Experimental Investigation of Indoor Thermal Comfort under Different Heating Conditions in Winter
Abstract
1. Introduction
1.1. Literature Review and Problem Statement for the Work
1.2. Objectives and Significance for the Study
2. Materials and Methods
2.1. Experimental Facility
2.2. Experimental Design
2.2.1. Subjects
2.2.2. Subjective Questionnaire
2.2.3. Measurement Parameters and Instruments
2.3. Test Procedure
2.4. Data Processing
3. Results
3.1. Outdoor Air Parameters
3.2. Indoor Environmental Parameters
3.3. Subjective Thermal Responses
Humidity Sensation Vote (HSV)
3.4. Thermal Comfort Analysis
3.4.1. Linear Regression
3.4.2. Acceptable Temperature Range
3.4.3. Thermal Comfort Temperature Using the Griffith Method
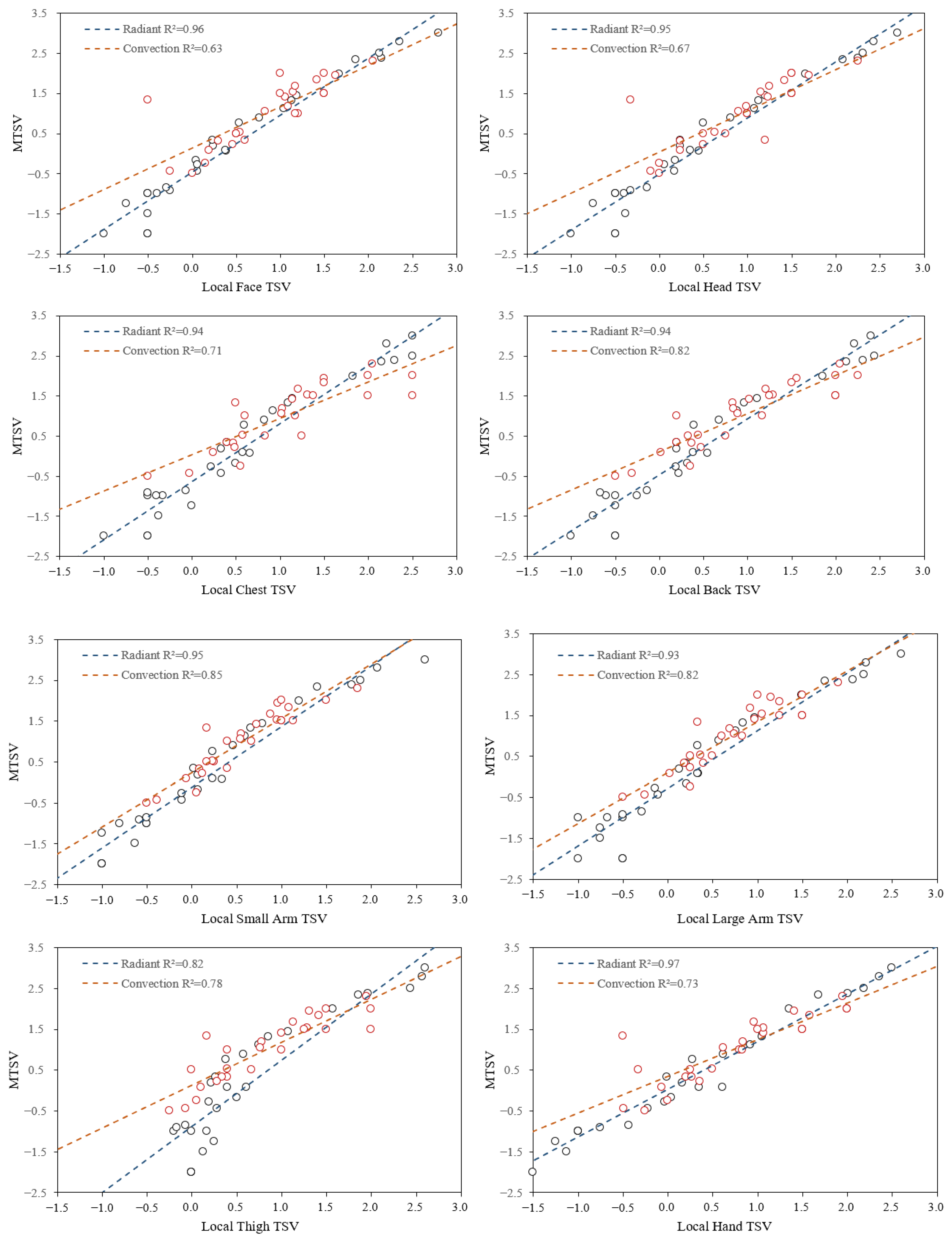
3.5. Local Thermal Sensation
4. Discussion
4.1. Analysis of Subjective and Objective Results
4.2. Analyses of Thermal Neutral Temperature and Thermal Comfort Temperature Range
4.3. Limitation and Future Challenge
5. Conclusions
- (1)
- Different heating terminals have different operating methods and working principles. When both convection and radiation terminals operate continuously, the impact of an unstable indoor thermal environment on human thermal comfort caused by convection terminals cannot be ignored. In winter, the radiant floor heating and thermal neutral temperature of wall-mounted air-conditioner heating are 21.97 °C and 22.92 °C, respectively; the acceptable temperature ranges are 18.79–23.72 °C and 20.1–25.93 °C, respectively.
- (2)
- The overall thermal sensation under radiant conditions is more closely related to the local thermal sensation, which is evident in the skin temperature. The general thermal sensation under convective conditions has a weaker relationship with the local thermal sensation, and thermal comfort is associated with the stability of environmental factors, such as air velocity, temperature, and relative humidity.
- (3)
- During winter heating, natural ventilation, controllable radiant heating terminals, or distributed air supply systems can be used to provide residents with better thermal environment management to increase occupant comfort and lower energy use for heating.
Author Contributions
Funding
Acknowledgments
Conflicts of Interest
References
- Fang, Z.; Feng, X.; Liu, J.; Lin, Z.; Mak, C.M.; Niu, J.; Tse, K.T.; Xu, X. Investigation into the differences among several outdoor thermal comfort indices against field survey in subtropics. Sustain. Cities Soc. 2019, 44, 676–690. [Google Scholar] [CrossRef]
- Luo, M.; Arens, E.; Zhang, H.; Ghahramani, A.; Wang, Z. Thermal comfort evaluated for combinations of energy-efficient personal heating and cooling devices. Build. Environ. 2018, 143, 206–216. [Google Scholar] [CrossRef]
- Zhong, H.; Wang, J.; Jia, H.; Mu, Y.; Lv, S. Vector field-based support vector regression for building energy consumption prediction. Appl. Energy 2019, 242, 403–414. [Google Scholar] [CrossRef]
- Li, B.; Yu, W.; Liu, M.; Li, N. Climatic strategies of indoor thermal environment for residential buildings in Yangtze River region, China. Indoor Built Environ. 2011, 20, 101–111. [Google Scholar] [CrossRef]
- Yin, P. Present situation and proposed approach of heating in Southern China. Heat. Vent. Air Cond. 2013, 43, 50–57. [Google Scholar]
- Wu, J.; Xu, Z.; Jiang, F. Analysis and development trends of Chinese energy efficiency standards for room air conditioners. Energy Policy 2018, 125, 368–383. [Google Scholar] [CrossRef]
- Sun, H.; Yang, Z.; Lin, B.; Shi, W.; Zhu, Y.; Zhao, H. Comparison of thermal comfort between convective heating and radiant heating terminals in a winter thermal environment: A field and experimental study. Energy Build. 2020, 224, 110239. [Google Scholar] [CrossRef]
- Bozkır, O.; Canbazoğlu, S. Unsteady thermal performance analysis of a room with serial and parallel duct radiant floor heating system using hot airflow. Energy Build. 2004, 36, 579–586. [Google Scholar] [CrossRef]
- Catalina, T.; Virgone, J.; Kuznik, F. Evaluation of thermal comfort using combined CFD and experimentation study in a test room equipped with a cooling ceiling. Build. Environ. 2009, 44, 1740–1750. [Google Scholar] [CrossRef]
- Hao, X.; Zhang, G.; Chen, Y.; Zou, S.; Moschandreas, D.J. A combined system of chilled ceiling, displacement ventilation and desiccant dehumidification. Build. Environ. 2007, 42, 3298–3308. [Google Scholar] [CrossRef]
- Imanari, T.; Omori, T.; Bogaki, K. Thermal comfort and energy consumption of the radiant ceiling panel system. Energy Build. 1999, 30, 167–175. [Google Scholar] [CrossRef]
- Tian, Z.; Love, J.A. A field study of occupant thermal comfort and thermal environments with radiant slab cooling. Build. Environ. 2008, 43, 1658–1670. [Google Scholar] [CrossRef]
- Lin, B.; Wang, Z.; Sun, H.; Zhu, Y.; Ouyang, Q. Evaluation and comparison of thermal comfort of convective and radiant heating terminals in office buildings. Build. Environ. 2016, 106, 91–102. [Google Scholar] [CrossRef]
- Hu, B.; Wang, R.; Xiao, B.; He, L.; Zhang, W.; Zhang, S. Performance evaluation of different heating terminals used in air source heat pump system. Int. J. Refrig. 2019, 98, 274–282. [Google Scholar] [CrossRef]
- Zhang, Y.; Chen, H.; Meng, Q. Thermal comfort in buildings with split air-conditioners in hot-humid area of China. Build. Environ. 2013, 64, 213–224. [Google Scholar] [CrossRef]
- Zhang, Q.; Yu, Z.; Cheng, H.; Liang, R. Field study on occupant thermal comfort in radiant floor heating system residential buildings of Suihua city in winter. J. Xi’an Univ. Archit. Tech. (Nat. Sci. Ed.) 2018, 50, 396–401. [Google Scholar]
- Mui, K.W.H.; Chan, W.T.D. Adaptive comfort temperature model of air-conditioned building in Hong Kong. Build. Environ. 2003, 38, 837–852. [Google Scholar] [CrossRef]
- Xu, C.; Li, S. Influence of perceived control on thermal comfort in winter, A case study in hot summer and cold winter zone in China. J. Build. Eng. 2021, 40, 102389. [Google Scholar] [CrossRef]
- Kumar, S.; Mathur, A.; Singh, M.K.; Rana, K.B. Adaptive thermal comfort study of workers in a mini-industrial unit during summer and winter season in a tropical country, India. Build. Environ. 2021, 197, 107874. [Google Scholar] [CrossRef]
- Takasu, M.; Ooka, R.; Rijal, H.B.; Indraganti, M.; Singh, M.K. Study on adaptive thermal comfort in Japanese offices under various operation modes. Build. Environ. 2017, 118, 273–288. [Google Scholar] [CrossRef]
- Wu, T.; Cao, B.; Zhu, Y. A field study on thermal comfort and air-conditioning energy use in an office building in Guangzhou. Energy Build. 2018, 168, 428–437. [Google Scholar] [CrossRef]
- Indraganti, M.; Ooka, R.; Rijal, H.B. Field investigation of comfort temperature in Indian office buildings: A case of Chennai and Hyderabad. Build. Environ. 2013, 65, 195–214. [Google Scholar] [CrossRef]
- ASHRAE. A. Standard; Thennal Environmental Conditions for Human Occupancy. American Society of Heating, Refrigerating and Air Conditioning Engineers (ASHRAE): Atlanta, GA, USA, 2017.
- JGJ. Technical Specification for Radiant Heating and Cooling; JGJ 142; Ministry of Housing and Urban-Rural Development of The People’s Republic of China: Beijing, China, 2012. (In Chinese)
- Mitchell, D.; Wyndham, C.H. Comparison of weighting formulas for calculating mean skin temperature. J. Appl. Physiol. 1969, 26, 616–622. [Google Scholar] [CrossRef] [PubMed]
- Choi, J.K.; Miki, K.; Sagawa, S.; Shiraki, K. Evaluation of mean skin temperature formulas by infrared thermography. Int. J. Biometeorol. 1997, 41, 68–75. [Google Scholar] [CrossRef]
- Huizenga, C.; Zhang, H.; Arens, E.; Wang, D. Skin and core temperature response to partial- and whole-body heating and cooling. J. Therm. Biol. 2004, 29, 549–558. [Google Scholar] [CrossRef]
- De Dear, R.; Ring, J.; Fanger, P. Thermal Sensations Resulting From Sudden Ambient Temperature Changes. Indoor Air 1993, 3, 181–192. [Google Scholar] [CrossRef]
- Zhao, R. Investigation of transient thermal environments. Build. Environ. 2007, 42, 3926–3932. [Google Scholar] [CrossRef]
- Alfano, F.R.D.; Dell’Isola, M.; Ficco, G.; Palella, B.I.; Riccio, G. On the measurement of the mean radiant temperature by means of globes: An experimental investigation under black enclosure conditions. Build. Environ. 2021, 193, 107655. [Google Scholar] [CrossRef]
- ISO 7726:1998; Ergonomics of the Thermal Environment–Instruments for Measuring Physical Quantities. International Standard Organization: Geneva, Switzerland, 1998.
- Lin, T.-P. Thermal perception, adaptation and attendance in a public square in hot and humid regions. Build. Environ. 2009, 44, 2017–2026. [Google Scholar] [CrossRef]
- Rijal, H.B.; Honjo, M.; Kobayashi, R.; Nakaya, T. Investigation of comfort temperature, adaptive model and the window-opening behaviour in Japanese houses. Arch. Sci. Rev. 2013, 56, 54–69. [Google Scholar] [CrossRef]
- Nicol, F.; Roaf, S. Pioneering new indoor temperature standards: The Pakistan project. Energy Build. 1996, 23, 169–174. [Google Scholar] [CrossRef]
- Rijal, H.; Yoshida, H.; Umemiya, N. Seasonal and regional differences in neutral temperatures in Nepalese traditional vernacular houses. Build. Environ. 2010, 45, 2743–2753. [Google Scholar] [CrossRef]
- Humphreys, M.; Rijal, H.; Nicol, J. Updating the adaptive relation between climate and comfort indoors; new insights and an extended database. Build. Environ. 2013, 63, 40–55. [Google Scholar] [CrossRef]
- Rupp, R.F.; Kim, J.; Ghisi, E.; de Dear, R. Thermal sensitivity of occupants in different building typologies: The Griffiths Constant is a Variable. Energy Build. 2019, 200, 11–20. [Google Scholar] [CrossRef]
- Arens, E.; Zhang, H.; Huizenga, C. Partial- and whole-body thermal sensation and comfort, Part II: Non-uniform environmental conditions. J. Therm. Biol. 2006, 31, 60–66. [Google Scholar] [CrossRef]
- Wang, Z.; Zhao, Z.; Lin, B.; Zhu, Y.; Ouyang, Q. Residential heating energy consumption modeling through a bottom-up approach for China’s Hot Summer–Cold Winter climatic region. Energy Build. 2015, 109, 65–74. [Google Scholar] [CrossRef]
- Zheng, Z.; Zhang, Y.; Mao, Y.; Yang, Y.; Fu, C.; Fang, Z. Analysis of SET* and PMV to evaluate thermal comfort in prefab construction site offices: Case study in South China. Case Stud. Therm. Eng. 2021, 26, 101137. [Google Scholar] [CrossRef]
- Antoniadou, P.; Papadopoulos, A.M. Occupants’ thermal comfort: State of the art and the prospects of personalized assessment in office buildings. Energy Build. 2017, 153, 136–149. [Google Scholar] [CrossRef]
- Wang, J.; Wang, S.; Xu, X.; Li, X.; He, P.; Qiao, Y.; Chen, Y. The diminishing effects of winter heating on air quality in northern China. J. Environ. Manag. 2023, 325, 116536. [Google Scholar] [CrossRef]











| Terminal Type | Location | Thermal Comfort Range | |
|---|---|---|---|
| Zhang et al. [15] | Split Air-conditioners | Guangzhou | 16.9–34.2 °C (80%); 20.6–30.5 °C (90%) |
| Qun et al. [16] | Radiation floor heating | Suihua | 21.9–25.8 °C (80%) |
| Mui et al. [17] | Air-conditioned | Hong Kong | 19.5–21.5 °C (90%) |
| Xu et al. [18] | Split air conditioners | Nanjing Jiangsu | 8.1–25.6 °C (80%); 12.48–21.23 °C (90%) |
| Central heating systems | Yangzhou, Jiangsu | 13.26–23.86 °C (80%); 15.91–21.21 °C (90%) | |
| Sanjay et al. [19] | Natural ventilation | India | 22.7 °C |
| Marina et al. [20] | Heating by air conditioning | Tokyo and Kanagawa | 23.5–26.6 °C (80%) |
| Wu et al. [21] | Natural ventilation | Guangzhou | 23.3 °C |
| Indraganti et al. [22] | Air-conditioned | Hyderabad, India | 27.0 °C |
| Chennai, India | 26.1 °C |
| Gender | Age (Year) | Height (cm) | Weight (kg) | Body Surface Area |
|---|---|---|---|---|
| Male | 21–25 | 171.2 (6.5) | 63.9 (10.3) | 1.75 (0.15) |
| Female | 21–24 | 156.6 (4.9) | 44.6 (4.2) | 1.4 (0.08) |
| Average | 21–25 | 163.9 (9.3) | 54.3 (12.4) | 1.58 (0.21) |
| Subjective Perception | Subjective Vote | ||||||
|---|---|---|---|---|---|---|---|
| TSV | Cold (−3) | Cool (−2) | Slightly cool (−1) | Neutral (0) | Slightly warm (1) | Warm (2) | Hot (3) |
| HSV | Very dry (−3) | Dry (−2) | Slightly dry (−1) | Neutral (0) | Slightly wet (1) | Wet (2) | Very wet (3) |
| Perception of air velocity | Very small (−3) | Small (−2) | Slightly small (−1) | Neutral (0) | Slightly big (1) | Big (2) | Very big (3) |
| Satisfaction with temperature | Satisfaction | Dissatisfaction | |||||
| Satisfaction with humidity | Satisfaction | Dissatisfaction | |||||
| Satisfaction with air velocity | Satisfaction | Dissatisfaction | |||||
| Temperature expectation | Prefer cooler | No change | Prefer warmer | ||||
| Humidity expectation | Prefer dryer | No change | Prefer wetter | ||||
| Air velocity expectation | Prefer smaller | No change | Prefer bigger | ||||
| Instrument | Type | Parameter | Measuring Range | Accuracy | Sampling Rate (s) |
|---|---|---|---|---|---|
| Thermal comfort level recorder | SSDZY-1 | Ta (°C) | −20–80 °C | ±0.3 °C | 30 s |
| RH (%) | 0.01–99.9% RH | ±2% RH (10–90% RH) | 30 s | ||
| Tg (°C) | −20–80 °C | ±0.3 °C | 30 s | ||
| Temperature and humidity automatic recording instrument | WSZY-1 | Ta (°C) | −20–80 °C | ±0.3 °C | 30 s |
| RH (%) | 0.01–99.9% RH | ±2% RH | 30 s | ||
| Button-type thermometer | DS1922L | Tskin (°C) | −40–85 °C | ±0.5 °C | 30 s |
| Recorder of temperature and wind speed that is wireless | WFWZY-1 | Va (m/s) | 0.05–5 m/s | 5% ± 0.05% m/s | 30 s |
| Va | <0.2 m/s | 0.2–0.6 m/s | 0.6–1.0 m/s |
|---|---|---|---|
| A | 0.5 | 0.6 | 0.7 |
| Environmental Parameters | Minimum | Maximum | Average | Standard Deviation | |
|---|---|---|---|---|---|
| Radiant floor heating | Ta (°C) | 11.74 | 34.74 | 26.68 | 4.22 |
| RH (%) | 29.5 | 85.1 | 61.82 | 11.76 | |
| Tg (°C) | 10.36 | 35.9 | 26.69 | 4.26 | |
| Va (m/s) | 0 | 0.11 | 0.05 | 0.02 | |
| Convection heating | Ta (°C) | 14.1 | 38.2 | 28.09 | 3.33 |
| RH (%) | 15.9 | 77.2 | 47.73 | 12.94 | |
| Tg (°C) | 16.3 | 43 | 28.21 | 3.4 | |
| Va (m/s) | 0 | 0.89 | 0.12 | 0.13 |
| Heating Condition | MTSV | Range |
|---|---|---|
| Radiant flood heating | −0.5–0.5 | 18.79–23.72 |
| −1–1 | 16.32–26.19 | |
| Convection heating | −0.5–0.5 | 20.1–25.93 |
| −1–1 | 17.19–28.84 |
| Heating Condition | N | σδTop | σ2δTop | b | badj | σ2ERR |
|---|---|---|---|---|---|---|
| Radiant | 1285 | 3.01 | 9.06 | 0.138 | 0.15 | 0.99 |
| Convection | 1444 | 3.41 | 11.63 | 0.244 | 0.26 | 0.67 |
Publisher’s Note: MDPI stays neutral with regard to jurisdictional claims in published maps and institutional affiliations. |
© 2022 by the authors. Licensee MDPI, Basel, Switzerland. This article is an open access article distributed under the terms and conditions of the Creative Commons Attribution (CC BY) license (https://creativecommons.org/licenses/by/4.0/).
Share and Cite
Fang, Z.; Guo, Z.; Chen, W.; Wu, H.; Zheng, Z. Experimental Investigation of Indoor Thermal Comfort under Different Heating Conditions in Winter. Buildings 2022, 12, 2232. https://doi.org/10.3390/buildings12122232
Fang Z, Guo Z, Chen W, Wu H, Zheng Z. Experimental Investigation of Indoor Thermal Comfort under Different Heating Conditions in Winter. Buildings. 2022; 12(12):2232. https://doi.org/10.3390/buildings12122232
Chicago/Turabian StyleFang, Zhaosong, Zhisheng Guo, Weibin Chen, Huijun Wu, and Zhimin Zheng. 2022. "Experimental Investigation of Indoor Thermal Comfort under Different Heating Conditions in Winter" Buildings 12, no. 12: 2232. https://doi.org/10.3390/buildings12122232
APA StyleFang, Z., Guo, Z., Chen, W., Wu, H., & Zheng, Z. (2022). Experimental Investigation of Indoor Thermal Comfort under Different Heating Conditions in Winter. Buildings, 12(12), 2232. https://doi.org/10.3390/buildings12122232
