Next Article in Journal
Numerical Simulation of Galloping Characteristics of Multi-Span Iced Eight-Bundle Conductors Tower Line System
Next Article in Special Issue
Fresh and Hardened Properties of Cementitious Composites Incorporating Firebrick Powder from Construction and Demolition Waste
Previous Article in Journal
Research on Fine Scheduling and Assembly Planning of Modular Integrated Building: A Case Study of the Baguang International Hotel Project
Previous Article in Special Issue
The Early Age Hydration Products and Mechanical Properties of Cement Paste Containing GBFS under Steam Curing Condition
 
 
Font Type:
Arial Georgia Verdana
Font Size:
Aa Aa Aa
Line Spacing:
Column Width:
Background:
Article

Strength Properties of Cement-Solidified Dredged Sludge Affected by Curing Temperature

1
College of Civil Engineering and Architecture, Weifang University, Weifang 261061, China
2
Key Laboratory of Ministry of Education for Geomechanics and Embankment Engineering, Hohai University, Nanjing 210098, China
3
Zibo Planning and Information Center, Zibo 255022, China
4
College of Civil Engineering, Tongji University, Shanghai 200092, China
5
School of Civil Engineering and Architecture, East China University of Technology, Nanchang 330013, China
*
Author to whom correspondence should be addressed.
Buildings 2022, 12(11), 1889; https://doi.org/10.3390/buildings12111889
Submission received: 20 September 2022 / Revised: 19 October 2022 / Accepted: 2 November 2022 / Published: 4 November 2022

Abstract

In this study, unconfined compressive strength (qu) tests were conducted to explore the coupling effect of organic matter content (3.7%, 7.7%, 10.7%, and 13.7%) and curing temperature (18 °C, 36 °C, 46 °C) on the development of early and mid-late strength of cement-solidified dredged sludge (cement-stabilized clay, or CSC). The microstructure of the CSC containing organic matter at different curing temperatures was also analyzed. The results show that qu of CSC decreases with the increase in organic matter content (Co). The strength growth rate of CSC in the mid-late stage (≥14 days) is small when Co ≥ 7.7%, and it is difficult to increase this strength growth rate even if the curing temperature is increased up to 46 °C. There is a cement incorporation ratio threshold of 15% for qu of CSC containing organic matter (Co = 7.7%), which is not affected by curing temperature; increasing the cement incorporation ratio (to 20%) cannot increase qu significantly. The CSC with high curing temperature has more hydration products and higher structural compactness, and it can obtain higher qu in the early and mid-late stages. A high curing temperature can increase the early strength growth rate and shorten the curing age for CSC containing organic matter.

1. Introduction

More than 100 million cubic meters of dredged sludge are produced every year in China’s coastal areas from harbor dredging, waterway widening and water quality improvements [1,2,3,4,5,6]. Dredged sludge generally has high clay content and high water content, due to using a cutter suction dredger. Currently, the dredged sludge is often abandoned in cofferdams, occupying a large amount of land resources for a long time, which leads to social conflicts and environmental pollution [7]. In order to transform the sludge into suitable engineering materials, achieve waste utilization and sustainable economic development, chemical solidification technology using cementitious materials such as cement and lime is generally proposed and has been already applied in some construction projects, such as ports, road subbases and airports [8,9,10,11,12,13,14,15,16].
In recent years, fluid-plastic cement-solidified dredged sludge (cement-stabilized clay, or CSC) has been pumped into reclamation areas to form construction sites that meet a certain mechanical strength for reclamation projects, which could solve the problem of the shortage of resources, and it is one important way to use this waste material in large-scale applications [17,18,19]. Except for the characteristics of low cement content and high initial water content of CSC in reclamation projects [14,20], there are also the following two distinctive features: (1) Sludge (especially for marine sediments) usually contains a certain amount of organic matter [21,22,23,24,25], affecting the development of strength; (2) CSC is usually directly poured underwater, and the seawater temperature is used as the ambient temperature. Taking the waters near Hainan and Guangdong provinces of China as an example, the ambient temperature is higher than 25 °C for more than 6 months per year, and the maximum temperature is 30 °C [26]. In addition, CSC technology usually has a large filling volume and fast construction speed, which leads to the heat generated by cement hydration gathering inside the CSC, making the temperature of the whole pouring area significantly higher than the external temperature. The internal hydration heat of large-volume CSC is high, the seawater temperature varies in different sea areas, and the ambient temperature varies in different areas (e.g., the highest temperature recorded in Singapore in 2017 was 35.7 °C) [17,27,28], all of which factors are different from those in the curing environment of traditional CSC.
The main representative material of organic matter is humic acid [29,30,31,32], which will adsorb on the surface of soil particles, lowering the pH value of pore water and hindering cement hydration and pozzolanic reactions [31,33,34]. Calcium humate formed by hydration reaction will deposit on the surface of cement particles, preventing the formation of chemical products and soil-cement [35]. Organic matter has a large number of functional groups, which affect the stability of the soil skeleton formed by clay particles and hydration products [36]. Tremblay et al. [37] analyzed the influence of different organic compounds on the strength of cement-solidified soil from the perspective of a curing mechanism through laboratory tests and pointed out that the existence of organic matter can seriously affect the strength development. When the pH value is less than 9.0, cement products do not form in the presence of high sulfate content. A large number of previous results showed that the presence of organic matter significantly reduced the strength of cement-solidified soil [24,36,38,39]. Du et al. [24] investigated the 28-day unconfined compressive strength with organic matter content in the range of 0–21% and found that the strength decreased (the strength loss was increased) with the increase of organic matter content. When the organic matter content was 21%, the strength was about 40% compared to the solidified soil system without organic matter. However, for foundation soil rich in organic matter (e.g., peat foundation), the unconfined compressive strength did not reach 300 kPa even when the cement content reached 30% [35]. Kang et al. [29] found that the strength development of cement-solidified soil is controlled by both cement and humus content. For a given humic acid content, there was a threshold cement content at which the adverse effect of humic acid on strength development could be overcome. All these conclusions showed that organic matter has a negative effect on cement-solidified soil, but the effect of curing temperature was not considered in the previous studies.
Curing temperature will affect the mechanical behavior of cement-stabilized material [40]. Concrete and mortar generally have higher early strength at higher curing temperatures, but the long-term strength will decrease [41]. For cement stabilized sludge, the high curing temperature can reduce the pH requirement for the pozzolanic reaction between clay particles and Ca(OH)2, and thus the quantity of pozzolanic reactions between the Ca(OH)2 and kaolinite is increased. High curing temperature can accelerate the cement hydration, which accumulates more strength in reinforced material, and lead to a higher early and long-term strength. These conclusions are confirmed by the measured data [28,42,43,44,45]. However, few studies have focused on the long-term behavior of cement-stabilized clays at different temperatures. The important factors affecting the strength of solidified soil (organic matter and curing temperature) have opposite effects on the strength development of solidified soil. Current studies mainly focus on the independent influence of a single factor on the strength behavior of solidified soil, and few studies have been devoted to solidified dredged sludge. The coupling effect of the two factors on the strength performance of CSC is still unclear. Thus, it is important to clarify the influence of curing temperature and organic matter on the strength development of CSC to better use it in industrial applications.
The unconfined compressive strength tests of CSC with different cement incorporation ratios, initial water content, organic matter content and curing temperature are carried out in the laboratory. The influences of the coupling effect of organic matter and curing temperature on the strength growth of CSC at the early and mid-late stages are comprehensively evaluated. In addition, the microstructure of CSC containing organic matter is analyzed by Scanning Electron Microscopy (SEM). This study will provide knowledge on the strength development of large-volume underwater pouring projects using CSC as filler at different curing temperatures.

2. Materials and Experimental Program

2.1. Materials

The dredged sludge used in this study was obtained from Huaihe River bank sediment (located in Bengbu City, Anhui Province, China). Table 1 shows the physical properties of dredged sludge. According to ASTM D2487, the tested sludge was a high liquid limit clay [46]. According to the potassium dichromate method, the organic matter content in the sludge was measured as 3.7%. Adding high-purity humic acid (HA) to soil was the main method to prepare cement-solidified organic-containing soil [47]. Therefore, the effect of organic matter on the strength of CSC was investigated by adding HA to the sludge. The organic matter used is 95% pure powder HA from Jinan Luhui Chemical Co., Ltd. (Jinan, Shandong Province, China). The cement used in this study (P.S.A 32.5) is mainly composed of 49% Portland cement, 39% slag, and 7% fly ash, which is provided by Zhucheng Yangchun Cement Co., Ltd. (Weifang, Shandong Province, China). The physical and chemical properties of cement are shown in Table 2.

2.2. Test Scheme

In the practical engineering of CSC, the cement incorporation ratio Aw is usually 10–20% [48]. According to the different organic matter contents present in the sludge from different regions and the solidification test of the organic matter reported in the sludge [21,22,23,24], the corresponding organic matter contents used in this study were chosen as 3.7%, 7.7%, 10.7% and 13.7%, respectively. Since the organic matter content (Co) of the original sludge is 3.7%, the amount of HA added (CHA) is 0%, 4%, 7% and 10%, respectively [24]. The curing temperature range of the existing research ranges from 10 to 50 °C [49,50], so 18 °C, 36 °C and 46 °C are selected as the curing temperatures in this study.
To investigate the effects of initial water content w, cement incorporation ratio Aw, and organic matter content Co on strength, the mixture conducted in this study is shown in Table 3. The CSC samples designed with the above different mixing ratios were cured at three curing temperatures (T = 18 °C, 36 °C, 46 °C), and the curing ages used were 3, 7, 14, 28, and 60 days, respectively. About 480 samples of different mixes were evaluated in this study. Each group has two parallel samples, and the average value is presented in the results and discussion section.
The dosage of each material (e.g., cement, HA, water) was calculated based on the experimental design of each mixing ratio. Powdered HA and purified water were added to the sludge, then they were mechanically stirred until homogenous states were reached. A proper amount of cement was added to the sludge-HA-water mixture and mixed for 6–8 min. The well-mixed cement-sludge-HA-water mixture was poured in three layers into a cylindrical PVC mold (φ × h = 4 cm × 8 cm) which was evenly coated with Vaseline. In order to eliminate the influence of bubbles, each layer of the mixture was poured and vibrated on a shaking table for 30 s. The molds were stored in the standard curing box and demolded after 6 h. The demolded samples were stored in the curing tank by adjusting the different curing temperatures. After a specific curing age, the unconfined compressive strength test was carried out. The strength of CSC was measured by using a YYW-II strain controlled unconfined compression gauge, and the data were collected by a TMR-200 multi-data acquisition system. Scanning electron microscopy (SEM) was used to examine the sections of the fractured specimens after 60 days of curing. For SEM tests, the images were taken with a Zeiss EVO 18 at a magnification of 2000 to 20,000. In order to get a more ideal solid section, the broken sample was knocked open and small pieces with flat surfaces were selected from the center. Before the SEM test, the sample was soaked in anhydrous alcohol and then dried at a low temperature for 8 h. To prevent charge accumulation on the sample surface, a layer of conductive adhesive was sprayed onto the observation sample. Finally, the sample was placed on the holder, and the flat part of the sample was selected for the SEM observation.

3. Results and Discussion

3.1. Influences of Cement Incorporation Ratio and Water Content on the Unconfined Compressive Strength

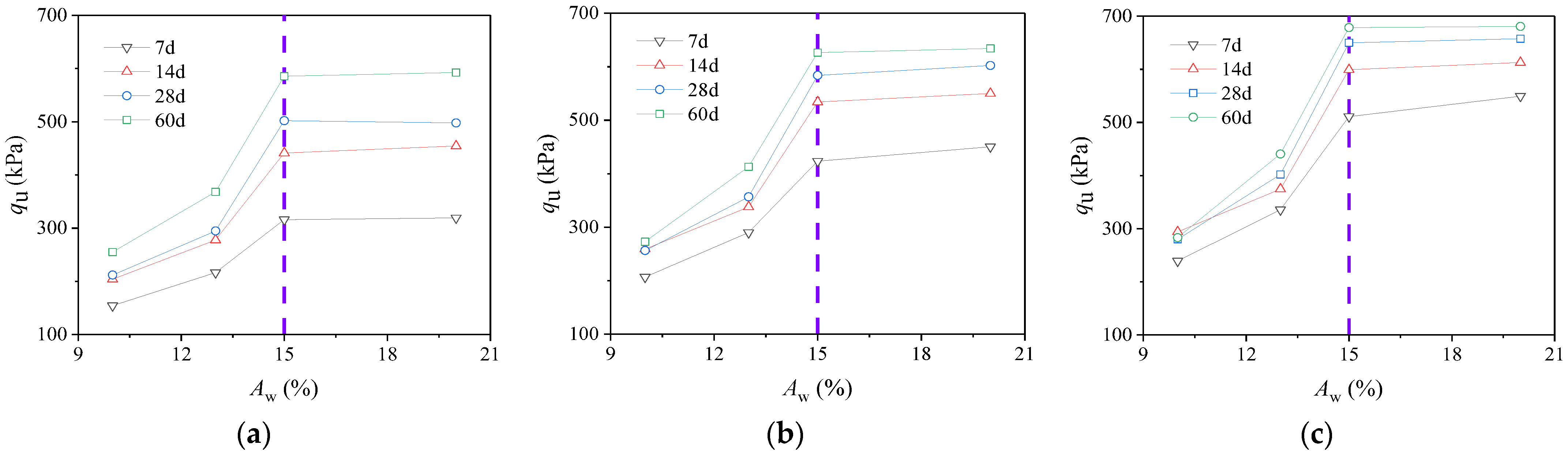
Figure 1 shows the relationship between unconfined compressive strength qu and cement incorporation ratio Aw of CSC. For a given water content, the qu of CSC at each curing age increases with the increase of Aw. The increasing trend of qu with Aw of CSC at different curing ages is different. The qu of CSC with 3 d, 7 d and 14 d curing ages increases linearly with the increase of Aw, while the qu of CSC with 28 d and 60 d curing ages increases nonlinearly with Aw. The strength growth rate can be obtained by taking the derivative of the fitting formula of the qu-Aw curve at different ages. The strength growth rate of 3 d, 7 d and 14 d increases with the increase of curing age. For the samples at 28 d and 60 d, the strength growth rate of CSC gradually decreases with the increase of Aw. When Aw is less than 15%, the longer the curing age and the greater the strength growth rate. However, when Aw is greater than 15%, the strength growth trend of 28 d and 60 d becomes slower, even lower than the strength growth rate of 7 d and 14 d.
Figure 2 shows the variation of qu as a function of the initial water content w of CSC at different curing ages. For a given cement content, the strength of solidified sludge decreases nonlinearly with the increase of w. Combined with the change law of qu with Aw analyzed above, qu increases and decreases nonlinearly with the increase of Aw and w, respectively, which is consistent with the previous research results [51]. In CSC, cement hydration products are mainly calcium silicate hydrate (CSH) and calcium hydroxide (Ca(OH)2), which contribute to the strength development. The initial water content is high in the solidified sludge samples (minimum 1.5 wL), and the samples are in a saturated state during the curing process. When the initial water content increases, the corresponding water distribution in the pores of soil particles and cementation products increases, which leads to a decrease of the interaction between particle clusters.

3.2. Influence of Organic Matter Content on the Unconfined Compressive Strength

Figure 3 shows the variation of unconfined compressive strength as a function of organic matter content Co of solidified sludge at different temperatures and curing ages. In general, the influence of Co on the qu at each curing age is negative. When Co is between 3.7% and 13.7%, qu decreases with the increase of Co. When the curing age exceeds 14 days, qu decreases significantly when Co is less than 7.7%, and the reduction trend of qu slows down when Co is greater than 7.7%.
For a given curing temperature, the strength of CSC mixed with a certain amount of organic matter increases in different ranges with the curing age. When Co is larger than 7.7%, the growth range of qu in the mid-late stage is limited. When the curing temperature rises, the increase of the strength of CSC in the mid-late stage is very small. At the curing temperature of 46 °C, the qu of CSC after 28d with a Co of 7.7%, 10.7% and 13.7% are 664, 640 and 580 kPa, respectively, while the qu of CSC after 60d with a Co of 13.7% is 590 kPa, which is only 10 kPa higher than that of qu at 28d. It shows that the strength of CSC at high curing temperature and high organic matter content does not increase in the mid-late stage. Organic matter affects the strength growth of CSC in the mid-late stage, and high curing temperature will further aggravate the effect.
In order to quantitatively compare the effect of adding amount of HA on the strength development of CSC, the retention coefficient of strength is defined as RCT = qu,ct/qu,t where qu,ct and qu,t are the unconfined compressive strengths of CSC with and without HA at a certain curing temperature and age, respectively. Figure 4 shows the development law of RCT with the added amount of HA (CHA). For a given curing temperature, the change of RCT with CHA shows a similar tread to the qu-Co curve of CSC, i.e., RCT decreases with the increase of CHA (seen in Figure 4a). The longer the curing age, the more obvious is the reduction of RCT. The RCT values of 7 d, 28 d and 60 d curing ages with CHA = 7% are 0.81, 0.72 and 0.66, respectively, which indicate that the effect of organic matter on the strength of CSC in the mid-late stage is greater than that in the early stage. In the alkaline environment of cement hydration, humic acid will exchange ions with calcium, magnesium, iron, aluminum and other metal ions, resulting in the reduction of hydroxide ion OH in pores of CSC, which makes it difficult to excite the pozzolanic reaction. Thus, the mid- and late-stage strength growth of CSC is greatly reduced [38,52].
In addition, Figure 4b,c shows that, for a given Co (or CHA) and curing age, the RCT values at different curing temperatures are similar, which indicates that the reduction degree of organic matter on the strength of CSC is not affected by the temperature. When predicting the strength of CSC in practical projects, the independent variables Co and T corresponding to organic matter content and curing temperature can be considered, respectively [43].
Figure 5 shows the variation of unconfined compressive strength with cement incorporation content at different temperatures when organic matter content is 7.7%. When Aw is not larger than 15%, the qu-Aw curve of CSC with added HA shows an increasing trend, which is similar to that of CSC with CHA = 0%. However, when Aw is greater than 15%, the qu-Aw curve stops growing. This indicates that for organic-containing sludge, there is a cement incorporation ratio threshold, which is not affected by temperature, and when Aw is greater than this threshold, the increase of Aw does not increase its qu significantly. The hyperbolic model is commonly used to predict the change of unconfined compressive strength with curing age. However, due to the existence of the Aw threshold in organic-containing sludge, there will be a large error if the model is still used to predict the strength growth.
Figure 6 shows SEM images with different CHA. Compared with the CSC without HA (CHA = 0%), the sample with HA (CHA = 4%) shows a lower density. Although the pore size of the sample doped with HA (CHA = 4%) is relatively high, hydration products can also be observed around the clay particles, which are mutually cemented with the soil particles and improve the strength of CSC. However, with the increase of organic matter content (CHA = 7%), the needle-like CSH in the SEM image of CSC is almost not observed. In addition, the structure is relatively loose (the porosity is relatively high), and so the strength of the sample is low. This may be due to the acid produced by organic matter consuming a large amount of Ca(OH)2 in cement hydration products, which leads to the decrease of pozzolanic reaction. The hydrate products such as CSH and calcium aluminate hydrate (CAH) are decreased, which can reduce the strength of the specimens.

3.3. Influence of Curing Temperature on the Unconfined Compressive Strength

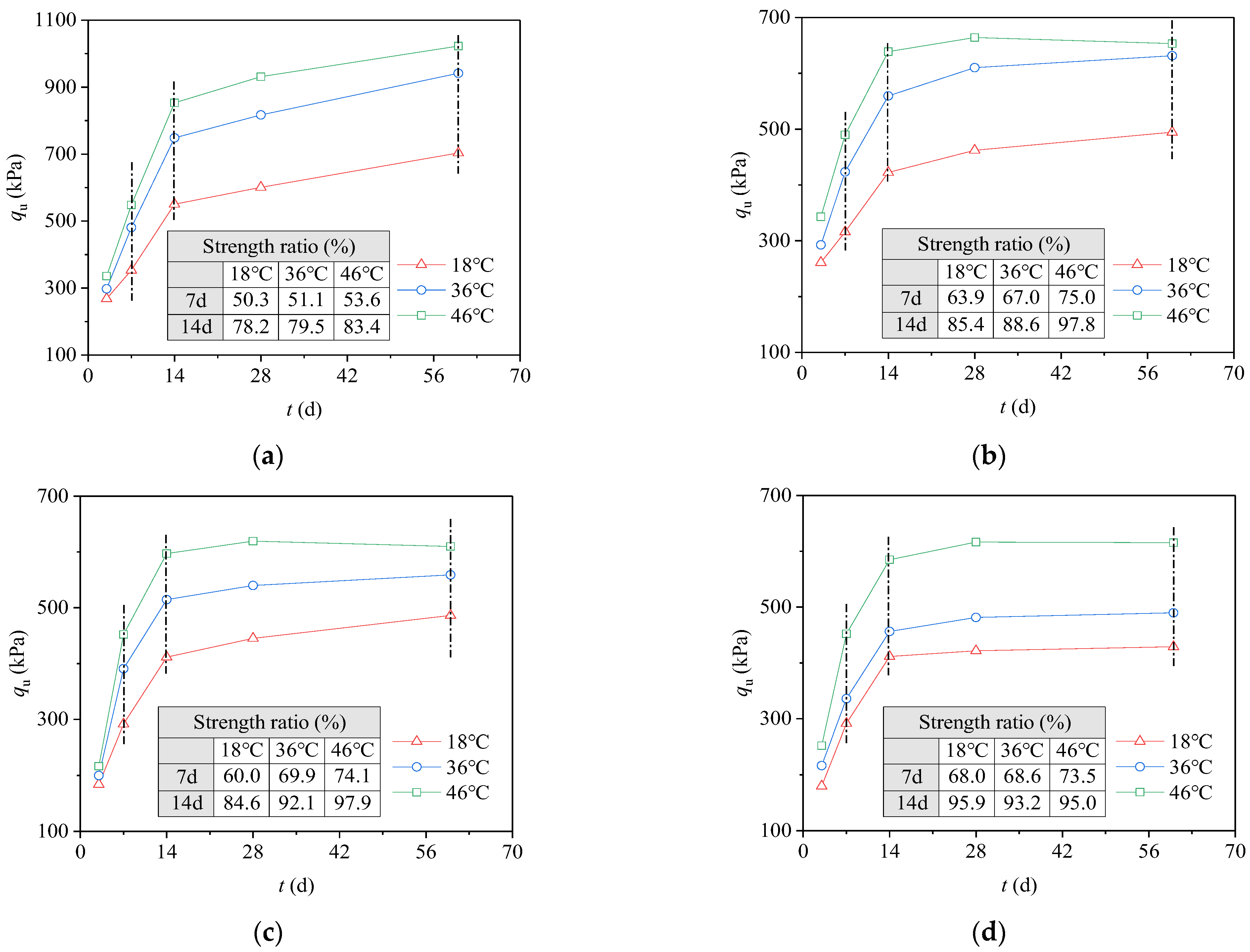
Figure 7 shows the strength development of solidified sludge containing organic matter at different temperatures. For a given mix ratio and curing age, the samples at higher curing temperatures can always obtain higher qu in the early and mid-late stages, indicating that curing temperature can improve the strength of CSC. The increasing polymerization rate of silicate products and the formation of denser cementitious products are the main reasons for the early strength increase. The higher curing temperature is conducive to the dissociation of silicate and aluminate, which makes more Ca(OH)2 participate in the pozzolanic reaction and produces more strengthening products, thus further increasing the strength in the mid-late stage [42].
The strength ratio is defined as the ratio of the strength at different ages to the strength at 60 d age. The addition of HA can affect the development of curve shape and strength. Without adding HA, the strength of CSC at 7 d age can reach 50% of the compressive strength at 60 d age, while the strength at 14 d age can reach 80% of that at 60d age, and qu increases with curing age. The strength ratios at 7 d and 14 d of CSC mixed with HA are higher than those without HA at the same age and curing temperature, indicating that organic matter increases the strength growth rate at the early stage of CSC. At the same curing age, the strength ratio of CSC with different organic matter content increases with the increase of curing temperature. When the curing temperature is 46 °C, the 14 d strength ratios are more than 95%, indicating that the curing age of the CSC containing organic matter can be greatly shortened by increasing the curing temperature.
In order to explain the effect of temperature on the strength of CSC, SEM tests were carried out on 60-day specimens with CHA = 4%. Figure 8 and Figure 9 show SEM images of CSC at 18 °C, 36 °C and 46 °C, respectively. The soil structure of solidified sludge samples at 18 °C has the worst compactness at lower magnification (2K), and large intergranular voids can be observed. With the increase in temperature, the samples show fewer voids and higher compactness. Using a higher magnification (20K), the bonding materials between the soil particles—calcium silicate hydrate CSH and calcium hydroxide CH—can be observed, specifically as aggregates of elongated spicules and anchor sheets. The samples at 18 °C show the lowest amount of fine gel or mesh products in the soil-cement body. In the 36 °C samples, a higher density network structure can be observed, indicating that a large amount of solidified soil is formed in the CSC. In the 46 °C samples, most of the soil particles are observed to be covered with fine gel-like reinforcing material with only a few unfilled pores. Bi and Chian (2021) found through XRD patterns that the hydration products were mainly Ca(OH)2 and CSH. At a lower curing temperature (less than 23 °C), the content of Ca(OH)2 in the solidification products was high. However, at a higher curing temperature (48 °C), Ca(OH)2 was consumed by the pozzolanic reaction with silicate SiO2 and aluminate Al2O3 in soil minerals [28]. The high curing temperature reduces the pH requirement for the pozzolanic reaction to occur [42]. The increase of curing temperature accelerates cement hydration and increases the amount of pozzolanic reactions between Ca(OH)2 and clay minerals, both of which can produce strength-reinforced CSH material. As can be seen from Figure 9, with the increase of temperature, the amount of CSH increases. The observed positive relationship between the amount of binding material and curing temperature is consistent with the relationship observed by other studies [28]. In addition, in the case of relatively low cement content, a cement particle is likely to be surrounded by multiple clay particles; cement hydration products will more easily bond with clay particles and make reinforcement materials (such as CSH) distribute evenly [28], giving the CSC high strength at high curing temperatures.

4. Conclusions

In this study, the influences of organic matter content and curing temperature on the strength evolution of cement-solidified sludge are investigated by conducting unconfined compressive strength tests of CSC with different mixing ratios. The main conclusions are as follows:
(1)
The unconfined compressive strength qu increases with the increase of cement incorporation ratio Aw and decreases with the increase of water content w. When the organic matter content Co is 7.7%, there is the same threshold of Aw (15%) in the CSC at different temperatures. When Aw is greater than the threshold, the increase of Aw value (to 20%) does not increase the qu at different curing ages significantly.
(2)
The overall effect of organic matter content on the qu of CSC is negative. Organic matter reduces the strength growth of CSC in the mid-late stage, but it increases the strength growth rate of CSC in the early stage, and high curing temperature will further aggravate this effect.
(3)
The retention coefficient of strength value RCT decreases with the increase of CHA, and the longer the curing age, the more obvious the reduction of RCT. The effect of organic matter on the qu of CSC in the mid-late stage is greater than in the early stage.
(4)
The high curing temperature can improve the unconfined compressive strength in the early and mid-late stages of CSC, which can accelerate the formation of hydration products, improve the structural compactness, and greatly shorten the curing age of cement-solidified dredged sludge. This study will provide knowledge on the strength development of large-volume underwater pouring projects using CSC as filler in different curing temperatures.

Author Contributions

Y.C.: Conceptualization, methodology, writing—original draft preparation, supervision, project administration, funding acquisition; J.Z.: investigation, formal analysis, data curation; Z.Z.: writing—review and editing, funding acquisition, validation; J.L.: investigation, visualization, formal analysis; H.L.: writing—review and editing, validation, investigation. All authors have read and agreed to the published version of the manuscript.

Funding

This research was funded by the National Natural Science Foundation of China with grant number 52178347; the project ZR2021ME068 supported by Shandong Provincial Natural Science Foundation; Key Laboratory of Ministry of Education for Geomechanics and Embankment Engineering, Hohai University, grant number 2021006; Excellent Doctor Young Teacher Support Program of Weifang University; Scientific Research Foundation of Weifang University, grant number 2021BS32; Fundamental Research Funds for the Central Universities, funding numbers: 22120220084 (Tongji University).

Data Availability Statement

Not applicable.

Conflicts of Interest

The authors declare no conflict of interest.

References

  1. Huang, Y.H.; Zhu, W.; Qian, X.D.; Zhang, N.; Zhou, X.Z. Change of Mechanical Behavior between Solidified and Remolded Solidified Dredged Materials. Eng. Geol. 2011, 119, 112–119. [Google Scholar] [CrossRef]
  2. Cao, Y.P.; Xu, J.W.; Bian, X.; Xu, G.Z. Effect of Clogging on Large Strain Consolidation with Prefabricated Vertical Drains by Vacuum Pressure. KSCE J. Civ. Eng. 2019, 23, 4190–4200. [Google Scholar] [CrossRef]
  3. Cao, Y.P.; Zhang, R.; Xu, G.Z.; Xu, J.W. Axisymmetric Large Strain Consolidation by Vertical Drains Considering Well Resistance under Vacuum Pressure. Arab. J. Geosci. 2021, 14, 2016. [Google Scholar] [CrossRef]
  4. Cao, Y.P.; Zhang, J.; Xu, J.W.; Xu, G.Z. A Large-Strain Vacuum-Assisted Radial Consolidation Model for Dredged Sludge Considering Lateral Deformation. KSCE J. Civ. Eng. 2020, 24, 3561–3572. [Google Scholar] [CrossRef]
  5. Bian, X.; Zeng, L.L.; Li, X.Z.; Hong, J.T. Deformation Modulus of Reconstituted and Naturally Sedimented Clays. Eng. Geol. 2021, 295, 106450. [Google Scholar] [CrossRef]
  6. Bian, X.; Zeng, L.L.; Li, X.Z.; Shi, X.S.; Zhou, S.M.; Li, F.Q. Fabric Changes Induced by Super-Absorbent Polymer on Cement and Lime Stabilized Excavated Clayey Soil. J. Rock Mech. Geotech. Eng. 2021, 13, 1124–1135. [Google Scholar] [CrossRef]
  7. Cao, Y.P.; Ding, J.W.; Zhang, R.; Xu, G.Z. Effect of Vertical Flow on Consolidation Degree of Foundation with Vertical Drains in Large-Strain Consolidation Theory. KSCE J. Civ. Eng. 2021, 25, 3264–3272. [Google Scholar] [CrossRef]
  8. Kitazume, M.; Satoh, T. Development of a Pneumatic Flow Mixing Method and its Application to Central Japan International Airport Construction. Proc. Inst. Civ. Eng.-Ground Improv. 2003, 7, 139–148. [Google Scholar] [CrossRef]
  9. Gao, Y.; Wang, Y.H. Experimental and DEM Examinations of K0 in Sand under Different Loading Conditions. J. Geotech. Geoenvironmental Eng. 2014, 140, 1–11. [Google Scholar] [CrossRef]
  10. Ma, C.; Qin, Z.H.; Zhuang, Y.C.; Chen, L.Z.; Chen, B. Influence of Sodium Silicate and Promoters on Unconfined Compressive Strength of Portland Cement-Stabilized Clay. Soils Found. 2015, 55, 1222–1232. [Google Scholar] [CrossRef]
  11. Horpibulsuk, S.; Suksiripattanapong, C.; Samingthong, W.; Rachan, R.; Arulrajah, A. Durability against Wetting–Drying Cycles Of Water Treatment Sludge–Fly Ash Geopolymer and Water Treatment Sludge–Cement and Silty Clay–Cement Systems. J. Mater. Civ. Eng. 2016, 28, 04015078. [Google Scholar] [CrossRef]
  12. Cecchin, I.; Reddy, K.R.; Thomé, A.; Tessaro, E.F.; Schnaid, F. Nanobioremediation: Integration of Nanoparticles and Bioremediation for Sustainable Remediation of Chlorinated Organic Contaminants in Soils. Int. Biodeterior. Biodegrad. 2017, 119, 419–428. [Google Scholar] [CrossRef]
  13. Nordin, N.S.; Chan, C.M. Undrained Shear Strength of Low Dosage Cement-Solidified Dredged Marine Soils (DMS) for Reclamation Works. Int. J. Geomate 2017, 13, 180–186. [Google Scholar] [CrossRef]
  14. Khalid, U.; Liao, C.C.; Ye, G.L.; Yadav, S.K. Sustainable Improvement of Soft Marine Clay Using Low Cement Content: A Multi-Scale Experimental Investigation. Constr. Build. Mater. 2018, 191, 469–480. [Google Scholar] [CrossRef]
  15. Lee, H.; Kim, S.J.; Kang, B.H.; Lee, K.S. Long-Term Settlement Prediction of Ground Reinforcement Foundation Using a Deep Cement Mixing Method in Reclaimed Land. Buildings 2022, 12, 1279. [Google Scholar] [CrossRef]
  16. Zhang, G.; Ding, Z.; Zhang, R.; Chen, C.; Fu, G.; Luo, X.; Wang, Y.; Zhang, C. Combined Utilization of Construction and DemolitionWaste and Propylene Fiber in Cement-Stabilized Soil. Buildings 2022, 12, 350. [Google Scholar] [CrossRef]
  17. Zhang, R.; Qiao, Y.; Zheng, J.; Dong, C.A. Method for Considering Curing Temperature Effect in Mix Proportion Design of Mass Cement-Solidified Mud at High Water Content. Acta Geotech. 2020, 16, 279–301. [Google Scholar] [CrossRef]
  18. Bian, X.; Zeng, L.L.; Ji, F.; Xie, M. Plasticity Role in Strength Behaviour of Cement-Phosphogypsum Stabilized Soils. J. Rock Mech. Geotech. Eng. 2022; in press. [Google Scholar] [CrossRef]
  19. Bian, X.; Zhang, W.; Li, X.Z.; Shi, X.S.; Deng, Y.F.; Peng, J. Changes in Strength, Hydraulic Conductivity and Microstructure of Superabsorbent Polymer Stabilized Soil Subjected to Wetting-Drying Cycles. Acta Geotech. 2022, 17, 5043–5057. [Google Scholar] [CrossRef]
  20. Liu, W.B.; Chen, Q.S.; Chiaro, G.; Jiang, H.M. Effect of a Cement-Lignin Agent on the Shear Behavior of Shanghai Dredged Marine Soils. Mar. Georesources Geotechnol. 2017, 35, 17–25. [Google Scholar] [CrossRef]
  21. Gu, Z.; Hua, S.D.; Zhao, W.X.; Li, S.S.; Gao, Z.; Shan, H.T. Using Alkali-Activated Cementitious Materials to Solidify High Organic Matter Content Dredged Sludge as Roadbed Material. Adv. Civ. Eng. 2018, 2018, 2152949. [Google Scholar] [CrossRef]
  22. Schmidt, F.; Hinrichs, K.U.; Elvert, M. Sources, Transport, and Partitioning of Organic Matter at a Highly Dynamic Continental Margin. Mar. Chem. 2010, 118, 37–55. [Google Scholar] [CrossRef]
  23. Detzner, H.D.; Schramm, W.; Döring, U.; Bode, W. New Technology of Mechanical Treatment of Dredged Material from Hamburg Harbour. Water Sci. Technol. 1998, 37, 337–343. [Google Scholar] [CrossRef]
  24. Du, C.; Zhang, J.L.; Yang, G.; Yang, Q. The Influence of Organic Matter on the Strength Development of Cement-Stabilized Marine Soft Clay. Mar. Georesources Geotechnol. 2020, 1, 1–11. [Google Scholar] [CrossRef]
  25. Masciandaro, G.; Di Biase, A.; Macci, C.; Peruzzi, E.; Iannelli, R.; Doni, S. Phytoremediation of Dredged Marine Sediment: Monitoring of Chemical and Biochemical Processes Contributing to Sediment Reclamation. J. Environ. Manag. 2014, 134, 166–174. [Google Scholar] [CrossRef] [PubMed]
  26. Tang, Y.X.; Miyazaki, Y.; Tsuchida, T. Practices of Reused Dredgings by Cement Treatment. Soils Found. 2001, 41, 129–143. [Google Scholar] [CrossRef]
  27. Yun, J.M.; Song, Y.S.; Lee, J.H.; Kim, T.H. Strength Characteristics of the Cement-Stabilized Surface Layer in Dredged and Reclaimed Marine Clay, Korea. Mar. Georesources Geotechnol. 2006, 24, 29–45. [Google Scholar] [CrossRef]
  28. Bi, J.R.; Chian, S.C. Modelling Strength Development of Cement-Stabilised Clay and Clay with Sand Impurity Cured under Varying Temperatures. Bull. Eng. Geol. Environ. 2021, 80, 6275–6302. [Google Scholar] [CrossRef]
  29. Kang, G.O.; Tsuchida, T.; Kim, Y.S.; Baek, W.J. Influence of Humic Acid on the Strength Behavior of Cement-Treated Clay during Various Curing Stages. J. Mater. Civ. Eng. 2017, 29, 04017057. [Google Scholar] [CrossRef]
  30. Lipczynska-Kochany, E. Humic Substances, Their Microbial Interactions and Effects on Biological Transformations of Organic Pollutants in Water and Soil: A Review. Chemosphere 2018, 202, 420–437. [Google Scholar] [CrossRef]
  31. Beddaa, H.; Ben Fraj, A.; Lavergne, F.; Torrenti, J.M. Effect of Potassium Humate as Humic Substances from River Sediments on the Rheology, the Hydration and the Strength Development of a Cement Paste. Cem. Concr. Compos. 2019, 104, 103400. [Google Scholar] [CrossRef]
  32. Ge, S.Q.; Zang, J.C.; Wang, Y.C.; Zheng, L.W.; Xie, X.Y. Combined Stabilization/Solidification and Electroosmosis Treatments for Dredged Marine Silt. Mar. Georesources Geotechnol. 2020, 39, 1157–1166. [Google Scholar] [CrossRef]
  33. Saride, S.; Puppala, A.J.; Chikyala, S.R. Swell-Shrink and Strength Behaviors of Lime and Cement Stabilized Expansive Organic Clays. Appl. Clay Sci. 2013, 85, 39–45. [Google Scholar] [CrossRef]
  34. Kamon, M. On the stabilization of Hydro by using cement group hardening materials. J. Soc. Mater. Sci. Jpn. 1989, 38, 1092–1097. [Google Scholar] [CrossRef]
  35. Chen, H.E.; Wang, Q. The Behaviour of Organic Matter in the Process of Soft Soil Stabilization Using Cement. Bull. Eng. Geol. Environ. 2006, 65, 445–448. [Google Scholar] [CrossRef]
  36. Ma, C.; Chen, B.; Chen, L.Z. Effect of Organic Matter on Strength Development of Self-Compacting Earth-Based Construction Stabilized with Cement-Based Composites. Constr. Build. Mater. 2016, 123, 414–423. [Google Scholar] [CrossRef]
  37. Tremblay, H.; Duchesne, J.; Locat, J.; Leroueil, S. Influence of the Nature of Organic Compounds on Fine Soil Stabilization with Cement. Can. Geotech. J. 2002, 39, 535–546. [Google Scholar] [CrossRef]
  38. Pan, Y.Z.; Rossabi, J.; Pan, C.G.; Xie, X.Y. Stabilization/solidification Characteristics of Organic Clay Contaminated by Lead when Using Cement. J. Hazard. Mater. 2019, 362, 132–139. [Google Scholar] [CrossRef]
  39. Yilmaz, O.; Ünlü, K.; Cokca, E. Solidification/stabilization of Hazardous Wastes Containing Metals and Organic Contaminants. J. Environ. Eng. 2003, 362, 132–139. [Google Scholar] [CrossRef]
  40. Du, Y.; Wang, S.; Hao, W.; Shi, F.; Wang, H.; Xu, F.; Du, T. Investigations of the Mechanical Properties and Durability of Reactive Powder Concrete Containing Waste Fly Ash. Buildings 2022, 12, 560. [Google Scholar] [CrossRef]
  41. Chitambira, B. Accelerated Ageing of Cement Stabilised/Solidified Contaminated Soils with Elevated Temperatures. Ph.D. Thesis, University of Cambridge, London, UK, 2004. [Google Scholar]
  42. Zhang, R.J.; Lu, Y.T.; Tan, T.S.; Phoon, K.K.; Santoso, A.M. Long-term Effect of Curing Temperature on the Strength Behavior of Cement-stabilized Clay. J. Geotech. Geoenvironmental Eng. 2014, 140, 04014045. [Google Scholar] [CrossRef]
  43. Cao, Y.P.; Zhang, J.; Xu, G.Z.; Li, M.D.; Bian, X. Strength Properties and Prediction Model of Cement-Solidified Clay Considering Organic Matter and Curing Temperature. Front. Mater. 2022, 9, 965975. [Google Scholar] [CrossRef]
  44. Porbaha, A.; Shibuya, S.; Kishida, T. State of the Art in Deep Mixing Technology. Part III: Geomaterial Characterization. Proc. Inst. Civ. Eng. Ground Improv. 2000, 4, 91–110. [Google Scholar] [CrossRef]
  45. Marzano, I.P.; Al-Tabbaa, A.; Grisolia, M. Influence of Curing Temperature on the Strength of Cement-Stabilised Artificial Clays. In Geotechnics of Soft Soils-Focus on Ground Improvement; Karstunen, M., Leoni, M., Eds.; Taylor & Francis: London, UK, 2009; pp. 257–262. [Google Scholar]
  46. ASTM. Standard Practice for Classification of Soils for Engineering Purposes (Unified Soil Classification System). ASTM: ASTM D2487-10; In Standard Practice for Classification of Soils for Engineering Purposes (Unified Soil Classification System); ASTM: Montgomery County, PA, USA, 2010. [Google Scholar]
  47. Suits, L.D.; Sheahan, T.C.; Tan, T.S.; Goh, T.L.; Yong, K.Y. Properties of Singapore Marine Clays Improved by Cement Mixing. Geotech. Test. J. 2002, 25, 422–433. [Google Scholar] [CrossRef]
  48. Zhang, R.J.; Santoso, A.M.; Tan, T.S.; Phoon, K.K.; ASCE, F. Strength of High Water-Content Marine Clay Stabilized by Low Amount of Cement. J. Geotech. Geoenvironmental Eng. 2013, 139, 2170–2181. [Google Scholar] [CrossRef]
  49. Porbaha, A.; Raybaut, J.L.; Nicholson, P. State of the Art in Construction Aspects of Deep Mixing Technology. Proc. Inst. Civ. Eng.-Ground Improv. 2001, 5, 123–140. [Google Scholar] [CrossRef]
  50. Van Impe, W.F.; Flores, R.V. Deep Mixing in Underwater Conditions: A Laboratory and Field Investigation. Proc. Inst. Civ. Eng.-Ground Improv. 2006, 10, 15–22. [Google Scholar] [CrossRef]
  51. Dahal, B.K.; Zheng, J.J.; Zhang, R.J.; Song, D.B. Enhancing the Mechanical Properties of Marine Clay Using Cement Solidification. Mar. Georesources Geotechnol. 2019, 37, 755–764. [Google Scholar] [CrossRef]
  52. Kipton, H.; Powell, J.; Town, R.M. Solubility and Fractionation of Humic Acid; Effect of pH and Ionic Medium. Anal. Chim. Acta 1992, 267, 47–54. [Google Scholar] [CrossRef]
Figure 1. Relationship of qu-Aw (T = 18 °C, w = 1.5 wL, Co = 3.7%).
Figure 1. Relationship of qu-Aw (T = 18 °C, w = 1.5 wL, Co = 3.7%).
Buildings 12 01889 g001
Figure 2. Relationship of qu-w/wL (T = 18 °C, Aw = 15%, Co = 3.7%).
Figure 2. Relationship of qu-w/wL (T = 18 °C, Aw = 15%, Co = 3.7%).
Buildings 12 01889 g002
Figure 3. Relationship of qu-Co at different temperatures: (a) T = 18 °C; (b) T = 36 °C; (c) T = 46 °C.
Figure 3. Relationship of qu-Co at different temperatures: (a) T = 18 °C; (b) T = 36 °C; (c) T = 46 °C.
Buildings 12 01889 g003
Figure 4. Relationship of RCT-CHA: (a) T = 18 °C; (b) 7 d, 28 d curing age; (c) 14 d, 60 d curing age.
Figure 4. Relationship of RCT-CHA: (a) T = 18 °C; (b) 7 d, 28 d curing age; (c) 14 d, 60 d curing age.
Buildings 12 01889 g004
Figure 5. Relationship of qu-Aw with Co = 7.7% at different T. (a) T = 18 °C; (b) T = 36 °C; (c) T = 46 °C.
Figure 5. Relationship of qu-Aw with Co = 7.7% at different T. (a) T = 18 °C; (b) T = 36 °C; (c) T = 46 °C.
Buildings 12 01889 g005
Figure 6. SEM images at different CHA (at a magnification of 20K): (a) CHA = 0%; (b) CHA = 4%; (c) CHA = 7%.
Figure 6. SEM images at different CHA (at a magnification of 20K): (a) CHA = 0%; (b) CHA = 4%; (c) CHA = 7%.
Buildings 12 01889 g006
Figure 7. Relationship of qu-t at different CHA. (a) CHA = 0%; (b) CHA = 4%; (c) CHA = 7%; (d) CHA = 10%.
Figure 7. Relationship of qu-t at different CHA. (a) CHA = 0%; (b) CHA = 4%; (c) CHA = 7%; (d) CHA = 10%.
Buildings 12 01889 g007
Figure 8. SEM images at different curing temperatures (at a magnification of 2K): (a) T = 18 °C; (b) T = 36 °C; (c) T = 46 °C.
Figure 8. SEM images at different curing temperatures (at a magnification of 2K): (a) T = 18 °C; (b) T = 36 °C; (c) T = 46 °C.
Buildings 12 01889 g008
Figure 9. SEM images at different curing temperatures (at a magnification of 20K): (a) T = 18 °C; (b) T = 36 °C; (c) T = 46 °C.
Figure 9. SEM images at different curing temperatures (at a magnification of 20K): (a) T = 18 °C; (b) T = 36 °C; (c) T = 46 °C.
Buildings 12 01889 g009
Table 1. Physical properties of dredged sludge.
Table 1. Physical properties of dredged sludge.
Soil
Type
Natural Water Content (%)Organic Matter Content (%)Plastic Limit (%)Liquid Limit wL (%)Specific GravityClay (≤0.002 mm) (%)Sand (≥0.06 mm) (%)
Dredged sludge73.93.726.958.82.735.04.4
Table 2. Physical properties and chemical properties of cement used in this study.
Table 2. Physical properties and chemical properties of cement used in this study.
Physical IndexMeasured Value
Fineness 0.08 mm sieve residue (%)2.6
Initial setting time (min)226
Final setting time (min)317
Standard consistency (%)31.80
Chemical compositionMeasured value
Sulphur trioxide SO3(%)2.30
Magnesium oxide MgO (%)3.45
Slag (%)39.0
Fly ash (%)7.0
Chloride (%)0.038
Gypsum (%)5.0
Table 3. Test scheme used in this study.
Table 3. Test scheme used in this study.
SeriesCement Incorporation Ratio Aw (%)Water Content w (times wL)Organic Matter Content Co (%)Curing Temperature
(°C)
Curing Age (d)
1151.503.718, 36, 463, 7, 14, 28, 60
2151.507.718, 36, 463, 7, 14, 28, 60
3151.5010.718, 36, 463, 7, 14, 28, 60
4151.5013.718, 36, 463, 7, 14, 28, 60
5101.507.718, 36, 463, 7, 14, 28, 60
6131.507.718, 36, 463, 7, 14, 28, 60
7201.507.718, 36, 463, 7, 14, 28, 60
8151.757.718, 36, 463, 7, 14, 28, 60
9152.007.718, 36, 463, 7, 14, 28, 60
10152.257.718, 36, 463, 7, 14, 28, 60
Publisher’s Note: MDPI stays neutral with regard to jurisdictional claims in published maps and institutional affiliations.

Share and Cite

MDPI and ACS Style

Cao, Y.; Zhang, J.; Zhao, Z.; Liu, J.; Lin, H. Strength Properties of Cement-Solidified Dredged Sludge Affected by Curing Temperature. Buildings 2022, 12, 1889. https://doi.org/10.3390/buildings12111889

AMA Style

Cao Y, Zhang J, Zhao Z, Liu J, Lin H. Strength Properties of Cement-Solidified Dredged Sludge Affected by Curing Temperature. Buildings. 2022; 12(11):1889. https://doi.org/10.3390/buildings12111889

Chicago/Turabian Style

Cao, Yupeng, Jing Zhang, Zengfeng Zhao, Junxia Liu, and Hui Lin. 2022. "Strength Properties of Cement-Solidified Dredged Sludge Affected by Curing Temperature" Buildings 12, no. 11: 1889. https://doi.org/10.3390/buildings12111889

APA Style

Cao, Y., Zhang, J., Zhao, Z., Liu, J., & Lin, H. (2022). Strength Properties of Cement-Solidified Dredged Sludge Affected by Curing Temperature. Buildings, 12(11), 1889. https://doi.org/10.3390/buildings12111889

Note that from the first issue of 2016, this journal uses article numbers instead of page numbers. See further details here.

Article Metrics

Back to TopTop