Reliability Analysis of Serviceability Limit State for Braced Excavation Considering Multiple Failure Modes in Spatially Variable Soil
Abstract
:1. Introduction
2. Methodology
2.1. Random Finite Element Analysis Method
2.2. Deterministic Finite Element Model
2.3. Modeling of Braced Excavation in Spatial Variability Soil
- (1)
- Establish a sample model of the random finite element method. Different from the deterministic model shown in Figure 1, the clay layer was divided into 560 regions, corresponding to random field elements. Meanwhile, the statistical characteristics of random fields are determined, such as the mean value (μ), Coefficient of variation (COV), correlation matrix R, and fluctuation of scale in horizontal and vertical directions (δx and δy).
- (2)
- Based on the statistical characters in step 1, generate two negative correlated random fields of cu and φ via MATLAB codes, from Equations (1)–(4). The random fields of cu or φ can be expressed as strength cloud charts (Figure 4).
- (3)
- Via batch file and command codes in PLAXIS 2D, automatically import the information of random fields into finite element mesh. Similarly, calculate the random finite element models automatically by batch files and PLAXIS codes.
- (4)
- Export response data of excavations into EXCEL by Python codes [37], such as wall deflection, ground settlement, basal heave, and bending moment of the diaphragm wall.
- (5)
- Using the response data in step 5, calculate single mode failure probability and system failure probability.

3. Effect of Spatial Variability on Responses of Braced Excavation
3.1. The Influence of COVcu and COVφ
3.2. The Influence of Vertical Fluctuation of Scale
3.3. Correlation Analysis of Excavation Responses
4. System Reliability Model Based on Serviceability Limit State
- (1)
- Compared with the Spearman correlation matrix, the Pearson matrix only describes the linear correlation of random variables. However, in the system reliability analysis of the underground pipe gallery, Fu et al. adopted the Pearson correlation factor to characterize the correlation between multiple failure modes [44,45].
- (2)
- On the other hand, there is no doubt that the Pearson correlation factor is available for normal distribution. Other distributions can be transformed into standard normal space via Nataf transformations. One important assumption of Nataf transformation is that the correlation between random variables will not change during Nataf transformation. Moreover, Nataf transformation is only available for the Pearson correlation factor. Therefore, the Pearson correlation factor is still the main method to characterize the correlation of random variables in system reliability analysis.
5. Discussion
- (1)
- For the Cholesky decomposition method, it was quicker and more accurate to generate random field samples compared to K-L expansion and local averaging. However, it is hard for Cholesky to generate random field samples with high correlation variables. For high correlation variables, coupling the variables with high correlation is an effective method.
- (2)
- It is noticeable that the function integral3 was adopted to calculate the triple integral. If the number of random variables is more than three, the function integral3 will not be available. However, the function mvncdf is available for more than three random variables.
- (3)
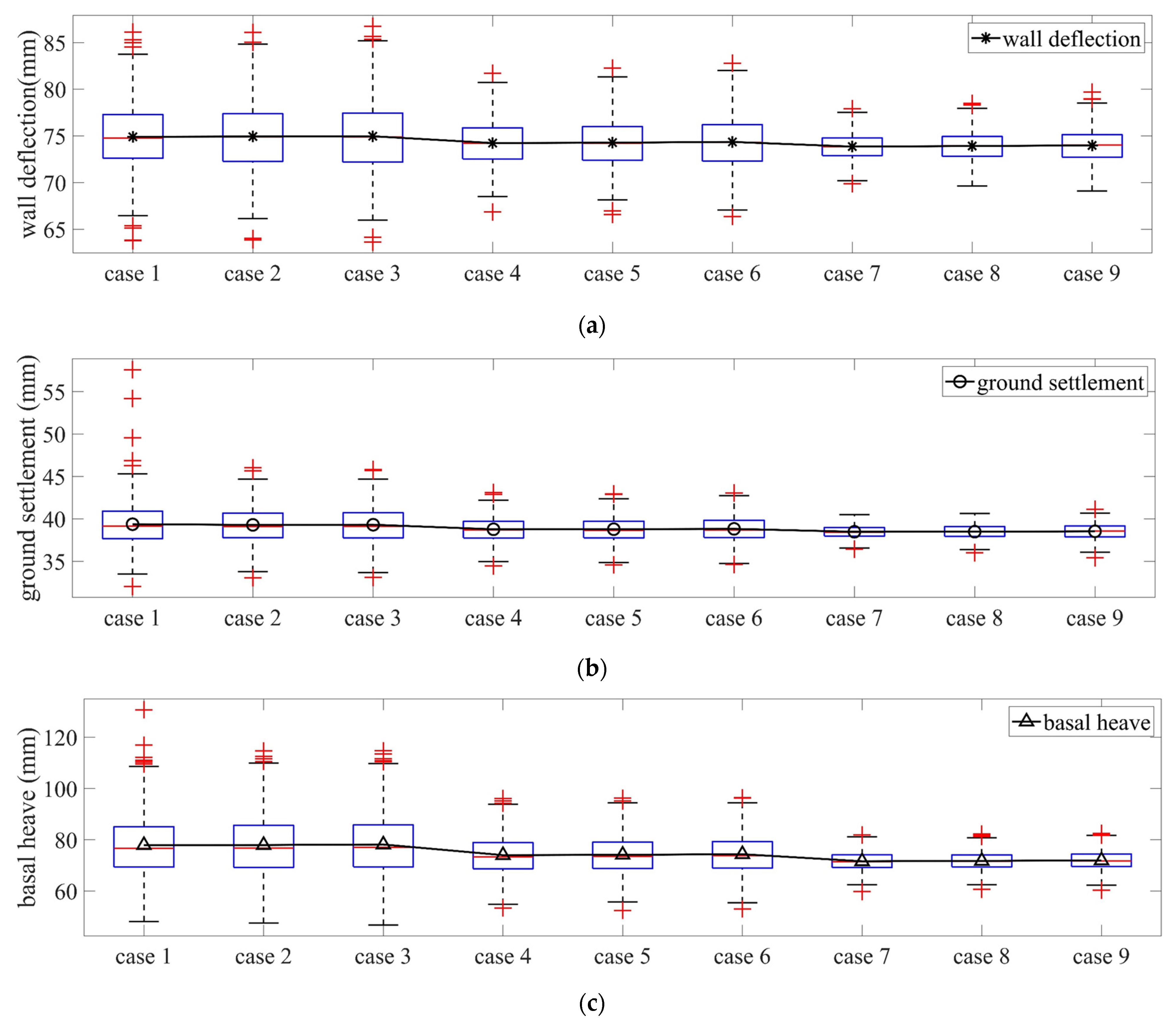
- With considering spatial variability of soil parameters, different failure modes will occur during deep excavation, such as wall deformation dominating and basal heave dominating. Different from the deterministic model, the deformation will be subject to elements with lower stiffness in the random finite element model [8]. The dominate deformation depends on the location of the lower stiffness elements. However, for geotechnical engineering, the real distribution of element stiffness is unknown. It is necessary to quantify the effect of uncertainty of soil parameters via reliability analysis.
- (4)
- From Table 4 and Figure 7, friction angle had little effect on failure probability and distribution of deformation responses. Similar conclusions were drawn from probabilistic analysis of vault settlement of tunnel [47]. Therefore, if the deformation index was chosen to evaluate failure probability, the spatial variability of elastic modulus should be considered first.
- (5)
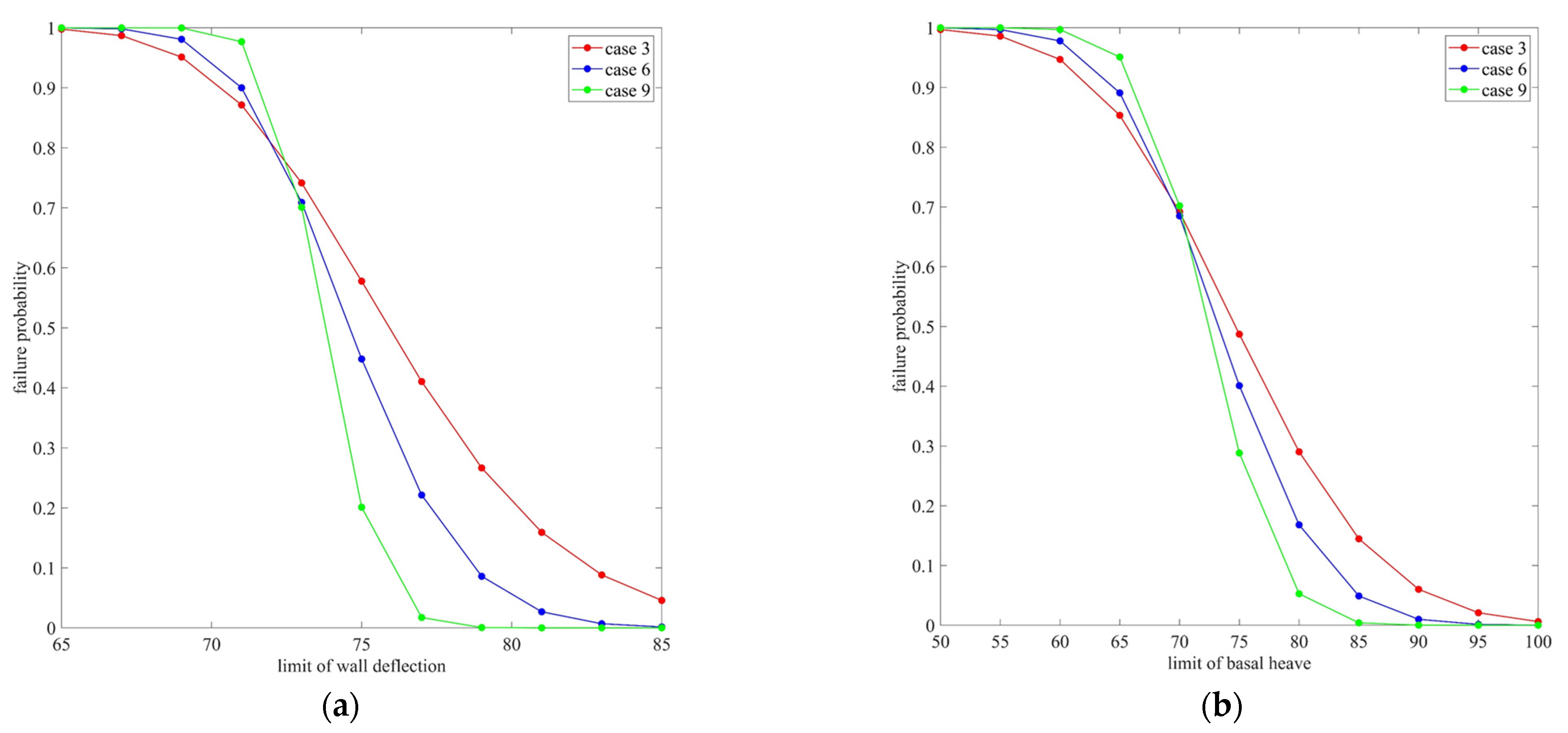
- For system reliability analysis, a key point is how to characterize the correlation between each failure mode. From Section 3.3 and Section 4, it is concluded that there is a certain correlation between failure modes. Due to the limitations of the Pearson correlation matrix and Nataf transformation, the multiple-dimensional log-normal distribution model is used to calculate system reliability, which is a convenient method.
- (6)
- In this study, it is verified that the spatial variability of soil has a great influence on excavation deformations. For practical engineering, it is necessary to decrease the negative influence. However, the information from the geological survey is not taken to good use. Conditional random field model is an efficient way to integrate the geological data into a random finite element model. How to develop a conditional random finite method and establish a comprehensive system reliability model will be significant for the next studies.
6. Conclusions
- (1)
- The spatial variability of soil parameters has a negative effect on the safety of deep excavation. Basal heave is more subjected to soil spatial variability than wall deflection and ground settlement. The distribution of deformations induced by excavation becomes wider with the growth of the scale of fluctuation.
- (2)
- Different from ultimate limit state analysis, the deformation responses induced by excavations are more sensitive to elastic modulus and soil cohesion than friction angle. In addition, the high uncertainty of soil properties would entail different failure modes such as wall deflection dominating and basal heave dominating.
- (3)
- The responses of excavation, such as the deflection of the wall, ground settlement, and basal heave, basically follow log-normal distribution via KS-test and SW-test. The fitted probabilistic density functions can be used to carry out reliability analysis, which is an efficient method. Via Latin hypercube sampling technique and K-S test, fewer samples are needed to estimate failure probabilities than in Mote Carlo simulations.
- (4)
- The multiple lognormal probabilistic density function is a convenient method to describe the correlation between failure modes and calculate the system reliability of deep excavation. System failure probability is usually lower than single failure probabilities. The system failure probability is sensitive to the design level of excavation. It is necessary to determine the design level based on the geometry size of excavation, geological conditions, and surrounding building environment.
Author Contributions
Funding
Data Availability Statement
Conflicts of Interest
Appendix A
| Case Number | Wall Deflection (mm) | Ground Settlement (mm) | Basal Heave (mm) | |||
|---|---|---|---|---|---|---|
| μ | COV | μ | COV | μ | COV | |
| 1 | 74.91 | 4.778% | 39.38 | 6.644% | 77.95 | 15.657% |
| 2 | 74.94 | 4.858% | 39.30 | 5.559% | 77.97 | 15.308% |
| 3 | 74.97 | 5.068% | 39.32 | 5.618% | 78.18 | 15.258% |
| 4 | 74.24 | 3.249% | 38.78 | 3.735% | 74.02 | 10.157% |
| 5 | 74.28 | 3.446% | 38.79 | 3.757% | 74.15 | 10.132% |
| 6 | 74.36 | 3.702% | 38.83 | 3.880% | 74.39 | 10.119% |
| 7 | 73.86 | 1.838% | 38.49 | 1.933% | 71.63 | 5.026% |
| 8 | 73.92 | 2.139% | 38.50 | 2.148% | 71.78 | 5.031% |
| 9 | 73.99 | 2.481% | 38.54 | 2.477% | 71.98 | 5.048% |
| 10 | 74.79 | 3.434% | 39.12 | 3.767% | 77.51 | 11.188% |
| 11 | 75.21 | 6.789% | 39.54 | 7.437% | 78.77 | 18.279% |
| 12 | 75.45 | 8.697% | 39.76 | 9.355% | 79.05 | 20.696% |
| 13 | 75.76 | 11.001% | 39.97 | 11.564% | 79.38 | 22.888% |
| 14 | 75.91 | 12.127% | 40.08 | 12.734% | 79.57 | 23.388% |
References
- Phoon, K.K.; Kulhawy, F.H. Characterization of geotechnical variability. Can. Geotech. J. 1999, 36, 612–624. [Google Scholar] [CrossRef]
- Phoon, K.K.; Kulhawy, F.H. Evaluation of geotechnical property variability. Can. Geotech. J. 1999, 36, 625–639. [Google Scholar] [CrossRef]
- Vanmarcke, E.H. Random Fields: Analysis and Synthesis; MIT Press: Cambridge, MA, USA, 1983. [Google Scholar]
- Goh, A.T.C.; Zhang, W.G.; Wong, K.S. Deterministic and reliability analysis of basal heave stability for excavation in spatial variable soils. Comput. Geotech. 2019, 108, 152–160. [Google Scholar] [CrossRef]
- Chen, F.Y.; Wang, L.; Zhang, W.G. Reliability assessment on stability of tunnelling perpendicularly beneath an existing tunnel considering spatial variabilities of rock mass properties. Tunn. Undergr. Sp. Technol. 2019, 88, 276–289. [Google Scholar] [CrossRef]
- Phoon, K.K.; Huang, S.P.; Quek, S.T. Simulation of second-order processes using Karhunen-Loeve expansion. Comput. Struct. 2002, 80, 1049–1060. [Google Scholar] [CrossRef]
- Fenton, G.A.; Griffiths, D.V. Bearing-capacity prediction of spatially random c-ϕ soils. Can. Geotech. J. 2003, 40, 54–65. [Google Scholar] [CrossRef]
- Griffiths, D.V.; Fenton, G.A. Probabilistic Settlement analysis by stochastic and random finite-element methods. J. Geotech. Geoenviron. 2009, 135, 1629–1637. [Google Scholar] [CrossRef]
- Cho, S.E. Probabilistic assessment of slope stability that considers the spatial variability of soil properties. J. Geotech. Geoenviron. 2010, 136, 975–984. [Google Scholar] [CrossRef]
- Jiang, S.H.; Huang, J.S. Modeling of non-stationary random field of undrained shear strength of soil for slope reliability analysis. Soils Found. 2018, 58, 185–198. [Google Scholar] [CrossRef]
- Jiang, S.H.; Huang, J.S.; Huang, F.; Yang, J.; Yao, C.; Zhou, C.B. Modelling of spatial variability of soil undrained shear strength by conditional random fields for slope reliability analysis. Appl. Math. Model. 2018, 63, 374–389. [Google Scholar] [CrossRef]
- Johari, A.; Talebi, A. Stochastic Analysis of Rainfall-Induced Slope Instability and Steady-State Seepage Flow Using Random Finite-Element Method. Int. J. Geomech. 2019, 19, 04019085. [Google Scholar] [CrossRef]
- Johari, A.; Talebi, A. Stochastic Analysis of Piled-Raft Foundations Using the Random Finite-Element Method. Int. J. Geomech. 2021, 21, 04021020. [Google Scholar] [CrossRef]
- Zhao, Y.L.; Zhang, C.S.; Wang, Y.X.; Lin, H. Shear-related roughness classification and strength model of natural rock joint based on fuzzy comprehensive evaluation. Int. J. Rock Mech. Min. 2021, 137, 104550. [Google Scholar] [CrossRef]
- Zhao, Y.L.; Liu, Q.; Zhang, C.S.; Liao, J.; Lin, H.; Wang, Y.X. Coupled seepage-damage effect in fractured rock masses: Model development and a case study. Int. J. Rock Mech. Min. 2021, 144, 104822. [Google Scholar] [CrossRef]
- Zhao, Y.L.; Wang, Y.X.; Wang, W.J.; Tang, L.M.; Liu, Q.; Cheng, G.M. Modeling of rheological fracture behavior of rock cracks subjected to hydraulic pressure and far field stresses. Theor. Appl. Fract. Mech. 2019, 101, 59–66. [Google Scholar] [CrossRef]
- Lin, H.; Lei, D.X.; Zhang, C.S.; Wang, Y.X.; Zhao, Y.L. Deterioration of non-persistent rock joints: A focus on impact of freeze-thaw cycles. Int. J. Rock Mech. Min. 2020, 135, 104515. [Google Scholar] [CrossRef]
- Tang, Y.; Lin, H.; Wang, Y.X.; Zhao, Y.L. Rock slope stability analysis considering the effect of locked section. B. Eng. Geol. Environ. 2021, 80, 7241–7251. [Google Scholar] [CrossRef]
- Cheng, H.Z.; Chen, J.; Chen, R.P.; Chen, G.L.; Zhong, Y. Risk assessment of slope failure considering the variability in soil properties. Comput. Geotech. 2018, 103, 61–72. [Google Scholar] [CrossRef]
- Nguyen, T.S.; Likitlersuang, S. Influence of the Spatial Variability of Soil Shear Strength on Deep Excavation: A Case Study of a Bangkok Underground MRT Station. Int. J. Geomech. 2021, 21, 06020037. [Google Scholar] [CrossRef]
- Luo, Z.; Di, H.G.; Kamalzare, M.; Li, Y.X. Effects of soil spatial variability on structural reliability assessment in excavations. Undergr. Space. 2020, 5, 71–83. [Google Scholar] [CrossRef]
- Gong, W.P.; Juang, C.H.; Martin II, J.R. A new framework for probabilistic analysis of the performance of a supported excavation in clay considering spatial variability. Géotechnique 2017, 67, 546–552. [Google Scholar] [CrossRef]
- Gholampour, A.; Johari, A. Reliability-based analysis of braced excavation in unsaturated soils considering conditional spatial variability. Comput. Geotech. 2019, 115, 103163. [Google Scholar] [CrossRef]
- Goh, A.T.C. Deterministic and reliability assessment of basal heave stability for braced excavations with jet grout base slab. Eng. Geol. 2017, 218, 63–69. [Google Scholar] [CrossRef]
- Rouainia, M.; Elia, G.; Panayides, S.; Scott, P. Nonlinear finite-element prediction of the performance of a deep excavation in boston blue clay. J. Geotech. Geoenviron. 2017, 143, 04017005. [Google Scholar] [CrossRef] [Green Version]
- Zhang, W.G.; Goh, A.T.C.; Xuan, F. A simple prediction model for wall deflection caused by braced excavation in clays. Comput. Geotech. 2015, 63, 67–72. [Google Scholar] [CrossRef]
- Zhang, W.G.; Zhang, R.H.; Wang, W.; Zhang, F.; Goh, A.T.C. A multivariate adaptive regression splines model for determining horizontal wall deflection envelope for braced excavations in clays. Tunn. Undergr. Sp. Technol. 2019, 84, 461–471. [Google Scholar] [CrossRef]
- Zhang, W.G.; Zhang, R.H.; Wu, C.Z.; Goh, A.T.C.; Lacasse, S.; Liu, Z.Q.; Liu, H.L. State-of-the-art review of soft computing applications in underground excavations. Geosci. Front. 2020, 11, 1095–1106. [Google Scholar] [CrossRef]
- Zhang, R.H.; Wu, C.Z.; Goh, A.T.C.; Böhlke, T.; Zhang, W.G. Estimation of diaphragm wall deflections for deep braced excavation in anisotropic clays using ensemble learning. Geosci. Front. 2021, 12, 365–373. [Google Scholar] [CrossRef]
- Zhang, W.G.; Zhang, R.H.; Wu, C.Z.; Goh, A.T.C.; Wang, L. Assessment of basal heave stability for braced excavations in anisotropic clay using extreme gradient boosting and random forest regression. Undergr. Space. 2022, 7, 233–241. [Google Scholar] [CrossRef]
- Sun, J.B.; Tang, Y.C.; Wang, J.Q.; Wang, X.Y.; Wang, J.Q.; Yu, Z.M.; Cheng, Q.; Wang, Y.F. A multi-objective optimization approach for activity excitation of waste glass mortar. J. Mater. Restechol. 2022, 17, 2280–2304. [Google Scholar] [CrossRef]
- Sun, J.B.; Wang, X.Y.; Zhang, J.F.; Xiao, F.; Sun, Y.T.; Ren, Z.H.; Zhang, G.B.; Liu, S.K.; Wang, Y.F. Multi-objective optimization of a graphite-slag conductive composite applying a BAS-SVR based model. J. Build. Eng. 2022, 44, 103223. [Google Scholar] [CrossRef]
- Zhang, G.B.; Chen, C.F.; Li, K.F.; Xiao, F.; Sun, J.B.; Wang, Y.F.; Wang, X.Y. Multi-objective optimization design for GFRP tendon reinforced cemented soil. Constr. Build. Mater. 2022, 320, 126297. [Google Scholar] [CrossRef]
- Lu, W.; Wang, L.; Song, K.Z.; Sun, H.B.; Chen, D.M. Safety Evaluation of Anchoring-Grouting Rock-Support Interaction in Deep Underground Excavation Based on Support Vector Machine Learning. IJST-T. Civ. Eng. 2022; in press. [Google Scholar] [CrossRef]
- Momeni, E.; Poormoosavian, M.; Tehrani, H.S.; Fakher, A. Reliability analysis and risk assessment of deep excavations using random-set finite element method and event tree technique. Transp. Geotech. 2021, 29, 100560. [Google Scholar] [CrossRef]
- Zhang, S.H.; Li, Y.H.; Li, J.Z.; Liu, L.L. Reliability analysis of layered soil slopes considering different spatial autocorrelation structures. SN Appl. Sci. 2020, 10, 4029. [Google Scholar] [CrossRef]
- J Brinkgreve, R.B.; Kumarswamy, S.; Swolfs, W.M. PLAXIS 2D Manuals; PLAXIS Company: Amsterdam, The Netherlands, 2018. [Google Scholar]
- Ou, C.Y.; Hsieh, P.G.; Chiou, D.C. Characteristics of Ground Surface Settlement during Excavation. Can. Geotech. J. 1993, 30, 758–767. [Google Scholar] [CrossRef]
- Wang, Z.W.; Ng, C.W.W.; Liu, G.B. Characteristics of wall deflections and ground surface settlements in Shanghai. Can. Geotech. J. 2005, 42, 1243–1254. [Google Scholar] [CrossRef]
- Zhang, W.G.; Hong, L.Y.Q.; Li, Z.R.H.; Goh, A.T.C.; Liu, H.L. Effects of jet grouting slabs on responses for deep braced excavations. Undergr. Space. 2021, 6, 185–194. [Google Scholar] [CrossRef]
- Liu, X.; Wang, Y.; Li, D.Q. Investigation of slope failure mode evolution during large deformation in spatially variable soils by random limit equilibrium and material point methods. Comput. Geotech. 2019, 111, 301–312. [Google Scholar] [CrossRef]
- MHURD (Ministry of housing and urban rural development). Code for Design of Building Foundation (GB50007-2011); China Architecture & Building Press: Beijing, China, 2011. [Google Scholar]
- MHURD (Ministry of housing and urban rural development). Technical Specification for Retaining and Protection of Building Foundation Excavations (JGJ 120-2012); China Architecture & Building Press: Beijing, China, 2012. [Google Scholar]
- Fu, G.Y.; Yang, W.; Li, C.Q.; Shi, W.H. Reliability analysis of corrosion affected underground steel pipes considering multiple failure modes and their stochastic correlations. Tunn. Undergr. Sp. Technol. 2019, 87, 56–63. [Google Scholar] [CrossRef]
- Zhang, P.; Su, L.B.; Qin, G.J.; Kong, X.H.; Peng, Y. Failure probability of corroded pipeline considering the correlation of random variables. Eng. Fail. Anal. 2019, 99, 34–45. [Google Scholar] [CrossRef]
- Wang, Y. Reliability-based design of spread foundations by Monte Carlo simulations. Géotechnique 2011, 61, 677–685. [Google Scholar] [CrossRef]
- Huang, H.W.; Xiao, L.; Zhang, D.M.; Zhang, J. Influence of spatial variability of soil Young’s modulus on tunnel convergence in soft soils. Eng. Geol. 2017, 228, 357–370. [Google Scholar] [CrossRef]












| Stage | Construction | Parameter of Retaining Structural System | |
|---|---|---|---|
| EA (kN) | EI (kN·m2) | ||
| 1 | Initial confined consolidation | - | - |
| 2 | Activate diaphragm wall | 3 × 106 | 2.5 × 106 |
| 3 | Lower the ground water to GL −9 m | - | - |
| 4 | Excavate to −4 m and activate the first strut at GL −1 m | 2 × 106 | - |
| 5 | Excavate to −8 m and activate the second strut at GL −5 m | 2 × 106 | - |
| 6 | Lower the ground water to GL −17 m | - | - |
| 7 | Excavation to GL −12 m and activate the third strut at GL −9 m | 2 × 106 | - |
| 8 | Excavate to GL −16 m and activate the fourth strut at GL −13 m | 2 × 106 | - |
| Number | Soil Layer | T | γ | ν | E | cu | φ | Ψ | m | |||
|---|---|---|---|---|---|---|---|---|---|---|---|---|
| (m) | (kN/m3) | - | (MPa) | (kPa) | ) | (MPa) | (MPa) | (MPa) | - | |||
| 1 | Clay | 20 | 17 | 0.3 | 9 | 30 | 20 | - | - | - | - | - |
| 2 | Sand | 40 | 19 | - | 0 | 32 | 2 | 40 | 40 | 120 | 0.5 |
| Case Number | COVcu | COVφ | δy (m) | δx (m) | ||
|---|---|---|---|---|---|---|
| 1 | 30% | 9 | 10% | 2 | 2.5 | 25 |
| 2 | 30% | 9 | 15% | 3 | 2.5 | 25 |
| 3 | 30% | 9 | 20% | 4 | 2.5 | 25 |
| 4 | 20% | 6 | 10% | 2 | 2.5 | 25 |
| 5 | 20% | 6 | 15% | 3 | 2.5 | 25 |
| 6 | 20% | 6 | 20% | 4 | 2.5 | 25 |
| 7 | 10% | 3 | 10% | 2 | 2.5 | 25 |
| 8 | 10% | 3 | 15% | 3 | 2.5 | 25 |
| 9 | 10% | 3 | 20% | 4 | 2.5 | 25 |
| 10 | 30% | 9 | 20% | 4 | 1 | 25 |
| 11 | 30% | 9 | 20% | 4 | 5 | 25 |
| 12 | 30% | 9 | 20% | 4 | 10 | 25 |
| 13 | 30% | 9 | 20% | 4 | 25 | 25 |
| 14 | 30% | 9 | 20% | 4 | 50 | 25 |
| Case Number | Design Level | ||||
|---|---|---|---|---|---|
| 1 | I | 9.983 × 10−1 | 3.916 × 10−1 | 9.467 × 10−1 | 9.991 × 10−1 |
| II | 8.060 × 10−2 | 1.787 × 10−2 | 5.682 × 10−1 | 5.757 × 10−1 | |
| III | 2.874 × 10−7 | 9.487 × 10−5 | 1.571 × 10−1 | 1.571 × 10−1 | |
| 2 | I | 9.981 × 10−1 | 3.649 × 10−1 | 9.490 × 10−1 | 9.989 × 10−1 |
| II | 8.533 × 10−2 | 6.780 × 10−3 | 5.705 × 10−1 | 5.771 × 10−1 | |
| III | 4.475 × 10−7 | 6.327 × 10−6 | 1.555 × 10−1 | 1.555 × 10−1 | |
| 3 | I | 9.974 × 10−1 | 3.699 × 10−1 | 9.513 × 10−1 | 9.986 × 10−1 |
| II | 9.535 × 10−2 | 7.510 × 10−3 | 5.778 × 10−1 | 5.857 × 10−1 | |
| III | 1.26 × 10−7 | 8.15 × 10−6 | 1.592 × 10−1 | 1.592 × 10−1 | |
| 4 | I | 1.000 | 1.988 × 10−1 | 9.779 × 10−1 | 1.000 |
| II | 1.022 × 10−2 | 3.134 × 10−5 | 4.288 × 10−1 | 4.294 × 10−1 | |
| III | 1.343 × 10−14 | 4.362 × 10−12 | 2.441 × 10−2 | 2.441 × 10−2 | |
| 5 | I | 1.000 | 2.013 × 10−1 | 9.791 × 10−1 | 1.000 |
| II | 1.495 × 10−2 | 3.537 × 10−5 | 4.355 × 10−1 | 4.366 × 10−1 | |
| III | 3.890 × 10−13 | 6.022 × 10−12 | 2.511 × 10−2 | 2.511 × 10−2 | |
| 6 | I | 9.999 × 10−1 | 2.170 × 10−1 | 9.809 × 10−1 | 9.999 × 10−1 |
| II | 2.300 × 10−2 | 6.758 × 10−5 | 4.481 × 10−1 | 4.501 × 10−1 | |
| III | 1.538 × 10−11 | 3.260 × 10−11 | 2.676 × 10−2 | 2.676 × 10−2 | |
| 7 | I | 1.000 | 2.248 × 10−2 | 9.998 × 10−1 | 1.000 |
| II | 6.651 × 10−6 | 3.331 × 10−16 | 1.744 × 10−1 | 1.744 × 10−1 | |
| III | 0.000 | 0.000 | 2.576 × 10−6 | 2.576 × 10−1 | |
| 8 | I | 1.000 | 3.731 × 10−2 | 9.998 × 10−1 | 1.000 |
| II | 1.037 × 10−4 | 1.922 × 10−13 | 1.847 × 10−1 | 1.847 × 10−1 | |
| III | 0.000 | 0.000 | 3.105 × 10−1 | 3.105 × 10−1 | |
| 9 | I | 1.000 | 6.539 × 10−2 | 9.998 × 10−1 | 1.000 |
| II | 7.863 × 10−4 | 1.955 × 10−10 | 2.010 × 10−1 | 2.011 × 10−1 | |
| III | 0.000 | 0.000 | 4.393 × 10−1 | 4.393 × 10−1 | |
| 10 | I | 9.999 × 10−1 | 2.696 × 10−1 | 9.667 × 10−1 | 1.000 |
| II | 2.001 × 10−2 | 1.245 × 10−3 | 4.240 × 10−1 | 4.274 × 10−1 | |
| III | 4.775 × 10−12 | 1.104 × 10−7 | 3.237 × 10−2 | 3.237 × 10−2 | |
| 11 | I | 9.832 × 10−1 | 4.237 × 10−1 | 9.188 × 10−1 | 9.908 × 10−1 |
| II | 1.716 × 10−1 | 3.765 × 10−2 | 5.704 × 10−1 | 5.885 × 10−1 | |
| III | 2.408 × 10−4 | 6.932 × 10−4 | 2.064 × 10−1 | 2.065 × 10−1 | |
| 12 | I | 9.540 × 10−1 | 4.555 × 10−1 | 8.930 × 10−1 | 9.740 × 10−1 |
| II | 2.354 × 10−1 | 8.504 × 10−2 | 5.613 × 10−1 | 5.893 × 10−1 | |
| III | 3.342 × 10−3 | 6.223 × 10−3 | 2.312 × 10−1 | 2.324 × 10−1 | |
| 13 | I | 9.113 × 10−1 | 4.746 × 10−1 | 8.747 × 10−1 | 9.468 × 10−1 |
| II | 2.897 × 10−1 | 1.402 × 10−1 | 5.570 × 10−1 | 5.882 × 10−1 | |
| III | 1.662 × 10−2 | 2.339 × 10−2 | 2.489 × 10−1 | 2.534 × 10−1 | |
| 14 | I | 8.905 × 10−1 | 4.807 × 10−1 | 8.701 × 10−1 | 9.308 × 10−1 |
| II | 3.097 × 10−1 | 1.659 × 10−1 | 5.578 × 10−1 | 5.850 × 10−1 | |
| III | 2.713 × 10−2 | 3.632 × 10−2 | 2.557 × 10−1 | 2.620 × 10−1 | |
| MCS a | I | 9.965 × 10−1 | 3.931 × 10−1 | 9.499 × 10−1 | 9.970 × 10−1 |
| II | 7.823 × 10−2 | 1.752 × 10−2 | 5.667 × 10−1 | 5.747 × 10−1 | |
| III | 0.000 | 1.000 × 10−3 | 1.580 × 10−1 | 1.590 × 10−1 | |
| Error (%) b | I | 0.19 | 0.3 | 0.33 | 0.21 |
| II | 3.03 | 3.05 | 0.27 | 0.17 | |
| III | - | 90 | 0.53 | 1.16 |
Publisher’s Note: MDPI stays neutral with regard to jurisdictional claims in published maps and institutional affiliations. |
© 2022 by the authors. Licensee MDPI, Basel, Switzerland. This article is an open access article distributed under the terms and conditions of the Creative Commons Attribution (CC BY) license (https://creativecommons.org/licenses/by/4.0/).
Share and Cite
Hong, L.; Chen, L.; Wang, X. Reliability Analysis of Serviceability Limit State for Braced Excavation Considering Multiple Failure Modes in Spatially Variable Soil. Buildings 2022, 12, 722. https://doi.org/10.3390/buildings12060722
Hong L, Chen L, Wang X. Reliability Analysis of Serviceability Limit State for Braced Excavation Considering Multiple Failure Modes in Spatially Variable Soil. Buildings. 2022; 12(6):722. https://doi.org/10.3390/buildings12060722
Chicago/Turabian StyleHong, Li, Longlong Chen, and Xiangyu Wang. 2022. "Reliability Analysis of Serviceability Limit State for Braced Excavation Considering Multiple Failure Modes in Spatially Variable Soil" Buildings 12, no. 6: 722. https://doi.org/10.3390/buildings12060722
APA StyleHong, L., Chen, L., & Wang, X. (2022). Reliability Analysis of Serviceability Limit State for Braced Excavation Considering Multiple Failure Modes in Spatially Variable Soil. Buildings, 12(6), 722. https://doi.org/10.3390/buildings12060722
