Mesoscale Study on Dilation Behavior of Plain Concrete under Axial Compression
Abstract
:1. Introduction
2. Mesoscale Model of Concrete
2.1. Generation of the Coarse Aggregate
2.2. Determination of the Three Phases
2.3. Damage Plasticity Model of Concrete
2.4. Constitutive Model of Each Phase
2.5. Validation of the Mesoscale Model
3. Results
3.1. Failure Process of the Concrete Specimen
3.2. Distribution of Lateral Strain in the Specimen
3.3. Lateral–Axial Strain Relationship for Plain Concrete
4. Comparison with Current Formulas
5. Conclusions
- (1)
- The lateral strain is non-uniformly distributed along the specimen height, and the lateral deformation mainly occurs in the middle part of the specimen ranging from 3/8 to 5/8, where the stiffness degradation is the most serious. Moreover, the lateral strain along the circumferential direction becomes non-uniform as axial strain reaches 3000 με.
- (2)
- The development of lateral strain and secant strain ratio can be divided into three stages. In the first stage, the lateral strain is small and the secant strain ratio increases slowly from 0.2. In the second stage, the lateral strain and the secant strain ratio increase rapidly as the internal cracks continue to accumulate. In the third stage, the lateral–axial strain curve is approximately linear, and the secant strain ratio grows slowly and approaches its critical value.
- (3)
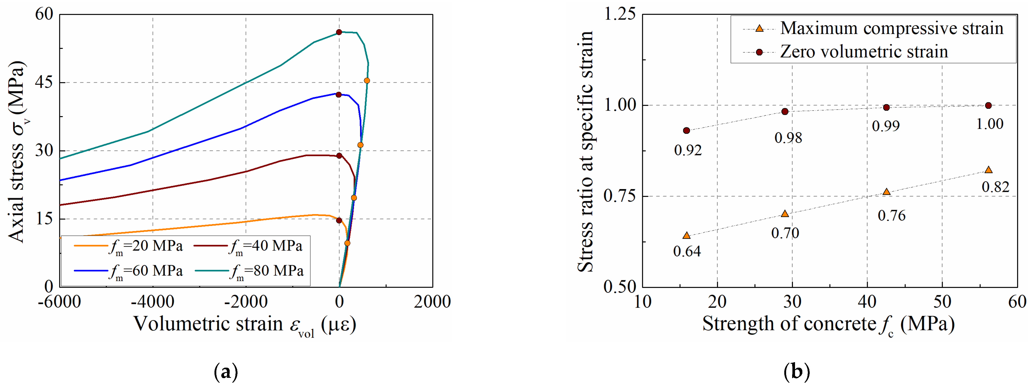
- The strength of concrete influences the stress ratio at maximum compressive strain, and the stress ratio varies from 0.62 to 0.82 when the mortar strength varies from 20 MPa to 80 MPa, illustrating that the initiation of cracks starts later in concrete with higher strength. Moreover, the secant strain ratio is about 0.5 as the stress reaches the concrete strength.
- (4)
- The secant strain ratio–axial strain curves in the simulation are consistent with the results predicted by the formulas of Teng et al. and Binici et al. in the ascending branch of the stress–strain curve of concrete. When the stress–strain curve of concrete enters the descending branch, the simulation of the secant strain ratio is in the range of the theoretical results, which demonstrates the validation of our mesoscale model in predicting the dilation of plain concrete.
Author Contributions
Funding
Institutional Review Board Statement
Informed Consent Statement
Data Availability Statement
Conflicts of Interest
References
- Mander, J.B.; Priestley, M.J.N.; Park, R. Theoretical stress-strain model for confined concrete. J. Struct. Eng. 1988, 114, 1804–1826. [Google Scholar] [CrossRef] [Green Version]
- Teng, J.G.; Lam, L. Compressive behavior of carbon fiber reinforced polymer-confined concrete in elliptical columns. J. Struct. Eng. 2002, 128, 1535–1543. [Google Scholar] [CrossRef]
- Han, L.H.; An, Y.F. Performance of concrete-encased CFST short columns under axial compression. J. Constr. Steel Res. 2014, 93, 62–76. [Google Scholar] [CrossRef]
- Tang, Y.; Xiao, J.; Zhang, H.; Duan, Z.; Xia, B. Mechanical properties and uniaxial compressive stress-strain behavior of fully recycled aggregate concrete. Constr. Build. Mater. 2022, 323, 126546. [Google Scholar] [CrossRef]
- Zheng, D.; Song, W.; Fu, J.; Xue, G.; Li, J.; Cao, S. Research on mechanical characteristics, fractal dimension and internal structure of fiber reinforced concrete under uniaxial compression. Constr. Build. Mater. 2020, 258, 120351. [Google Scholar] [CrossRef]
- Ma, L.; Li, Z.; Liu, J.; Duan, L.; Wu, J. Mechanical properties of coral concrete subjected to uniaxial dynamic compression. Constr. Build. Mater. 2019, 199, 244–255. [Google Scholar] [CrossRef]
- Shi, X.; Park, P.; Rew, Y.; Huang, K.; Sim, C. Constitutive behaviors of steel fiber reinforced concrete under uniaxial compression and tension. Constr. Build. Mater. 2020, 233, 117316. [Google Scholar] [CrossRef]
- Zhou, W.; Feng, P.; Lin, H. Constitutive relations of coral aggregate concrete under uniaxial and triaxial compression. Constr. Build. Mater. 2020, 251, 118957. [Google Scholar] [CrossRef]
- Yang, L.; Xie, H.; Fang, S.; Huang, C.; Chao, Y.J. Experimental study on mechanical properties and damage mechanism of basalt fiber reinforced concrete under uniaxial compression. Structures 2021, 31, 330–340. [Google Scholar] [CrossRef]
- Zhu, H.; Yu, H.; Ma, H.; Yang, S. Uniaxial compressive stress-strain curves of magnesium oxysulfate cement concrete. Constr. Build. Mater. 2020, 232, 117244. [Google Scholar] [CrossRef]
- Klink, S.A. Poisson’s ratio variations in concrete. Exp. Mech. 1975, 15, 139–141. [Google Scholar] [CrossRef]
- Allos, A.E.; Martin, L.H. Factors affecting Poisson’s ratio for concrete. Build. Environ. 1981, 16, 1–9. [Google Scholar] [CrossRef]
- Ferretti, E. On Poisson’s ratio and volumetric strain in concrete. Int. J. Fract. 2004, 126, 49–55. [Google Scholar] [CrossRef]
- Smahi, R.; Bouafia, Y.; Kachi, M.S. Modeling the biaxial behavior of concrete by damage mechanics with Poisson’s ratio variable. Appl. Mech. Mater. 2015, 749, 391–397. [Google Scholar] [CrossRef]
- Raza, A.; Ahmad, A. Prediction of axial compressive strength for FRP-confined concrete compression members. KSCE J. Civ. Eng. 2020, 24, 2099–2109. [Google Scholar] [CrossRef]
- Moran, D.A.; Pantelides, C.P.; Reaveley, L.D. Mohr-coulomb model for rectangular and square FRP-confined concrete. Compos. Struct. 2019, 209, 889–904. [Google Scholar] [CrossRef]
- Pour, A.F.; Nguyen, G.D.; Vincent, T.; Ozbakkaloglu, T. Investigation of the compressive behavior and failure modes of unconfined and FRP-confined concrete using digital image correlation. Compos. Struct. 2020, 252, 112642. [Google Scholar] [CrossRef]
- Ghorbel, E.; Limaiem, M.; Wardeh, G. Mechanical performance of bio-based FRP-confined recycled aggregate concrete under uniaxial compression. Materials 2021, 14, 1778. [Google Scholar] [CrossRef]
- Ribeiro, F.; Sena, J.; Branco, F.G. Júlio, E. 3D finite element model for hybrid FRP-confined concrete in compression using modified CDPM. Eng. Struct. 2019, 190, 459–479. [Google Scholar] [CrossRef]
- Shayanfar, J.; Rezazadeh, M.; Barros, J.A. Analytical model to predict dilation behavior of FRP confined circular concrete columns subjected to axial compressive loading. J. Compos. Constr. 2020, 24, 04020071. [Google Scholar] [CrossRef]
- Shayanfar, J.; Rezazadeh, M.; Barros, J.; Ramezansefat, H. A new dilation model for FRP fully/partially confined concrete column under axial loading. In Proceedings of the 3rd RILEM Spring Convention 2020 Ambitioning a Sustainable Future for Built Environment: Comprehensive Strategies for Unprecedented Challenges, Guimarães, Portugal, 10–14 March 2020; pp. 435–446. [Google Scholar] [CrossRef]
- Chang, W.; Zheng, W.; Hao, M. Lateral dilation and limited value of volumetric ratio of stirrups for ultra-high strength concrete confined with spiral stirrups. Mater. Struct. 2021, 54, 125. [Google Scholar] [CrossRef]
- Dong, C.; Kwan, A.; Ho, J. Effects of confining stiffness and rupture strain on the performance of FRP confined concrete. Eng. Struct. 2015, 97, 1–14. [Google Scholar] [CrossRef]
- Harries, K.A.; Kharel, G. Behavior and modeling of concrete subjected to variable confining pressure. ACI Mater. 2002, 99, 180–189. [Google Scholar]
- Mirmiran, A.; Shahawy, M. Dilation characteristics of confined concrete. Mech. Cohesive Frict. Mater. 1997, 2, 237–249. [Google Scholar] [CrossRef]
- Pimanmas, A.; Saleem, S. Dilation characteristics of PET FRP-confined concrete. J. Compos. Constr. 2018, 22, 04018006. [Google Scholar] [CrossRef]
- Nguyen, H.D.; Choi, E.; Park, K. Dilation behavior of normal strength concrete confined by FRP wire jackets. Constr. Build. Mater. 2018, 190, 728–739. [Google Scholar] [CrossRef]
- Binici, B. An analytical model for stress-strain behavior of confined concrete. Eng. Struct. 2005, 27, 1040–1051. [Google Scholar] [CrossRef]
- Teng, J.G.; Huang, Y.L.; Lam, L. Theoretical model for fiber-reinforced polymer-confined concrete. J. Compos. Constr. 2007, 11, 201–211. [Google Scholar] [CrossRef]
- Lim, J.C.; Ozbakkaloglu, T. Lateral strain-to-axial strain relationship of confined concrete. J. Struct. Eng. 2015, 141, 04014141. [Google Scholar] [CrossRef]
- Fuller, W.B.; Thompson, S.E. The laws of proportioning concrete. Trans. Am. Soc. Civ. Eng. 1907, 59, 7–143. [Google Scholar] [CrossRef]
- Wriggers, P.; Moftah, S.O. Mesoscale models for concrete: Homogenization and damage behavior. Finite Elem. Anal. Des. 2006, 42, 623–636. [Google Scholar] [CrossRef]
- Gal, E.; Ganz, A.; Hadad, L. Development of a concrete unit cell. Int. J. Multiscale Comp. 2008, 6, 499–510. [Google Scholar] [CrossRef]
- Shahbeyk, S.; Hosseini, M.; Yaghoobi, M. Mesoscale finite element prediction of concrete failure. Comput. Mater. Sci. 2011, 50, 1973–1990. [Google Scholar] [CrossRef]
- Jin, L.; Xia, H.; Jiang, X. Size effect on shear failure of CFRP-strengthened concrete beams without web reinforcement: Meso-scale simulation and formulation. Compos. Struct. 2020, 236, 11895. [Google Scholar] [CrossRef]
- Donza, H.; Cabrera, O.; Irassar, E.F. High-strength concrete with different fine aggregate. Cem. Concr. Res. 2002, 32, 1755–1761. [Google Scholar] [CrossRef]
- Meddah, M.S.; Zitouni, S.; Belaabes, S. Effect of content and particle size distribution of coarse aggregate on the compressive strength of concrete. Constr. Build. Mater. 2010, 24, 505–512. [Google Scholar] [CrossRef]
- Jin, L.; Yu, W.; Du, X. Meso-scale simulation of size effect on concrete dynamic splitting tensile strength: Influence of aggregate content and maximum aggregate size. Eng. Fract. Mech. 2020, 230, 106979. [Google Scholar] [CrossRef]
- Kim, S.M.; Al-Rub, R.K.A. Meso-scale computational modeling of the plastic-damage response of cementitious composites. Cem. Concr. Res. 2011, 41, 339–358. [Google Scholar] [CrossRef]
- Song, Z.; Lu, Y. Mesoscopic analysis of concrete under excessively high strain rate compression and implications on the interpretation of test data. Int. J. Impact Eng. 2012, 46, 41–55. [Google Scholar] [CrossRef]
- Jin, L.; Yu, W.; Du, X. Mesoscopic numerical simulation of dynamic size effect on the splitting tensile strength of concrete. Eng. Frac. Mech. 2019, 209, 317–332. [Google Scholar] [CrossRef]
- Jin, L.; Chen, H.; Wang, Z. Size effect on axial compressive failure of CFRP-wrapped square concrete columns: Tests and simulations. Compos. Struct. 2020, 254, 112843. [Google Scholar] [CrossRef]
- Lubliner, J.; Oliver, J.; Oller, S. A plastic-damage model for concrete. Int. J. Solids Struct. 1989, 25, 299–326. [Google Scholar] [CrossRef]
- Lee, J.; Fenves, G.L. Plastic-damage model for cyclic loading of concrete structures. J. Eng. Mech. 1998, 124, 892–900. [Google Scholar] [CrossRef]
- Cao, M. Research on damage plastic calculation method of ABAQUS concrete damaged plasticity model. Transp. Stand. 2012, 2, 51–54. [Google Scholar]
- Tian, L.; Hou, J. Reasonable plastic damaged factor of concrete damaged plastic model of ABAQUS. J. Hubei Univ. (Nat. Sci.) 2015, 37, 340–347. [Google Scholar]
- Yao, F.; Guan, Q.; Wang, P. Simulation analysis of damage factor based on ABAQUS damage plasticity model. Struct. Eng. 2019, 35, 76–81. [Google Scholar]
- Grote, D.L.; Park, S.W.; Zhou, M. Dynamic behavior of concrete at high strain rates and pressures: Experimental characterization. Int. J. Impact Eng. 2001, 25, 869–886. [Google Scholar] [CrossRef]
- Su, J. The Research on the Size Effect of Concrete Behavior in Compression and Tension. Hunan: Hunan University 2013. Available online: https://kns.cnki.net/kcms/detail/detail.aspx?dbcode=CDFD&dbname=CDFD1214&filename=1013348096.nh&uniplatform=NZKPT&v=SIF9m1fDwexpnbE4w2N6m5P5aeKE8AWXCZifpfHgEbdPdOzGZlGihSf10XAXu1v3 (accessed on 20 March 2022). (In Chinese).
- Xiao, J.; Li, W.; Corr, D.J. Effects of interfacial transition zones on the stress-strain behavior of modeled recycled aggregate concrete. Cem. Concr. Res. 2013, 52, 82–99. [Google Scholar] [CrossRef]
- Guo, Z.H.; Zhang, X.Q.; Zhang, D.C. Experimental investigation of the complete stress-strain curve of concrete. J. Build. Struct. 1982, 1, 1–12. [Google Scholar]
- Chen, P.; Liu, J.X.; Cui, X.M.; Si, S.P. Mesoscale analysis of concrete under axial compression. Constr. Build. Mater. 2022, 337, 127580. [Google Scholar] [CrossRef]
- Huang, Y.J.; Yang, Z.J.; Chen, X.W. Monte Carlo simulations of mesoscale dynamic compressive behavior of concrete based on X-ray computed tomography images. Int. J. Impact Eng. 2016, 97, 102–115. [Google Scholar] [CrossRef]
- Jin, L.; Du, M.; Li, D. Effects of cross-section size and transverse rebar on the behavior of short squared RC columns under axial compression. Eng. Struct. 2017, 142, 223–239. [Google Scholar] [CrossRef]
- Imran, I.; Pantazopoulou, S.J. Experimental study of plain concrete under triaxial stress. ACI Struct. J. 1996, 93, 589–601. [Google Scholar] [CrossRef]
- Sefer, D.; Carol, I.; Gettu, R.; Etse, G. Study of the behavior of concrete under triaxial compression. J. Eng. Mech. 2002, 128, 156–163. [Google Scholar] [CrossRef]
- Candappa, D.C.; Sanjayan, J.G.; Setunge, S. Complete triaxial stress-strain curves of high-strength concrete. J. Mater. Civ. Eng. 2001, 13, 209–215. [Google Scholar] [CrossRef]
- Lahlou, K.; Aitcin, P.C.; Chaallal, O. Behavior of high-strength concrete under confined stress. Cem. Concr. Compos. 1992, 14, 185–193. [Google Scholar] [CrossRef]
- Lu, X.; Hsu, C.T.T. Stress-strain relations of high-strength concrete under triaxial compression. J. Mater. Civil Eng. 2007, 19, 261–268. [Google Scholar] [CrossRef]
- Spoelstra, M.R.; Monti, G. FRP-confined concrete model. J. Compos. Constr. 1999, 3, 143–150. [Google Scholar] [CrossRef]
- Marques, S.P.; Marques, D.C.; Siva, J.; Cavalcante, M.A. Model for analysis of short columns of concrete confined by fiber-reinforced polymer. J. Compos. Constr. 2004, 8, 332–340. [Google Scholar] [CrossRef]












Publisher’s Note: MDPI stays neutral with regard to jurisdictional claims in published maps and institutional affiliations. |
© 2022 by the authors. Licensee MDPI, Basel, Switzerland. This article is an open access article distributed under the terms and conditions of the Creative Commons Attribution (CC BY) license (https://creativecommons.org/licenses/by/4.0/).
Share and Cite
Chen, P.; Cui, X.; Zheng, H.; Si, S. Mesoscale Study on Dilation Behavior of Plain Concrete under Axial Compression. Buildings 2022, 12, 908. https://doi.org/10.3390/buildings12070908
Chen P, Cui X, Zheng H, Si S. Mesoscale Study on Dilation Behavior of Plain Concrete under Axial Compression. Buildings. 2022; 12(7):908. https://doi.org/10.3390/buildings12070908
Chicago/Turabian StyleChen, Peng, Xiaomeng Cui, Huijun Zheng, and Shengpu Si. 2022. "Mesoscale Study on Dilation Behavior of Plain Concrete under Axial Compression" Buildings 12, no. 7: 908. https://doi.org/10.3390/buildings12070908
APA StyleChen, P., Cui, X., Zheng, H., & Si, S. (2022). Mesoscale Study on Dilation Behavior of Plain Concrete under Axial Compression. Buildings, 12(7), 908. https://doi.org/10.3390/buildings12070908
