Effect of Road and Railway Sound on Psychological and Physiological Responses in an Office Environment
Abstract
1. Introduction
- (a)
- What are the psychophysiological effects of different traffic sounds in office spaces?;
- (b)
- Do the increases in sound levels interfere with the psychophysiological responses to traffic sounds?;
- (c)
- Do the other factors (gender and exposure time) interfere with the psychophysiological responses to traffic sounds?;
- (d)
- Are there correlations between psychological responses and physiological responses under the impact of traffic sounds?
2. Methodology
2.1. Participants
2.2. Experiment Stimuli
2.3. Measures
2.4. Experimental Procedure
2.5. Data Analysis
3. Results
3.1. Effect of Traffic Sounds on Psychological Responses
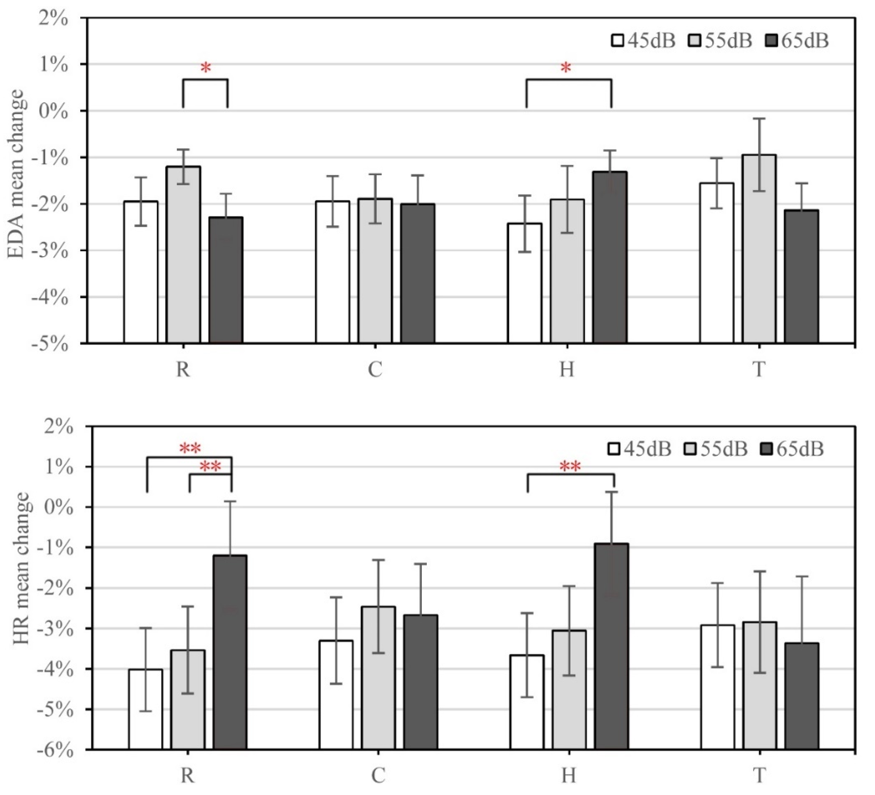
3.2. Effect of Traffic Sounds on Physiological Responses
3.3. Relationship between Psychological and Physiological Responses
4. Discussion
5. Conclusions
- (1)
- The traffic sounds brought considerable impacts on the psychophysiological responses of the acoustic environment in office space, which depended on the sound type. Without considering the interaction with other indoor noises, all traffic sounds were found to have adverse psychological effects on the overall acoustic environment. As for the physiological responses, the effect of sound type was found to interact with the sound level and non-acoustic factors (gender);
- (2)
- The sound level was found to be the most influential factor on the psychophysiological responses. The negative effects of traffic sounds on psychological responses were found to constantly increase with the increase in the sound level. The peak sound level showed better performance than the equivalent sound level in evaluating the perceptual impact of short-term sound exposure. The relationship between sound level and physiological parameters varied among different sound groups. The variation in sound level hardly affected the participants’ HR and EDA when exposed to the conventional train and tram sound. In contrast, HR and EDA were significantly affected by the levels of road traffic sounds and high-speed train sounds;
- (3)
- Non-acoustic factors were found to be influential on the physiological responses. The HR was found to decrease with the increase in exposure time. Gender was found to be an important factor of the physiological parameters, which also had an interaction effect with the noise level;
- (4)
- Relatively weak correlations between the psychological evaluations and HR were found, whereas the relationship between the psychological attributes and EDA was found to be significantly affected by the sound type.
Author Contributions
Funding
Institutional Review Board Statement
Informed Consent Statement
Acknowledgments
Conflicts of Interest
References
- Yang, W.; Krishnan, S. Combining temporal features by local binary pattern for acoustic scene classification. IEEE/ACM Trans. Audio Speech Lang. Process. 2017, 25, 1315–1321. [Google Scholar] [CrossRef]
- Jo, H.I.; Jeon, J.Y. Influence of indoor soundscape perception based on audiovisual contents on work-related quality with preference and perceived productivity in open-plan offices. Build. Environ. 2021; 108598, in press. [Google Scholar] [CrossRef]
- Meng, Q.; An, Y.; Yang, D. Effects of acoustic environment on design work performance based on multitask visual cognitive performance in office space. Build. Environ. 2021, 205, 108296. [Google Scholar] [CrossRef]
- Landström, U. Noise and fatigue in working environments. Environ. Int. 1990, 16, 471–476. [Google Scholar] [CrossRef]
- Zhang, M.; Kang, J.; Jiao, F. A social survey on the noise impact in open-plan working environments in China. Sci. Total Environ. 2012, 438, 517–526. [Google Scholar] [CrossRef] [PubMed]
- Torresin, S.; Albatici, R.; Aletta, F.; Babich, F.; Oberman, T.; Stawinoga, A.E.; Kang, J. Indoor soundscapes at home during the COVID-19 lockdown in London—Part II: A structural equation model for comfort, content, and well-being. Appl. Acoust. 2022, 185, 108379. [Google Scholar] [CrossRef]
- Saadu, A.A.; Onyeonwu, R.O.; Ayorinde, E.O.; Ogisi, F.O. Road traffic noise survey and analysis of some major urban centers in Nigeria. Noise Control Eng. J. 1998, 46, 146–158. [Google Scholar] [CrossRef]
- Abo-Qudais, S.; Abu-Qdais, H. Perceptions and attitudes of individuals exposed to traffic noise in working places. Build. Environ. 2005, 40, 778–787. [Google Scholar] [CrossRef]
- Kotzeva, M.M.; Brandmüller, T. Urban Europe: Statistics on Cities, Towns and Suburbs; 2016 edition; Publications office of the European Union: Luxembourg, 2017; ISBN 9279601407. [Google Scholar]
- Chen, J. Rapid urbanization in China: A real challenge to soil protection and food security. Catena 2007, 69, 1–15. [Google Scholar] [CrossRef]
- Jarosińska, D.; Héroux, M.È.; Wilkhu, P.; Creswick, J.; Verbeek, J.; Wothge, J.; Paunović, E. Development of the WHO environmental noise guidelines for the european region: An introduction. Int. J. Environ. Res. Public Health 2018, 15, 813. [Google Scholar] [CrossRef]
- Muzet, A. Environmental noise, sleep and health. Sleep Med. Rev. 2007, 11, 135–142. [Google Scholar] [CrossRef]
- Ndrepepa, A.; Twardella, D. Relationship between noise annoyance from road traffic noise and cardiovascular diseases: A meta-analysis. Noise Health 2011, 13, 251. [Google Scholar] [PubMed]
- Griffiths, I.D.; Langdon, F.J. Subjective response to road traffic noise. J. Sound Vib. 1968, 8, 16–32. [Google Scholar] [CrossRef]
- Fields, J.M.; Walker, J.G. Comparing the relationships between noise level and annoyance in different surveys: A railway noise vs. aircraft and road traffic comparison. J. Sound Vib. 1982, 81, 51–80. [Google Scholar] [CrossRef]
- Guski, R.; Schreckenberg, D.; Schuemer, R. WHO environmental noise guidelines for the European region: A systematic review on environmental noise and annoyance. Int. J. Environ. Res. Public Health 2017, 14, 1539. [Google Scholar] [CrossRef]
- Ouis, D. Annoyance from road traffic noise: A review. J. Environ. Psychol. 2001, 21, 101–120. [Google Scholar] [CrossRef]
- Dratva, J.; Zemp, E.; Dietrich, D.F.; Bridevaux, P.O.; Rochat, T.; Schindler, C.; Gerbase, M.W. Impact of road traffic noise annoyance on health-related quality of life: Results from a population-based study. Qual. Life Res. 2010, 19, 37–46. [Google Scholar] [CrossRef] [PubMed]
- Puyana Romero, V.; Maffei, L.; Brambilla, G.; Ciaburro, G. Acoustic, visual and spatial indicators for the description of the soundscape of water front areas with and without road traffic flow. Int. J. Environ. Res. Public Health 2016, 13, 934. [Google Scholar] [CrossRef]
- Puyana Romero, V.; Maffei, L.; Brambilla, G.; Ciaburro, G. Modelling the soundscape quality of urban waterfronts by artificial neural networks. Appl. Acoust. 2016, 111, 121–128. [Google Scholar] [CrossRef]
- Kang, J.; Zhang, M. Semantic differential analysis of the soundscape in urban open public spaces. Build. Environ. 2010, 45, 150–157. [Google Scholar] [CrossRef]
- Yu, B.; Kang, J.; Ma, H. Development of indicators for the soundscape in urban shopping streets. Acta Acust. United Acust. 2016, 102, 462–473. [Google Scholar] [CrossRef]
- Gomez, P.; Danuser, B. Affective and physiological responses to environmental noises and music. Int. J. Psychophysiol. 2004, 53, 91–103. [Google Scholar] [CrossRef]
- Hall, D.A.; Irwin, A.; Edmondson-Jones, M.; Phillips, S.; Poxon, J.E.W. An exploratory evaluation of perceptual, psychoacoustic and acoustical properties of urban soundscapes. Appl. Acoust. 2013, 74, 248–254. [Google Scholar] [CrossRef]
- Hume, K.; Ahtamad, M. Physiological responses to and subjective estimates of soundscape elements. Appl. Acoust. 2013, 74, 275–281. [Google Scholar] [CrossRef]
- Yang, W.; Kang, J. Acoustic comfort evaluation in urban open public spaces. Appl. Acoust. 2005, 66, 211–229. [Google Scholar] [CrossRef]
- Kang, J.; Meng, Q.; Jin, H. Effects of individual sound sources on the subjective loudness and acoustic comfort in underground shopping streets. Sci. Total Environ. 2012, 435–436, 80–89. [Google Scholar] [CrossRef] [PubMed]
- Rey Gozalo, G.; Trujillo Carmona, J.; Barrigón Morillas, J.M.; Vílchez-Gómez, R.; Gómez Escobar, V. Relationship between objective acoustic indices and subjective assessments for the quality of soundscapes. Appl. Acoust. 2015, 97, 1–10. [Google Scholar] [CrossRef]
- Torresin, S.; Albatici, R.; Aletta, F.; Babich, F.; Oberman, T.; Siboni, S.; Kang, J. Indoor soundscape assessment: A principal components model of acoustic perception in residential buildings. Build. Environ. 2020, 182, 107152. [Google Scholar] [CrossRef]
- Brown, A.L.; van Kamp, I. WHO environmental noise guidelines for the European region: A systematic review of transport noise interventions and their impacts on health. Int. J. Environ. Res. Public Health 2017, 14, 873. [Google Scholar] [CrossRef]
- Bhatia, P.; Muhar, I. Noise sensitivity and mental efficiency. Psychol. Int. J. Psychol. Orient 1988, 31, 163–169. [Google Scholar]
- Vera, M.N.; Vila, J.; Godoy, J.F. Physiological and subjective effects of traffic noise: The role of negative self-statements. Int. J. Psychophysiol. 1992, 12, 267–279. [Google Scholar] [CrossRef]
- Clark, C.R.; Turpin, G.; Jenkins, L.M.; Tarnopolsky, A. Sensitivity to noise on a community sample: II. Measurement of psychophysiological indices. Psychol. Med. 1985, 15, 255–263. [Google Scholar] [CrossRef]
- Basner, M.; Samel, A.; Elmenhorst, E.M.; Maab, H.; Müller, U.; Quehl, J.; Vejvoda, M. Single and combined effects of air, road and rail traffic noise on sleep. In Proceedings of the Institute of Noise Control Engineering of the USA—35th International Congress and Exposition on Noise Control Engineering (INTER-NOISE), Honolulu, Hawaii, 3–6 December 2006; Volume 7, pp. 4629–4637. [Google Scholar]
- Raggam, R.B.; Cik, M.; Höldrich, R.R.; Fallast, K.; Gallasch, E.; Fend, M.; Lackner, A.; Marth, E. Personal noise ranking of road traffic: Subjective estimation versus physiological parameters under laboratory conditions. Int. J. Hyg. Environ. Health 2007, 210, 97–105. [Google Scholar] [CrossRef] [PubMed]
- Lee, P.J.; Park, S.H.; Jeong, J.H.; Choung, T.; Kim, K.Y. Association between transportation noise and blood pressure in adults living in multi-storey residential buildings. Environ. Int. 2019, 132, 105101. [Google Scholar] [CrossRef]
- Li, Z.; Kang, J.; Ba, M. Influence of distance from traffic sounds on physiological indicators and subjective evaluation. Transp. Res. Part D Transp. Environ. 2020, 87, 102538. [Google Scholar] [CrossRef]
- Suko, Y.; Saito, K.; Takayama, N.; Sakuma, T.; Warisawa, S. Effect of faint road traffic noise mixed in birdsong on the perceived restorativeness and listeners’ physiological response: An exploratory study. Int. J. Environ. Res. Public Health 2019, 16, 4985. [Google Scholar] [CrossRef]
- Erfanian, M.; Mitchell, A.J.; Kang, J.; Aletta, F. The psychophysiological implications of soundscape: A systematic review of empirical literature and a research agenda. Int. J. Environ. Res. Public Health 2019, 16, 3533. [Google Scholar] [CrossRef] [PubMed]
- Li, Z.; Ba, M.; Kang, J. Physiological indicators and subjective restorativeness with audio-visual interactions in urban soundscapes. Sustain. Cities Soc. 2021, 75, 103360. [Google Scholar] [CrossRef]
- Shu, S.; Ma, H. Restorative effects of urban park soundscapes on children’s psychophysiological stress. Appl. Acoust. 2020, 164, 107293. [Google Scholar] [CrossRef]
- Park, S.H.; Lee, P.J.; Jeong, J.H. Effects of noise sensitivity on psychophysiological responses to building noise. Build. Environ. 2018, 136, 302–311. [Google Scholar] [CrossRef]
- Pathak, V.; Tripathi, B.D.; Mishra, V. kumar Evaluation of traffic noise pollution and attitudes of exposed individuals in working place. Atmos. Environ. 2008, 42, 3892–3898. [Google Scholar] [CrossRef]
- Alimohammadi, I.; Nassiri, P.; Azkhosh, M.; Hoseini, M. Factors affecting road traffic noise annoyance among white-collar employees working in Tehran. Iran. J. Environ. Heal. Sci. Eng. 2010, 7, 25–34. [Google Scholar]
- Ma, H.; Shu, S. An experimental study: The restorative effect of soundscape elements in a simulated open-plan office. Acta Acust. United Acust. 2018, 104, 106–115. [Google Scholar] [CrossRef]
- Bourikas, L.; Gauthier, S.; En, N.K.S.; Xiong, P. Effect of thermal, acoustic and air quality perception interactions on the comfort and satisfaction of people in office buildings. Energies 2021, 14, 333. [Google Scholar] [CrossRef]
- Hygge, S. Classroom experiments on the effects of different noise sources and sound levels on long-term recall and recognition in children. Appl. Cogn. Psychol. 2003, 17, 895–914. [Google Scholar] [CrossRef]
- Cik, M.; Lienhart, M.; Fallast, K.; Marth, E.; Freidl, W.; Niederl, F. Psychoacoustic indicators of road and rail traffic noise, subjective perception and psychological and physiological parameters. In Proceedings of the INTER-NOISE 2016—45th International Congress and Exposition on Noise Control Engineering: Towards a Quieter Future, Hamburg, Germany, 21–24 August 2016; pp. 1967–1976. [Google Scholar]
- Yano, T.; Sato, T.; Björkman, M.; Rylander, R. Comparison of community response to road traffic noise in Japan and Sweden—Part II: Path analysis. J. Sound Vib. 2002, 250, 169–174. [Google Scholar] [CrossRef]
- Tetsuya, H.; Yano, T.; Murakami, Y. Annoyance due to railway noise before and after the opening of the Kyushu Shinkansen Line. Appl. Acoust. 2017, 115, 173–180. [Google Scholar] [CrossRef]
- Kuwano, S.; Namba, S.; Okamoto, T. Psychological evaluation of sound environment in a compartment of a high-speed train. J. Sound Vib. 2004, 277, 491–500. [Google Scholar] [CrossRef]
- Trollé, A.; Marquis-Favre, C.; Klein, A. Short-term annoyance due to tramway noise: Determination of an acoustical indicator of annoyance via multilevel regression analysis. Acta Acust. United Acust. 2014, 100, 34–45. [Google Scholar] [CrossRef]
- Lee, Y.; Nelson, E.C.; Flynn, M.J.; Jackman, J.S. Exploring soundscaping options for the cognitive environment in an open-plan office. Build. Acoust. 2020, 27, 185–202. [Google Scholar] [CrossRef]
- Brink, M.; Schreckenberg, D.; Vienneau, D.; Cajochen, C.; Wunderli, J.M.; Probst-Hensch, N.; Röösli, M. Effects of scale, question location, order of response alternatives, and season on self-reported noise annoyance using icben scales: A field experiment. Int. J. Environ. Res. Public Health 2016, 13, 1163. [Google Scholar] [CrossRef] [PubMed]
- McManis, M.H.; Bradley, M.M.; Berg, W.K.; Cuthbert, B.N.; Lang, P.J. Emotional reactions in children: Verbal, physiological, and behavioral responses to affective pictures. Psychophysiology 2001, 38, 222–231. [Google Scholar] [CrossRef] [PubMed]
- Bradley, M.M.; Lang, P.J. Measuring emotion: The self-assessment manikin and the semantic differential. J. Behav. Ther. Exp. Psychiatry 1994, 25, 49–59. [Google Scholar] [CrossRef]
- Axelsson, Ö.; Nilsson, M.E.; Berglund, B. A principal components model of soundscape perception. J. Acoust. Soc. Am. 2010, 128, 2836–2846. [Google Scholar] [CrossRef] [PubMed]
- Schmider, E.; Ziegler, M.; Danay, E.; Beyer, L.; Bühner, M. Is It Really Robust?: Reinvestigating the robustness of ANOVA against violations of the normal distribution assumption. Methodology 2010, 6, 147–151. [Google Scholar] [CrossRef]
- Morihara, T.; Sato, T.; Yano, T. Comparison of dose-response relationships between railway and road traffic noises: The moderating effect of distance. J. Sound Vib. 2004, 277, 559–565. [Google Scholar] [CrossRef]
- Fidell, S.; Mestre, V.; Schomer, P.; Berry, B.; Gjestland, T.; Vallet, M.; Reid, T. A first-principles model for estimating the prevalence of annoyance with aircraft noise exposure. J. Acoust. Soc. Am. 2011, 130, 791–806. [Google Scholar] [CrossRef] [PubMed]
- Di, G.Q.; Lin, Q.L.; Li, Z.G.; Kang, J. Annoyance and activity disturbance induced by high-speed railway and conventional railway noise: A contrastive case study. Environ. Health 2014, 13, 12. [Google Scholar] [CrossRef][Green Version]
- Hsu, S.M.; Ko, W.J.; Liao, W.C.; Huang, S.J.; Chen, R.J.; Li, C.Y.; Hwang, S.L. Associations of exposure to noise with physiological and psychological outcomes among post-cardiac surgery patients in ICUs. Clinics 2010, 65, 985–989. [Google Scholar] [CrossRef]
- Park, S.H.; Lee, P.J. Effects of floor impact noise on psychophysiological responses. Build. Environ. 2017, 116, 173–181. [Google Scholar] [CrossRef]
- Lee, S.; Hwang, S. Physiological response by construction noise according to temporal characteristics. In Proceedings of the 26th International Congress on Sound and Vibration (ICSV26), Montreal, QC, Canada, 7–11 July 2019. [Google Scholar]
- Sørensen, M.; Hvidberg, M.; Hoffmann, B.; Andersen, Z.J.; Nordsborg, R.B.; Lillelund, K.G.; Jakobsen, J.; Tjønneland, A.; Overvad, K.; Raaschou-Nielsen, O. Exposure to road traffic and railway noise and associations with blood pressure and self-reported hypertension: A cohort study. Environ. Health 2011, 10, 92. [Google Scholar] [CrossRef]
- Medvedev, O.; Shepherd, D.; Hautus, M.J. The restorative potential of soundscapes: A physiological investigation. Appl. Acoust. 2015, 96, 20–26. [Google Scholar] [CrossRef]










| Variables | Psychological Response | F | Sig. | |
|---|---|---|---|---|
| Sound Type | AC | 2.93 | 0.03 * | 0.02 |
| AN | 4.58 | 0.00 ** | 0.04 | |
| AR | 1.40 | 0.24 | 0.01 | |
| PL | 2.19 | 0.09 | 0.02 | |
| SPL (LAeq) | AC | 80.86 | 0.00 ** | 0.32 |
| AN | 98.56 | 0.00 ** | 0.36 | |
| AR | 75.45 | 0.00 ** | 0.30 | |
| PL | 74.41 | 0.00 ** | 0.30 | |
| Gender | AC | 0.65 | 0.42 | 0.00 |
| AN | 0.66 | 0.42 | 0.00 | |
| AR | 0.00 | 0.96 | 0.00 | |
| PL | 0.00 | 0.96 | 0.00 | |
| Sound Type * SPL | AC | 0.38 | 0.89 | 0.01 |
| AN | 0.46 | 0.84 | 0.01 | |
| AR | 0.29 | 0.94 | 0.00 | |
| PL | 0.17 | 0.98 | 0.00 |
| Variables | HR | EDA | ||||
|---|---|---|---|---|---|---|
| F | Sig. | F | Sig. | |||
| Gender | 60.389 | 0.000 ** | 0.03 | 57.247 | 0.000 ** | 0.03 |
| Time | 2.699 | 0.019 * | 0.01 | 0.113 | 0.989 | 0.00 |
| Sound Type | 0.456 | 0.713 | 0.00 | 2.293 | 0.076 | 0.00 |
| SPL | 6.033 | 0.002 ** | 0.01 | 3.615 | 0.027 * | 0.00 |
| Sound Type * SPL | 2.365 | 0.028 * | 0.01 | 2.835 | 0.009 ** | 0.01 |
| Sound Type * Gender | 0.261 | 0.853 | 0.00 | 6.079 | 0.000 ** | 0.01 |
| Sound Type * Time | 0.102 | 1.000 | 0.00 | 0.006 | 1.000 | 0.00 |
| Pearson Correlation | Psychological | Physiological | |||||
|---|---|---|---|---|---|---|---|
| AC | AN | AR | PL | EDA | HR | ||
| Psychological | AC | 1.000 | |||||
| AN | −0.986 ** | 1.000 | |||||
| AR | −0.993 ** | 0.986 ** | 1.000 | ||||
| PL | 0.992 ** | −0.987 ** | −0.998 ** | 1.000 | |||
| Physiological | EDA | −0.092 | 0.131 | 0.064 | −0.062 | 1.000 | |
| HR | −0.689 * | 0.624 * | 0.691 * | −0.687 * | 0.124 | 1.000 | |
Publisher’s Note: MDPI stays neutral with regard to jurisdictional claims in published maps and institutional affiliations. |
© 2021 by the authors. Licensee MDPI, Basel, Switzerland. This article is an open access article distributed under the terms and conditions of the Creative Commons Attribution (CC BY) license (https://creativecommons.org/licenses/by/4.0/).
Share and Cite
Yu, B.; Wen, L.; Bai, J.; Chai, Y. Effect of Road and Railway Sound on Psychological and Physiological Responses in an Office Environment. Buildings 2022, 12, 6. https://doi.org/10.3390/buildings12010006
Yu B, Wen L, Bai J, Chai Y. Effect of Road and Railway Sound on Psychological and Physiological Responses in an Office Environment. Buildings. 2022; 12(1):6. https://doi.org/10.3390/buildings12010006
Chicago/Turabian StyleYu, Boya, Linjie Wen, Jie Bai, and Yuying Chai. 2022. "Effect of Road and Railway Sound on Psychological and Physiological Responses in an Office Environment" Buildings 12, no. 1: 6. https://doi.org/10.3390/buildings12010006
APA StyleYu, B., Wen, L., Bai, J., & Chai, Y. (2022). Effect of Road and Railway Sound on Psychological and Physiological Responses in an Office Environment. Buildings, 12(1), 6. https://doi.org/10.3390/buildings12010006
