Study on Durability and Piezoresistivity of Cement-Based Piezoelectric Materials Mixed with Carbon Fiber and Iron Tailings under Salt-Freezing Erosion
Abstract
:1. Introduction
2. Materials and Methods
2.1. Materials
2.2. Mix Design
2.3. Testing Instruments
2.4. Sample Preparation
2.5. Texting Methods
3. Experimental Results and Discussion of Durability Performance
3.1. External Damage Analysis
3.2. Internal Damage Analysis
4. Experimental Results and Discussion of Piezoelectric Performance
4.1. Stress-Resistivity Change Rate Correlation Evaluation
4.2. Pressure Sensitivity Mechanism Analysis
5. Conclusions
- (1)
- After 150 freeze-thaw cycles, compared with the specimens mixed with 0.4% carbon fiber and 30% substitution rate iron tailing sand, the apparent morphology of the specimens mixed with 0.4% carbon fiber remained more complete. By comparison, the C04T30 specimen with 0.4% carbon fiber and 30% substitution rate iron tailing sand at the same time had the smallest mass loss rate, which was only 3.65%. It shows that the addition of carbon fiber and iron tailing sand can improve the freeze-thaw resistance of cement-based composites.
- (2)
- After 150 freeze-thaw cycles, the relative modulus of the BS specimen without carbon fiber and iron tailing sand was 0.63, the compressive strength loss rate exceeded 37.5%, and the specimen reached a destructive state. The relative dynamic elastic modulus of the C04T30 specimen mixed with 0.4% carbon fiber and 30% substitution rate iron tailing sand at the same time was 0.855, and the compressive strength loss rate was only 20.2%. It shows that the incorporation of carbon fiber and iron tailing sand can improve the erosion resistance of cement-based composites.
- (3)
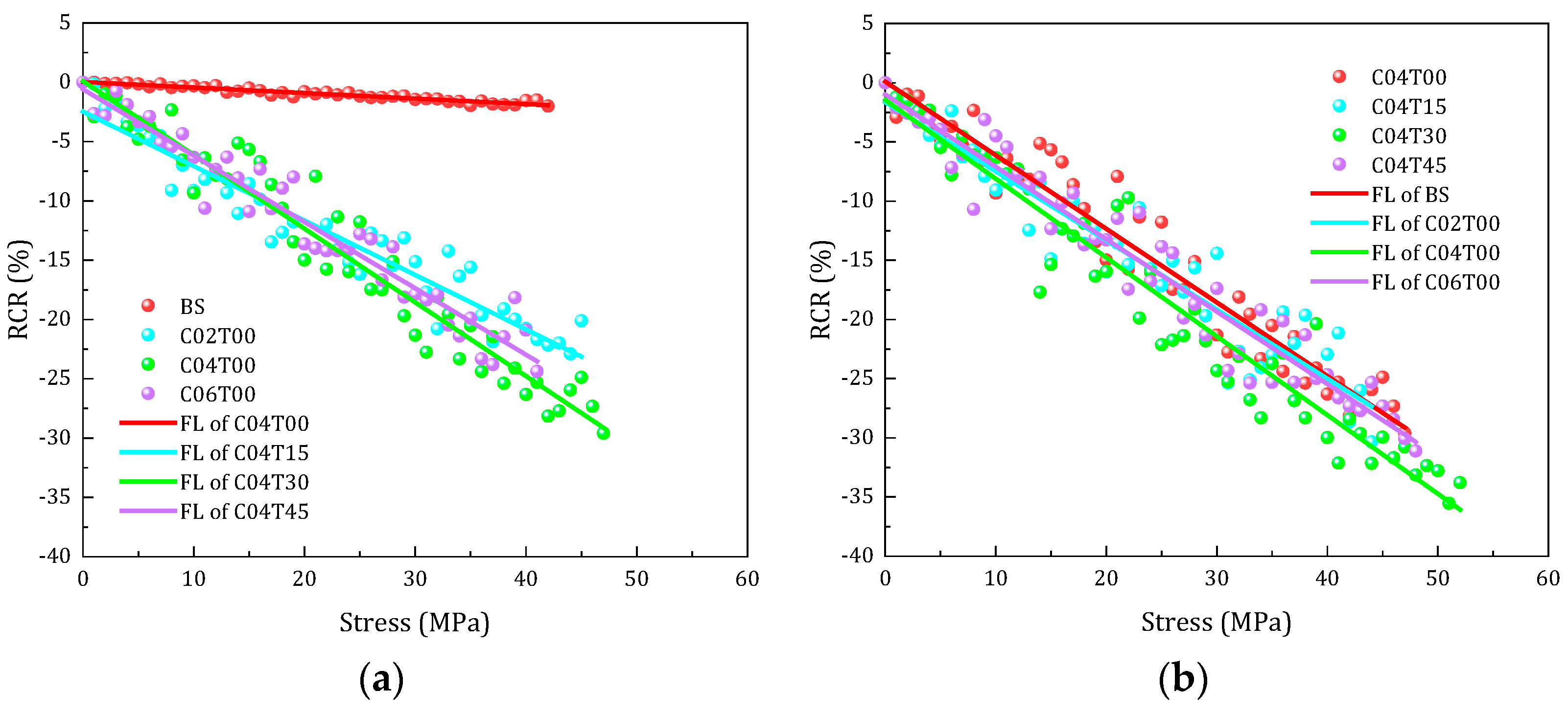
- The compressive stress and resistivity change rate of each group of cement matrix composite specimens that did not undergo a freeze-thaw cycle were approximately in line with the linear attenuation relationship, and the correlation coefficients of the compressive stress and resistivity change rate fitting curves were above 0.9. The compressive stress and resistivity change rate of the cement matrix composite specimen that underwent 150 freeze-thaw cycles were approximately in line with the polynomial attenuation relationship, and its correlation coefficient was also above 0.9. The fitting results show that the correlation between resistivity change rate and compressive stress was high, and the rate of resistivity change can reflect the deterioration of structural mechanical properties after the freeze-thaw cycle.
- (4)
- After 150 freeze-thaw cycles, the pressure sensitivity coefficient of the cement-based composite specimen with 4% carbon fiber and 30% iron tailing sand substitution rate was 0.007294. Compared with the specimens of re-doped carbon fibers and iron tailing sands, the pressure sensitivity of the specimens of single-doped carbon fibers was less attenuated. It is explained by the fact that cement matrix composites mixed with carbon fiber and iron tailing sand have good pressure sensitivity, and cement matrix composites can be embedded as impedance sensors to monitor the health of engineering structures.
Author Contributions
Funding
Institutional Review Board Statement
Informed Consent Statement
Data Availability Statement
Conflicts of Interest
References
- Wang, Y.; Zhao, X.; Zhu, D.; Du, J. Study on sensitivity of piezoresistivity and mechanism for cement-based composites with carbon fiber. Bull. Chin. Ceram. Soc. 2013, 9, 1817–1821. [Google Scholar] [CrossRef]
- Shan, G.; Zhen, P.; Xiaodong, L.; Dong, C. Tests on axial strength of circle CFST stub columns under marine atmosphere in cold region. Constr. Build. Mater. 2020, 230, 117073. [Google Scholar]
- Gao, S.; Guo, L.; Zhang, S.; Peng, Z. Performance degradation of circular thin-walled CFST stub columns in high-latitude offshore region. Thin-Walled Struct. 2020, 154, 106906. [Google Scholar] [CrossRef]
- Zhou, L.; Wang, X.; Liu, H. Experimental study of stress-strain curve of carbon fiber reinforced concrete. Eng. Mech. 2013, 30, 200–204+211. [Google Scholar] [CrossRef]
- Wang, T.; Xu, J.; Peng, G.; Meng, B. Durability test of carbon nanofiber reinforced concrete. Funct. Mater. 2019, 59, 11114–11121. [Google Scholar] [CrossRef]
- Azhari, F.; Banthia, N. Cement-based sensors with carbon fibers and carbon nanotubes for piezoresistive sensing. Cem. Concr. Compos. 2012, 34, 866–873. [Google Scholar] [CrossRef]
- Gao, S.; Cui, X.; Kang, S.; Ding, Y. Sustainable applications for utilizing molybdenum tailings in concrete. J. Clean. Prod. 2020, 266, 122020. [Google Scholar] [CrossRef]
- Tang, K.; Mao, X.; Xu, W.; Tang, X. Performance analysis of cement concrete with iron tailings sand as fine aggregate. Ind. Constr. 2019, 49, 153–157. [Google Scholar] [CrossRef]
- Zhang, W.; Gu, X.; Qiu, J.; Liu, J.; Zhao, Y.; Li, X. Effects of iron ore tailings on the compressive strength and permeability of ultra-high performance concrete. Constr. Build. Mater. 2020, 260, 119917. [Google Scholar] [CrossRef]
- Wang, X.; Zhang, S.; Bao, W.; Qi, H. Experimental study on durability of tailings concrete. Concrete 2020, 4, 93–97. [Google Scholar] [CrossRef]
- Barroqueiro, T.; Da Silva, P.R.; De Brito, J. High-Performance Self-Compacting Concrete with Recycled aggregates from the precast industry: Durability assessment. Buildings 2020, 10, 113. [Google Scholar] [CrossRef]
- Ullah, S.; Yang, C.; Cao, L.; Wang, P.; Chai, Q.; Li, Y.; Wang, L.; Dong, Z.; Lushinga, N.; Zhang, B. Materials design and performance improvement of conductive asphalt concrete incorporating carbon fiber and iron tailings. Constr. Build. Mater. 2021, 303, 124446. [Google Scholar] [CrossRef]
- Liu, Y.; Hao, W.; He, W.; Meng, X.; Shen, Y.; Du, T.; Wang, H. Influence of dolomite rock powder and iron tailings powder on the electrical resistivity strength and microstructure of cement pastes and concrete. Coatings 2022, 12, 95. [Google Scholar] [CrossRef]
- Zhu, H.; Yu, J.; Zhang, J. A summary review and advantages of vibration-based damage identification methods in structural health monitoring. Eng. Mech. 2011, 28, 1–11. [Google Scholar] [CrossRef]
- Mendes, S.E.; Oliveira, R.L.; Cremonez, C.; Pereira, E.; Pereira, E.; Medeiros-Junior, R.A. Electrical resistivity as a durability parameter for concrete design: Experimental data versus estimation by mathematical model. Constr. Build. Mater. 2018, 192, 610–620. [Google Scholar] [CrossRef]
- Allam, H.; Duplan, F.; Clerc, J.-P.; Amziane, S.; Burtschell, Y. About electrical resistivity variation during drying and improvement of the sensing behavior of carbon fiber-reinforced smart concrete. Constr. Build. Mater. 2020, 264, 120699. [Google Scholar] [CrossRef]
- Song, J.; Zhang, Y.; Zhang, R.; Hao, T. Research on relation of anti-chloride permeability and concrete resistivity based on DC-step input. Concrete 2020, 3, 59–62. [Google Scholar] [CrossRef]
- Robles, K.P.V.; Yee, J.-J.; Kee, S.-H. Electrical resistivity measurements for nondestructive evaluation of chloride-induced deterioration of reinforced concrete—A review. Materials 2022, 15, 2725. [Google Scholar] [CrossRef]
- Wang, J.-H.; Sun, H.-X.; Dong, Y.-G.; Cheng, Z.; Liu, W. Effects of the water/cement ratio on the properties of 3-3 type cement-based piezoelectric composites. Materials 2022, 15, 2760. [Google Scholar] [CrossRef] [PubMed]
- Le, T.-C.; Ho, D.-D.; Huynh, T.-C. Anchor force monitoring using impedance technique with single-point mount lead-zirconate-titanate interface: A feasibility study. Buildings 2021, 11, 382. [Google Scholar] [CrossRef]
- Le, T.-C.; Phan, T.T.V.; Nguyen, T.-H.; Ho, D.-D.; Huynh, T.-C. A low-cost prestress monitoring method for post-tensioned RC beam using piezoelectric-based smart strand. Buildings 2021, 11, 431. [Google Scholar] [CrossRef]
- Ministry of Housing and Urban-Rural Construction of the People’s Republic of China. Standard for Technical Requirements and Test Method of Sand and Crushed Stone (or Gravel) for Ordinary Concrete (JGJ52-2006); China Architecture & Building Press: Beijing, China, 2006. [Google Scholar]
- Ministry of Housing and Urban-Rural Construction of the People’s Republic of China. Standard for Test Methods of Performance on Ordinary Fresh Concrete (GB/T 50080-2016); China Architecture & Building Press: Beijing, China, 2016. [Google Scholar]
- Ministry of Housing and Urban-Rural Construction of the People’s Republic of China. Standard for Test Methods of Concrete Physical and Mechanical Properties (GB/T 50081-2019); China Architecture & Building Press: Beijing, China, 2019. [Google Scholar]
- Ministry of Housing and Urban-Rural Construction of the People’s Republic of China. Standard for Test Methods of Long-Term Performance and Durability of Ordinary Concrete (GB/T 50082-2009); China Architecture & Building Press: Beijing, China, 2009. [Google Scholar]
- Qian, J.; Xu, S.; Li, M.; Wang, L. The measurement and application of resistivity for concrete. J. Shandong Univ. Sci. Technol. 2010, 29, 37–42. [Google Scholar] [CrossRef]
- Yin, T.; Xu, J.; Wang, Y.; Liu, L. Increasing self-sensing capability of carbon nanotubes cement-based materials by simultaneous addition of Ni nanofibers with low content. Constr. Build. Mater. 2020, 254, 119306. [Google Scholar] [CrossRef]
- Li, Y.; Wang, S.; Xu, J.; Bai, J.; Quan, X.; Xu, W. Durability and piezoresistivity of self-sensing cement mortar under sulphate freeze-thaw cycles. Bull. Chin. Ceram. Soc. 2022, 1. [Google Scholar] [CrossRef]
- Nalon, G.H.; Ribeiro, J.C.L.; de Araújo, E.N.D.; Pedroti, L.G.; de Carvalho, J.M.F.; Santos, R.F.; Aparecido-Ferreira, A. Effect of different kinds of carbon black nanoparticles on the piezoresistive and mechanical properties of cement-based composites. J. Build. Eng. 2020, 32, 101724. [Google Scholar] [CrossRef]
- Cholker, A.K.; Tantray, M.A. Micro carbon fiber based concrete as a strain-damage sensing material. Mater. Today Proc. 2019, 19, 152–157. [Google Scholar] [CrossRef]
- Wang, L.; Aslani, F. Piezoresistivity performance of cementitious composites containing activated carbon powder, nano zinc oxide and carbon fibre. Constr. Build. Mater. 2021, 278, 122375. [Google Scholar] [CrossRef]
- Lehner, P.; Konečný, P.; Katzer, J. Electrical resistivity and strength parameters of prismatic mortar samples based on standardized sand and lunar aggregate simulant. Buildings 2022, 12, 423. [Google Scholar] [CrossRef]
- Baeza, F.J.; Galao, O.; Vegas, I.; Cano, M.; Garcés, P. Influence of recycled slag aggregates on the conductivity and strain sensing capacity of carbon fiber reinforced cement mortars. Constr. Build. Mater. 2018, 184, 311–319. [Google Scholar] [CrossRef]
- Ge, Y.; Liu, S. Research progress on characteristics of carbon fiber conductive concrete. Bull. Chin. Ceram. Soc. 2019. [Google Scholar] [CrossRef]
- Belli, A.; Mobili, A.; Bellezze, T.; Tittarelli, F. Commercial and recycled carbon/steel fibers for fiber-reinforced cement mortars with high electrical conductivity. Cem. Concr. Compos. 2020, 109, 103569. [Google Scholar] [CrossRef]









| Chemical Composition | C | O | Mg | Al | Si | S | K | Ca | Fe | Ti |
|---|---|---|---|---|---|---|---|---|---|---|
| Cement (%) | 4.12 | 39.08 | 0.74 | 1.54 | 6.11 | 1.10 | 0.53 | 45.84 | 0.93 | 0.01 |
| IOT (%) | - | 56.49 | 6.95 | 8.38 | 17.46 | - | 3.02 | 1.68 | 5.28 | 0.74 |
| Chemical Composition | Na2O | MgO | Fe2O3 | Al2O3 | CaO | SiO2 |
|---|---|---|---|---|---|---|
| Quartz (%) | 1.2 ± 0.25 | 0.68 ± 0.12 | 0.91 ± 0.32 | 1.1 ± 0.3 | 0.27 ± 0.13 | 75–96 |
| Water Requirement of Normal Consistency (%) | Initial Setting Time (min) | Final Setting Time (min) | Fineness (μm) | Stability | Flexural Strength (MPa) | Compressive Strength (MPa) | ||
|---|---|---|---|---|---|---|---|---|
| 3 d | 28 d | 3 d | 28 d | |||||
| 28 | 160 | 280 | 40 | Qualified | 5.2 | 6.8 | 19.5 | 42.5 |
| Length (mm) | Diameter (μm) | Density (g/cm3) | Carbon Content (%) | Tensile Strength (MPa) | Tensile Modulus (GPa) | Resistivity (10−3 Ω·cm) |
|---|---|---|---|---|---|---|
| 5 | 7 | 1.75 | ≥95 | 3530 | 228 | 1.0–1.6 |
| Serial No | Sample No | Water (kg/m3) | Cement (kg/m3) | Silica Fume (kg/m3) | Fine Aggregate /kg/m3 | Replace-ment Rate of IOT (%) | Carbon Fiber (kg/m3) | Replace-ment Rate of CF (%) | |
|---|---|---|---|---|---|---|---|---|---|
| Silica Sand | IOT | ||||||||
| 1 | BS | 242 | 550 | 55 | 605 | 0 | 0 | 0 | 0 |
| 2 | C02T00 | 242 | 550 | 55 | 605 | 0 | 0 | 3.50 | 0.2 |
| 3 | C04T00 | 242 | 550 | 55 | 605 | 0 | 0 | 7.00 | 0.4 |
| 4 | C06T00 | 242 | 550 | 55 | 605 | 0 | 0 | 10.50 | 0.6 |
| 5 | C04T15 | 242 | 550 | 55 | 514.25 | 90.75 | 15 | 7.00 | 0.4 |
| 6 | C04T30 | 242 | 550 | 55 | 423.50 | 181.50 | 30 | 7.00 | 0.4 |
| 7 | C04T45 | 242 | 550 | 55 | 332.75 | 272.25 | 45 | 7.00 | 0.4 |
| Parameter | BS | C02T00 | C04T00 | C06T00 | C04T15 | C04T30 | C04T45 |
|---|---|---|---|---|---|---|---|
| a | 0.02368 | −2.47672 | 0.0944 | −0.58481 | −1.63942 | −1.45606 | −0.98392 |
| b | −0.04662 | −0.45898 | −0.62169 | −0.55953 | −0.584 | −0.66546 | −0.6116 |
| R2 | 0.92806 | 0.91795 | 0.94476 | 0.94184 | 0.90896 | 0.93791 | 0.94215 |
| PS | 0.000434 | 0.006213 | 0.006638 | 0.006532 | 0.007159 | 0.007545 | 0.007229 |
| Parameter | BS | C02T00 | C04T00 | C06T00 | C04T15 | C04T30 | C04T45 |
|---|---|---|---|---|---|---|---|
| a | 0.00624 | 0.99718 | 1.16182 | 0.39216 | 0.92297 | 0.96992 | 1.12923 |
| b1 | −0.06364 | −0.82444 | −0.95198 | −0.85845 | −0.93611 | −1.02612 | −0.97451 |
| b2 | 0.00178 | 0.00961 | 0.0096 | 0.0097 | 0.00915 | 0.01012 | 0.00977 |
| R2 | 0.86735 | 0.93367 | 0.92795 | 0.93325 | 0.90659 | 0.95382 | 0.94295 |
| PS | 0.000377 | 0.005426 | 0.006503 | 0.006497 | 0.006673 | 0.007294 | 0.006708 |
Publisher’s Note: MDPI stays neutral with regard to jurisdictional claims in published maps and institutional affiliations. |
© 2022 by the authors. Licensee MDPI, Basel, Switzerland. This article is an open access article distributed under the terms and conditions of the Creative Commons Attribution (CC BY) license (https://creativecommons.org/licenses/by/4.0/).
Share and Cite
Xu, J.; Wang, S.; Bai, J.; Li, Y.; Quan, X. Study on Durability and Piezoresistivity of Cement-Based Piezoelectric Materials Mixed with Carbon Fiber and Iron Tailings under Salt-Freezing Erosion. Buildings 2022, 12, 1150. https://doi.org/10.3390/buildings12081150
Xu J, Wang S, Bai J, Li Y, Quan X. Study on Durability and Piezoresistivity of Cement-Based Piezoelectric Materials Mixed with Carbon Fiber and Iron Tailings under Salt-Freezing Erosion. Buildings. 2022; 12(8):1150. https://doi.org/10.3390/buildings12081150
Chicago/Turabian StyleXu, Jin, Sheliang Wang, Jiaojiao Bai, Yifan Li, and Xiaoyi Quan. 2022. "Study on Durability and Piezoresistivity of Cement-Based Piezoelectric Materials Mixed with Carbon Fiber and Iron Tailings under Salt-Freezing Erosion" Buildings 12, no. 8: 1150. https://doi.org/10.3390/buildings12081150
APA StyleXu, J., Wang, S., Bai, J., Li, Y., & Quan, X. (2022). Study on Durability and Piezoresistivity of Cement-Based Piezoelectric Materials Mixed with Carbon Fiber and Iron Tailings under Salt-Freezing Erosion. Buildings, 12(8), 1150. https://doi.org/10.3390/buildings12081150
