Climate Change Performance of nZEB Buildings
Abstract
1. Introduction
2. Analysis Method
2.1. Building Energy Model Used
| NBE-CT-79 [14] | CTE-DB-HE 2013 [45] | CTE-DB-HE 2019 [17] | Unit | |
|---|---|---|---|---|
| Limitation of primary energy consumption | ||||
| -Non-renewable primary energy limit | - | 90 | 38 | kWh/m year |
| -Total primary energy limit | - | - | 76 | kWh/m year |
| Limitation and control of energy demand | ||||
| -Energy demand heating limit | - | 47 | - | kWh/m year |
| -Energy demand cooling limit | - | 15–20 | - | kWh/m year |
| Characteristics of the building envelopes (facades, roofs, etc.) | ||||
| -Walls and floors in contact with outside air | 1.2–1.4 | 0.6 | 0.41 | W/m K |
| -Ceilings in contact with outside air | 0.9 | 0.4 | 0.35 | W/m K |
| -Walls, floors and ceilings in contact with non-habitable spaces or with the ground | 1.6 | 0.6 | 0.65 | W/m K |
| -Dividing walls or interior partitions belonging to the thermal envelope | 1.6 | 0.85–1.2 | 0.65 | W/m K |
| -Openings (frame, glass and, if applicable, shutter box) | - | 2.7 | 1.8 | W/m K |
| -Doors with semi-transparent surface equal to or less than 50% | - | - | 5.7 | W/m K |
| -Horizontal interior partitions (same use) | 1.4 | 1.2 | 1.2 | W/m K |
| -Vertical interior partitions (same use) | 1.8 | 1.2 | 1.2 | W/m K |
| -Horizontal interior partitions (different use) | 1.4 | 0.85 | 0.85 | W/m K |
| -Vertical interior partitions (different use) | 1.8 | 0.85 | 0.85 | W/m K |
| -Air permeability of openings (100Pa overpressure) | - | 27 | 9 | m/h m |
| -K-value limit as a function of building shape (compactness) | 0.84–1.47 | - | 0.48–0.67 | W/m K |
| -Solar control of the thermal envelope | - | - | 2 | kWh/m month |
| -Limit value of the air change ratio at a pressure of 50 Pa | - | - | 6–3 | ACH |
| Building use profiles | ||||
| Schedules (setpoints, loads, ventilation, etc.) | - | |||
| Contribution of renewable energies | ||||
| Minimum annual solar contribution for DHW | - | 50 | 70 | % |
2.2. Weather File Creation
2.3. Simulation and Variables under Study
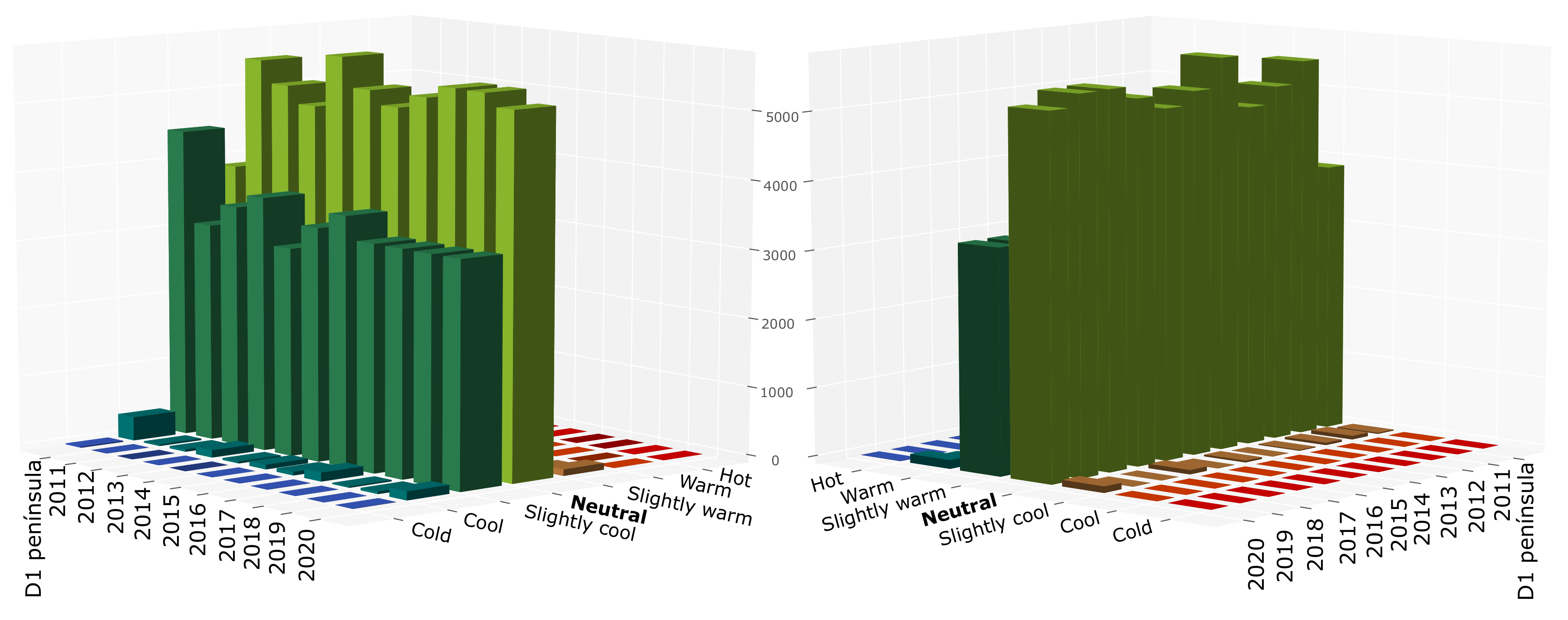
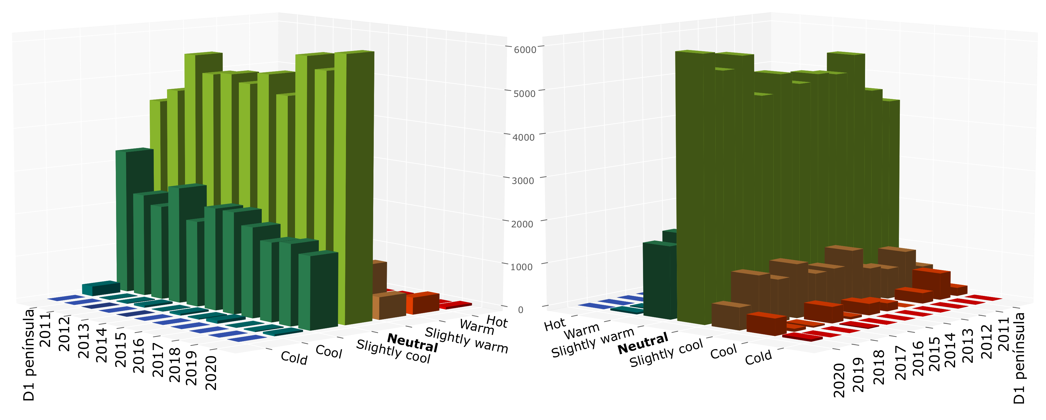
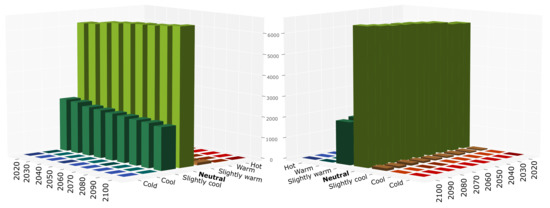
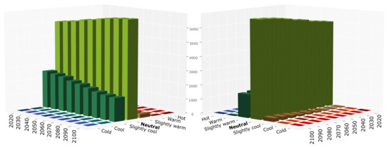
3. Results
4. Discussion
5. Conclusions
- Energy savings of the different Spanish energy standards. There is a big difference between housing built according to Spanish standards NBE-CT-79 and CTE-HE 2013, versus the new construction criteria of the technical building code CTE-HE 2019 (an average of 84.36%), which considers these buildings nZEB buildings;
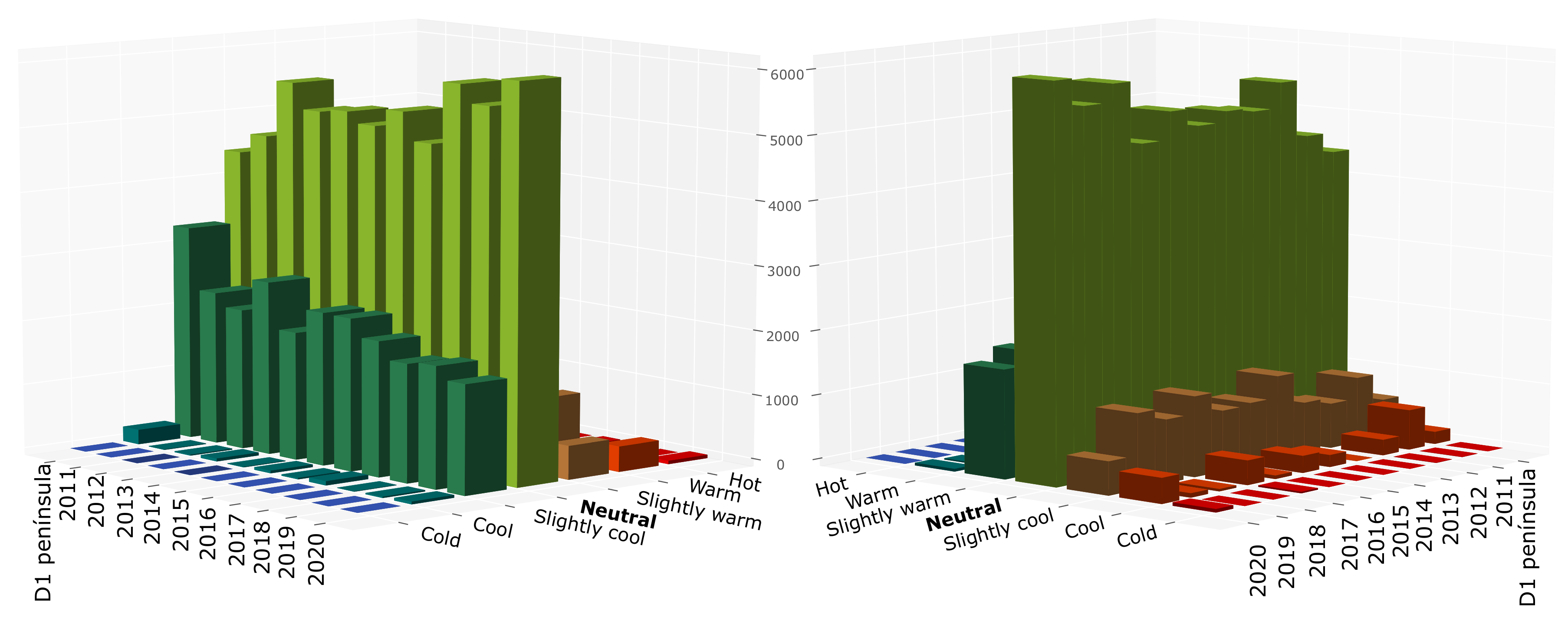
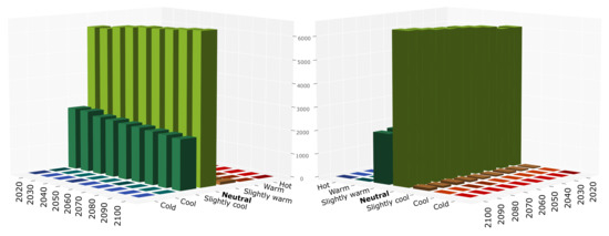
- Energy savings of nZEB buildings in relation to climate change. The study carried out with current (2011 to 2020) and future (2020 to 2100) weather series shows that these buildings are optimally adapted to both the meteorological oscillations of recent years and the severity of the climate change scenarios defined by the IPCC;
- Adjustment of Spanish regulations to the nZEB criteria. The reduction of the thermal transmittance of the envelopes, the increase in the performance of HVAC systems and the control of air exchange thanks to the reduction of infiltrations and the use of mechanical ventilation with heat recovery, have proven to be effective measures for obtaining nearly Zero-Energy Buildings (nZEB);
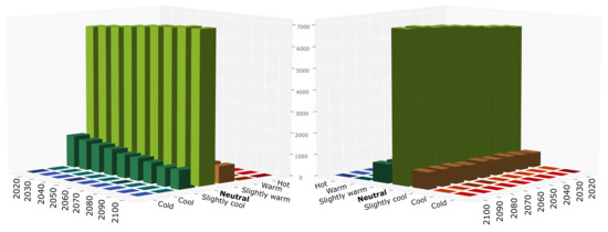
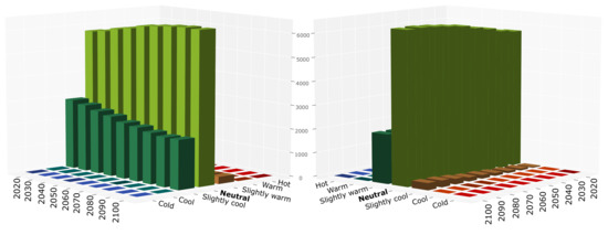
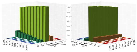
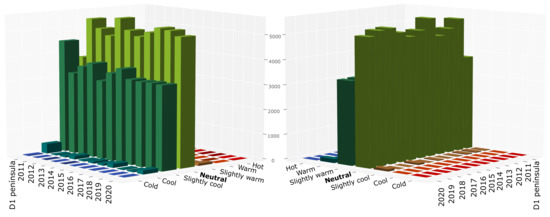
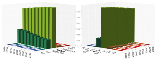
- Comfort performance of nZEB buildings in the face of climate change. It is also observed that this type of building is not only robust in energy terms, but when analyzing user comfort, its performance is significantly superior by homogenizing and balancing the distribution of thermal sensations in the spaces. This reduces the number of hours with thermal sensations according to Fanger of “slightly cool”, increasing the number of hours in both “slightly warm” and “neutral”. This is due to the greater insulation and airtightness of the spaces in this type of building, which makes the decrease or increase in temperatures when the air conditioning systems are turned off more homogeneous and well-balanced, thus increasing the comfort time of the users.
6. Future Works
Author Contributions
Funding
Institutional Review Board Statement
Informed Consent Statement
Conflicts of Interest
Appendix A. Comfort Analysis (IPCC Weathers)






References
- European Commision. Climate Action, Climate Change, Consequences. Available online: https://ec.europa.eu/clima/climate-change/consequences-climate-change_en (accessed on 26 July 2022).
- Paris Agreement on Climate Change. Available online: https://www.consilium.europa.eu/en/policies/climate-change/paris-agreement/ (accessed on 26 July 2022).
- The United Nations Secretariat. United Nations Framework Convention on Climate Change. In Proceedings of the Conference of the Parties on Its Twenty-First Session, Paris, France, 30 November–13 December 2015. [Google Scholar]
- A European Green Deal, Striving to be the First Climate-Neutral Continent. Available online: https://ec.europa.eu/info/strategy/priorities-2019-2024/european-green-deal_en#documents (accessed on 26 July 2022).
- European Commission. Directive 2002/91/EC of the European Parliament and of the Council of 16 December 2002 on the energy performance of buildings. Off. J. Eur. Union 2002, 1, 65–71. [Google Scholar]
- European Commission. Directive 2010/31/EU of the European Parliament and of the Council of 19 May 2010 on the energy performance of buildings (recast). Off. J. Eur. Union 2010, 53, 13–35. [Google Scholar]
- European Commission. Directive 2018/844 of the European Parliament and of the Council of 30 May 2018 Amending Directive 2010/31/EU on the Energy Performance of Buildings and Directive 2012/27/EU on Energy Efficiency. Available online: https://eur-lex.europa.eu/legal-content/EN/TXT/?uri=uriserv%3AOJ.L_.2018.156.01.0075.01.ENG (accessed on 22 September 2022).
- European Commission. Proposal for a Directive of the European Parliament and of the Council on the Energy Performance of Buildings (recast). Available online: https://eur-lex.europa.eu/legal-content/EN/TXT/?uri=celex%3A52021PC0802 (accessed on 22 September 2022).
- Erhorn-Kluttig, H.; Erhorn, H. National applications of the NZEB Definition—The Complete Overview. In Concerted Action Energy Performance of Buildings; Fraunhofer Institute for Building Physics: Stuttgart, Germany, 2018. [Google Scholar]
- BPIE. Nearly Zero Energy Buildings Definitions Across Europe; BPIE: Brussels, Belgium, 2015. [Google Scholar]
- Affordable Zero Energy Building-H2020 project. Definition of Indicators and Assessment Methods for Cost Effective nZEB and Energy+ Buildings. Available online: https://ec.europa.eu/research/participants/documents/downloadPublic?documentIds=080166e5c58728f7&appId=PPGMS (accessed on 7 July 2022).
- Hasan, A.; Mohamed, A.; Mohamed, H. Net-and nearly-zero energy buildings: A review of the definitions and case studies. In Proceedings of the Sixth International Conference on Heating, Cooling and Air Conditioning, Tehran, Iran, 26 May 2015. [Google Scholar]
- Causone, F.; Tatti, A.; Pietrobon, M.; Zanghirella, F.; Pagliano, L. Yearly operational performance of a nZEB in the Mediterranean climate. Energy Build. 2019, 198, 243–260. [Google Scholar] [CrossRef]
- De Gobierno, P. Real Decreto 2429/1979, de 6 de julio, por el que se aprueba la norma básica de edificación NBE-CT-79, sobre condiciones térmicas en los edificios. Boletín Of. del Estado 1979, 253, 24524–24550. [Google Scholar]
- CTE Código Técnico de la edificación. Documento Básico de Ahorro de Energía; Spanish technical building code; Government of Spain: Madrid, Spain, 2006. [Google Scholar]
- CTE Código Técnico de la edificación. Documento Básico de Ahorro de Energía; Spanish technical building code; Government of Spain: Madrid, Spain, 2017. [Google Scholar]
- CTE Código Técnico de la edificación. Documento Básico de Ahorro de Energía; Spanish technical building code; Government of Spain: Madrid, Spain, 2019. [Google Scholar]
- Cerezo-Narváez, A.; Piñero-Vilela, J.M.; Ángel Rodríguez-Jara, E.; Otero-Mateo, M.; Pastor-Fernández, A.; Ballesteros-Pérez, P. Energy, emissions and economic impact of the new nZEB regulatory framework on residential buildings renovation: Case study in southern Spain. J. Build. Eng. 2021, 42, 103054. [Google Scholar] [CrossRef]
- Javier García-Ballano, C.; Ruiz-Varona, A.; Monné Bailo, C.; Cabello Matud, C. Monitoring of housing blocks in Zaragoza (Spain) to validate the energy savings calculation method for the renovation of nZEB dwellings. Energy Build. 2022, 256, 111737. [Google Scholar] [CrossRef]
- Al Dakheel, J.; Del Pero, C.; Aste, N.; Leonforte, F. Smart buildings features and key performance indicators: A review. Sustain. Cities Soc. 2020, 61, 102328. [Google Scholar] [CrossRef]
- Aste, N.; Adhikari, R.; Buzzetti, M.; Del Pero, C.; Huerto-Cardenas, H.; Leonforte, F.; Miglioli, A. nZEB: Bridging the gap between design forecast and actual performance data. Energy Built Environ. 2022, 3, 16–29. [Google Scholar] [CrossRef]
- Picard, T.; Hong, T.; Luo, N.; Lee, S.H.; Sun, K. Robustness of energy performance of Zero-Net-Energy (ZNE) homes. Energy Build. 2020, 224, 110251. [Google Scholar] [CrossRef]
- Nik, V.M.; Coccolo, S.; Kämpf, J.; Scartezzini, J.L. Investigating the importance of future climate typology on estimating the energy performance of buildings in the EPFL campus. Energy Procedia 2017, 122, 1087–1092. [Google Scholar] [CrossRef]
- D’Agostino, D.; Parker, D.; Epifani, I.; Crawley, D.; Lawrie, L. How will future climate impact the design and performance of nearly zero energy buildings (NZEBs)? Energy 2022, 240, 122479. [Google Scholar] [CrossRef]
- Ascione, F.; De Masi, R.F.; Gigante, A.; Vanoli, G.P. Resilience to the climate change of nearly zero energy-building designed according to the EPBD recast: Monitoring, calibrated energy models and perspective simulations of a Mediterranean nZEB living lab. Energy Build. 2022, 262, 112004. [Google Scholar] [CrossRef]
- Dartevelle, O.; van Moeseke, G.; Mlecnik, E.; Altomonte, S. Long-term evaluation of residential summer thermal comfort: Measured vs. perceived thermal conditions in nZEB houses in Wallonia. Build. Environ. 2021, 190, 107531. [Google Scholar] [CrossRef]
- Attia, S.; Kurnitski, J.; Kosiński, P.; Borodiņecs, A.; Deme Belafi, Z.; István, K.; Krstić, H.; Moldovan, M.; Visa, I.; Mihailov, N.; et al. Overview and future challenges of nearly zero-energy building (nZEB) design in Eastern Europe. Energy Build. 2022, 267, 112165. [Google Scholar] [CrossRef]
- Yang, L.; Yan, H.; Lam, J.C. Thermal comfort and building energy consumption implications—A review. Appl. Energy 2014, 115, 164–173. [Google Scholar] [CrossRef]
- Van Hoof, J. Forty years of Fanger’s model of thermal comfort: Comfort for all? Indoor Air 2008, 18, 182–201. [Google Scholar] [CrossRef] [PubMed]
- Fanger, P.O. Assessment of man’s thermal comfort in practice. Occup. Environ. Med. 1973, 30, 313–324. [Google Scholar] [CrossRef] [PubMed]
- UNE-EN ISO 7730: 2006; Ergonomics of the Thermal Environment–Analytical Determination and Interpretation of Thermal Comfort Using Calculation of the PMV and PPD Indices and Local Thermal Comfort Criteria. International Organization for Standardization: Geneva, Switzerland, 2006.
- ASHRAE. ASHRAE 55: 1992 Thermal Environmental Conditions for Human Occupancy; ASHRAE Standard: Atlanta, GA, USA, 1992. [Google Scholar]
- ASHRAE. ASHRAE 55: 2010 Thermal Environmental Conditions for Human Occupancy; ASHRAE Standard: Atlanta, GA, USA, 2010. [Google Scholar]
- ASHRAE. ASHRAE 55: 2020 Thermal Environmental Conditions for Human Occupancy; ASHRAE Standard: Atlanta, GA, USA, 2020. [Google Scholar]
- UNE-EN 16798-1:2020; Energy Performance of Buildings-Ventilation for Buildings-Part 1: Indoor Environmental Input Parameters for Design and Assessment of Energy Performance of Buildings Addressing Indoor Air Quality, Thermal Environment, Lighting and Acoustics-Module M1-6. International Organization for Standardization: Geneva, Switzerland, 2020.
- UNE-EN 15251:2008; Indoor Environmental Input Parameters for Design and Assessment of Energy Performance of Buildings Addressing Indoor Air Quality, Thermal Environment, Lighting and Acoustics. International Organization for Standardization: Geneva, Switzerland, 2008.
- Crawley, D.B.; Lawrie, L.K.; Winkelmann, F.C.; Buhl, W.; Huang, Y.; Pedersen, C.O.; Strand, R.K.; Liesen, R.J.; Fisher, D.E.; Witte, M.J.; et al. EnergyPlus: Creating a new-generation building energy simulation program. Energy Build. 2001, 33, 319–331. [Google Scholar] [CrossRef]
- Nguyen, A.T.; Reiter, S.; Rigo, P. A review on simulation-based optimization methods applied to building performance analysis. Appl. Energy 2014, 113, 1043–1058. [Google Scholar] [CrossRef]
- Henninger, R.H.; Witte, M.J. EnergyPlus Testing with ANSI/ASHRAE Standard 140-2001 (BESTEST); US Department of Energy: Washington, DC, USA, 2004. [Google Scholar]
- Henninger, R.H.; Witte, M.J.; Crawley, D.B. Analytical and comparative testing of EnergyPlus using IEA HVAC BESTEST E100–E200 test suite. Energy Build. 2004, 36, 855–863. [Google Scholar] [CrossRef]
- Building Energy Simulation Test-Generation Simulation and Reporting (BESTEST-GSR). Available online: https://github.com/NREL/BESTEST-GSR (accessed on 22 September 2022).
- OpenStudio Whole Building Energy Modeling using EnergyPlus and Advanced Daylight Analysis Using RADIANCE. Available online: https://openstudio.net/ (accessed on 22 September 2022).
- Guglielmetti, R.; Macumber, D.; Long, N. OpenStudio: An Open Source Integrated Analysis Platform; Technical Report; National Renewable Energy Lab.(NREL): Golden, CO, USA, 2011. [Google Scholar]
- SG SAVE: Verificación del CTE-HE con EnergyPlus. Available online: http://www.efinovatic.es/energyPlus/ (accessed on 22 September 2022).
- CTE Código Técnico de la edificación. Documento Básico de Ahorro de Energía; Spanish technical building code; Government of Spain: Madrid, Spain, 2013. [Google Scholar]
- IPCC, A. The Intergovernmental Panel on Climate Change (IPCC); World Meteorological Organization, IPCC Secr. 2022. Available online: https://www.ipcc.ch/ (accessed on 22 September 2022).
- IPCC. Summary for Policymakers: H.-O. Pörtner, D.C. Roberts, E.S. Poloczanska, K. Mintenbeck, M. Tignor, A. Alegría, M. Craig, S. Langsdorf, S. Löschke, V. Möller, A. Okem (Eds.); IPCC Sixth Assessment Report; IPCC: Geneva, Switzerland, 2022. [Google Scholar]
- Bhandari, M.; Shrestha, S.; New, J. Evaluation of weather datasets for building energy simulation. Energy Build. 2012, 49, 109–118. [Google Scholar] [CrossRef]
- Henze, G.P.; Pfafferott, J.; Herkel, S.; Felsmann, C. Impact of adaptive comfort criteria and heat waves on optimal building thermal mass control. Energy Build. 2007, 39, 221–235. [Google Scholar] [CrossRef]
- Meteonavarra: Meteorology and Climatology of Navarra, Pamplona. Available online: http://meteo.navarra.es/estaciones/estacion.cfm?IDestacion=455 (accessed on 7 October 2022).
- AEMET Agencia Estatal de Meteorología. Listado de provincias afectadas por las Olas de calor registradas desde 1975. 2021. Available online: https://www.aemet.es/documentos/es/conocermas/recursos_en_linea/publicaciones_y_estudios/estudios/Olas_calor/RelacionProvincias2021.pdf (accessed on 22 September 2022).
- AEMET Agencia Estatal de Meteorología. Listado de Provincias Afectadas por las Olas de frío Registradas Desde 1975; AEMET Agencia Estatal de Meteorología: Madrid, Spain, 2021. [Google Scholar]
- Moazami, A.; Nik, V.M.; Carlucci, S.; Geving, S. Impacts of future weather data typology on building energy performance—Investigating long-term patterns of climate change and extreme weather conditions. Appl. Energy 2019, 238, 696–720. [Google Scholar] [CrossRef]
- Jentsch, M.F.; Bahaj, A.S.; James, P.A. Climate change future proofing of buildings—Generation and assessment of building simulation weather files. Energy Build. 2008, 40, 2148–2168. [Google Scholar] [CrossRef]
- Dickinson, R.; Brannon, B. Generating future weather files for resilience. In Proceedings of the International Conference on Passive and Low Energy Architecture, Los Angeles, CA, USA, 11–13 July 2016; pp. 11–13. [Google Scholar]
- Remund, J.; Kunz, S. Meteonorm, Version 7. Meteotest. 2020. Available online: www.meteotest.com (accessed on 22 September 2022).
- Remund, J.; Müller, S.; Schilter, C.; Rihm, B. The use of Meteonorm weather generator for climate change studies. In Proceedings of the 10th EMS Annual Meeting, Zürich, Switzerland, 13–17 September 2010; p. EMS2010-417. [Google Scholar]
- Belcher, S.E.; Hacker, J.N.; Powell, D.S. Constructing design weather data for future climates. Build. Serv. Eng. Res. Technol. 2005, 26, 49–61. [Google Scholar] [CrossRef]
- Pachauri, R.K.; Reisinger, A. Climate Change 2007. Synthesis Report. Contribution of Working Groups I, II and III to the Fourth Assessment Report; Intergovernmental Panel on Climate Change: Geneva Switzerland, 2008. [Google Scholar]
- Del Estado, J. Real Decreto-ley 14/2022, de 1 de Agosto, de Medidas de Sostenibilidad Económica en el Ámbito del Transporte, en Materia de Becas y Ayudas al Estudio, Así Como de Medidas de Ahorro, Eficiencia Energética y de Reducción de la Dependencia Energética del Gas Natural; Government of Spain: Madrid, Spain, 2022. [Google Scholar]









| NBE-CT-79 | CTE-DB-HE 2013 | CTE-DB-HE 2019 | |
|---|---|---|---|
| Building Envelope | |||
| Façade: U value [W/mK] | 0.325 | 0.229 | 0.127 |
| Roof: U value [W/mK] | 0.428 | 0.356 | 0.202 |
| Slabs-on-grade foundations: U value [W/mK] | 3.579 | 0.681 | 0.514 |
| Windows: U-Factor [W/mK] | 2.3 | 2.3 | 1.1 |
| Frame and divider: Frame conductance [W/mK] | 4 | 4 | 1.8 |
| Windows permeability (m/hm) | 50 | 27 | 9 |
| Building systems | |||
| HVAC systems-Heating: Performance [%] | 0.85 | 0.85 | 0.98 |
| DHW Boiler: Performance [%] | 0.85 | 0.85 | 0.98 |
| Exterior air changes [Ventilation and infiltrations] | |||
| Natural ventilation [] | 0.71 | 0.71 | 0.32 |
| Mechanical ventilation with heat recovery (performance 0.76–0.8%) [] | 0 | 0 | 0.63 |
| Infiltrations [] | 0.6 | 0.5 | 0.21 |
| Renewable energies | |||
| Solar collectors contribution [%] | - | - | 76.7 |
Publisher’s Note: MDPI stays neutral with regard to jurisdictional claims in published maps and institutional affiliations. |
© 2022 by the authors. Licensee MDPI, Basel, Switzerland. This article is an open access article distributed under the terms and conditions of the Creative Commons Attribution (CC BY) license (https://creativecommons.org/licenses/by/4.0/).
Share and Cite
Ramos Ruiz, G.; Olloqui del Olmo, A. Climate Change Performance of nZEB Buildings. Buildings 2022, 12, 1755. https://doi.org/10.3390/buildings12101755
Ramos Ruiz G, Olloqui del Olmo A. Climate Change Performance of nZEB Buildings. Buildings. 2022; 12(10):1755. https://doi.org/10.3390/buildings12101755
Chicago/Turabian StyleRamos Ruiz, Germán, and Alba Olloqui del Olmo. 2022. "Climate Change Performance of nZEB Buildings" Buildings 12, no. 10: 1755. https://doi.org/10.3390/buildings12101755
APA StyleRamos Ruiz, G., & Olloqui del Olmo, A. (2022). Climate Change Performance of nZEB Buildings. Buildings, 12(10), 1755. https://doi.org/10.3390/buildings12101755

