.; Froese, T. Design process innovation on brock commons tallwood house. Constr. Innov. 2021, 22. [Google Scholar] [CrossRef]
- Staub-French, S.; Pilon, A.; Poirier, E.; Fallahi, A.; Kasbar, M.; Calderon, F.; Teshnizi, Z.; Froese, T. Construction process innovation on Brock Commons Tallwood House. Constr. Innov. 2021, 22. [Google Scholar] [CrossRef]
- Gasparri, E.; Aitchison, M. Unitised timber envelopes. A novel approach to the design of prefabricated mass timber envelopes for multi-storey buildings. J. Build. Eng. 2019, 26, 100898. [Google Scholar] [CrossRef]
- Riggio, M.; Alhariri, N.; Hansen, E. Paths of innovation and knowledge management in timber construction in North America: A focus on water control design strategies in CLT building enclosures. Archit. Eng. Des. Manag. 2020, 16, 58–83. [Google Scholar] [CrossRef]
- Svatoš-Ražnjević, H.; Orozco, L.; Menges, A. Advanced Timber Construction Industry: A Review of 350 Multi-Storey Timber Projects from 2000–2021. Buildings 2022, 12, 404. [Google Scholar] [CrossRef]
- Kaiser, A.; Larsson, M.; Girhammar, U.A. From file to factory: Innovative design solutions for multi-storey timber buildings applied to project Zembla in Kalmar, Sweden. Front. Archit. Res. 2019, 8, 1–16. [Google Scholar] [CrossRef]
- Fast, P.; Gafner, B.; Jackson, R. Eighteen storey hybrid mass timber student residence at the university of British Columbia. Struct. Eng. Int. 2017, 27, 44–48. [Google Scholar] [CrossRef]
- Kincelova, K.; Boton, C.; Blanchet, P.; Dagenais, C. Fire safety in tall timber building: A BIM-based automated code-checking approach. Buildings 2020, 10, 121. [Google Scholar] [CrossRef]
- Paolini, A.; Frischmann, F.; Kollmannsberger, S.; Rabold, A.; Horger, T.; Wohlmuth, B.; Rank, E. BIM-based structural dynamic analysis using higher-order volumetric finite elements. Bauingenieur 2018, 93, 160–166. [Google Scholar] [CrossRef]
- Lechner, M.; Engel, T.; Kurzer, C.; Rauch, M. Planen und Bauen mit Holz—Effizient und sicher: Der Brandschutznavigator und dataholz.eu im Praxistest. Bautechnik 2020, 97, 566–574. [Google Scholar] [CrossRef]
- Strang, M.; Leardini, P.; Brambilla, A.; Gasparri, E. Mass Timber Envelopes in Passivhaus Buildings: Designing for Moisture Safety in Hot and Humid Australian Climates. Buildings 2021, 11, 478. [Google Scholar] [CrossRef]
- Salvadori, V. Multi-Storey Timber-Based Buildings: An International Survey of Case-Studies with Five or More Storeys Over the Last Twenty Years. Ph.D. Thesis, Vienna University of Technology, Vienna, Austria, 2021. [Google Scholar]
- Lähtinen, K.; Häyrinen, L.; Roos, A.; Toppinen, A.; Aguilar Cabezas, F.X.; Thorsen, B.J.; Hujala, T.; Nyrud, A.Q.; Hoen, H.F. Consumer housing values and prejudices against living in wooden homes in the nordic region. Silva Fenn. 2021, 55, 10503. [Google Scholar] [CrossRef]
- Izzi, M.; Casagrande, D.; Bezzi, S.; Pasca, D.; Follesa, M.; Tomasi, R. Seismic behaviour of Cross-Laminated Timber structures: A state-of-the-art review. Eng. Struct. 2018, 170, 42–52. [Google Scholar] [CrossRef]
- Tulebekova, S.; Malo, K.A.; Rønnquist, A.; Nåvik, P. Modeling stiffness of connections and non-structural elements for dynamic response of taller glulam timber frame buildings. Eng. Struct. 2022, 261, 114209. [Google Scholar] [CrossRef]
- Chang, S.J.; Kang, Y.; Yun, B.Y.; Yang, S.; Kim, S. Assessment of effect of climate change on hygrothermal performance of cross-laminated timber building envelope with modular construction. Case Stud. Therm. Eng. 2021, 28, 101703. [Google Scholar] [CrossRef]
- Bermek, M.S.; Shelden, D.; Gentry, R. Schema for Automated Generation of CLT Framing and Panelization. In Proceedings of the Computing in Civil Engineering 2019, Atlanta, GA, USA, 17–19 June 2019; pp. 312–319. [Google Scholar]
- Duan, Z.; Huang, Q.; Zhang, Q. Life cycle assessment of mass timber construction: A review. Build. Environ. 2022, 221, 109320. [Google Scholar] [CrossRef]
- Loss, C.; Rossi, S.; Tannert, T. In-Plane Stiffness of Hybrid Steel–Cross-Laminated Timber Floor Diaphragms. J. Struct. Eng. 2018, 144, 04018128. [Google Scholar] [CrossRef]
- Ferdous, W.; Bai, Y.; Ngo, T.D.; Manalo, A.; Mendis, P. New advancements, challenges and opportunities of multi-storey modular buildings—A state-of-the-art review. Eng. Struct. 2019, 183, 883–893. [Google Scholar] [CrossRef]
- Kiakojouri, F.; De Biagi, V.; Chiaia, B.; Sheidaii, M.R. Progressive collapse of framed building structures: Current knowledge and future prospects. Eng. Struct. 2020, 206, 110061. [Google Scholar] [CrossRef]
- Kiakojouri, F.; De Biagi, V.; Chiaia, B.; Sheidaii, M.R. Strengthening and retrofitting techniques to mitigate progressive collapse: A critical review and future research agenda. Eng. Struct. 2022, 262, 114274. [Google Scholar] [CrossRef]
- Voulpiotis, K.; Schär, S.; Frangi, A. Quantifying robustness in tall timber buildings: A case study. Eng. Struct. 2022, 265, 114427. [Google Scholar] [CrossRef]







| Category | Subcategory | Article |
|---|---|---|
| Sustainability | Environmental sustainability | [1,27,35,43,44,45,46,47,48,49,50,51,52,53,54,55,56,57,58,59,60,61,62,63,64,65,66,67,68,69,70,71,72,73,74,75,76] |
| Social sustainability | [2,50,54,64,69,70,77,78,79,80,81,82,83,84,85,86,87,88,89] | |
| Economic sustainability | [35,50,53,61,62,63,65,70,86,90,91,92,93,94,95,96] | |
| Engineering and construction sciences | Seismic analysis | [10,15,21,30,31,32,47,97,98,99,100,101,102,103,104,105,106,107,108,109,110,111,112,113,114,115,116,117,118,119,120,121,122,123,124,125,126,127,128,129,130,131,132,133,134,135,136,137,138,139,140,141,142,143,144,145,146,147,148,149,150,151,152,153,154,155,156] |
| Connections design | [31,98,106,127,129,131,137,149,150,153,157,158,159,160,161,162,163,164,165,166,167,168,169,170,171,172,173,174,175,176,177,178,179,180,181] | |
| Fire performance/fire design | [12,14,143,157,163,164,173,176,182,183,184,185,186,187,188,189,190,191,192,193,194,195,196,197,198,199] | |
| Behavior of shear walls, diaphragms, and timber-structural cores | [63,71,123,147,149,166,175,200,201,202,203,204,205,206,207,208,209,210,211,212] | |
| Hybrid building design | [30,32,67,99,100,123,126,130,132,139,141,143,144,145,148,155,201] | |
| Structural behavior of walls, floors, and columns | [16,128,194,209,213,214,215,216,217,218,219,220,221,222,223,224,225,226,227] | |
| Structural behavior of composite materials | [163,169,218,228,229,230,231,232,233,234] | |
| Structural robustness | [13,235,236,237,238,239,240,241,242] | |
| Structural modeling | [146,177,207,208,217,221,238,239,240,241,243,244,245,246,247,248,249] | |
| Acoustic behavior | [250,251,252,253] | |
| Durability and protection of wood | [11,56,215,254,255,256,257] | |
| Design-wind loads | [143,144,151,172,244,245,246,247,258,259,260,261,262,263] | |
| Collaborative design | Collaborative design experiences | [19,28,86,264,265,266,267,268,269,270] |
| BIM-based design | [85,271,272,273] |
| Economic Sustainability (20) | Environmental Sustainability (29) | Social Sustainability (15) | ||||
|---|---|---|---|---|---|---|
| Count | Coefficient | Count | Coefficient | Count | Coefficient | |
| Economic sustainability (20) | 0 | 0.00 | 14 | 0.40 | 9 | 0.35 |
| Environmental sustainability (29) | 14 | 0.40 | 0 | 0.00 | 8 | 0.22 |
| Social sustainability (15) | 9 | 0.35 | 8 | 0.22 | 0 | 0.00 |
| Economic Sustainability (8) | Environmental Sustainability (7) | Social Sustainability (5) | ||||
|---|---|---|---|---|---|---|
| Count | Coefficient | Count | Coefficient | Count | Coefficient | |
| Economic sustainability (8) | 0 | 0.00 | 3 | 0.25 | 2 | 0.18 |
| Environmental sustainability (7) | 3 | 0.25 | 0 | 0.00 | 1 | 0.09 |
| Social sustainability (5) | 2 | 0.18 | 1 | 0.09 | 0 | 0.00 |
| Acoustic behavior (3) | Behavior of shear walls, diaphragms, and timber structural cores (16) | Connections’ design (26) | Design-wind loads (13) | Durability and protection of wood (11) | Fire performance/fire design (19) | Hybrid building design (12) | Seismic analysis (31) | Structural behavior of composite materials (7) | Structural behavior of walls, floors, and columns (11) | Structural modeling (16) | Structural robustness (9) | |||||||||||||
| count | coefficient | count | coefficient | count | coefficient | count | coefficient | count | coefficient | count | coefficient | count | coefficient | count | coefficient | count | coefficient | count | coefficient | count | coefficient | count | coefficient | |
| Acoustic behavior (3) | 0 | 0.00 | 0 | 0.00 | 1 | 0.04 | 0 | 0.00 | 0 | 0.00 | 0 | 0.00 | 0 | 0.00 | 0 | 0.00 | 0 | 0.00 | 1 | 0.08 | 0 | 0.00 | 0 | 0.00 |
| Behavior of shear walls, diaphragms, and timber structural cores (16) | 0 | 0.00 | 0 | 0.00 | 5 | 0.14 | 1 | 0.04 | 0 | 0.00 | 0 | 0.00 | 3 | 0.12 | 8 | 0.21 | 0 | 0.00 | 1 | 0.04 | 2 | 0.07 | 0 | 0.00 |
| Connections design (26) | 1 | 0.04 | 5 | 0.14 | 0 | 0.00 | 1 | 0.03 | 2 | 0.06 | 5 | 0.13 | 2 | 0.06 | 6 | 0.12 | 2 | 0.06 | 0 | 0.00 | 1 | 0.02 | 0 | 0.00 |
| Design-wind loads (13) | 0 | 0.00 | 1 | 0.04 | 1 | 0.03 | 0 | 0.00 | 0 | 0.00 | 1 | 0.03 | 2 | 0,09 | 4 | 0.10 | 0 | 0.00 | 1 | 0.04 | 5 | 0.21 | 0 | 0.00 |
| Durability and protection of wood (11) | 0 | 0.00 | 0 | 0.00 | 2 | 0.06 | 0 | 0.00 | 0 | 0.00 | 4 | 0.15 | 0 | 0.00 | 0 | 0.00 | 0 | 0.00 | 1 | 0.05 | 0 | 0.00 | 0 | 0.00 |
| Fire performance/fire design (19) | 0 | 0.00 | 0 | 0.00 | 5 | 0.13 | 1 | 0.03 | 4 | 0.15 | 0 | 0.00 | 1 | 0.03 | 1 | 0.02 | 2 | 0.08 | 0 | 0.00 | 0 | 0.00 | 0 | 0.00 |
| Hybrid building design (12) | 0 | 0.00 | 3 | 0.12 | 2 | 0.06 | 2 | 0.09 | 0 | 0.00 | 1 | 0.03 | 0 | 0.00 | 9 | 0.26 | 1 | 0.06 | 0 | 0.00 | 0 | 0.00 | 0 | 0.00 |
| Seismic analysis (31) | 0 | 0.00 | 8 | 0.21 | 6 | 0.12 | 4 | 0.10 | 0 | 0.00 | 1 | 0.02 | 9 | 0.26 | 0 | 0.00 | 1 | 0.03 | 1 | 0.02 | 4 | 0.09 | 2 | 0.05 |
| Structural behavior of composite materials (7) | 0 | 0.00 | 0 | 0.00 | 2 | 0.06 | 0 | 0.00 | 0 | 0.00 | 2 | 0.08 | 1 | 0.06 | 1 | 0.03 | 0 | 0.00 | 2 | 0.13 | 1 | 0.05 | 0 | 0.00 |
| Structural behavior of walls, floors and columns (11) | 1 | 0.08 | 1 | 0.04 | 0 | 0.00 | 1 | 0.04 | 1 | 0.05 | 0 | 0.00 | 0 | 0.00 | 1 | 0.02 | 2 | 0.13 | 0 | 0.00 | 1 | 0.04 | 0 | 0.00 |
| Structural modeling (16) | 0 | 0.00 | 2 | 0.07 | 1 | 0.02 | 5 | 0.21 | 0 | 0.00 | 0 | 0.00 | 0 | 0.00 | 4 | 0.09 | 1 | 0.05 | 1 | 0.04 | 0 | 0.00 | 4 | 0.19 |
| Structural robustness (9) | 0 | 0.00 | 0 | 0.00 | 0 | 0.00 | 0 | 0.00 | 0 | 0.00 | 0 | 0.00 | 0 | 0.00 | 2 | 0.05 | 0 | 0.00 | 0 | 0.00 | 4 | 0.19 | 0 | 0.00 |
| Acoustic behavior (1) | Behavior of shear walls, diaphragms, and timber structural cores (3) | Connections’ design (1) | Design-wind loads (2) | Durability and protection of wood (2) | Fire performance/fire design (3) | Hybrid building design (1) | Seismic analysis (3) | Structural behavior of composite materials (1) | Structural behavior of walls, floors, and columns (6) | Structural modeling (1) | Structural robustness (1) | |||||||||||||
| count | coefficient | count | coefficient | count | coefficient | count | coefficient | count | coefficient | count | coefficient | count | coefficient | count | coefficient | count | coefficient | count | coefficient | count | coefficient | count | coefficient | |
| Acoustic behavior (1) | 0 | 0.00 | 0 | 0.00 | 1 | 1.00 | 0 | 0.00 | 0 | 0.00 | 0 | 0.00 | 0 | 0.00 | 0 | 0.00 | 0 | 0.00 | 0 | 0.00 | 0 | 0.00 | 0 | 0.00 |
| Behavior of shear walls, diaphragms, and timber structural cores (3) | 0 | 0.00 | 0 | 0.00 | 0 | 0.00 | 0 | 0.00 | 0 | 0.00 | 0 | 0.00 | 0 | 0.00 | 1 | 0.20 | 0 | 0.00 | 2 | 0.29 | 0 | 0.00 | 0 | 0.00 |
| Connections design (1) | 1 | 1.00 | 0 | 0.00 | 0 | 0.00 | 0 | 0.00 | 0 | 0.00 | 0 | 0.00 | 0 | 0.00 | 0 | 0.00 | 0 | 0.00 | 0 | 0.00 | 0 | 0.00 | 0 | 0.00 |
| Design-wind loads (2) | 0 | 0.00 | 0 | 0.00 | 0 | 0.00 | 0 | 0.00 | 0 | 0.00 | 0 | 0.00 | 0 | 0.00 | 0 | 0.00 | 0 | 0.00 | 0 | 0.00 | 0 | 0.00 | 0 | 0.00 |
| Durability and protection of wood (2) | 0 | 0.00 | 0 | 0.00 | 0 | 0.00 | 0 | 0.00 | 0 | 0.00 | 0 | 0.00 | 0 | 0.00 | 0 | 0.00 | 0 | 0.00 | 1 | 0.14 | 0 | 0.00 | 0 | 0.00 |
| Fire performance/fire design (3) | 0 | 0.00 | 0 | 0.00 | 0 | 0.00 | 0 | 0.00 | 0 | 0.00 | 0 | 0.00 | 0 | 0.00 | 0 | 0.00 | 0 | 0.00 | 1 | 0.13 | 0 | 0.00 | 0 | 0.00 |
| Hybrid building design (1) | 0 | 0.00 | 0 | 0.00 | 0 | 0.00 | 0 | 0.00 | 0 | 0.00 | 0 | 0.00 | 0 | 0.00 | 0 | 0.00 | 1 | 1.00 | 0 | 0.00 | 0 | 0.00 | 0 | 0.00 |
| Seismic analysis (3) | 0 | 0.00 | 1 | 0.20 | 0 | 0.00 | 0 | 0.00 | 0 | 0.00 | 0 | 0.00 | 0 | 0.00 | 0 | 0.00 | 0 | 0.00 | 1 | 0.13 | 0 | 0.00 | 0 | 0.00 |
| Structural behavior of composite materials (1) | 0 | 0.00 | 0 | 0.00 | 0 | 0.00 | 0 | 0.00 | 0 | 0.00 | 0 | 0.00 | 1 | 1.00 | 0 | 0.00 | 0 | 0.00 | 0 | 0.00 | 0 | 0.00 | 0 | 0.00 |
| Structural behavior of walls, floors and columns (6) | 0 | 0.00 | 2 | 0.29 | 0 | 0.00 | 0 | 0.00 | 1 | 0.14 | 1 | 0.13 | 0 | 0.00 | 1 | 0.13 | 0 | 0.00 | 0 | 0.00 | 0 | 0.00 | 0 | 0.00 |
| Structural modeling (1) | 0 | 0.00 | 0 | 0.00 | 0 | 0.00 | 0 | 0.00 | 0 | 0.00 | 0 | 0.00 | 0 | 0.00 | 0 | 0.00 | 0 | 0.00 | 0 | 0.00 | 0 | 0.00 | 1 | 1.00 |
| Structural robustness (1) | 0 | 0.00 | 0 | 0.00 | 0 | 0.00 | 0 | 0.00 | 0 | 0.00 | 0 | 0.00 | 0 | 0.00 | 0 | 0.00 | 0 | 0.00 | 0 | 0.00 | 1 | 1.00 | 0 | 0.00 |
Publisher’s Note: MDPI stays neutral with regard to jurisdictional claims in published maps and institutional affiliations. |
© 2022 by the authors. Licensee MDPI, Basel, Switzerland. This article is an open access article distributed under the terms and conditions of the Creative Commons Attribution (CC BY) license (https://creativecommons.org/licenses/by/4.0/).
Share and Cite
González-Retamal, M.; Forcael, E.; Saelzer-Fuica, G.; Vargas-Mosqueda, M. From Trees to Skyscrapers: Holistic Review of the Advances and Limitations of Multi-Storey Timber Buildings. Buildings 2022, 12, 1263. https://doi.org/10.3390/buildings12081263
González-Retamal M, Forcael E, Saelzer-Fuica G, Vargas-Mosqueda M. From Trees to Skyscrapers: Holistic Review of the Advances and Limitations of Multi-Storey Timber Buildings. Buildings. 2022; 12(8):1263. https://doi.org/10.3390/buildings12081263
Chicago/Turabian StyleGonzález-Retamal, Marcelo, Eric Forcael, Gerardo Saelzer-Fuica, and Mauricio Vargas-Mosqueda. 2022. "From Trees to Skyscrapers: Holistic Review of the Advances and Limitations of Multi-Storey Timber Buildings" Buildings 12, no. 8: 1263. https://doi.org/10.3390/buildings12081263
APA StyleGonzález-Retamal, M., Forcael, E., Saelzer-Fuica, G., & Vargas-Mosqueda, M. (2022). From Trees to Skyscrapers: Holistic Review of the Advances and Limitations of Multi-Storey Timber Buildings. Buildings, 12(8), 1263. https://doi.org/10.3390/buildings12081263

