Considering Consumers’ Green Preferences and Government Subsidies in the Decision Making of the Construction and Demolition Waste Recycling Supply Chain: A Stackelberg Game Approach
Abstract
:1. Introduction
2. Literature Review
2.1. CDW Management
2.2. Consumer Behavior Theory
2.3. Closed-Loop Supply Chain under Government Subsidies
3. Problem Description and Associated Assumptions
3.1. Model Assumptions
- (1)
- Manufacturers of building materials produce two products: new products of building materials and remanufactured products of CDW. The unit production cost of new products is , the unit production cost of CDW remanufactured products is , the unit cost of recycling CDW is b, and .
- (2)
- Due to the different raw materials used for production, the two products are substitutes for each other and there are differences in quality, which is in line with reality. A retailer of building materials wholesales new products from manufacturers at a unit price and sells them to consumers at a unit price , and wholesales remanufactured products at a unit price , and sells the remanufactured products at a unit price to consumers. It follows that , and , .
- (3)
- In order to stimulate consumer purchases, building materials manufacturers need to invest in green product research and development by purchasing new equipment or technological innovation. It is assumed that there is a quadratic function between the manufacturer’s green product development cost and product green degree (g) [51,52]; that is, [53], where is the green product development cost coefficient.
- (4)
- (5)
- There is a Stackelberg game relationship between building materials manufacturers and retailers, in which the manufacturer is the game leader and the retailer is the game follower. Both the manufacturer and the retailer are risk neutral and information symmetric.
3.2. Demand Function
4. Model Building and Solving
4.1. Without Government Subsidies
4.1.1. Decentralized Decision Model (N Model)
4.1.2. Centralized Decision Model
4.2. With Government Subsidies
4.2.1. Decentralized Decision Model (VR Model)
4.2.2. Centralized Decision Model
5. Model Analysis
- (1)
- .
- (2)
- When , that is,;When , that is, .
- (1)
- , that is, .
- (2)
- . According to Lemma 1, , ; thus, when , ; when , . □
- (1)
- .
- (2)
- When, that is, ;When, that is,
- (1)
- , that is, .
- (2)
- . According to Lemma 1, , ; thus, when , ; when , . □
- (1)
- . , then, is positively correlated with and negatively correlated with
- (2)
- . Evidently, requires , and requires .
- (3)
- . , then, is positively correlated with and negatively correlated with .
- (4)
- . Evidently, requires , and requires .
- (5)
- , then, is negatively correlated with . □
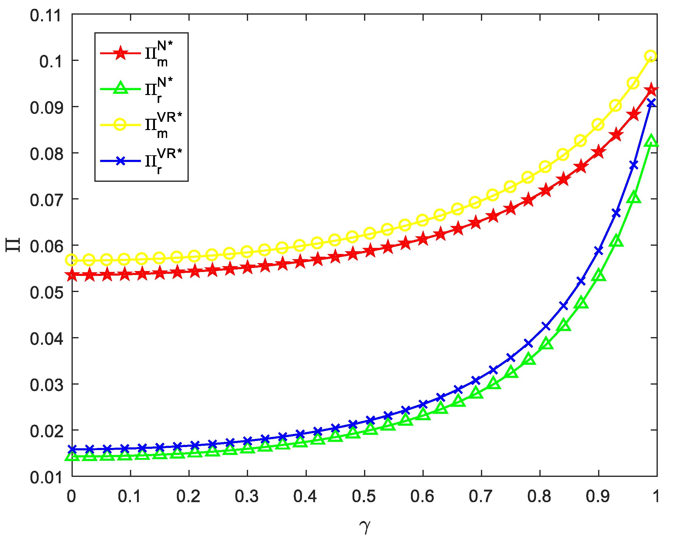
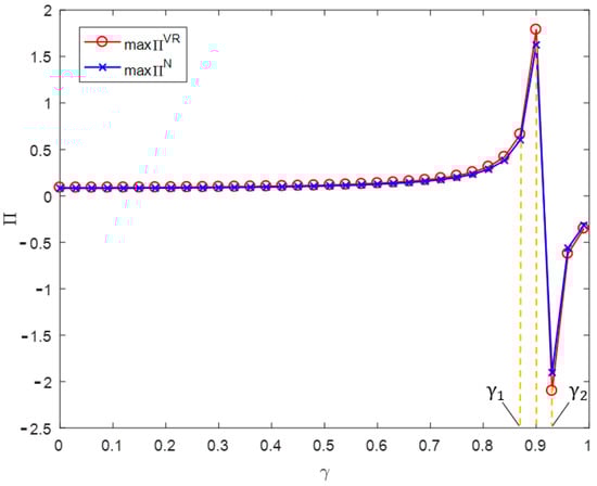
6. Numerical Simulation and Discussion
7. Conclusions and Implications
7.1. Conclusions
7.2. Implications
- (1)
- For building materials manufacturers and retailers, the degree of consumer green preferences in the CDW resource utilization market should be clarified, so as to choose whether to centralize or decentralize decision making. When choosing centralized decision making, both manufacturers and retailers need to formulate a coordinated plan for common benefits and costs, with the goal of maximizing the benefits of the entire CDW resource utilization supply chain. When choosing decentralized decision making, the goal of both parties should be to maximize their own interests. In conclusion, under different consumer green preferences, choosing different decision-making models is not only beneficial to improving the total profit of the CDW resource utilization supply chain, but also to improving the CDW reuse rate.
- (2)
- For the government, in order to promote the efficient and sustainable development of the CDW resource utilization industry, relevant subsidy policies should be formulated to stimulate the total profit of the supply chain. When consumers’ green preferences are low, subsidies for CDW remanufactured products are increased; when consumers’ green preferences are high, subsidies for CDW remanufactured products can be appropriately reduced to reduce consumer losses. At the same time, the government can also subsidize consumers who buy CDW remanufactured products to increase the sales of CDW remanufactured products, thereby improving the utilization rate of CDW resources.
Author Contributions
Funding
Institutional Review Board Statement
Informed Consent Statement
Data Availability Statement
Conflicts of Interest
References
- Banias, G.; Achillas, C.; Vlachokostas, C.; Moussiopoulos, N.; Papaioannou, I. A web-based Decision Support System for the optimal management of construction and demolition waste. Waste Manag. 2011, 31, 2497–2502. [Google Scholar] [CrossRef] [PubMed]
- Chen, M.; Liu, W.; Tao, X. Evolution and assessment on China’s urbanization 1960–2010: Under-urbanization or over-urbanization? Habitat Int. 2013, 38, 25–33. [Google Scholar] [CrossRef]
- Duan, H.; Miller, T.R.; Liu, G.; Tam, V.W. Construction debris becomes growing concern of growing cities. Waste Manag. 2019, 83, 1–5. [Google Scholar] [CrossRef] [PubMed]
- Erlandsson, M.; Levin, P. Environmental assessment of rebuilding and possible performance improvements effect on a national scale. Build. Environ. 2005, 40, 1459–1471. [Google Scholar] [CrossRef]
- Jain, P.; Powell, J.; Tolaymat, T. Methodology to Estimate the Quantity Composition, and Management of Construction and Demolition Debris in the United States; US Environmental Protection Agency: Washington, DC, USA, 2015.
- Ajayi, S.O.; Oyedele, L.O.; Akinade, O.O.; Bilal, M.; Owolabi, H.A.; Alaka, H.A.; Kadiri, K.O. Reducing waste to landfill: A need for cultural change in the UK construction industry. J. Build. Eng. 2016, 5, 185–193. [Google Scholar] [CrossRef]
- Zheng, L.; Wu, H.; Zhang, H.; Duan, H.; Wang, J.; Jiang, W.; Dong, B.; Liu, G.; Zuo, J.; Song, Q. Characterizing the generation and flows of construction and demolition waste in China. Constr. Build. Mater. 2017, 136, 405–413. [Google Scholar] [CrossRef] [Green Version]
- Esa, M.R.; Halog, A.; Rigamonti, L. Developing strategies for managing construction and demolition wastes in Malaysia based on the concept of circular economy. J. Mater. Cycles Waste Manag. 2017, 19, 1144–1154. [Google Scholar] [CrossRef]
- Oliveira, T.C.; Dezen, B.G.; Possan, E. Use of concrete fine fraction waste as a replacement of Portland cement. J. Clean. Prod. 2020, 273, 123126. [Google Scholar] [CrossRef]
- Widhiawati, I.A.R.; Astana, I.N.Y.; Indrayani, N.L.A. An analysis of building construction waste in Badung, Bali. In Proceedings of the MATEC Web of Conferences, Bali, Indonesia, 24–25 October 2018; EDP Sciences: Les Ulis, France, 2019; Volume 276, p. 02010. [Google Scholar]
- Genc, T.S.; De Giovanni, P. Trade-in and save: A two-period closed-loop supply chain game with price and technology dependent returns. Int. J. Prod. Econ. 2017, 183, 514–527. [Google Scholar] [CrossRef] [Green Version]
- Poon, C.S.; Chan, D. The use of recycled aggregate in concrete in Hong Kong. Resour. Conserv. Recycl. 2007, 50, 293–305. [Google Scholar] [CrossRef]
- Ling, Y.Y.; Leo, K.C. Reusing timber formwork: Importance of workmen’s efficiency and attitude. Build. Environ. 2000, 35, 135–143. [Google Scholar] [CrossRef]
- Tam, V.W. On the effectiveness in implementing a waste-management-plan method in construction. Waste Manag. 2008, 28, 1072–1080. [Google Scholar] [CrossRef] [PubMed] [Green Version]
- Abanda, F.H.; Tah, J.H.M.; Cheung, F.K.T. Mathematical modelling of embodied energy, greenhouse gases, waste, time–cost parameters of building projects: A review. Build. Environ. 2013, 59, 23–37. [Google Scholar] [CrossRef]
- Wu, Z.; Ann, T.W.; Shen, L.; Liu, G. Quantifying construction and demolition waste: An analytical review. Waste Manag. 2014, 34, 1683–1692. [Google Scholar] [CrossRef] [PubMed]
- Chitra, K. In search of the green consumers: A perceptual study. J. Serv. Res. 2007, 7, 173–191. [Google Scholar]
- Chen, X.; Wang, X.; Zhou, M. Firms’ green R&D cooperation behaviour in a supply chain: Technological spillover, power and coordination. Int. J. Prod. Econ. 2019, 218, 118–134. [Google Scholar]
- Modak, N.M.; Ghosh, D.K.; Panda, S.; Sana, S.S. Managing green house gas emission cost and pricing policies in a two-echelon supply chain. CIRP J. Manuf. Sci. Technol. 2018, 20, 1–11. [Google Scholar] [CrossRef]
- Qin, Q.; Jiang, M.; Xie, J.; He, Y. Game analysis of environmental cost allocation in green supply chain under fairness preference. Energy Rep. 2021, 7, 6014–6022. [Google Scholar] [CrossRef]
- Zhao, J.; Sun, N. Government subsidies-based profits distribution pattern analysis in closed-loop supply chain using game theory. Neural Comput. Appl. 2020, 32, 1715–1724. [Google Scholar] [CrossRef]
- Zhang, X.; Li, Q.; Qi, G. Decision-making of a dual-channel closed-loop supply chain in the context government policy: A dynamic game theory. Discret. Dyn. Nat. Soc. 2020, 2020, 2313698. [Google Scholar] [CrossRef]
- Ilyas, S.; Hu, Z.; Wiwattanakornwong, K. Unleashing the role of top management and government support in green supply chain management and sustainable development goals. Environ. Sci. Pollut. Res. 2020, 27, 8210–8223. [Google Scholar] [CrossRef] [PubMed]
- Louis, G.E. A historical context of municipal solid waste management in the United States. Waste Manag. Res. 2004, 22, 306–322. [Google Scholar] [CrossRef] [PubMed]
- Li, L.; Jiang, T.; Chen, B.; Wen, J.; Yang, G. Integrated Utilization of Vanadium-Titanium Magnetite Tailings for Synthesis of Lightweight Foamed Ceramics: Effect of Chemical Composition on the Properties and Phase Evolution. J. Sustain. Metall. 2022, 8, 646–657. [Google Scholar] [CrossRef]
- Brown, S. An interview with Wickham Skinner, emeritus professor at harvard business school. Int. J. Oper. Prod. Manag. 2013, 33, 104–110. [Google Scholar] [CrossRef]
- Nguyen, H.P.; Mueller, A.; Nguyen, C.T. Development and characterization of lightweight aggregate recycled from construction and demolition waste mixed with other industrial by-products. Constr. Build. Mater. 2021, 313, 125472. [Google Scholar] [CrossRef]
- Wu, H.; Zuo, J.; Zillante, G.; Wang, J.; Yuan, H. Status quo and future directions of construction and demolition waste research: A critical review. J. Clean. Prod. 2019, 240, 118163. [Google Scholar] [CrossRef]
- Kabirifar, K.; Mojtahedi, M.; Wang, C.C. A systematic review of construction and demolition waste management in Australia: Current practices and challenges. Recycling 2021, 6, 34. [Google Scholar] [CrossRef]
- Mohammed, M.; Shafiq, N.; Al-Mekhlafi, A.B.A.; Rashed, E.F.; Khalil, M.H.; Zawawi, N.A.; Muhammad, A.; Sadis, A.M. The Mediating Role of Policy-Related Factors in the Relationship between Practice of Waste Generation and Sustainable Construction Waste Minimisation: PLS-SEM. Sustainability 2022, 14, 656. [Google Scholar] [CrossRef]
- Sun, H.; Wan, Y.; Zhang, L.; Zhou, Z. Evolutionary game of the green investment in a two-echelon supply chain under a government subsidy mechanism. J. Clean. Prod. 2019, 235, 1315–1326. [Google Scholar] [CrossRef]
- Li, X.; Huang, R.; Dai, J.; Li, J.; Shen, Q. Research on the evolutionary game of construction and demolition waste (CDW) recycling units’ green behavior, considering remanufacturing capability. Int. J. Environ. Res. Public Health 2021, 18, 9268. [Google Scholar] [CrossRef]
- Hu, Q.; Su, P.; Xiong, F. Dynamic game strategies for construction and demolition waste recycling with learning and reference effects. Environ. Impact Assess. Rev. 2021, 89, 106592. [Google Scholar] [CrossRef]
- Zheng, H.; Li, X.; Zhu, X.; Huang, Y.; Liu, Z.; Liu, Y.; Liu, J.; Li, X.; Li, Y.; Li, C. Impact of Recycler Information Sharing on Supply Chain Performance of Construction and Demolition Waste Resource Utilization. Int. J. Environ. Res. Public Health 2022, 19, 3878. [Google Scholar] [CrossRef] [PubMed]
- Li, D.; Peng, Y.; Guo, C.; Tan, R. Pricing strategy of construction and demolition waste considering retailer fairness concerns under a governmental regulation environment. Int. J. Environ. Res. Public Health 2019, 16, 3896. [Google Scholar] [CrossRef] [PubMed] [Green Version]
- Michael, R.T.; Becker, G.S. On the new theory of consumer behavior. Swed. J. Econ. 1973, 75, 378–396. [Google Scholar] [CrossRef]
- Oduro, S.; Maccario, G.; De Nisco, A. Green innovation: A multidomain systematic review. Eur. J. Innov. Manag. 2021, 25, 567–591. [Google Scholar] [CrossRef]
- He, J.; Lei, Y.; Fu, X. Do consumer’s green preference and the reference price effect improve green innovation? A theoretical model using the food supply chain as a case. Int. J. Environ. Res. Public Health 2019, 16, 5007. [Google Scholar] [CrossRef] [Green Version]
- Xu, Y.; Xie, H. Consumer environmental awareness and coordination in closed-loop supply chain. Open J. Bus. Manag. 2016, 4, 427. [Google Scholar] [CrossRef] [Green Version]
- Abbey, J.D.; Meloy, M.G.; Guide, V.D.R., Jr.; Atalay, S. Remanufactured products in closed-loop supply chains for consumer goods. Prod. Oper. Manag. 2015, 24, 488–503. [Google Scholar] [CrossRef]
- Alam-Tabriz, A.; Rajabani, N.; Farrokh, M. An integrated fuzzy DEMATEL-ANP-TOPSIS methodology for supplier selection problem. Glob. J. Manag. Stud. Res. 2014, 1, 85–99. [Google Scholar]
- Shooshtarian, S.; Maqsood, T.; Khalfan, M.; Yang, R.J.; Wong, P. Landfill levy imposition on construction and demolition waste: Australian stakeholders’ perceptions. Sustainability 2020, 12, 4496. [Google Scholar] [CrossRef]
- Mak, T.M.; Iris, K.M.; Wang, L.; Hsu, S.C.; Tsang, D.C.; Li, C.N.; Yeung, T.L.; Zhang, R.; Poon, C.S. Extended theory of planned behaviour for promoting construction waste recycling in Hong Kong. Waste Manag. 2019, 83, 161–170. [Google Scholar] [CrossRef] [PubMed]
- Yang, D.; Xiao, T. Pricing and green level decisions of a green supply chain with governmental interventions under fuzzy uncertainties. J. Clean. Prod. 2017, 149, 1174–1187. [Google Scholar] [CrossRef]
- Chemama, J.; Cohen, M.C.; Lobel, R.; Perakis, G. Consumer subsidies with a strategic supplier: Commitment vs. flexibility. Manag. Sci. 2019, 65, 681–713. [Google Scholar] [CrossRef] [Green Version]
- Li, Z.; Zhang, J.; Meng, Q.; Zheng, W.; Du, J. Influence of government subsidy on remanufacturing decision under different market models. Math. Probl. Eng. 2019, 2019, 9460315. [Google Scholar] [CrossRef] [Green Version]
- He, P.; He, Y.; Xu, H. Channel structure and pricing in a dual-channel closed-loop supply chain with government subsidy. Int. J. Prod. Econ. 2019, 213, 108–123. [Google Scholar] [CrossRef]
- Huang, Y.; Liang, Y. Exploring the strategies of online and offline recycling channels in closed-loop supply chain under government subsidy. Environ. Sci. Pollut. Res. 2022, 29, 21591–21602. [Google Scholar] [CrossRef] [PubMed]
- Barman, A.; Das, R.; De, P.K.; Sana, S.S. Optimal pricing and greening strategy in a competitive green supply chain: Impact of government subsidy and tax policy. Sustainability 2021, 13, 9178. [Google Scholar] [CrossRef]
- Yu, Y.; Han, X.; Hu, G. Optimal production for manufacturers considering consumer environmental awareness and green subsidies. Int. J. Prod. Econ. 2016, 182, 397–408. [Google Scholar] [CrossRef] [Green Version]
- Ghosh, D.; Shah, J. A comparative analysis of greening policies across supply chain structures. Int. J. Prod. Econ. 2012, 135, 568–583. [Google Scholar] [CrossRef]
- Swami, S.; Shah, J. Channel coordination in green supply chain management. J. Oper. Res. Soc. 2013, 64, 336–351. [Google Scholar] [CrossRef]
- Li, B.; Zhu, M.; Jiang, Y.; Li, Z. Pricing policies of a competitive dual-channel green supply chain. J. Clean. Prod. 2016, 112, 2029–2042. [Google Scholar] [CrossRef]
- Bakal, I.S.; Akcali, E. Effects of random yield in remanufacturing with price-sensitive supply and demand. Prod. Oper. Manag. 2006, 15, 407–420. [Google Scholar] [CrossRef]
- Hong, I.H.; Lee, Y.T.; Chang, P.Y. Socially optimal and fund-balanced advanced recycling fees and subsidies in a competitive forward and reverse supply chain. Resour. Conserv. Recycl. 2014, 82, 75–85. [Google Scholar] [CrossRef]
- Ferrer, G.; Swaminathan, J.M. Managing new and differentiated remanufactured products. Eur. J. Oper. Res. 2010, 203, 370–379. [Google Scholar] [CrossRef] [Green Version]
- Chen, X.; Cao, J.; Kumar, S. Government regulation and enterprise decision in China remanufacturing industry: Evidence from evolutionary game theory. Energy Ecol. Environ. 2021, 6, 148–159. [Google Scholar] [CrossRef] [PubMed]
- Long, X.; Ge, J.; Shu, T.; Liu, Y. Analysis for recycling and remanufacturing strategies in a supply chain considering consumers’ heterogeneous WTP. Resour. Conserv. Recycl. 2019, 148, 80–90. [Google Scholar] [CrossRef]
- Liu, Z.L.; Anderson, T.D.; Cruz, J.M. Consumer environmental awareness and competition in two-stage supply chains. Eur. J. Oper. Res. 2012, 218, 602–613. [Google Scholar] [CrossRef]
- Zhan, S.; Shu, Z.; Jiang, H. Research on two-echelon green supply chain decision under government subsidy. Am. J. Ind. Bus. Manag. 2018, 8, 487–495. [Google Scholar] [CrossRef] [Green Version]





| Research Topics | Dimensions | Source Papers |
|---|---|---|
| CDW management | The vast majority of CDW can technically be converted into new building materials. | [27] |
| The impact of CDW management stakeholders’ behavior and economic incentives on CDW management | [28,29,30] | |
| Research on CDW management from the perspective of supply chain operation | [31] | |
| Decision-making behavior of recycling units and CDW remanufacturers under the evolutionary game | [32] | |
| The decision and profit of the CDW resource utilization supply chain under the Stackelberg model | [33,34,35] | |
| Consumer behavior theory | On the new theory of consumer behavior | [36] |
| Consumer green preferences improve green innovation | [37,38] | |
| Consumer environmental awareness and coordination in the closed-loop supply chain | [39] | |
| Dual-channel green supply chain pricing policy considering consumers’ green preferences | [40] | |
| Supply chain under government subsidies | The dominance of the government in recycling of CDW | [41] |
| Government subsidies stimulate recycling of CDW | [42,43] | |
| Research on the supply chain of government subsidized green products | [44,45] | |
| Research on the supply chain of government subsidized remanufactured products | [46,47,48] | |
| Research on consumer preferences and government subsidies on decisions and profits of supply chain members | [49,50] |
| Parameter | Definition |
|---|---|
| Consumer green preference coefficient. 0 ≤ γ ≤ 1 | |
| Unit price subsidy granted by the government for CDW remanufactured products. | |
| Recycling of CDW. | |
| Number of consumers with active recycling awareness. | |
| Sensitivity of consumer recycling attitudes to b changes. k | |
| Research and development effort coefficient of building materials manufacturers. | |
| b | Unit CDW recycling costs. |
| Manufacturing costs of new products of building materials. | |
| Manufacturing costs of CDW remanufactured products. | |
| Discount rate of value of remanufactured products relative to new products. | |
| Demand for new products of building materials. | |
| Demand for CDW remanufactured products. | |
| The profit of X under the Y model. X = m, r represent building materials manufacturers and retailers, respectively; Y = N, VR represent CDW remanufacturing, without and with government subsidies, respectively. | |
| Retail price of new products of building materials (decision variables). | |
| Retail price of CDW remanufactured products (decision variables). | |
| Wholesale price of new products of building materials (decision variables). | |
| Wholesale price of CDW remanufactured products (decision variables). | |
| Product green degree (decision variables). |
| N | |||||
|---|---|---|---|---|---|
| / | / | / | |||
| VR | |||||
|---|---|---|---|---|---|
| / | / | / | |||
| v |
| 0.7 | 0.6 | 0.4 | 0.5 | 0.2 | 0.6 | 0.3 | 0.25 |
Publisher’s Note: MDPI stays neutral with regard to jurisdictional claims in published maps and institutional affiliations. |
© 2022 by the authors. Licensee MDPI, Basel, Switzerland. This article is an open access article distributed under the terms and conditions of the Creative Commons Attribution (CC BY) license (https://creativecommons.org/licenses/by/4.0/).
Share and Cite
Han, Y.; Zheng, H.; Huang, Y.; Li, X. Considering Consumers’ Green Preferences and Government Subsidies in the Decision Making of the Construction and Demolition Waste Recycling Supply Chain: A Stackelberg Game Approach. Buildings 2022, 12, 832. https://doi.org/10.3390/buildings12060832
Han Y, Zheng H, Huang Y, Li X. Considering Consumers’ Green Preferences and Government Subsidies in the Decision Making of the Construction and Demolition Waste Recycling Supply Chain: A Stackelberg Game Approach. Buildings. 2022; 12(6):832. https://doi.org/10.3390/buildings12060832
Chicago/Turabian StyleHan, Yating, Haoxuan Zheng, Yicheng Huang, and Xingwei Li. 2022. "Considering Consumers’ Green Preferences and Government Subsidies in the Decision Making of the Construction and Demolition Waste Recycling Supply Chain: A Stackelberg Game Approach" Buildings 12, no. 6: 832. https://doi.org/10.3390/buildings12060832
APA StyleHan, Y., Zheng, H., Huang, Y., & Li, X. (2022). Considering Consumers’ Green Preferences and Government Subsidies in the Decision Making of the Construction and Demolition Waste Recycling Supply Chain: A Stackelberg Game Approach. Buildings, 12(6), 832. https://doi.org/10.3390/buildings12060832

