Parametric Investigation on the Effectiveness of FRM-Retrofitting in Masonry Buttressed Arches
Abstract
:1. Introduction
2. Methods
2.1. Limit Analysis of Buttressed Arches
- 1.
- Masonry does not have any tensile strength;
- 2.
- Masonry has infinite compressive strength;
- 3.
- Masonry has infinite shear strength, i.e., sliding between masonry parts cannot occur.
- (I)
- Local mechanism (L), with the formation of four hinges A, B, C and D within the thickness of the arch, whose locations are identified through the angles αA, αB, αC and αD, measured with respect the horizontal line;
- (II)
- Global mechanism (G), characterised by the presence of two hinges at the pier basis A (internal) and D (external) and two hinges B and C within the thickness of arch, whose positions are defined by the angles αB and αC, respectively;
- (III)
- Semi-global mechanism (S); characterised by the presence of one hinge D at the base of the pier (external) and three hinges A, B and C within the thickness of the arch, whose positions are identified by the angles αA, αB and αC.
- Elastic behaviour. In this case, the internal work reads where is the domain volume. Since at collapse plastic deformations are usually much larger than elastic, this contribution on the overall energy is usually disregarded and the blocks are assumed to be rigid.
- Perfectly plastic hinges. In this case a constant distribution of stresses is assumed along the crack, equal to tensile strength (Figure 2a); the displacement profile is linear and equal to , where is the maximum crack opening, with angular opening of the hinge, t the member thickness and x the local axis parallel to the crack. The internal work of the i-th hinge becomes:
- Not resisting hinge. This is the usual case in the analysis of masonry structures at collapse. The internal work of the i-th hinge is null, .
- Perfectly plastic reinforcement at intrados or extrados (Figure 2b). In this case, it is possible to assume that upon crack opening the reinforcement is able to provide a force equal to with tensile strength of the reinforcement and its thickness. The virtual work is if the hinge opens on the side of the reinforcement, zero otherwise, since the contribution of FRM reinforcement can usually be neglected in compression.
2.2. An Automatic Tool for Limit Analysis of Buttressed Arches
- the geometrical and material features of the structure including the reinforcement, in the form of a perfectly plastic layer at intrados, extrados or both sides. It is possible to define the tensile strength, the thickness and the ultimate displacement of the reinforcement layer, whose contribution is evaluated by introducing the relevant internal work in Equation (3) as per Section 2.1.
- the type of hinge: Not resisting or Fully plastic. Following the discussion in Section 2.1, the hinge constitutive behaviour modifies the internal work contribution;
- the type of variable horizontal forces: Concentrated in a point or Proportional to masses;
- optional additional static vertical forces;
- the type of analysis: Evaluate, to evaluate a multiplier for a specific hinge position; Minimise, to evaluate the collapse multiplier solving the minimisation problem (4);
- the discretisation Δα for the hinges, used in the collapse multiplier exploration;
- the user-defined keystone displacement;
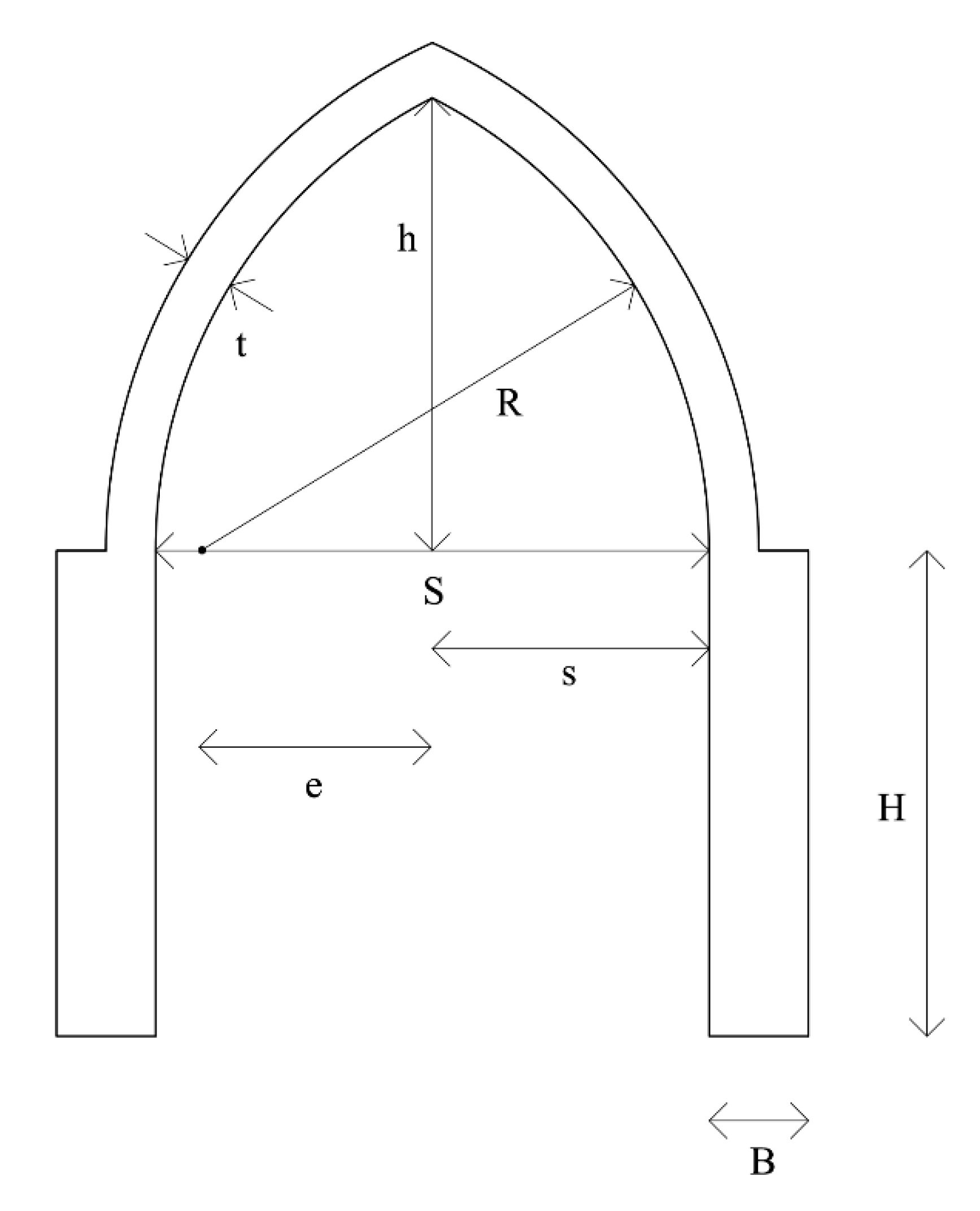
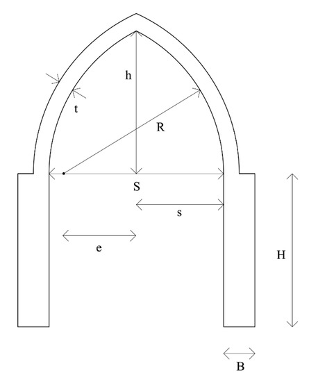
2.3. Parametric Analysis Settings
- -
- span (S), or, alternatively, half-span (s);
- -
- arch thickness (t);
- -
- eccentricity (e);
- -
- arch rise (h);
- -
- pillars base (B);
- -
- pillar height (H).
- -
- e/s = 0 (Semicircular arch);
- -
- e/s = 0.5 (Drop pointed arch);
- -
- e/s = 1 (Equilateral pointed arch);
- -
- e/s = 1.5 (Lancet pointed arch).
- -
- t/s = 0.125;
- -
- t/s = 0.15;
- -
- t/s = 0.175;
- -
- t/s = 0.2.
- -
- B/s = 0.4;
- -
- B/s = 0.5;
- -
- B/s = 0.6;
- -
- h/H = 0.5;
- -
- h/H = 0.75;
- -
- h/H = 1.
3. Results
3.1. Validation of the Automatic Tool
- specific weight w;
- elastic behaviour: Young’s modulus E, shear modulus G;
- shear behaviour of the block: elastic-plastic Turnsek–Cacovic criterion with shear strength τ0 and ultimate shear strain γu (Figure 9b);
- sliding behaviour: elastic-plastic Mohr–Coulomb criterion with cohesion c, friction coefficient μ and fracture energy Gf, assumed very high to simulate the elastic-perfectly plastic behaviour as an approximation of the frictional behaviour of the joints (Figure 9c).
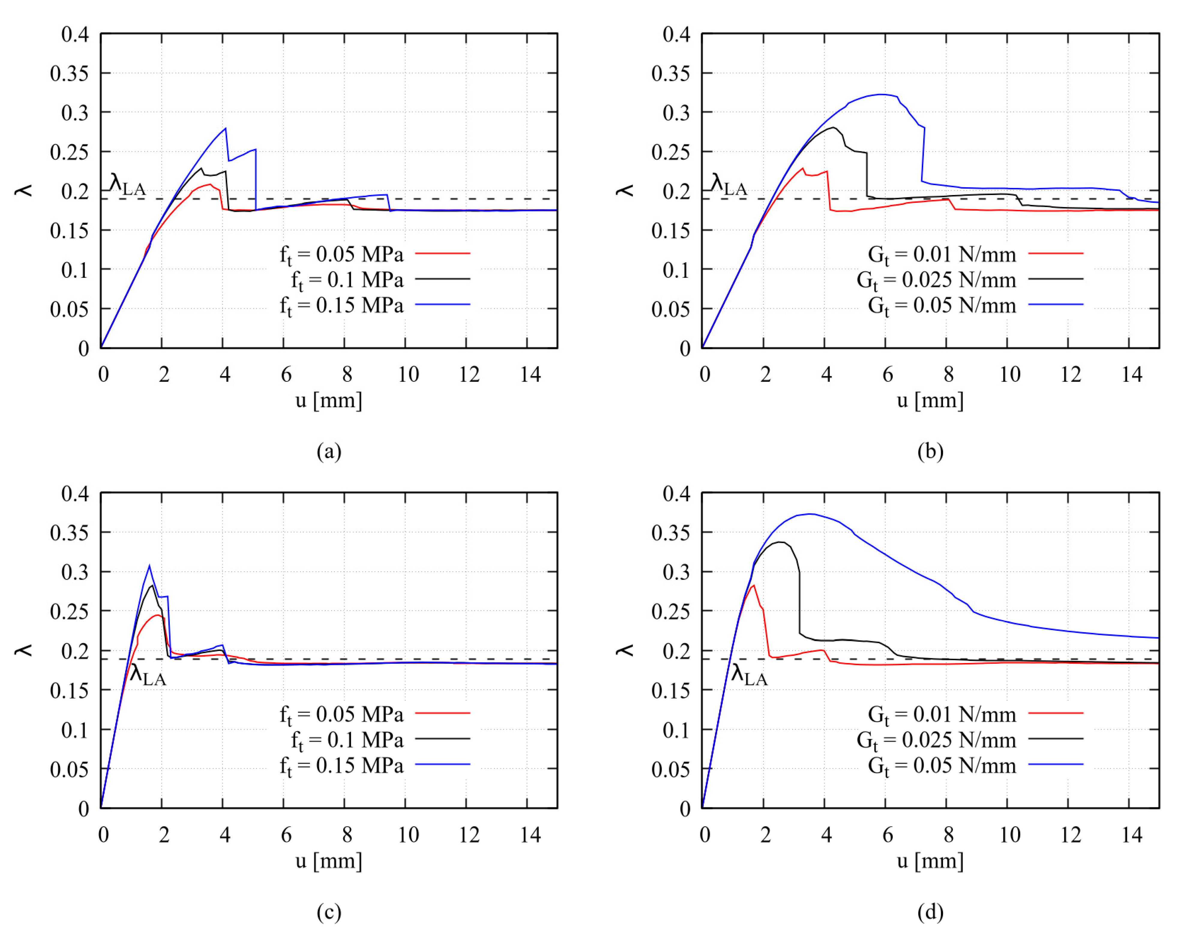
3.2. Unreinforced Buttressed Arches
3.3. Retrofitted Buttressed Arches
4. Conclusions
Supplementary Materials
Author Contributions
Funding
Informed Consent Statement
Data Availability Statement
Conflicts of Interest
References
- De Matteis, G.; Zizi, M. Seismic Damage Prediction of Masonry Churches by a PGA-based Approach. Int. J. Archit. Herit. 2019, 13, 1165–1179. [Google Scholar] [CrossRef]
- Brandonisio, G.; Mele, E.; De Luca, A. Limit analysis of masonry circular buttressed arches under horizontal loads. Meccanica 2017, 52, 2547–2565. [Google Scholar] [CrossRef]
- Brandonisio, G.; Angelillo, M.; De Luca, A. Seismic capacity of buttressed masonry arches. Eng. Struct. 2020, 215, 110661. [Google Scholar] [CrossRef]
- Dimitri, R.; De Lorenzis, L.; Zavarise, G. Numerical study on the dynamic behavior of masonry columns and arches on buttresses with the discrete element method. Eng. Struct. 2011, 33, 3172–3188. [Google Scholar] [CrossRef]
- Dimitri, R.; Tornabene, F. A parametric investigation of the seismic capacity for masonry arches and portals of different shapes. Eng. Fail. Anal. 2015, 52, 1–34. [Google Scholar] [CrossRef]
- Pulatsu, B.; Erdogmus, E.; Bretas, E.M.; Lourenco, P. In-Plane Static Response of Dry-Joint Masonry Arch-Pier Structures. In Proceedings of the AEI 2019, Tysons, WV, USA, 3–6 April 2019. [Google Scholar]
- Borri, A.; Castori, G.; Corradi, M. Intrados strengthening of brick masonry arches with composite materials. Compos. Part B Eng. 2011, 42, 1164–1172. [Google Scholar] [CrossRef]
- Cancelliere, I.; Imbimbo, M.; Sacco, E. Experimental tests and numerical modeling of reinforced masonry arches. Eng. Struct. 2010, 32, 776–792. [Google Scholar] [CrossRef]
- Foraboschi, P. Strengthening of Masonry Arches with Fiber-Reinforced Polymer Strips. J. Compos. Constr. 2004, 8, 191–202. [Google Scholar] [CrossRef]
- Gattesco, N.; Boem, I.; Andretta, V. Experimental behaviour of non-structural masonry vaults reinforced through fibre-reinforced mortar coating and subjected to cyclic horizontal loads. Eng. Struct. 2018, 172, 419–431. [Google Scholar] [CrossRef]
- Angiolilli, M.; Gregori, A.; Cattari, S. Performance of Fiber Reinforced Mortar coating for irregular stone masonry: Experimental and analytical investigations. Constr. Build. Mater. 2021, 294, 123508. [Google Scholar] [CrossRef]
- Ferrara, G.; Caggegi, C.; Martinelli, E.; Gabor, A. Shear capacity of masonry walls externally strengthened using Flax-TRM composite systems: Experimental tests and comparative assessment. Constr. Build. Mater. 2020, 261, 120490. [Google Scholar] [CrossRef]
- Alecci, V.; De Stefano, M.; Focacci, F.; Luciano, R.; Rovero, L.; Stipo, G. Strengthening Masonry Arches with Lime-Based Mortar Composite. Buildings 2017, 7, 49. [Google Scholar] [CrossRef] [Green Version]
- Del Zoppo, M.; Di Ludovico, M.; Prota, A. Analysis of FRCM and CRM parameters for the in-plane shear strengthening of different URM types. Compos. Part B Eng. 2019, 171, 20–33. [Google Scholar] [CrossRef]
- ICC Evaluation Service; AC434. Acceptance Criteria for Masonry and Concrete Strengthening Using Fiber-Reinforced Cementitious Matrix (FRCM) Composite Systems; ICC Evaluation Service: Brea, CA, USA, 2011. [Google Scholar]
- ACI 549.4R-13. Guide to Design and Construction of Externally Bonded Fabric-Reinforced Cementitious Matrix (FRCM) Systems for Repair and Strengthening Concrete and Masonry Structures; American Concrete Institute: Farmington Hills, MI, USA, 2013. [Google Scholar]
- Angiolilli, M.; Gregori, A.; Vailati, M. Lime-Based Mortar Reinforced by Randomly Oriented Short Fibers for the Retrofitting of the Historical Masonry Structure. Materials 2020, 13, 3462. [Google Scholar] [CrossRef] [PubMed]
- Bustos-García, A.; Moreno-Fernández, E.; Zavalis, R.; Valivonis, J. Diagonal compression tests on masonry wallets coated with mortars reinforced with glass fibers. Mater. Struct. 2019, 52, 60. [Google Scholar] [CrossRef]
- Simoncello, N.; Zampieri, P.; Gonzalez-Libreros, J.; Pellegrino, C. Experimental behaviour of damaged masonry arches strengthened with steel fiber reinforced mortar (SFRM). Compos. Part B Eng. 2019, 177, 107386. [Google Scholar] [CrossRef]
- Zhang, Y.; Tubaldi, E.; Macorini, L.; Izzuddin, B.A. Mesoscale partitioned modelling of masonry bridges allowing for arch-backfill interaction. Constr. Build. Mater. 2018, 173, 820–842. [Google Scholar] [CrossRef] [Green Version]
- Cannizzaro, F.; Pantò, B.; Caddemi, S.; Caliò, I. A Discrete Macro-Element Method (DMEM) for the nonlinear structural assessment of masonry arches. Eng. Struct. 2018, 168, 243–256. [Google Scholar] [CrossRef] [Green Version]
- Pantò, B.; Chisari, C.; Macorini, L.; Izzuddin, B. A macroscale modelling approach for nonlinear analysis of masonry arch bridges. In Proceedings of the SAHC 2021, Barcelona, Spain, 29 September–1 October 2021. [Google Scholar]
- Zizi, M.; Cacace, D.; Rouhi, J.; Lourenço, P.B.; De Matteis, G. Automatic Procedures for the Safety Assessment of Stand-alone Masonry Arches. Int. J. Archit. Herit. 2021, in press. [Google Scholar] [CrossRef]
- Heyman, J. The Masonry Arch; Ellis Horwood Ltd.: Chichester, UK, 1982. [Google Scholar]
- De Luca, A.; Giordano, A.; Mele, E. A simplified procedure for assessing the seismic capacity of masonry arches. Eng. Struct. 2004, 26, 1915–1929. [Google Scholar] [CrossRef]
- Gilbert, M.; Casapulla, C.; Ahmed, H. Limit analysis of masonry block structures with non-associative frictional joints using linear programming. Comput. Struct. 2006, 84, 873–887. [Google Scholar] [CrossRef]
- Funari, M.F.; Spadea, S.; Lonetti, P.; Fabbrocino, F.; Luciano, R. Visual programming for structural assessment of out-of-plane mechanisms in historic masonry structures. J. Build. Eng. 2020, 31, 101425. [Google Scholar] [CrossRef]
- Como, M. Statics of Historic Masonry Constructions; Springer: Berlin/Heidelberg, Germany, 2013. [Google Scholar]
- Geuzaine, C.; Remacle, J.-F. Gmsh: A three-dimensional finite element mesh generator with built-in pre- and post-processing facilities. Int. J. Numer. Methods Eng. 2009, 79, 1309–1331. [Google Scholar] [CrossRef]
- Ministero delle Infrastrutture e dei Trasporti. Istruzioni per l’applicazione dell’Aggiornamento Delle “Norme Tecniche per le Costruzioni” di cui al decreto ministeriale 17 gennaio 2018; Ministero delle Infrastrutture e dei Trasporti: Rome, Italy, 2019. [Google Scholar]
- Rondelet, J.B. Trattato Teorico e Pratico Dell’arte di Edificare. Prima Traduzione Italiana Sulla Sesta Edizione Originale Con Note e Giunte Importantissime; Caranenti: Mantova, Italy, 1832. (In Italian) [Google Scholar]
- Iucolano, F.; Liguori, B.; Colella, C. Fibre-reinforced lime-based mortars: A possible resource for ancient masonry restoration. Constr. Build. Mater. 2013, 38, 785–789. [Google Scholar] [CrossRef]
- Alexakis, H.; Makris, N. Hinging Mechanisms of Masonry Single-Nave Barrel Vaults Subjected to Lateral and Gravity Loads. J. Struct. Eng. 2017, 143, 04017026. [Google Scholar] [CrossRef]
- Lourenço, P.B. Recent advances in masonry modelling: Micromodelling and homogenisation. In Multiscale Modeling in Solid Mechanics; Galvanetto, U., Aliabadi, M.H.F., Eds.; Imperial College Press: London, UK, 2009; pp. 251–294. [Google Scholar]
- Aiello, M.A.; Cascardi, A.; Ombres, L.; Verre, S. Confinement of Masonry Columns with the FRCM-System: Theoretical and Experimental Investigation. Infrastructures 2020, 5, 101. [Google Scholar] [CrossRef]





















| Masonry Type | w (kN/m3) | E (Mpa) | G (Mpa) | fc (Mpa) | Gc (N/mm) | τ0 (Mpa) | γu (-) | c (Mpa) | μ (-) | Gf (N/mm) |
|---|---|---|---|---|---|---|---|---|---|---|
| Weak | 19 | 690 | 230 | 1.0 | 3.0 | 0.018 | 0.005 | 0.018 | 0.6 | 2.0 |
| Strong | 19 | 1800 | 600 | 4.6 | 3.0 | 0.13 | 0.005 | 0.13 | 0.6 | 2.0 |
Publisher’s Note: MDPI stays neutral with regard to jurisdictional claims in published maps and institutional affiliations. |
© 2021 by the authors. Licensee MDPI, Basel, Switzerland. This article is an open access article distributed under the terms and conditions of the Creative Commons Attribution (CC BY) license (https://creativecommons.org/licenses/by/4.0/).
Share and Cite
Chisari, C.; Cacace, D.; De Matteis, G. Parametric Investigation on the Effectiveness of FRM-Retrofitting in Masonry Buttressed Arches. Buildings 2021, 11, 406. https://doi.org/10.3390/buildings11090406
Chisari C, Cacace D, De Matteis G. Parametric Investigation on the Effectiveness of FRM-Retrofitting in Masonry Buttressed Arches. Buildings. 2021; 11(9):406. https://doi.org/10.3390/buildings11090406
Chicago/Turabian StyleChisari, Corrado, Daniela Cacace, and Gianfranco De Matteis. 2021. "Parametric Investigation on the Effectiveness of FRM-Retrofitting in Masonry Buttressed Arches" Buildings 11, no. 9: 406. https://doi.org/10.3390/buildings11090406
APA StyleChisari, C., Cacace, D., & De Matteis, G. (2021). Parametric Investigation on the Effectiveness of FRM-Retrofitting in Masonry Buttressed Arches. Buildings, 11(9), 406. https://doi.org/10.3390/buildings11090406
