Predicting Chemical Shrinkage in Hydrating Cements
Abstract
1. Introduction
2. Thermodynamic Modelling
2.1. OPC Clinker Rate Equations
2.2. C-S-H Gel
2.3. Full Hydration Analysis
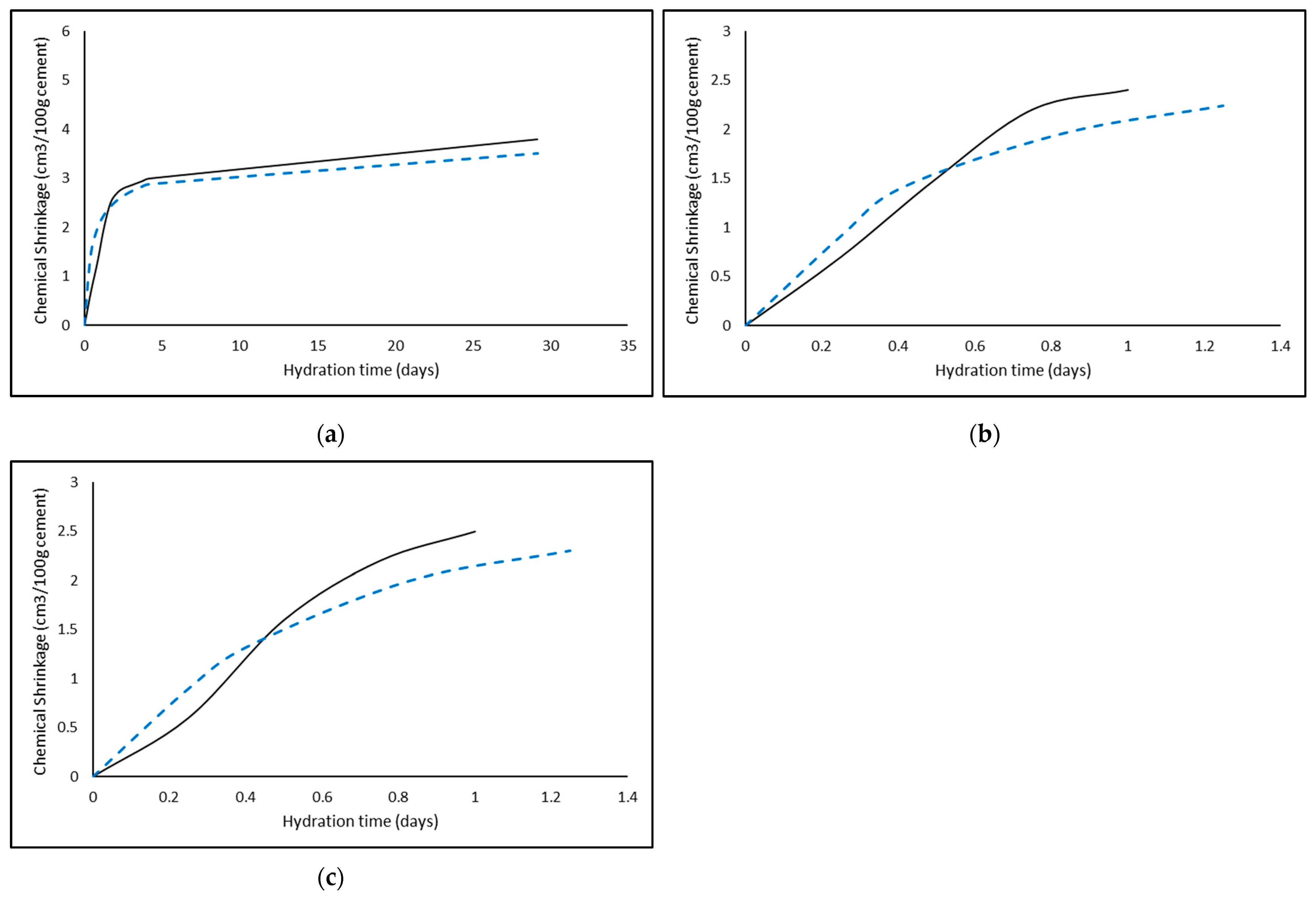
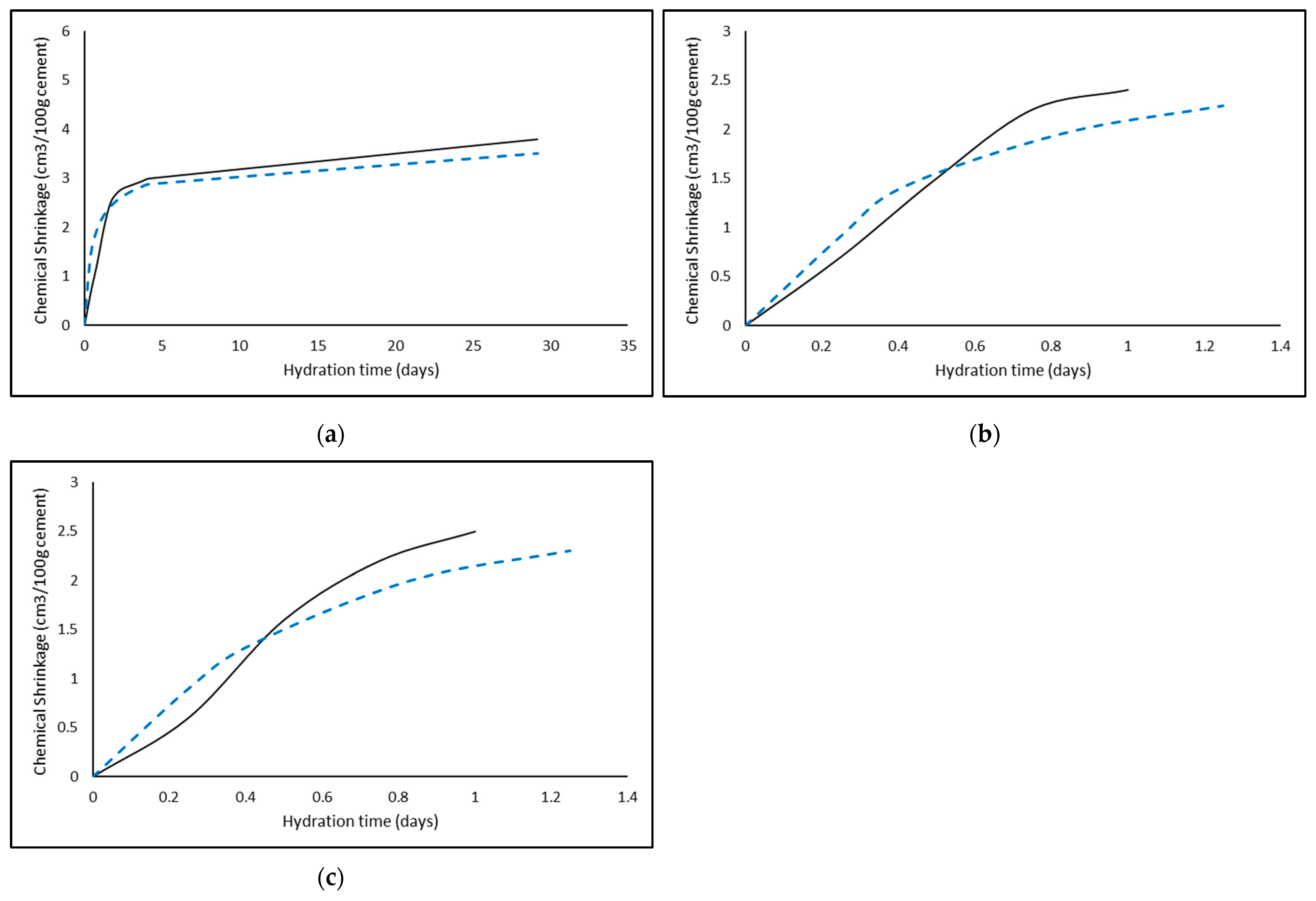
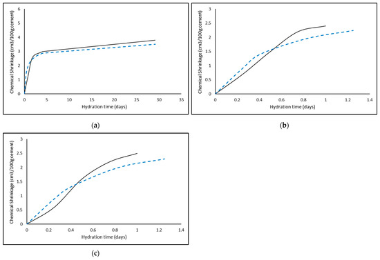
3. Discussion
4. Conclusions
Author Contributions
Funding
Institutional Review Board Statement
Informed Consent Statement
Data Availability Statement
Acknowledgments
Conflicts of Interest
References
- Bouasker, M.; Mounanga, P.; Turcry, P.; Loukili, A.; Khelidj, A. Chemical shrinkage of cement pastes and mortars at very early age: Effect of limestone filler and granular inclusions. Cem. Concr. Compos. 2008, 30, 13–22. [Google Scholar] [CrossRef]
- Geiker, M. Studies of Portland Cement Hydration by Measurements of Chemical Shrinkage and a Systematic Evaluation of Hydration Curves by Means of the Dispersion Model. Ph.D. Thesis, Technical University of Denmark, Lyngby, Denmark, 1983. [Google Scholar]
- Geiker, M.; Lyngby Technical University of Denmark; DTH; Institute of Mineral Industry (IMI). Studies of Portland Cement Hydration by Measurements of Chemical Shrinkage and a Systematic Evaluation of Hydration Curves by Means of the Dispersion Model: Lyngby DTH Licentiatafhandling; Technical University of Denmark: Lyngby, Denmark, 1983; Available online: https://books.google.ie/books?id=HEVjGwAACAAJ (accessed on 8 November 2022).
- Geiker, M.; Knudsen, T. Chemical shrinkage of portland cement pastes. Cem. Concr. Res. 1982, 12, 603–610. [Google Scholar] [CrossRef]
- Bentz, D.P.; Geiker, M.R.; Hansen, K.K. Shrinkage-reducing admixtures and early-age desiccation in cement pastes and mortars. Cem. Concr. Res. 2001, 31, 1075–1085. [Google Scholar] [CrossRef]
- Pang, X.; Bentz, D.P.; Meyer, C.; Funkhouser, G.P.; Darbe, R. A comparison study of Portland cement hydration kinetics as measured by chemical shrinkage and isothermal calorimetry. Cem. Concr. Compos. 2013, 39, 23–32. [Google Scholar] [CrossRef]
- Merzouki, T.; Bouasker, M.; El Houda Khalifa, N.; Mounanga, P. Contribution to the modeling of hydration and chemical shrinkage of slag-blended cement at early age. Constr. Build. Mater. 2013, 44, 368–380. [Google Scholar] [CrossRef]
- Yodsudjai, W.; Wang, K. Chemical shrinkage behavior of pastes made with different types of cements. Constr. Build. Mater. 2013, 40, 854–862. [Google Scholar] [CrossRef]
- Jupe, A.C.; Turrillas, X.; Barnes, P.; Colston, S.L.; Hall, C.; Häusermann, D.; Hanfland, M. Fast in situ X-ray-diffraction studies of chemical reactions: A synchrotron view of the hydration of tricalcium aluminate. Phys. Rev. B Cover. Condens. Matter Mater. Phys. 1996, 53, R14697–R14700. [Google Scholar] [CrossRef]
- Zhang, Z.; Scherer, G.W. Measuring chemical shrinkage of ordinary Portland cement pastes with high water-to-cement ratios by adding cellulose nanofibrils. Cem. Concr. Compos. 2020, 111, 103625. [Google Scholar] [CrossRef]
- De Siqueira, A.A.; Cordeiro, G.C. Properties of binary and ternary mixes of cement, sugarcane bagasse ash and limestone. Constr. Build. Mater. 2022, 317, 126150. [Google Scholar] [CrossRef]
- Wang, Y.; Li, J.; He, X.; Zheng, Z.; Su, Y.; Zhao, H.; Yang, J.; Strnadel, B. Effects of wet-grinded superfine waste glass on the fresh properties and reaction characteristic of cement pastes. Constr. Build. Mater. 2020, 247, 118593. [Google Scholar] [CrossRef]
- Bullerjahn, F.; Skocek, J.; Ben Haha, M.; Scrivener, K. Chemical shrinkage of ye’elimite with and without gypsum addition. Constr. Build. Mater. 2019, 200, 770–780. [Google Scholar] [CrossRef]
- Ke, G.; Zhang, J.; Liu, Y. Shrinkage characteristics of calcium sulphoaluminate cement concrete. Constr. Build. Mater. 2022, 337, 127627. [Google Scholar] [CrossRef]
- Hay, R.; Li, L.; Celik, K. Shrinkage, hydration, and strength development of limestone calcined clay cement (LC3) with different sulfation levels. Cem. Concr. Compos. 2022, 127, 104403. [Google Scholar] [CrossRef]
- Mounanga, P.; Khelidj, A.; Loukili, A.; Baroghel-Bouny, V. Predicting Ca(OH)2 content and chemical shrinkage of hydrating cement pastes using analytical approach. Cem. Concr. Res. 2004, 34, 255–265, Erratum in Cem. Concr. Res. 2005, 35, 423–424. [Google Scholar] [CrossRef]
- Lothenbach, B.; Winnefeld, F. Thermodynamic modelling of the hydration of Portland Cement. Cem. Concr. Res. 2006, 36, 209–226. [Google Scholar] [CrossRef]
- Lothenbach, B.; Le Saout, G.; Gallucci, E.; Scrivener, K. Influence of limestone on the hydration of Portland cements. Cem. Concr. Res. 2008, 38, 848–860. [Google Scholar] [CrossRef]
- Lothenbach, B.; Matschei, T.; Möschner, G.; Glasser, F.P. Thermodynamic modelling of the effect of temperature on the hydration and porosity of Portland cement. Cem. Concr. Res. 2008, 38, 1–18. [Google Scholar] [CrossRef]
- Lothenbach, B.; Kulik, D.A.; Matschei, T.; Balonis, M.; Baquerizo, L.; Dilnesa, B.; Miron, G.D.; Myers, R.J. Cemdata18: A chemical thermodynamic database for hydrated Portland cements and alkali-activated materials. Cem. Concr. Res. 2019, 115, 472–506. [Google Scholar] [CrossRef]
- Thoenen, T.; Hummel, W.; Berner, U.; Curti, E. The PSI/Nagra Chemical Thermodynamic Database 12/07; Paul Scherrer Institut: Villigen, Switzerland, 2014. [Google Scholar]
- British Standards Institute. BS EN 197-1; Cement: Composition, Specification and Conformity Criteria for Common Cements. British Standards Institute: London, UK, 2000.
- Parkhurst, D.L.; Appelo, C.A.J. Description of Input and Examples for PHREEQC Version 3—A Computer Program for Speciation, Batch-Reaction, One-Dimensional Transport and Inverse Geochemical Calculations; Technical Report; U.S. Geological Survey: Denver, CO, USA, 2013.
- Holmes, N.; Tyrer, M.; West, R.; Lowe, A.; Kelliher, D. Using PHREEQC to model cement hydration. Constr. Build. Mater. 2022, 319, 126129. [Google Scholar] [CrossRef]
- Holmes, N.; Kelliher, D.; Tyrer, M. Thermodynamic Cement Hydration Modelling using HYDCEM. In Proceedings of the Civil Engineering Research in Ireland (CERI), Cork, Ireland, 27–28 August 2020. [Google Scholar]
- Holmes, N.; Walker, C.; Tyrer, M.; Kelliher, D. Deriving Discrete Solid Phases from CSH-3T and CSHQ End-Members to Model Cement Hydration in PHREEQC. In Proceedings of the Civil Engineering Research in Ireland (CERI) Conference, Dublin, Ireland, 25–26 August 2022; pp. 28–33. [Google Scholar]
- Killoh, L.J.; Parrot, D.C. Prediction of Cement Hydration. Br. Ceram. Proc. 1984, 35, 41–53. [Google Scholar]
- Hong, S.Y.; Glasser, F.P. Alkali binding in cement pastes: Part I. The C-S-H phase. Cem. Concr. Res. 1999, 29, 1893–1903. [Google Scholar] [CrossRef]
- De Weerdt, K.; Ben Haha, M.; Le Saout, G.; Kjellsen, K.; Justnes, H.; Lothenbach, B. Hydration mechanisms of ternary Portland cements containing limestone powder and fly ash. Cem. Concr. Res. 2011, 41, 279–291. [Google Scholar] [CrossRef]
- Juilland, P.; Gallucci, E.; Flatt, R.; Scrivener, K. Dissolution theory applied to the induction period in alite hydration. Cem. Concr. Res. 2010, 40, 831–844. [Google Scholar] [CrossRef]





| Oxide Proportions | Phase Composition g/100 g | ||||
|---|---|---|---|---|---|
| (g/100 g Cement) | CEM I | CEM II/A-L | Phase | CEM I | CEM II/A-L |
| SiO2 | 19.04 | 17.50 | C3S | 60.79 | 51.23 |
| Al2O3 | 5.01 | 4.60 | C2S | 6.84 | 9.94 |
| Fe2O3 | 2.83 | 2.60 | C3A | 8.20 | 7.55 |
| CaO | 63.40 | 62.00 | C4AF | 8.32 | 7.66 |
| MgO | 2.31 | 2.30 | Calcite | 2.90 | 11.23 |
| Na2O | 0.28 | 0.26 | Gypsum | 4.31 | 3.99 |
| K2O | 0.54 | 0.50 | K2SO4 | 0.87 | 0.81 |
| CaO (free) | 1.71 | 1.62 | Lime | 1.65 | 1.57 |
| CO2 | 1.32 | 5.10 | Na2SO4 | 0.28 | 0.26 |
| SO3 | 2.65 | 2.45 | K2O | 0.05 | 0.05 |
| Periclase | 0.90 | 1.00 | Na2O | 0.15 | 0.14 |
| Blaine (m2/kg) | 386 | 474 | MgO | 2.23 | 2.23 |
| Loss in ignition | - | 7.22 | SO3 | 2.56 | 2.37 |
Publisher’s Note: MDPI stays neutral with regard to jurisdictional claims in published maps and institutional affiliations. |
© 2022 by the authors. Licensee MDPI, Basel, Switzerland. This article is an open access article distributed under the terms and conditions of the Creative Commons Attribution (CC BY) license (https://creativecommons.org/licenses/by/4.0/).
Share and Cite
Holmes, N.; Tyrer, M.; Kelliher, D. Predicting Chemical Shrinkage in Hydrating Cements. Buildings 2022, 12, 1972. https://doi.org/10.3390/buildings12111972
Holmes N, Tyrer M, Kelliher D. Predicting Chemical Shrinkage in Hydrating Cements. Buildings. 2022; 12(11):1972. https://doi.org/10.3390/buildings12111972
Chicago/Turabian StyleHolmes, Niall, Mark Tyrer, and Denis Kelliher. 2022. "Predicting Chemical Shrinkage in Hydrating Cements" Buildings 12, no. 11: 1972. https://doi.org/10.3390/buildings12111972
APA StyleHolmes, N., Tyrer, M., & Kelliher, D. (2022). Predicting Chemical Shrinkage in Hydrating Cements. Buildings, 12(11), 1972. https://doi.org/10.3390/buildings12111972

