Effect of the Openings on the Seismic Response of an Infilled Reinforced Concrete Structure
Abstract
1. Introduction
1.1. Motivation and Literature Review
1.2. Research Significance and Objectives
2. Modeling Strategy and Calibration
2.1. Description of the Numerical Modeling Strategy
2.2. Calibration of the Modeling Strategy
2.2.1. Methodology
2.2.2. Definition of the Modeling Parameters
2.2.3. Validation of the Modeling Strategy
2.3. Preliminary Conclusions on Modeling Calibration
3. Case Study
3.1. General Description
3.2. Modal Analyses
3.3. Nonlinear Pushover Analyses
3.4. Nonlinear Dynamic Analyses
4. Parametric Study
4.1. Effect of Irregular Vertical Distribution (Scenario A)
4.2. Effect of In-Plan Irregular Distribution (Scenario B)
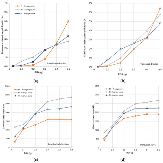
4.3. Effect of Openings Ratio (Scenario C)
5. Conclusions
- The vertical irregularity due to the distribution of openings changes the dynamic characteristics of the building structure, namely, the natural frequencies are reduced by 66%. It also modifies the initial stiffness values and maximum resistance by between 10 and 25%. It was also observed that the collapse mechanisms vary due to the openings.
- The in-plane irregularity in the opening distribution caused similar effects to those observed in Scenario A. The conclusions are identical to the previous case. In particular, the irregular horizontal distribution of the opening increases the potential for the torsional phenomena of the building. Reductions in the initial stiffness by between 32% and 56%, and in the maximum strength by around 7–18%, were also observed.
- The importance of the area of the openings was studied and it was found that this variable also influences the dynamic response of the building. The increase in the openings area makes the model response more similar to that without masonry infill walls. A relevant aspect to consider is the way in which the numerical input properties are defined for the masonry infill walls, since they cannot be directly extrapolated.
Author Contributions
Funding
Institutional Review Board Statement
Informed Consent Statement
Acknowledgments
Conflicts of Interest
References
- Eurocode 8: Design of Structures for Earthquake Resistance—Part 1-1: General Rules, Seismic Actions and Rules for Buildings, B; European Committee for Standardization: Brussels, Belgium, 2005.
- De Luca, F.; Verderame, G.M.; Gómez-Martínez, F.; Pérez-García, A. The structural role played by masonry infills on RC building performances after the 2011 Lorca, Spain, earthquake. Bull. Earthq. Eng. 2014, 12, 1999–2026. [Google Scholar] [CrossRef]
- Hermanns, L.; Fraile, A.; Alarcón, E.; Álvarez, R. Performance of buildings with masonry infill walls during the 2011 Lorca earthquake. Bull. Earthq. Eng. 2014, 12, 1977–1997. [Google Scholar] [CrossRef]
- Del Gaudio, C.; De Risi, M.T.; Scala, S.A.; Verderame, G.M. Seismic Loss Estimation in Pre-1970 Residential RC Buildings: The Role of Infills and Services in Low–Mid-Rise Case Studies. Front. Built Environ. 2020, 6, 589230. [Google Scholar] [CrossRef]
- Furtado, A.; Rodrigues, H.; Arêde, A. Effect of the infill panels in the floor response spectra of an 8-storey RC building. Structures 2021, 34, 2476–2498. [Google Scholar] [CrossRef]
- Asteris, P.G.; Chrysostomou, C.Z.; Giannopoulos, I.P.; Smyrou, E. Masonry infilled reinforced concrete frames with openings. In Proceedings of the ECCOMAS Thematic Conference—COMPDYN 2011: 3rd International Conference on Computational Methods in Structural Dynamics and Earthquake Engineering: An IACM Special Interest Conference, Programme, Antalya, Turkey, 23–25 May 2011; Available online: https://www.scopus.com/inward/record.uri?eid=2-s2.0-80054798067&partnerID=40&md5=3faf9c541e209ce7e4aa12f6607f3217 (accessed on 20 June 2021).
- Alinouri, H.; Danesh, F.A.; Beheshti-Aval, S.B. Effect of soft-storey mechanism caused by infill elimination on displacement demand in nonlinear static procedure using coefficient method. Struct. Des. Tall Spéc. Build. 2013, 22, 1296–1309. [Google Scholar] [CrossRef]
- Furtado, A.; De Risi, M.T. Recent Findings and Open Issues concerning the Seismic Behaviour of Masonry Infill Walls in RC Buildings. Adv. Civ. Eng. 2020, 2020, 9261716. [Google Scholar] [CrossRef]
- Alcocer, S.M.; Murià-Vila, D.; Fernández-Sola, L.R.; Ordaz, M.; Arce, J.C. Observed damage in public school buildings during the 2017 Mexico earthquakes. Earthq. Spectra 2020, 36 (Suppl. S2), 110–129. [Google Scholar] [CrossRef]
- Alcocer, S.M.; Arce, J.C.; Murià-Vila, D.; Fernández-Sola, L.R.; A Guardia, D. Assessment of the seismic safety of school buildings in Mexico: A first look. Earthq. Spectra 2020, 36 (Suppl. S2), 130–153. [Google Scholar] [CrossRef]
- Alberto, Y.; Otsubo, M.; Kyokawa, H.; Kiyota, T.; Towhata, I. Reconnaissance of the 2017 Puebla, Mexico earthquake. Soils Found. 2018, 58, 1073–1092. [Google Scholar] [CrossRef]
- Lafuente, M.; Genatios, C. On the Seismic-Resistant Behavior of Masonry Infill Walls with Concrete Frames. Bol. Tec-Nico/Tech. Bull. 1998, 36, 29–52. Available online: https://www.scopus.com/inward/record.uri?eid=2-s2.0-0346971113&partnerID=40&md5=29c3d267804199738e93dcf41ec98206 (accessed on 20 June 2021).
- Afefy, H.M.; Taher, S.F.; Khalil, A.A.; Issa, M.E. Nonlinear Response of Reinforced Concrete Infilled Frames under Lateral Dynamic Excitations. J. Eng. Appl. Sci. 2001, 48, 1149–1163. Available online: https://www.scopus.com/inward/record.uri?eid=2-s2.0-0035732848&partnerID=40&md5=77a23c6d107ca5779ddaf900efb7982b (accessed on 20 June 2021).
- Da Porto, F.; Donà, M.; Verlato, N.; Guidi, G. Experimental Testing and Numerical Modeling of Robust Unreinforced and Reinforced Clay Masonry Infill Walls, With and Without Openings. Front. Built Environ. 2020, 6, 591985. [Google Scholar] [CrossRef]
- Ahani, E.; Mousavi, M.N.; Ahani, A.; Kheirollahi, M. The Effects of Amount and Location of Openings on Lateral Behavior of Masonry Infilled RC Frames. KSCE J. Civ. Eng. 2019, 23, 2175–2187. [Google Scholar] [CrossRef]
- Sigmund, V.; Penava, D. Influence of Openings, with and without Confinement, on Cyclic Response of Infilled R-C Frames—An Experimental Study. J. Earthq. Eng. 2013, 18, 113–146. [Google Scholar] [CrossRef]
- Khoshnoud, H.R.; Marsono, K. Experimental study of masonry infill reinforced concrete frames with and without corner openings. Struct. Eng. Mech. 2016, 57, 641–656. [Google Scholar] [CrossRef]
- Kakaletsis, D.; Karayannis, C. Influence of Masonry Strenght and Openings on Infilled R/C Frames Under Cycling Load-ing. J. Earthq. Eng. 2008, 12, 197–221. [Google Scholar] [CrossRef]
- Zhai, C.; Kong, J.; Wang, X.; Chen, Z. Experimental and Finite Element Analytical Investigation of Seismic Behavior of Full-Scale Masonry Infilled RC Frames. J. Earthq. Eng. 2016, 20, 1171–1198. [Google Scholar] [CrossRef]
- Asteris, P.; Cotsovos, D.; Chrysostomou, C.; Mohebkhah, A.; Al-Chaar, G. Mathematical micromodeling of infilled frames: State of the art. Eng. Struct. 2013, 56, 1905–1921. [Google Scholar] [CrossRef]
- Asteris, P.; Cavaleri, L.; Di Trapani, F.; Tsaris, A. Numerical modelling of out-of-plane response of infilled frames: State of the art and future challenges for the equivalent strut macromodels. Eng. Struct. 2017, 132, 110–122. [Google Scholar] [CrossRef]
- Furtado, A.; Rodrigues, H.; Arêde, A. Experimental and numerical assessment of confined infill walls with openings and textile-reinforced mortar. Soil Dyn. Earthq. Eng. 2021, 151, 106960. [Google Scholar] [CrossRef]
- SeismoStruct—A Computer Program for Static and Dynamic Nonlinear Analysis of Framed Structures. Available online: http://www.seismosoft.com (accessed on 20 June 2021).
- Calabrese, A.; de Almeida, J.P.; Pinho, R.J.S.M. Numerical Issues in Distributed Inelasticity Modeling of RC Frame Elements for Seismic Analysis. J. Earthq. Eng. 2010, 14, 38–68. [Google Scholar] [CrossRef]
- Sadeghi, K. Nonlinear Numerical Simulation of Reinforced Concrete Columns Under Cyclic Biaxial Bending Moment and Axial Loading. Int. J. Civ. Eng. 2017, 15, 113–124. [Google Scholar] [CrossRef]
- Mander, J.B.; Priestley, M.J.N.; Park, R. Theoretical Stress-Strain Model for Confined Concrete. J. Struct. Eng. 1988, 114, 1804–1826. [Google Scholar] [CrossRef]
- Menegotto, M.; Pinto, P. Method of analysis for cyclically loaded reinforced concrete plane frames including changes in geometry and non-elastic behaviour of elements under combined normal force and bending. In Symposium on the Resistance and Ultimate Deformability of Structures Acted on by Well Defined Repeated Loads; International Association for Bridge and Structural Engineering: Zurich, Switzerland, 1973; pp. 15–22. [Google Scholar]
- Crisafulli, F.J. Seismic behaviour of reinforced concrete structures with masonry infills. In Civil Engineering; University of Canterbury: Christchurch, New Zealand, 1997. [Google Scholar]
- Smyrou, E.; Blandon, C.; Antoniou, S.; Pinho, R.; Crisafulli, F. Implementation and verification of a masonry panel model for nonlinear dynamic analysis of infilled RC frames. Bull Earthq. Sci. 2011, 9, 1519–1534. [Google Scholar] [CrossRef]
- Furtado, A.; Costa, C.; Arêde, A.; Rodrigues, H. Geometric characterisation of Portuguese RC buildings with masonry infill walls. Eur. J. Environ. Civ. Eng. 2016, 20, 396–411. [Google Scholar] [CrossRef]
- Rodrigues, H.; Varum, H.; Arêde, A.; Costa, A. A comparative efficiency analysis of different non-linear modelling strategies to simulate the biaxial response of RC columns. Earthq. Eng. Eng. Vib. 2012, 11, 553–566. [Google Scholar] [CrossRef]
- Furtado, A.; Rodrigues, H.; Arêde, A. Load-Path Influence in the Response of RC Buildings Subjected to Biaxial Horizontal Loadings: Numerical Study. Int. J. Civ. Eng. 2017, 16, 739–755. [Google Scholar] [CrossRef]
- Crisafulli, F.J.; Carr, A.J. Proposed macro-model for the analysis of infilled frame structures. Bull. N. Z. Soc. Earthq. Eng. 2007, 40, 69–77. [Google Scholar] [CrossRef]
- Carvalho, E.; Coelho, E. Análise Sísmica de Estruturas de Edifícios Segundo a Nova Regulamentação—Análise Estrutural de um Conjunto de 22 Edifícios; Lisbon, Portugal, 1984. [Google Scholar]
















| Input Parameters | Inf_12 (Panel w/o Opening) | Inf_14 (Panel w/ Opening) | Percentage of Reduction (%) | |
|---|---|---|---|---|
| Strut Elements | Em (Kpa) | 2,500,000 | 2,000,000 | 20 |
| fmθ (Kpa) | 470 | 376 | 20 | |
| ft (kPa) | 100 | 100 | 0 | |
| εm (%) | 0.00006 | 0.00006 | 0 | |
| εu (%) | 0.03 | 0.03 | 0 | |
| εcl (%) | 0.003 | 0.003 | 0 | |
| ε1 (%) | 0.00038 | 0.00038 | 0 | |
| ε2 (%) | 0.00295 | 0.00295 | 0 | |
| γun | 1.50 | 1.50 | 0 | |
| αre | 0.30 | 0.30 | 0 | |
| αch | 0.45 | 0.45 | 0 | |
| βa | 1.75 | 1.75 | 0 | |
| βch | 0.65 | 0.65 | 0 | |
| γplu | 0.60 | 0.60 | 0 | |
| γplr | 1.25 | 1.25 | 0 | |
| ex1 | 1.75 | 1.75 | 0 | |
| ex2 | 1.25 | 1.25 | 0 | |
| Shear Elements | τo | 100 | 80 | 20 |
| Μ | 0.70 | 0.7 | 0 | |
| τmax | 200 | 200 | 0 | |
| αs | 1.5 | 1.5 | 0 | |
| General properties | t (m) | 0.15 | 0.15 | 0 |
| OOP failure drift (%) | 5 | 5 | 0 | |
| Ams1 (m2) | 0.19 | 0.15 | 20 | |
| Ams2 (% of Ams1) | 50 | 40 | 20 | |
| hz (% of vertical panel side) | 0.55 | 0.55 | 0 | |
| Ks (kN/m) | 15 | 12 | 20 | |
| Self-weight (N/m3) | 98.5 | 84.4 | 15 | |
Publisher’s Note: MDPI stays neutral with regard to jurisdictional claims in published maps and institutional affiliations. |
© 2022 by the authors. Licensee MDPI, Basel, Switzerland. This article is an open access article distributed under the terms and conditions of the Creative Commons Attribution (CC BY) license (https://creativecommons.org/licenses/by/4.0/).
Share and Cite
Furtado, A.; Rodrigues, H.; Arêde, A. Effect of the Openings on the Seismic Response of an Infilled Reinforced Concrete Structure. Buildings 2022, 12, 2020. https://doi.org/10.3390/buildings12112020
Furtado A, Rodrigues H, Arêde A. Effect of the Openings on the Seismic Response of an Infilled Reinforced Concrete Structure. Buildings. 2022; 12(11):2020. https://doi.org/10.3390/buildings12112020
Chicago/Turabian StyleFurtado, André, Hugo Rodrigues, and António Arêde. 2022. "Effect of the Openings on the Seismic Response of an Infilled Reinforced Concrete Structure" Buildings 12, no. 11: 2020. https://doi.org/10.3390/buildings12112020
APA StyleFurtado, A., Rodrigues, H., & Arêde, A. (2022). Effect of the Openings on the Seismic Response of an Infilled Reinforced Concrete Structure. Buildings, 12(11), 2020. https://doi.org/10.3390/buildings12112020

