Experimental Study on the Overall Stability of Corroded H-Shaped Steel Beams
Abstract
1. Introduction
2. Test Profile
2.1. Parameters of the Steel Beam Specimens
2.2. Accelerated Corrosion of the Steel Beams
2.3. Mechanical Tests on the Corroded Steel Beams
2.4. Overall Stability Test of the Corroded Steel Beams
2.4.1. Loading Device and Support Design
2.4.2. Arrangement of the Measuring Points
3. Test Process and Analysis of the Results
3.1. Mechanical Test Results and Analysis of the Corroded Steel Beams
3.2. Overall Stability Test Process of the Corroded Steel Beams and Result Analysis
3.2.1. Loading Process
3.2.2. Overall Stability Test Phenomenon of the Corroded Steel Beams
3.2.3. Analysis of the Load–Displacement Curves
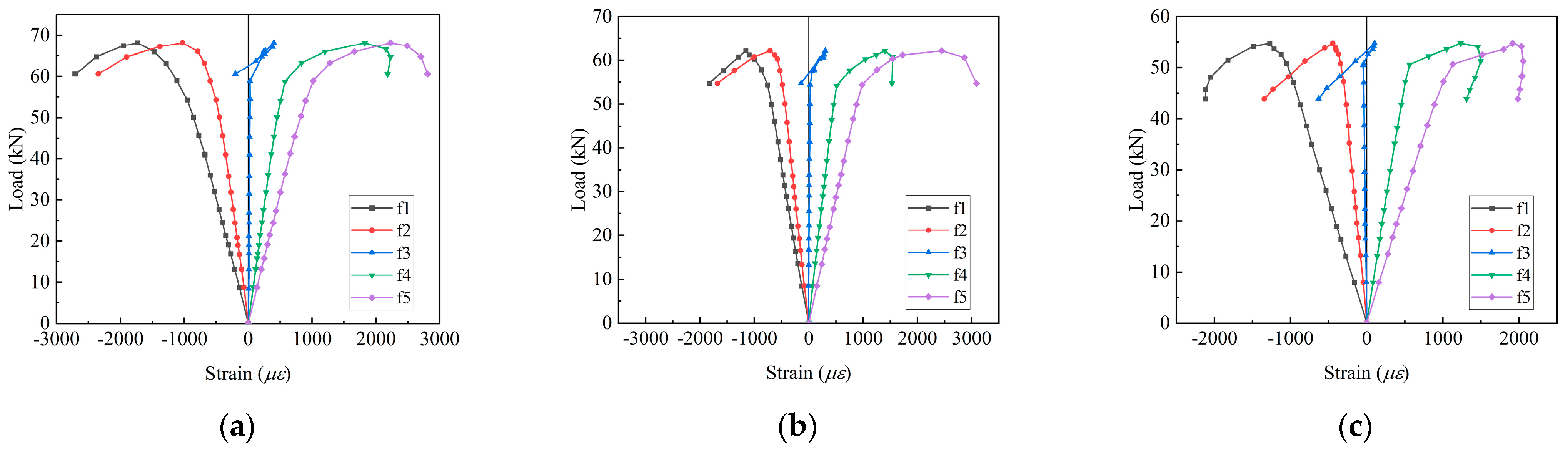
3.2.4. Analysis of Load–Strain Curves
3.2.5. Comparison of Test Results and Relevant Codes of Various Countries
- (1)
- The Chinese code GB 50017-2017 [38] adopts the overall stability coefficient for calculation, and the calculation of the overall stability ultimate bearing capacity of bending members is based on Formula (8) as follows:where is the design value of the maximum bending moment, is the gross section modulus of the beams, and is the overall stability coefficient of the beams.
- (2)
- In European code EN 1993–2005 [39], there are four classes of cross sections according to the width–thickness ratio, and the test members that have been selected in this paper are Class-1 cross section. The formula for calculating the overall stability ultimate bearing capacity of bending members is as follows:where is the section modulus, the plastic section modulus of full-section yield is taken for Class 1–2 cross sections, and is the flexural–torsional buckling reduction factor.
- (3)
- American code ANSI/AISC360-2016 [40] adopts the load and resistance factor design method for the design and the calculation of the overall stability of bending members. In the code, limit state formulas of the three classes of the cross sections are provided, including compact and noncompact or slender-element sections respectively. For the biaxial symmetrical thick I-shaped cross section, Formula (18) should be employed for calculation as follows:where is the resistance factor for flexure, and the constant value is 0.9. For , according to the relationship among , , and , the lateral flexural–torsional buckling of bending members falls into three cases. In this paper, the members belong to the second case, that is, , and the elastic–plastic lateral flexural–torsional buckling of members can be specifically calculated as follows:where is the plastic section modulus, is the elastic section modulus, is the length of the segment without lateral support, is the flexural–torsional buckling correction factor for the supported segment with uneven bending moment distribution, is the limiting laterally unbraced length for the limit state of yielding, and is the limiting unbraced length for the limit state of inelastic lateral–torsional buckling.
4. Finite Element Model Calculation
4.1. Finite Element Modelling of the Corroded Steel Beams
4.2. Comparison between the Failure Modes Obtained from the Test and Numerical Simulation
4.3. Comparison between the Numerical Simulation Results of the Corroded Steel Beams
4.4. Influence of Initial Bending on the Overall Stability Ultimate Bearing Capacity of Corroded Steel Beams
5. Conclusions
- (1)
- The quantitative relationship between various mechanical properties and the corrosion rate was established. With an increase in the corrosion rate of the beams, the yield strength, the ultimate strength, the elastic modulus, and the elongation of the steel degraded to different degrees, among which the degradation of the elongation was the most obvious. This indicated that corrosion has a major impact on the plastic deformation ability of steel;
- (2)
- In this test, an improved loading device was employed in order to release the lateral constraint of a traditional jack on the specimens during loading. The H-shaped steel beams with different corrosion degrees were found to have similar failure modes and were subjected to overall instability failure, which was in accordance with the expectation from the test. The ultimate bearing capacities of the corroded steel beams were lower than those of the uncorroded steel beams. The higher the corrosion rate, the lower the overall stability ultimate bearing capacity. Compared with the test beams with a corrosion rate of 6%, those with a corrosion rate of 12% had a substantially lower overall stability ultimate bearing capacity. With the aggravation of corrosion, the elastic working stages of the beams that were subjected to three-point bending were shortened; the lateral displacement corresponding to the peak load was reduced; the strength, the stiffness, and the stability of the steel beams were further degraded; and flexural–torsional buckling occurred early. Serious corrosion will lead to the significant degradation of the overall stability of the members. In addition, after comparing the test results with the calculated values that were based on the relevant codes of various countries, it was found that the calculated results that were based on Chinese code G are the most conservative, while those that were based on European code E and American code A tend to be conservative but are relatively close. Therefore, the three methods can all be employed for the overall stability design of Q235 rolled H-shaped steel beams, and the calculation method that is based on A can be adopted to roughly calculate the overall stability ultimate bearing capacity of Q235 corroded rolled H-shaped steel beams;
- (3)
- In this study, two methods were adopted in order to construct the numerical models of the corroded H-shaped steel beams, that is, the uniform reduction in the sectional dimensions and the double-reduction in the mechanical properties of the material and sectional dimensions. Through comparative analysis, the calculation results that were obtained from the double-reduction method were found to be in better agreement with the test results than that of the other method. This can better reflect the actual stress state of the corroded steel beams and the degradation of the mechanical properties of the material. Therefore, these results can be used as a reference for similar tests and simulations;
- (4)
- The influence of the initial bending on the overall stability ultimate bearing capacity of corroded steel beams has been explored by several groups of the verified finite element models. It has been found that the decline of the overall stability ultimate bearing capacity of steel beams increases with the increase in the corrosion rate within the range of 0–20% and tends to slow down when the corrosion rate exceeds 20%. The overall stability ultimate bearing capacity of corroded steel beams decreases with the increase in the initial bending, and the influence of the initial bending on the overall stability ultimate bearing capacity of corroded steel beams tends to decline when the value is greater than l/1000.
Author Contributions
Funding
Data Availability Statement
Conflicts of Interest
References
- Wang, J.J.; Zhao, J.D.; Hu, J.Y. Review and thinking on development of building industrialization in China. China Civ. Eng. J. 2016, 49, 1–8. [Google Scholar] [CrossRef]
- Liu, Z.K.; Jin, L.J.; Zhou, X.H.; Ma, Y.W. State-of-the-art on research of direct analysis method of steel members with global instability. J. Build. Struct. 2021, 42, 1–12. [Google Scholar] [CrossRef]
- Hradil, P.; Fülöp, L.; Talja, A. Global stability of thin-walled ferritic stainless steel members. Thin-Walled Struct. 2012, 61, 106–114. [Google Scholar] [CrossRef]
- Fortan, M.; Rossi, B. Lateral Torsional Buckling of Welded Stainless Steel I-Profile Beams: Experimental Study. J. Struct. Eng. 2021, 147, 04020342. [Google Scholar] [CrossRef]
- Ranjithkumar, M.; Usha Priya, B.T.; Punitha Kumar, A. Lateral torsional buckling of steel beams strengthened by steel plate. Mater. Today Proc. 2022, 49, 1670–1673. [Google Scholar] [CrossRef]
- Xiong, G.; Yang, B.; Wang, S.B.; Xu, G.Y.; Dai, G.X.; Nie, S.D.; Hu, Y.; Zhang, W.F. Tests on lateral torsional buckling behavior of welded Q460GJ structural steel beams. Eng. Mech. 2016, 33, 214–218. [Google Scholar] [CrossRef]
- Yang, B.; Zhang, Y.; Xiong, G.; Elchalakani, M.; Kang, S.-B. Global buckling investigation on laterally-unrestrained Q460GJ steel beams under three-point bending. Eng. Struct. 2019, 181, 271–280. [Google Scholar] [CrossRef]
- Xiong, G.; Feng, Y.; Peng, Q.; Kang, S.-B.; Zhang, Y.; Fan, Y.-L. Lateral-torsional buckling behaviour of 690 MPa high strength steel beams. Structures 2021, 33, 3999–4010. [Google Scholar] [CrossRef]
- Lee, C.-H.; Han, K.-H.; Uang, C.-M.; Kim, D.-K.; Park, C.-H.; Kim, J.-H. Flexural Strength and Rotation Capacity of I-Shaped Beams Fabricated from 800-MPa Steel. J. Struct. Eng. 2013, 139, 1043–1058. [Google Scholar] [CrossRef]
- Gathimba, N.; Kitane, Y. Effect of surface roughness on tensile ductility of artificially corroded steel plates. J. Constr. Steel Res. 2021, 176, 106392. [Google Scholar] [CrossRef]
- Imperatore, S.; Rinaldi, Z. Experimental behavior and analytical modeling of corroded steel rebars under compression. Constr. Build. Mater. 2019, 226, 126–138. [Google Scholar] [CrossRef]
- Kim, H.-S.; Dao, D.K.; Shin, C.-H.; Jeong, Y.-S.; Kim, I.-T. Compressive strength evaluation of circular tubular short columns with locally corroded ends. J. Constr. Steel Res. 2018, 149, 31–40. [Google Scholar] [CrossRef]
- Oszvald, K.; Tomka, P.; Dunai, L. The remaining load-bearing capacity of corroded steel angle compression members. J. Constr. Steel Res. 2016, 120, 188–198. [Google Scholar] [CrossRef]
- Kim, Y.-B.; Toledo, K.K.; Jeong, Y.-S.; Song, S.-Y.; Kim, I.T. Residual compressive strength of locally corroded intermediate tubular steel columns. Eng. Fail. Anal. 2022, 138, 106375. [Google Scholar] [CrossRef]
- Karagah, H.; Shi, C.; Dawood, M.; Belarbi, A. Experimental investigation of short steel columns with localized corrosion. Thin-Walled Struct. 2015, 87, 191–199. [Google Scholar] [CrossRef]
- Garbatov, Y.; Soares, C.G.; Parunov, J.; Kodvanj, J. Tensile strength assessment of corroded small scale specimens. Corros. Sci. 2014, 85, 296–303. [Google Scholar] [CrossRef]
- Wu, B.; Cao, J.-L.; Kang, L. Influence of local corrosion on behavior of steel I-beams subjected to end patch loading: Experiments. J. Constr. Steel Res. 2017, 135, 150–161. [Google Scholar] [CrossRef]
- Sheng, J.; Xia, J.W.; Ma, R.W. Experimental study on the coupling effect of sulfate corrosion and loading on the mechanical behavior of steel and H-section beam. Constr. Build. Mater. 2018, 189, 711–718. [Google Scholar] [CrossRef]
- Kim, I.-T.; Lee, M.-J.; Ahn, J.-H.; Kainuma, S. Experimental evaluation of shear buckling behaviors and strength of locally corroded web. J. Constr. Steel Res. 2013, 73, 75–89. [Google Scholar] [CrossRef]
- Ahn, J.-H.; Cheung, J.-H.; Lee, W.-H.; Oh, H.; Kim, I.-T. Shear buckling experiments of web panel with pitting and through-thickness corrosion damage. J. Constr. Steel Res. 2015, 115, 290–302. [Google Scholar] [CrossRef]
- Ahn, J.-H.; Kainuma, S.; Yasuo, F.; Takehiro, I. Repair method and residual bearing strength evaluation of a locally corroded plate girder at support. Eng. Fail. Anal. 2013, 33, 398–418. [Google Scholar] [CrossRef]
- Zhang, Z.X.; Xu, S.H.; Mu, L.; Peng, S.Y. Experimental and Theoretical Investigation on Flexural Behavior of Corroded Steel Beams Strengthened by CFRP Plate. KSCE J. Civ. Eng. 2020, 24, 2160–2172. [Google Scholar] [CrossRef]
- Zhang, Z.X.; Xu, S.H.; Wang, H.; Nie, B.; Su, C. Flexural buckling behavior of corroded hot-rolled H-section steel beams. Eng. Struct. 2021, 229, 111614. [Google Scholar] [CrossRef]
- Fiolek, P.; Jakubowski, J. Local buckling of highly corroded hot-rolled box-section beams. J. Constr. Steel Res. 2019, 157, 359–370. [Google Scholar] [CrossRef]
- Liu, C.; Miyashita, T.; Nagai, M. Analytical Study on Shear Capacity of Steel I-Girders with Local Corrosion nearby Supports. Procedia Eng. 2011, 14, 2276–2284. [Google Scholar] [CrossRef]
- Tzortzinis, G.; Knickle, B.T.; Bardow, A.; Breña, S.F.; Gerasimidis, S. Strength evaluation of deteriorated girder ends. I: Experimental study on naturally corroded I-beams. Thin-Walled Struct. 2021, 159, 107220. [Google Scholar] [CrossRef]
- Tzortzinis, G.; Knickle, B.T.; Bardow, A.; Breña, S.F.; Gerasimidis, S. Strength evaluation of deteriorated girder ends. II: Numerical study on corroded I-beams. Thin-Walled Struct. 2021, 159, 107216. [Google Scholar] [CrossRef]
- Tzortzinis, G.; Breña, S.F.; Gerasimidis, S. Experimental testing, computational analysis and analytical formulation for the remaining capacity assessment of bridge plate girders with naturally corroded ends. Eng. Struct. 2022, 252, 113488. [Google Scholar] [CrossRef]
- Tzortzinis, G.; Ai, C.; Breña, S.F.; Gerasimidis, S. Using 3D laser scanning for estimating the capacity of corroded steel bridge girders: Experiments, computations and analytical solutions. Eng. Struct. 2022, 265, 114407. [Google Scholar] [CrossRef]
- Saad-Eldeen, S.; Garbatov, Y.; Soares, C.G. Effect of corrosion severity on the ultimate strength of a steel box girder. Eng. Struct. 2013, 49, 560–571. [Google Scholar] [CrossRef]
- Saad-Eldeen, S.; Garbatov, Y.; Soares, C.G. Ultimate strength assessment of corroded box girders. Ocean Eng. 2013, 58, 35–47. [Google Scholar] [CrossRef]
- Jelovica, J.; Romanoff, J.; Ehlers, S.; Aromaa, J. Ultimate strength of corroded web-core sandwich beams. Mar. Struct. 2013, 31, 1–14. [Google Scholar] [CrossRef]
- Tohidi, S.; Sharifi, Y. Load-carrying capacity of locally corroded steel plate girder ends using artificial neural network. Thin-Walled Struct. 2016, 100, 48–61. [Google Scholar] [CrossRef]
- Jagtap, P.R.; Pore, S.M. Strengthening of fully corroded steel I-beam with CFRP laminates. Mater. Today Proc. 2021, 43, 2170–2175. [Google Scholar] [CrossRef]
- Bao, A.; Guillaume, C.; Satter, C.; Moraes, A.; Williams, P.; Kelly, T.; Guo, Y. Testing and evaluation of web bearing capacity of corroded steel bridge girders. Eng. Struct. 2021, 238, 112276. [Google Scholar] [CrossRef]
- General Administration of Quality Supervision, Inspection and Quarantine of the People’s Republic of China. Metallic Materials-Tensile Testing-Part1: Method of Test at Room Temperature; GB/T 228.1-2010; Standards Press of China: Beijing, China, 2010. [Google Scholar]
- Luo, L.S.; Chen, Z.H.; Zhao, X.L.; Zhang, Y. Deterioration model for resistance of steel member in atmospheric environment. Struct. Eng. 2019, 35, 02. [Google Scholar] [CrossRef]
- Ministry of Housing and Urban-Rural Development of the People’s Republic of China. Standard for Design of Steel Structures: GB 50017-2017; China Architecture & Building Press: Beijing, China, 2017. (In Chinese) [Google Scholar]
- European Committee for Standardization. Eurocode 3: Design of Steel Structures: Part 1-1: General Rules and Rules for Buildings: EN 1993–2005; European Committee for Standardization: Brussels, Belgium, 1992. [Google Scholar]
- AIC. Specification for Structural Steel Buildings: ANSI/AISC 360-2016; American Institute of Construction: Chicago, IL, USA, 2016. [Google Scholar]
- ABAQUS, Version 6.10; Hibbit, Karlsson & Sorenson: Pawtucket, RI, USA, 2010.




















| Material | Clear Span /mm | Height /mm | Width /mm | Web Thickness /mm | Flange Thickness /mm | Fillet Radius /mm | Quantity |
|---|---|---|---|---|---|---|---|
| Q235 | 1500 | 150 | 75 | 5 | 7 | 10 | 7 |
| Specimen No. | Designed Corrosion Rate η/% | Initial Mass of the Steel Beam ma/g | Designed Corrosion Mass Δm/g | Electrifying Time t/h | Mass of the Steel Beam after Corrosion mb/g | Actual Corrosion Rate η′/% |
|---|---|---|---|---|---|---|
| A01 | 0% | 20,016 | 0 | 0 | 20,016 | 0% |
| A11 | 6% | 19,710 | 1182.6 | 119.17 | 18,604 | 5.61% |
| A12 | 6% | 20,360 | 1221.6 | 123.10 | 19,358 | 4.92% |
| A13 | 6% | 20,410 | 1224.6 | 123.41 | 19,217 | 5.85% |
| A21 | 12% | 20,310 | 2437.2 | 245.60 | 17,981 | 11.47% |
| A22 | 12% | 20,510 | 2461.2 | 248.02 | 18,203 | 11.25% |
| A23 | 12% | 20,060 | 2407.2 | 242.58 | 17,699 | 11.77% |
| Specimen No. | η′/% | fy/Mpa | fu/Mpa | E/Mpa | δ/% |
|---|---|---|---|---|---|
| A01 | 0 | 267.0 | 416.0 | 2.01 × 105 | 33.7 |
| A11 | 5.61 | 258.8 | 405.3 | 1.94 × 105 | 29.7 |
| A12 | 4.92 | 261.0 | 406.0 | 1.95 × 105 | 30.3 |
| A13 | 5.85 | 257.6 | 405.1 | 1.92 × 105 | 29.2 |
| A21 | 11.47 | 243.3 | 376.4 | 1.81 × 105 | 26.2 |
| A22 | 11.25 | 244.1 | 377.3 | 1.83 × 105 | 26.6 |
| A23 | 11.77 | 242.4 | 374.6 | 1.80 × 105 | 25.8 |
| No. | η’/% | Qexp/kN | Mexp/kN·m |
|---|---|---|---|
| A01 | 0 | 68.10 | 25.54 |
| A11 | 5.61 | 62.18 | 23.32 |
| A12 | 4.92 | 63.68 | 23.88 |
| A13 | 5.85 | 61.51 | 23.07 |
| A21 | 11.47 | 55.06 | 20.65 |
| A22 | 11.25 | 55.60 | 20.85 |
| A23 | 11.77 | 54.73 | 20.52 |
| No. | η′/% | Mexp/kN∙m | Mu, GB/kN∙m | Mu, EC3/kN∙m | Mu, ANSI/kN∙m | Mexp/Mu, GB | Mexp/Mu, EC3 | Mexp/Mu, ANSI |
|---|---|---|---|---|---|---|---|---|
| A01 | 0 | 25.54 | 21.31 | 23.14 | 23.60 | 1.198 | 1.104 | 1.082 |
| A11 | 5.61 | 23.32 | 19.50 | 21.04 | 21.65 | 1.196 | 1.108 | 1.077 |
| A12 | 4.92 | 23.88 | 19.81 | 21.37 | 21.98 | 1.205 | 1.117 | 1.086 |
| A13 | 5.85 | 23.07 | 19.36 | 20.86 | 21.49 | 1.192 | 1.106 | 1.074 |
| A21 | 11.47 | 20.65 | 17.20 | 18.43 | 19.15 | 1.201 | 1.120 | 1.078 |
| A22 | 11.25 | 20.85 | 17.30 | 18.58 | 19.26 | 1.205 | 1.122 | 1.083 |
| A23 | 11.77 | 20.52 | 17.08 | 18.28 | 19.02 | 1.201 | 1.123 | 1.079 |
| No. | η′/% | Qexp/kN | Q1/kN | Q2/kN | D1/% | D2/% |
|---|---|---|---|---|---|---|
| A01 | 0 | 68.10 | 69.37 | 69.37 | 1.86% | 1.86% |
| A11 | 5.61 | 62.18 | 66.49 | 63.69 | 6.93% | 2.43% |
| A12 | 4.92 | 63.68 | 67.47 | 64.90 | 5.95% | 1.92% |
| A13 | 5.85 | 61.51 | 66.21 | 63.34 | 7.64% | 2.98% |
| A21 | 11.47 | 55.06 | 62.62 | 57.61 | 13.73% | 4.63% |
| A22 | 11.25 | 55.60 | 62.74 | 58.17 | 12.84% | 4.62% |
| A23 | 11.77 | 54.73 | 62.43 | 57.32 | 14.07% | 4.73% |
| Corrosion Rate/% | Initial Bending | Ultimate Bearing Capacity/kn | Change Rate in the Ultimate Bearing Capacity/% |
|---|---|---|---|
| 0% | 0.4 l/1000 | 71.03 | 2.39 |
| 0.6 l/1000 | 70.39 | 1.47 | |
| 0.8 l/1000 | 69.84 | 0.68 | |
| l/1000 | 69.37 | - | |
| 1.2 l/1000 | 68.99 | −0.55 | |
| 1.4 l/1000 | 68.63 | −1.07 | |
| 1.6 l/1000 | 68.31 | −1.53 | |
| 5% | 0.4 l/1000 | 66.16 | 2.27 |
| 0.6 l/1000 | 65.61 | 1.42 | |
| 0.8 l/1000 | 65.07 | 0.59 | |
| l/1000 | 64.69 | - | |
| 1.2 l/1000 | 64.37 | −0.49 | |
| 1.4 l/1000 | 63.97 | −0.99 | |
| 1.6 l/1000 | 63.77 | −1.42 | |
| 10% | 0.4 l/1000 | 60.54 | 2.40 |
| 0.6 l/1000 | 59.93 | 1.37 | |
| 0.8 l/1000 | 59.38 | 0.44 | |
| l/1000 | 59.12 | - | |
| 1.2 l/1000 | 58.94 | −0.30 | |
| 1.4 l/1000 | 58.61 | −0.86 | |
| 1.6 l/1000 | 58.40 | −1.22 | |
| 15% | 0.4 l/1000 | 53.40 | 2.22 |
| 0.6 l/1000 | 52.88 | 1.22 | |
| 0.8 l/1000 | 52.49 | 0.48 | |
| l/1000 | 52.24 | - | |
| 1.2 l/1000 | 52.06 | −0.35 | |
| 1.4 l/1000 | 51.73 | −0.98 | |
| 1.6 l/1000 | 51.54 | −1.34 | |
| 20% | 0.4 l/1000 | 43.99 | 2.42 |
| 0.6 l/1000 | 43.58 | 1.47 | |
| 0.8 l/1000 | 43.23 | 0.65 | |
| l/1000 | 42.95 | - | |
| 1.2 l/1000 | 42.72 | −0.54 | |
| 1.4 l/1000 | 42.46 | −1.14 | |
| 1.6 l/1000 | 42.32 | −1.47 | |
| 25% | 0.4 l/1000 | 36.40 | 2.33 |
| 0.6 l/1000 | 36.07 | 1.41 | |
| 0.8 l/1000 | 35.80 | 0.65 | |
| l/1000 | 35.57 | - | |
| 1.2 l/1000 | 35.40 | −0.48 | |
| 1.4 l/1000 | 35.19 | −1.07 | |
| 1.6 l/1000 | 35.09 | −1.35 | |
| 30% | 0.4 l/1000 | 30.40 | 2.46 |
| 0.6 l/1000 | 30.08 | 1.38 | |
| 0.8 l/1000 | 29.84 | 0.57 | |
| l/1000 | 29.67 | - | |
| 1.2 l/1000 | 29.56 | −0.37 | |
| 1.4 l/1000 | 29.41 | −0.88 | |
| 1.6 l/1000 | 29.28 | −1.31 |
Publisher’s Note: MDPI stays neutral with regard to jurisdictional claims in published maps and institutional affiliations. |
© 2022 by the authors. Licensee MDPI, Basel, Switzerland. This article is an open access article distributed under the terms and conditions of the Creative Commons Attribution (CC BY) license (https://creativecommons.org/licenses/by/4.0/).
Share and Cite
Luo, L.; Fu, H.; Zhang, Y.; Xie, X. Experimental Study on the Overall Stability of Corroded H-Shaped Steel Beams. Buildings 2022, 12, 1923. https://doi.org/10.3390/buildings12111923
Luo L, Fu H, Zhang Y, Xie X. Experimental Study on the Overall Stability of Corroded H-Shaped Steel Beams. Buildings. 2022; 12(11):1923. https://doi.org/10.3390/buildings12111923
Chicago/Turabian StyleLuo, Lisheng, Houlin Fu, Yongqiang Zhang, and Xinran Xie. 2022. "Experimental Study on the Overall Stability of Corroded H-Shaped Steel Beams" Buildings 12, no. 11: 1923. https://doi.org/10.3390/buildings12111923
APA StyleLuo, L., Fu, H., Zhang, Y., & Xie, X. (2022). Experimental Study on the Overall Stability of Corroded H-Shaped Steel Beams. Buildings, 12(11), 1923. https://doi.org/10.3390/buildings12111923
