RETRACTED: An Investigation of Bearing Capacity of High-Strength SRC Columns under Eccentric Axial Load
Abstract
:1. Introduction
2. Experimental Investigation
2.1. Test Specimen
2.2. Materials Properties
2.3. Test Setup and Operation
3. Test Results and Analysis
3.1. Failure Mode
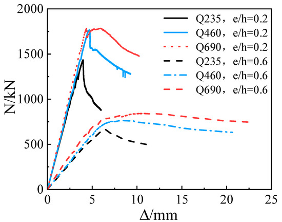
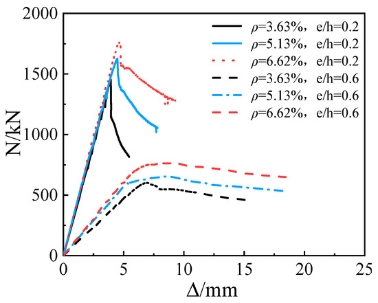
3.2. Load-Displacement Relationships
3.3. Load-Deflection Curve at Mid Height Section
3.4. Analysis of the Bearing Capacity and Ductility
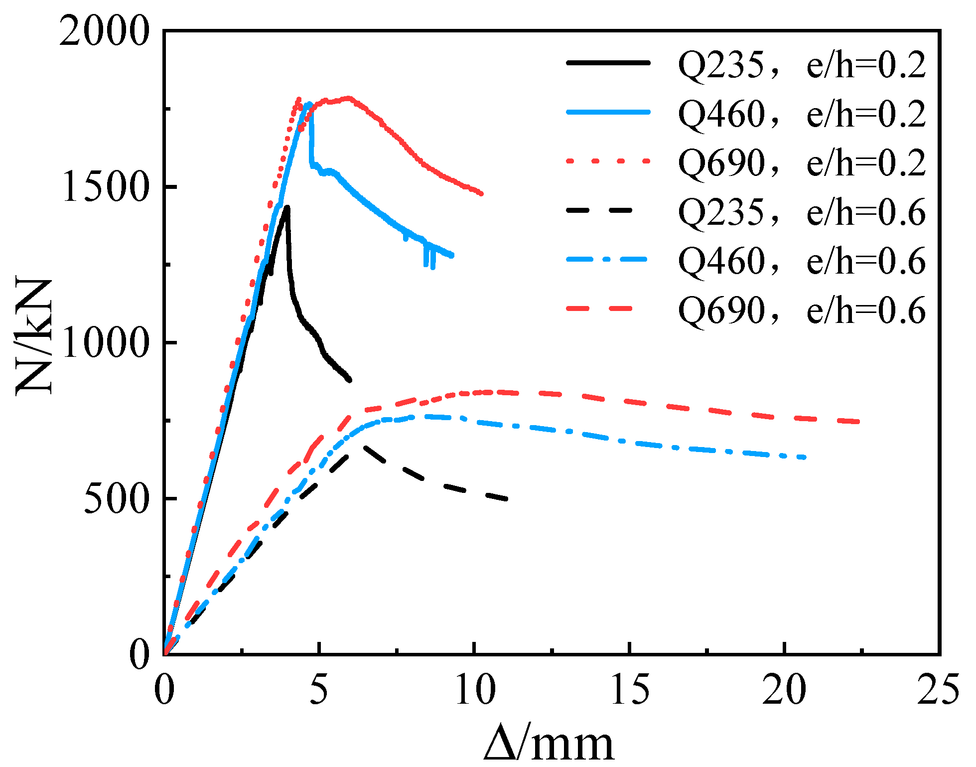
3.4.1. Influence of Steel Strength on Bearing Capacity and Ductility
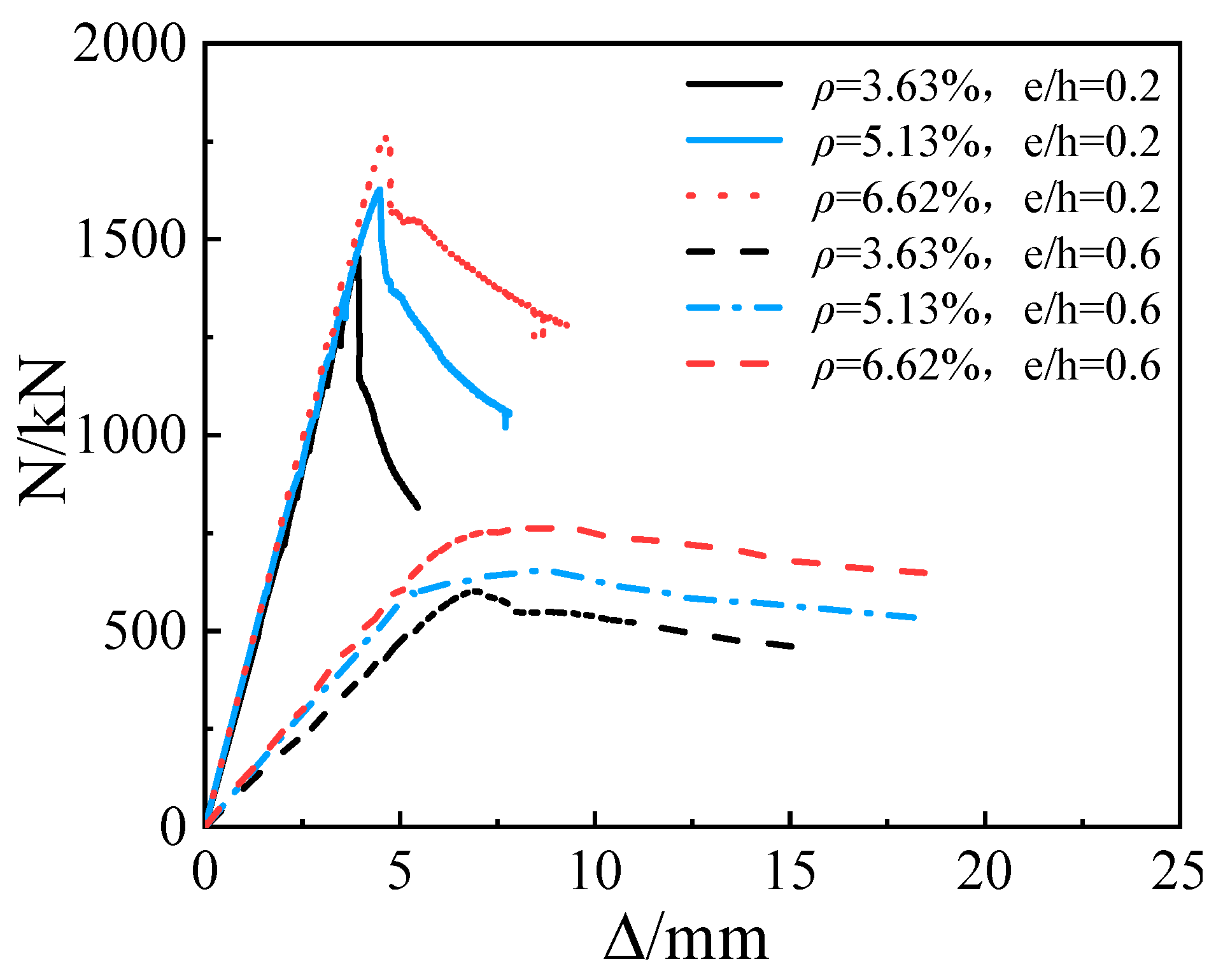
3.4.2. Influence of Steel Ratio on Bearing Capacity and Ductility
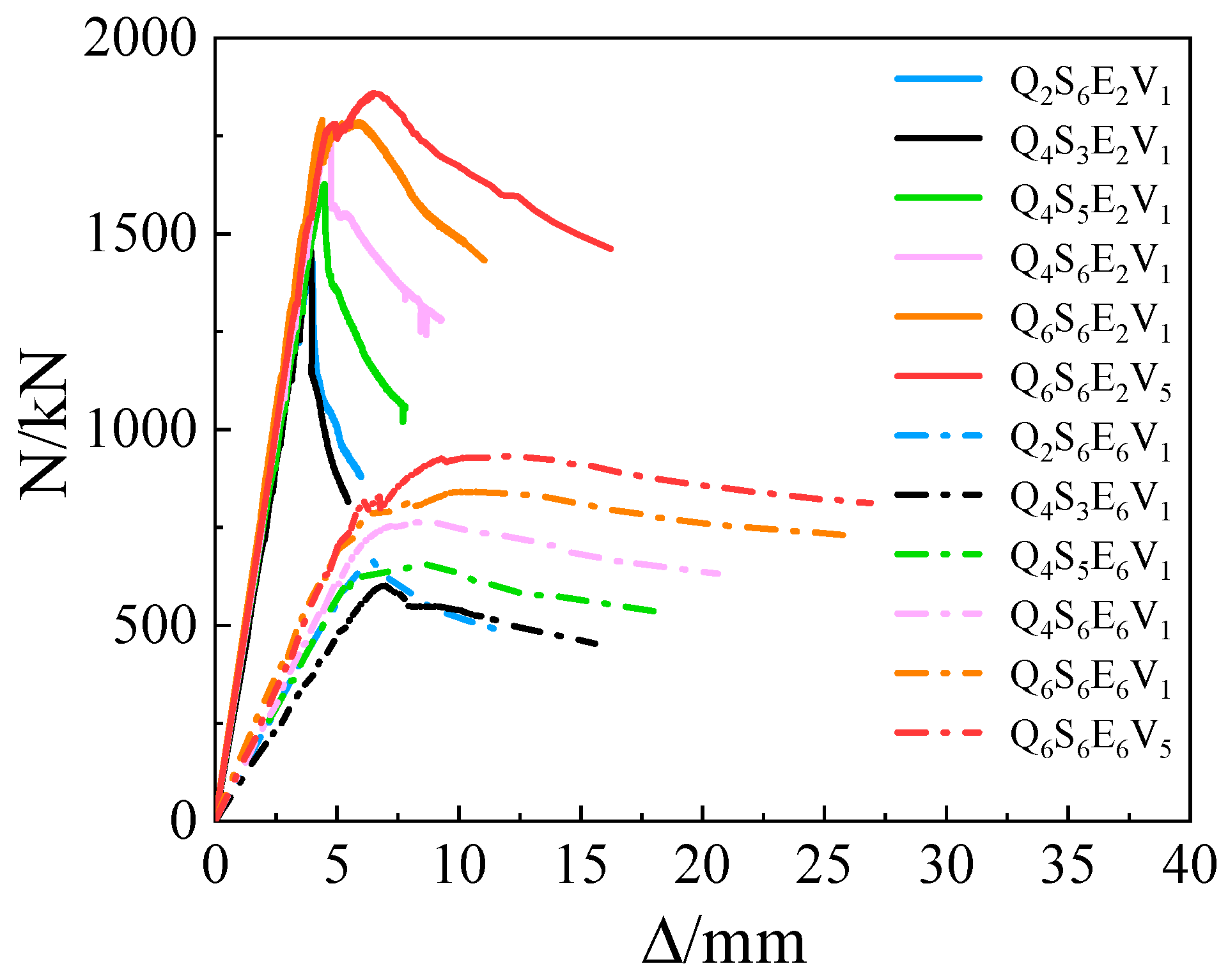
3.4.3. Influence of Relative Eccentricity on Bearing Capacity and Ductility
3.4.4. Influence of Stirrup Spacing on Bearing Capacity and Ductility
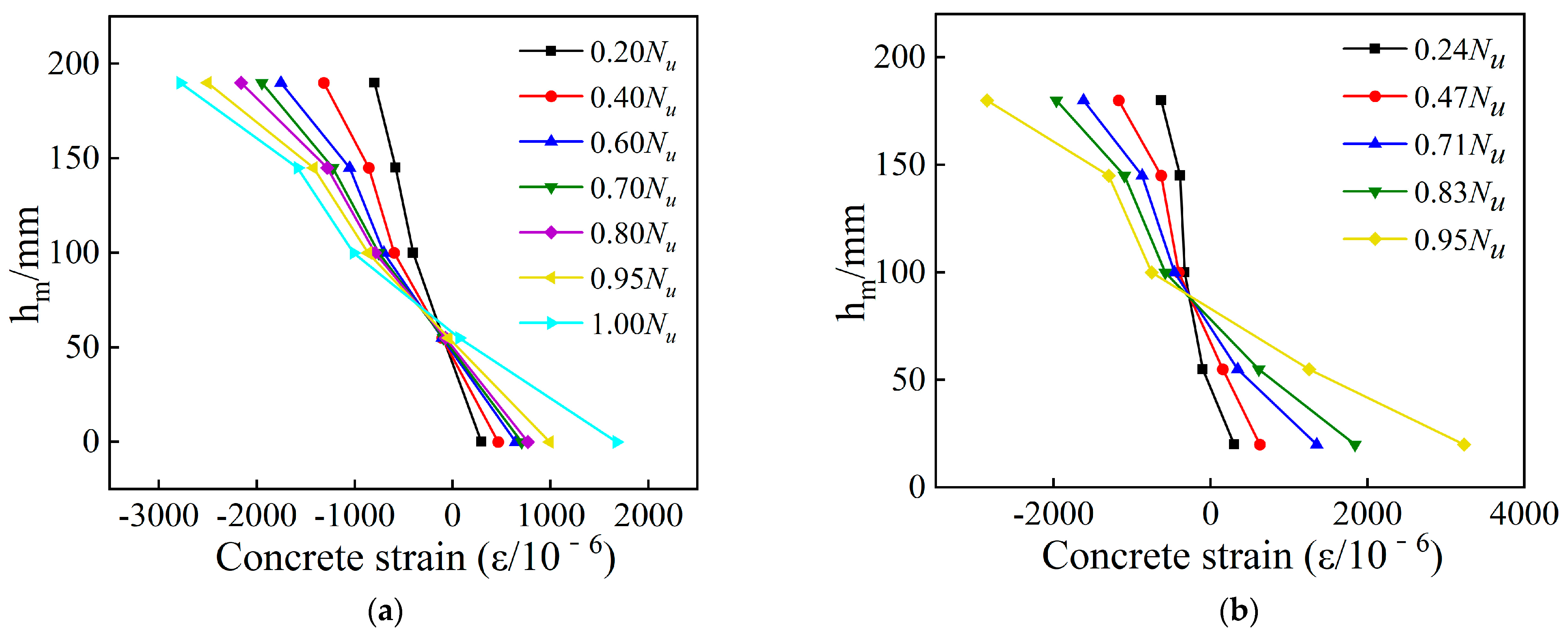
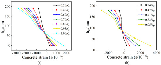
3.5. Concrete Cross-Sectional Strain Distribution
4. Comparison and Analysis of Test and Calculated Results
5. Numerical Analysis
5.1. Establishment of Finite Element Model
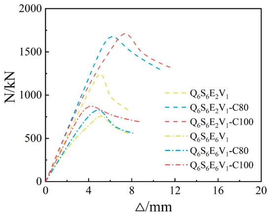
5.2. Finite Element Parametric Study
6. Discussion
7. Conclusions
- 1.
- The bearing capacity of SRC column increases with the steel (strength) grade increasing. The ductility coefficient of SRC column increases obviously when the steel grade is raised from Q235 to Q460 and Q690. In addition, the ductility coefficient of Q690 SRC column is much higher than that of Q460 steel specimens.
- 2.
- The ductility of high-strength SRC columns can increase by 25–155% when the relative eccentricity increases from 0.2 to 0.6; the bearing capacity and ductility of high-strength SRC columns can be improved by increasing the steel ratio. Decreasing the stirrup spacing can improve the bearing capacity and ductility of Q690 SRC columns.
- 3.
- The bearing capacity of SRC column measured in the test was compared with the bearing capacity calculated by Eurocode 4-2004, AISC360-16 and JGJ138-2016 specifications. It was found that the calculated results of Eurocode 4-2004 and AISC360-16 generally tend to be conservative, while the calculated results of JGJ138-2016 for high-strength SRC columns are generally safe when e/h is equal to 0.2 and unsafe when e/h is equal to 0.6.
- 4.
- It was also found that the strain compatibility method should be used for designing SRC columns. In addition, the peak strain of confined concrete should be close to the yield strain of steel. In this way, the contribution of materials can be maximized when the ultimate bearing capacity of SRC columns is reached, and the waste of the materials can be avoided.
Author Contributions
Funding
Institutional Review Board Statement
Informed Consent Statement
Data Availability Statement
Conflicts of Interest
References
- Shokouhian, M.; Shi, Y. Flexural strength of hybrid steel I-beams based on slenderness. Eng. Struct. 2015, 93, 114–128. [Google Scholar] [CrossRef]
- Tsutsumi, S.; Kitamura, T.; Fincato, R. Ductile behaviour of carbon steel for welded structures: Experiments and numerical simulations. J. Constr. Steel Res. 2020, 172, 106185. [Google Scholar] [CrossRef]
- Al-Azzani, H.; Yang, J.; Sharhan, A.; Wang, W. A Practical Approach for Fire Resistance Design of Restrained High-Strength Q690 Steel Beam Considering Creep Effect. Fire Technol. 2021, 57, 1683–1706. [Google Scholar] [CrossRef]
- Nguyen, H.T.; Kim, S.E. Finite element modeling of push-out tests for large stud shear connectors. J. Constr. Steel Res. 2009, 65, 1909–1920. [Google Scholar] [CrossRef]
- Yang, Y.; Hou, Z.; Li, G. Mechanical properties of high strength steel reinforced concrete columns under small eccentric load. J. Harbin Inst. Tech. 2016, 48, 132–137. [Google Scholar]
- Yang, Y.; Hou, Z.; Li, G. Study on mechanical properties of Q460 high-strength SRC circular column under axial compression. Steel Constr. 2016, 31, 24–31. [Google Scholar] [CrossRef]
- Kim, C.-S.; Park, H.-G.; Chung, K.-S.; Choi, I.-R. Eccentric Axial Load Testing for Concrete-Encased Steel Columns Using 800 MPa Steel and 100 MPa Concrete. J. Struct. Eng. 2012, 138, 1019–1031. [Google Scholar] [CrossRef]
- Kim, C.-S.; Park, H.-G.; Choi, I.-R.; Chung, K.-S. Effect of Sustained Load on Ultimate Strength of High-Strength Composite Columns Using 800-MPa Steel and 100-MPa Concrete. J. Struct. Eng. 2017, 143, 04016189. [Google Scholar] [CrossRef]
- Kim, C.-S.; Park, H.-G.; Lee, H.-J.; Choi, I.-R.; Chung, K.-S. Eccentric Axial Load Test for High-Strength Composite Columns of Various Sectional Configurations. J. Struct. Eng. 2017, 143, 04017075. [Google Scholar] [CrossRef]
- Cusson, D.; Paultre, P. Stress-Strain Model for Confined High-Strength Concrete. J. Struct. Eng. 1995, 121, 468–477. [Google Scholar] [CrossRef]
- Chen, C.-C.; Lin, N.-J. Analytical model for predicting axial capacity and behavior of concrete encased steel composite stub columns. J. Constr. Steel Res. 2006, 62, 424–433. [Google Scholar] [CrossRef]
- American Concrete Institute (ACI). Building Code Requirements for Structural Concrete (ACI 318-14) and Commentary; American Concrete Institute (ACI): Farmington Hills, MI, USA, 2014. [Google Scholar]
- Lee, C.-H.; Kang, T.H.-K.; Kim, S.-Y.; Kang, K. Strain compatibility method for the design of short rectangular concrete-filled tube columns under eccentric axial loads. Constr. Build. Mater. 2016, 121, 143–153. [Google Scholar] [CrossRef]
- Chin, C.-L.; Ong, C.-B.; Tan, J.-Y.; Ma, C.-K.; Awang, A.Z.; Omar, W. Confinement-concrete interaction in pre-tensioned partial steel-confined concrete. Structures 2019, 23, 751–765. [Google Scholar] [CrossRef]
- Chen, C.-C.; Ko, J.-W.; Huang, G.-L.; Chang, Y.-M. Local buckling and concrete confinement of concrete-filled box columns under axial load. J. Constr. Steel Res. 2012, 78, 8–21. [Google Scholar] [CrossRef]
- Wang, J.; Su, Y.; Zhao, J.; Wang, X.; Sun, W. Study on axial compression performance of high strength H-section steel reinforced concrete composite column. J. Build. Struct. 2021, 1–10. [Google Scholar] [CrossRef]
- Wang, J.; Duan, Y.; Wang, Y.; Wang, X.; Liu, Q. Analysis and Modification of Methods for Calculating Axial Load Capacity of High-Strength Steel-Reinforced Concrete Composite Columns. Materials 2021, 14, 6860. [Google Scholar] [CrossRef] [PubMed]
- ANSI/AISC360-2016. Specification for Structural Steel Buildings; AISC Committee on Specifications: Chicago, IL, USA, 2016. [Google Scholar]
- Eurocode 4: Design of Composite Steel and Concrete Structures Part 1-1: General Rules for Buildings: EN 1994-1-1:2004; European Committee for Standardization: Brussels, Belgium, 2004.
- JGJ138-2016. Code for Design of Composite Structures; Architecture and Building Press: Beijing, China, 2016. [Google Scholar]
- GB/T228-2010. Chinese Standard for Metallic Materials-Tensile Testing at Ambient Temperature; Architecture and Building Press: Beijing, China, 2010. [Google Scholar]
- GB/T50152-2012. Standard for Test Methods of Concrete Structures; Architecture and Building Press: Beijing, China, 2012. [Google Scholar]
- Zongping, C.; Lezhang, H.; Qiuhong, T. Experimental study and analysis of concrete filled square steel tube columns with spiral reinforcement under eccentric compression. Eng. Mech. 2021, 38, 205–219. [Google Scholar]
- Hegger, J.; Doinghaus, P. High Performance Steel and High Performance Concrete in Composite Structures. Composite Construction in Steel and Concrete IV; American Society of Civil Engineers: New York, NY, USA, 2002; pp. 891–902. [Google Scholar]
- Hoffmeister, B.; Sedlack, G.; Muller, C.; Kuhn, B. High Strength Materials in Composite Structures. Composite Construction in Steel and Concrete IV; American Society of Civil Engineers: New York, NY, USA, 2002; pp. 903–914. [Google Scholar]
- Zhao, X.-Z.; Wen, F.-P. Theoretical study on confinement mechanism and stress-strain model for steel confined concrete in SRC columns. Eng. Mech. 2018, 35, 36–46. [Google Scholar]
- Sheikh, S.A.; Uzumeri, S.M. Strength and Ductility of Tied Concrete Columns. J. Struct. Div. 1980, 106, 1079–1102. [Google Scholar] [CrossRef]
- GB 50010-2010. Chinese Standard for Design of Concrete Structures; Architecture and Building Press: Beijing, China, 2010. [Google Scholar]
- Mander, J.B.; Priestley, M.J.N.; Park, R. Theoretical Stress-Strain Model for Confined Concrete. J. Struct. Eng. 1988, 114, 1804–1826. [Google Scholar] [CrossRef]
- Fib. Fib Model Code for Concrete Structures 2010; International Federation for Structural Concrete: Lausanne, Switzerland, 2010. [Google Scholar]























| Specimens | Steel | Relative Eccentricity e/h | Steel Ratio ρ/% | Steel Size hw × bf × tw × tf | Stirrup Spacing d/mm |
|---|---|---|---|---|---|
| Q2S6E2V1 | Q235 | 0.2 | 6.63 | 90 × 110 × 5 × 10 | 100 |
| Q4S3E2V1 | Q460 | 0.2 | 3.63 | 90 × 100 × 5 × 5 | 100 |
| Q4S5E2V1 | Q460 | 0.2 | 5.13 | 90 × 100 × 5 × 8 | 100 |
| Q4S6E2V1 | Q460 | 0.2 | 6.63 | 90 × 110 × 5 × 10 | 100 |
| Q6S6E2V1 | Q690 | 0.2 | 6.63 | 90 × 110 × 5 × 10 | 100 |
| Q6S6E2V5 | Q690 | 0.2 | 6.63 | 90 × 110 × 5 × 10 | 50 |
| Q2S6E6V1 | Q235 | 0.6 | 6.63 | 90 × 110 × 5 × 10 | 100 |
| Q4S3E6V1 | Q460 | 0.6 | 3.63 | 90 × 100 × 5 × 5 | 100 |
| Q4S5E6V1 | Q460 | 0.6 | 5.13 | 90 × 100 × 5 × 8 | 100 |
| Q4S6E6V1 | Q460 | 0.6 | 6.63 | 90 × 110 × 5 × 10 | 100 |
| Q6S6E6V1 | Q690 | 0.6 | 6.63 | 90 × 110 × 5 × 10 | 100 |
| Q6S6E6V5 | Q690 | 0.6 | 6.63 | 90 × 110 × 5 × 10 | 50 |
| Steel | Thickness (Diameter) t (dr)/mm | Yield Strength fy/MPa | Ultimate Strength fu/MPa | Elongation δ/% |
|---|---|---|---|---|
| Q235 | 5 | 276.5 | 455.0 | 31.7 |
| Q235 | 10 | 281.2 | 461.5 | 33.1 |
| Q460 | 5 | 550.5 | 619.7 | 23.2 |
| Q460 | 8 | 520.0 | 622.2 | 28.2 |
| Q460 | 10 | 556.1 | 620.4 | 23.5 |
| Q690 | 5 | 769.6 | 824.1 | 22.5 |
| Q690 | 10 | 774.2 | 830.5 | 23.9 |
| HRB400 | 8 | 461.5 | 586.5 | 28.6 |
| HRB400 | 12 | 451.0 | 570.3 | 27.8 |
| Grade of Concrete | ||||
|---|---|---|---|---|
| C50 | 56.4 | 58.0 | 42.4 | 35,826.1 |
| 59.7 | ||||
| 57.1 | ||||
| 59.3 | ||||
| 57.5 | ||||
| 58.2 | ||||
| 57.9 | ||||
| 56.8 | ||||
| 59.1 |
| Specimen | Nu/kN | Δy/mm | Δf/mm | μ |
|---|---|---|---|---|
| Q2S6E2V1 | 1433 | 3.7 | 4.1 | 1.1 |
| Q4S3E2V1 | 1452 | 4.0 | 4.1 | 1.0 |
| Q4S5E2V1 | 1627 | 4.3 | 4.8 | 1.1 |
| Q4S6E2V1 | 1761 | 4.5 | 5.9 | 1.3 |
| Q6S6E2V1 | 1789 | 4.4 | 9.2 | 2.1 |
| Q6S6E2V5 | 1859 | 4.6 | 12.6 | 2.7 |
| Q2S6E6V1 | 666 | 5.8 | 8.2 | 1.4 |
| Q4S3E6V1 | 603 | 6.4 | 11.6 | 1.8 |
| Q4S5E6V1 | 654 | 5.7 | 15.7 | 2.8 |
| Q4S6E6V1 | 761 | 6.3 | 18.6 | 3.0 |
| Q6S6E6V1 | 843 | 6.1 | 29.0 | 4.8 |
| Q6S6E6V5 | 932 | 6.4 | 34.9 | 5.5 |
| Specimens | Test Results Nu/kN | Eurocode 4-2004 | AISC360-16 | JGJ138-2016 | |||
|---|---|---|---|---|---|---|---|
| NE/kN | NE/Nu − 1 | NA/kN | NA/Nu − 1 | NJ/kN | NJ/Nu − 1 | ||
| Q2S6E2V1 | 1433 | 1288 | −10.1% | 889 | −38.0% | 1303 | −9.1% |
| Q4S3E2V1 | 1452 | 1214 | −16.4% | 910 | −37.3% | 1282 | −11.7% |
| Q4S5E2V1 | 1627 | 1393 | −14.4% | 1063 | −34.7% | 1429 | −12.2% |
| Q4S6E2V1 | 1761 | 1565 | −11.1% | 1278 | −27.4% | 1693 | −3.9% |
| Q6S6E2V1 | 1789 | 1821 | 1.8% | 1580 | −11.7% | 1864 | 4.2% |
| Q6S6E2V5 | 1859 | 1821 | −2.0% | 1580 | −15.0% | 1864 | 0.3% |
| Q2S6E6V1 | 666 | 491 | −26.3% | 412 | −38.1% | 656 | −1.5% |
| Q4S3E6V1 | 603 | 426 | −29.4% | 424 | −29.7% | 611 | 1.3% |
| Q4S5E6V1 | 654 | 523 | −20.0% | 505 | −22.8% | 706 | 8.0% |
| Q4S6E6V1 | 761 | 656 | −13.8% | 622 | −18.3% | 872 | 14.6% |
| Q6S6E6V1 | 843 | 803 | −4.7% | 787 | −6.6% | 964 | 14.4% |
| Q6S6E6V5 | 932 | 803 | −13.8% | 787 | −15.6% | 964 | 3.4% |
| Specimen | Concrete | Relative Eccentricity | Simulation Results |
|---|---|---|---|
| Q6S6E2V1 | C50 | 0.2 | 1317 |
| Q6S6E2V1-C80 | C80 | 0.2 | 1735 |
| Q6S6E2V1-C100 | C100 | 0.2 | 1841 |
| Q6S6E6V1 | C50 | 0.6 | 815 |
| Q6S6E6V1-C80 | C80 | 0.6 | 924 |
| Q6S6E6V1-C100 | C100 | 0.6 | 957 |
Publisher’s Note: MDPI stays neutral with regard to jurisdictional claims in published maps and institutional affiliations. |
© 2021 by the authors. Licensee MDPI, Basel, Switzerland. This article is an open access article distributed under the terms and conditions of the Creative Commons Attribution (CC BY) license (https://creativecommons.org/licenses/by/4.0/).
Share and Cite
Wang, J.; Duan, Y.; Sun, W.; Yi, X. RETRACTED: An Investigation of Bearing Capacity of High-Strength SRC Columns under Eccentric Axial Load. Buildings 2021, 11, 639. https://doi.org/10.3390/buildings11120639
Wang J, Duan Y, Sun W, Yi X. RETRACTED: An Investigation of Bearing Capacity of High-Strength SRC Columns under Eccentric Axial Load. Buildings. 2021; 11(12):639. https://doi.org/10.3390/buildings11120639
Chicago/Turabian StyleWang, Jun, Yuxin Duan, Wenze Sun, and Xinyu Yi. 2021. "RETRACTED: An Investigation of Bearing Capacity of High-Strength SRC Columns under Eccentric Axial Load" Buildings 11, no. 12: 639. https://doi.org/10.3390/buildings11120639
APA StyleWang, J., Duan, Y., Sun, W., & Yi, X. (2021). RETRACTED: An Investigation of Bearing Capacity of High-Strength SRC Columns under Eccentric Axial Load. Buildings, 11(12), 639. https://doi.org/10.3390/buildings11120639
