Multitype Damage Imaging in Concrete Modeling Based on Time Reversal Technique
Abstract
:1. Introduction
2. Ultrasound Time Reversal Focusing Imaging
2.1. The Time Reversal Invariance of the Acoustic Wave Equation
2.2. Time Reversal Focusing Imaging
2.2.1. Time Reversal of Damage Scattering Waves
2.2.2. Time Reversal of Direct and Scattering Waves
2.3. Time Reversal Focusing Imaging Implementation Flow
- A Gaussian pulse is used to excite the homogeneous two-dimensional concrete model;
- Based on the sample and the baseline sample array sensor, the response scattering field is determined;
- The reference signal in the basic sample is subtracted from the damage signal to obtain the damage scattering signal;
- The damage scattering signal is time-reversed and retransmitted to the numerical model;
- The stress value of the full field is calculated, the focusing index is determined, and the defects in the sample are visualized;
- The focusing curve, that is, a curve of the focusing index and coordinate value through the x-axis and y-axis directions of the focusing index point, is drawn.
3. Simulation Setup
3.1. The Excitation Signal
3.2. The Finite Element Model
4. Results and Discussions
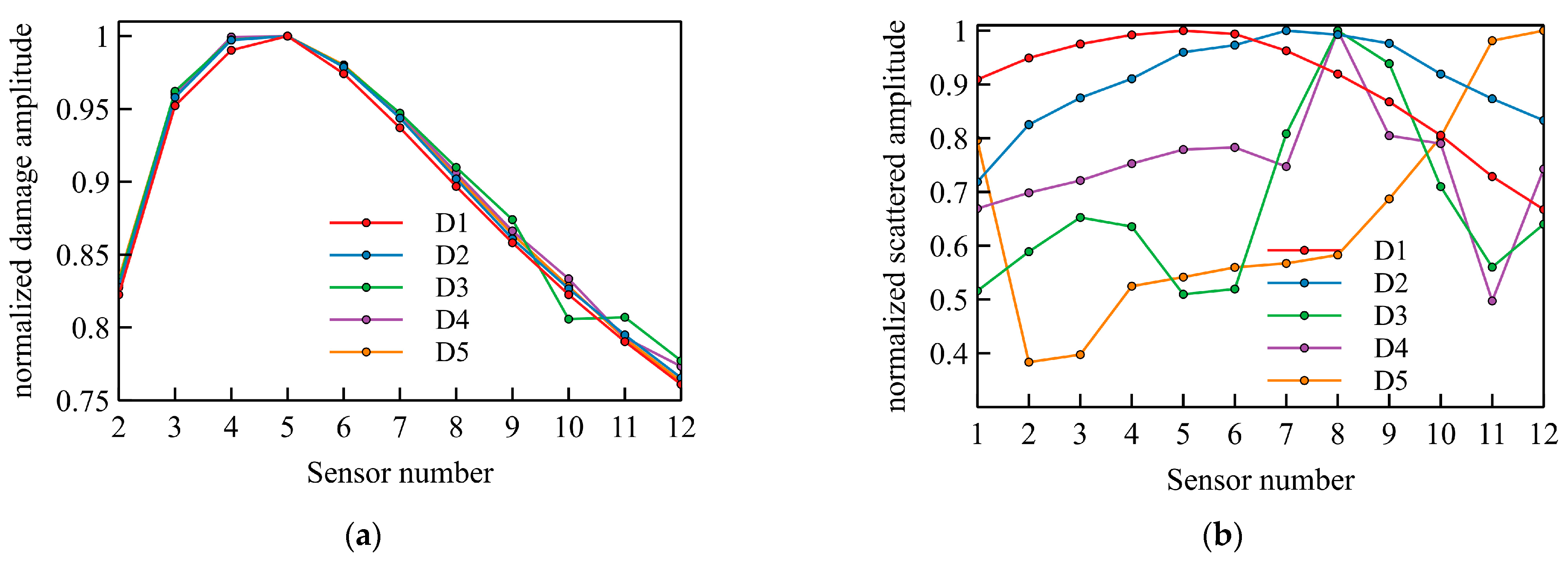
4.1. Forward Detection
4.2. Time Reversal Focusing Imaging
4.3. Time Reversal Focusing Curve
5. Conclusions
- The damage signals received by sensors 3 and 9 only exhibit a time shift in the signal waveform, which is consistent with the structural dynamics, indicating the correctness of the numerical model.
- A comparison of the time profiles of the damage scattering signal and the time reversal focusing imaging showed the superiority of the reversal algorithm. Time reversal focusing uses information from both the forward field and the reverse field, thereby improving the imaging ability.
- An improved time reversal focusing imaging algorithm that also satisfies time focusing was used to investigate the effect of time focusing on spatial focusing. This work can serve as a reference for future concrete damage imaging research.
- The maximum value of the D3 focusing curve was significantly higher than that of the D4 focusing curve. The location of the main lobe was in good agreement with the actual location of the damage, indicating that the location and size of the damage can be determined based on the focusing curve.
Author Contributions
Funding
Data Availability Statement
Conflicts of Interest
References
- Meola, C.; Carlomagno, G.M. Recent Advances in the Use of Infrared Thermography. Meas. Sci. Technol. 2004, 15, R27–R58. [Google Scholar] [CrossRef]
- Santos, V.R.N.; Teixeira, F.L. Study of time-reversal-based signal processing applied to polarimetric GPR detection of elongated targets. J. Appl. Geophys. 2017, 139, 257–268. [Google Scholar] [CrossRef]
- Mohan, A.; Poobal, S. Crack Detection Using Image Processing: A Critical Review and Analysis. Alex. Eng. J. 2018, 57, 787–798. [Google Scholar] [CrossRef]
- Yu, H.; Lu, L.; Qiao, P. Localization and Size Quantification of Surface Crack of Concrete Based on Rayleigh Wave Attenuation Model. Constr. Build. Mater. 2021, 280, 122437. [Google Scholar] [CrossRef]
- Han, H.; Deng, H.; Dong, Q.; Gu, X.; Zhang, T.; Wang, Y. An Advanced Otsu Method Integrated with Edge Detection and Decision Tree for Crack Detection in Highway Transportation Infrastructure. Adv. Mater. Sci. Eng. 2021, 2021, 9205509. [Google Scholar] [CrossRef]
- Carrasco, M.; Araya-Letelier, G.; Velazquez, R.; Visconti, P. Image-Based Automated Width Measurement of Surface Cracking. Sensors 2021, 21, 7534. [Google Scholar] [CrossRef]
- Yu, H.; Lu, L.; Qiao, P.; Wang, Z. Actuating and Sensing Mechanism of Embedded Piezoelectric Transducers in Concrete. Smart Mater. Struct. 2020, 29, 085020. [Google Scholar] [CrossRef]
- Tang, Z.S.; Lim, Y.Y.; Smith, S.T.; Izadgoshasb, I. Development of analytical and numerical models for predicting the mechanical properties of structural adhesives under curing using the PZT-based wave propagation technique. Mech. Syst. Signal Proc. 2019, 128, 172–190. [Google Scholar] [CrossRef]
- Zima, B. Damage Detection in Plates Based on Lamb Wavefront Shape Reconstruction. Measurement 2021, 177, 109206. [Google Scholar] [CrossRef]
- Zaki, A.; Chai, H.K.; Aggelis, D.G.; Alver, N. Non-Destructive Evaluation for Corrosion Monitoring in Concrete: A Review and Capability of Acoustic Emission Technique. Sensors 2015, 15, 19069–19101. [Google Scholar] [CrossRef]
- Qing, X.; Li, W.; Wang, Y.; Sun, H. Piezoelectric Transducer-Based Structural Health Monitoring for Aircraft Applications. Sensors 2019, 19, 545. [Google Scholar] [CrossRef] [PubMed]
- Choi, H.; Popovics, J.S. NDE Application of Ultrasonic Tomography to a Full-Scale Concrete Structure. IEEE Trans. Ultrason. Ferroelectr. Freq. Control 2015, 62, 1076–1085. [Google Scholar] [CrossRef] [PubMed]
- Kwon, H.; Joh, C.; Chin, W.J. 3D Internal Visualization of Concrete Structure Using Multifaceted Data for Ultrasonic Array Pulse-Echo Tomography. Sensors 2021, 21, 6681. [Google Scholar] [CrossRef] [PubMed]
- Kwon, H.; Joh, C.; Chin, W.J. Pulse Peak Delay-Total Focusing Method for Ultrasonic Tomography on Concrete Structure. Appl. Sci. 2021, 11, 1741. [Google Scholar] [CrossRef]
- Zielińska, M.; Rucka, M. Detection of Debonding in Reinforced Concrete Beams Using Ultrasonic Transmission Tomography and Hybrid Ray Tracing Technique. Constr. Build. Mater. 2020, 262, 120104. [Google Scholar] [CrossRef]
- Ganguli, A.; Rappaport, C.M.; Abramo, D.; Wadia-Fascetti, S. Synthetic Aperture Imaging for Flaw Detection in a Concrete Medium. NDT E Int. 2012, 45, 79–90. [Google Scholar] [CrossRef]
- Gao, W.; Huo, L.; Li, H.; Song, G. Smart Concrete Slabs with Embedded Tubular PZT Transducers for Damage Detection. Smart Mater. Struct. 2018, 27, 025002. [Google Scholar] [CrossRef]
- Gao, W.; Huo, L.; Li, H.; Song, G. An Embedded Tubular PZT Transducer Based Damage Imaging Method for Two-Dimensional Concrete Structures. IEEE Access 2018, 6, 30100–30109. [Google Scholar] [CrossRef]
- Alleyne, D.N.; Pavlakovic, B.; Lowe, M.J.S.; Cawley, P. Rapid, Long Range Inspection of Chemical Plant Pipework Using Guided Waves. AIP Conf. Proc. 2001, 557, 180–187. [Google Scholar] [CrossRef]
- Huo, H.; He, J.; Guan, X. A Bayesian Fusion Method for Composite Damage Identification Using Lamb Wave. Struct. Health Monit. 2020, 147592172094500. [Google Scholar] [CrossRef]
- Kozlov, A.V.; Kozlov, V.N. The Development and Current State of Methods for the Nondestructive Testing and Acoustic Tomography of Concrete. Russ. J. Nondestruct. Test. 2015, 51, 329–337. [Google Scholar] [CrossRef]
- Zhao, G.; Zhang, D.; Zhang, L.; Wang, B. Detection of Defects in Reinforced Concrete Structures Using Ultrasonic Nondestructive Evaluation with Piezoceramic Transducers and the Time Reversal Method. Sensors 2018, 18, 4176. [Google Scholar] [CrossRef] [PubMed] [Green Version]
- Fink, M.; Prada, C.; Wu, F.; Cassereau, D. Self Focusing in Inhomogeneous Media with Time Reversal Acoustic Mirrors. In Proceedings of the IEEE Ultrasonics Symposium, Montreal, QC, Canada, 3–6 October 1989; Volume 2, pp. 681–686. [Google Scholar]
- Liang, J.; Chen, B.; Shao, C.; Li, J.; Wu, B. Time Reverse Modeling of Damage Detection in Underwater Concrete Beams Using Piezoelectric Intelligent Modules. Sensors 2020, 20, 7318. [Google Scholar] [CrossRef] [PubMed]
- Prada, C.; Manneville, S.; Spoliansky, D.; Fink, M. Decomposition of the Time Reversal Operator: Detection and Selective Focusing on Two Scatterers. J. Acoust. Soc. Am. 1996, 99, 2067–2076. [Google Scholar] [CrossRef]
- Becht, P.; Deckers, E.; Claeys, C.; Pluymers, B.; Desmet, W. Loose Bolt Detection in a Complex Assembly Using a Vibro-Acoustic Sensor Array. Mech. Syst. Signal Process. 2019, 130, 433–451. [Google Scholar] [CrossRef]
- Wang, J.; Shen, Y. An enhanced Lamb wave virtual time reversal technique for damage detection with transducer transfer function compensation. Smart Mater. Struct. 2019, 28, 085017. [Google Scholar] [CrossRef]
- Mori, N.; Biwa, S.; Kusaka, T. Damage Localization Method for Plates Based on the Time Reversal of the Mode-Converted Lamb Waves. Ultrasonics 2019, 91, 19–29. [Google Scholar] [CrossRef]
- Jonsson, B.L.G.; de Hoop, M.V.; Gustafsson, M.; Weston, V.H. Retrofocusing of Acoustic Wave Fields by Iterated Time Reversal. SIAM J. Appl. Math. 2004, 64, 1954–1986. [Google Scholar] [CrossRef] [Green Version]
- Wang, S.; Wu, W.; Shen, Y.; Liu, Y.; Jiang, S. Influence of the PZT Sensor Array Configuration on Lamb Wave Tomography Imaging with the RAPID Algorithm for Hole and Crack Detection. Sensors 2020, 20, 860. [Google Scholar] [CrossRef] [Green Version]
- Borcea, L.; Papanicolaou, G.; Tsogka, C. Imaging and Time Reversal in Random Media. Inverse Probl. 2002, 18, 1247–1279. [Google Scholar] [CrossRef] [Green Version]
- Mukherjee, S.; Mays, R.O.; Tringe, J.W. A Microwave Time Reversal Algorithm for Imaging Extended Defects in Dielectric Composites. IEEE Trans. Comput. Imaging 2021, 7, 1215–1227. [Google Scholar] [CrossRef]
- Abbas, M.; Shafiee, M. Structural Health Monitoring (SHM) and Determination of Surface Defects in Large Metallic Structures using Ultrasonic Guided Waves. Sensors 2018, 18, 3958. [Google Scholar] [CrossRef] [PubMed] [Green Version]
- Stojic, D.; Nestorovic, T.; Markovic, N.; Marjanovic, M. Experimental and Numerical Research on Damage Localization in Plate-Like Concrete Structures Using Hybrid Approach. Struct. Control Health Monit. 2018, 25, e2214. [Google Scholar] [CrossRef]
- Ghavamian, A.; Mustapha, F.; Baharudin, B.T.H.T.; Yidris, N. Detection, Localisation and Assessment of Defects in Pipes Using Guided Wave Techniques: A Review. Sensors 2018, 18, 4470. [Google Scholar] [CrossRef] [Green Version]
- Mitra, M.; Gopalakrishnan, S. Guided wave based structural health monitoring: A review. Smart Mater. Struct. 2016, 25, 053001. [Google Scholar] [CrossRef]
- Zheng, J. Research on Health Monitoring and Numerical Simulation of Concrete Structures Based on Smart Materials. Master’s Thesis, Changsha University of Science Technology, Changsha, China, 2018. [Google Scholar]
- Ou, Y. Numerical Analysis of Material Surface Defect Depth Detection Using Rayleigh Wave. Master’s Thesis, Harbin Institute of Technology, Harbin, China, 2014. [Google Scholar]
- Thiene, M.; Khodaei, Z.S.; Aliabadi, M.H. Optimal Sensor Placement for Maximum Area Coverage (MAC) for Damage Localization in Composite Structures. Smart Mater. Struct. 2016, 25, 095037. [Google Scholar] [CrossRef]
- Yan, G.; Zhou, L. Real time identification of damages for plate-like structure using migration technique in frequency-wavenumber domain. J. Vib. Eng. 2008, 21, 620–625. [Google Scholar] [CrossRef]
- Monaco, E.; Ricci, F.; Lecce, L.; Boffa, N.D. Application of the Beam-Forming Technique for Damage Detection in Composite Plate. In Proceedings of the ASME 2012 Noise Control and Acoustics Division Conference at InterNoise 2012, New York, NY, USA, 19–22 August 2012. [Google Scholar]
- Mustapha, S.; Ye, L.; Wang, D.; Lu, Y. Assessment of Debonding in Sandwich CF/EP Composite Beams Using A0 Lamb Wave at Low Frequency. Compos. Struct. 2011, 93, 483–491. [Google Scholar] [CrossRef]
- Gao, F.; Zeng, L.; Lin, J.; Shao, Y. Damage Assessment in Composite Laminates via Broadband Lamb Wave. Ultrasonics 2018, 86, 49–58. [Google Scholar] [CrossRef]
- Anderson, B.E.; Douma, J.; Ulrich, T.J.; Snieder, R. Improving Spatio-Temporal Focusing and Source Reconstruction Through Deconvolution. Wave Motion 2015, 52, 151–159. [Google Scholar] [CrossRef] [Green Version]
- Douma, J.; Niederleithinger, E.; Snieder, R. Locating Events Using Time Reversal and Deconvolution: Experimental Application and Analysis. J. Nondestruct. Eval. 2015, 34, 2. [Google Scholar] [CrossRef]
- Park, H.W. Numerical Simulation and Investigation of the Spatial Focusing of Time Reversal A0 Lamb Wave Mode Using Circular Piezoelectric Transducers Collocated on a Rectangular Plate. J. Sound Vib. 2013, 332, 2672–2687. [Google Scholar] [CrossRef]
- Kocherla, A.; Kolluru, S.V.L. Embedded smart PZT-based sensor for internal damage detection in concrete under applied compression. Measurement 2020, 163, 108018. [Google Scholar] [CrossRef]
- Qiu, L.; Yuan, S.; Su, Y.; Zhang, X. Multiple Impact Source Imaging and Localization on Composite Structure Based on Shannon Complex Wavelet and Time Reversal Focusing. Acta Aeronaut. Astronaut. Sin. 2010, 31, 2417–2424. [Google Scholar]
- Qiu, L.; Yuan, S.; Zhang, X.; Wang, Y. A Time Reversal Focusing Based Impact Imaging Method and Its Evaluation on Complex Composite Structures. Smart Mater. Struct. 2011, 20, 105014. [Google Scholar] [CrossRef]
- Insaurralde, C.C.; Rahman, P.K.S.M.; Ramegowda, M.; Vemury, C.M. Follow-up Methods for Autonomic Repairing Process Cybernetic Concrete for Civil Self-healing Structures. In Proceedings of the 2016 IEEE International Conference on Systems, Man, and Cybernetics (SMC), Budapest, Hungary, 9–12 October 2016; IEEE: New York, NY, USA, 2016; pp. 4854–4859. [Google Scholar]
- Karaiskos, G.; Deraemaeker, A.; Aggelis, D.G.; Van Hemelrijck, D. Monitoring of concrete structures using the ultrasonic pulse velocity method. Smart Mater. Struct. 2015, 24, 113001. [Google Scholar] [CrossRef] [Green Version]
- Dumoulin, C.; Karaiskos, G.; Sener, J.-Y.; Deraemaeker, A. Online monitoring of cracking in concrete structures using embedded piezoelectric transducers. Smart Mater. Struct. 2014, 23, 115016. [Google Scholar] [CrossRef]














Publisher’s Note: MDPI stays neutral with regard to jurisdictional claims in published maps and institutional affiliations. |
© 2022 by the authors. Licensee MDPI, Basel, Switzerland. This article is an open access article distributed under the terms and conditions of the Creative Commons Attribution (CC BY) license (https://creativecommons.org/licenses/by/4.0/).
Share and Cite
Sun, X.; Fan, S.; Liu, C. Multitype Damage Imaging in Concrete Modeling Based on Time Reversal Technique. Buildings 2022, 12, 430. https://doi.org/10.3390/buildings12040430
Sun X, Fan S, Liu C. Multitype Damage Imaging in Concrete Modeling Based on Time Reversal Technique. Buildings. 2022; 12(4):430. https://doi.org/10.3390/buildings12040430
Chicago/Turabian StyleSun, Xiaohui, Shuli Fan, and Chunguang Liu. 2022. "Multitype Damage Imaging in Concrete Modeling Based on Time Reversal Technique" Buildings 12, no. 4: 430. https://doi.org/10.3390/buildings12040430
APA StyleSun, X., Fan, S., & Liu, C. (2022). Multitype Damage Imaging in Concrete Modeling Based on Time Reversal Technique. Buildings, 12(4), 430. https://doi.org/10.3390/buildings12040430

