Structural Behavior of Reinforced Concrete Slabs Containing Fine Waste Aggregates of Polyvinyl Chloride
Abstract
1. Introduction
2. Objective
3. Background
4. Experimental Program
4.1. Materials
4.2. Concrete Mixes
4.3. Apparatus
4.4. Specimen Preparation
4.5. Test Procedure
5. Results and Discussion
5.1. Mechanical Properties
5.1.1. Workability of Fresh Properties
5.1.2. Hardened Properties
5.2. Slab Behaviors
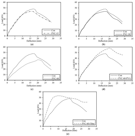
5.2.1. Comparison between Control and PVC Concrete Slabs
5.2.2. Comparison between PVC Concrete Slabs and Enhanced PVC Concrete Slabs
5.3. Cracking Patterns and Failure Mode
6. Conclusions
- (1)
- For the concrete slab containing PVC fine waste aggregates as a total replacement, the ultimate load capacity was reduced by 22.9%. The ultimate deflection was also increased by 14.3%, and the slabs become more ductile at failure.
- (2)
- The ultimate load capacity of slabs that contained a concrete layer, on the bottom, containing PVC fine waste aggregates with thickness 25% and 50% of total slab thickness receded slightly lower by 8.30% and 8.8% than the Con slab, respectively.
- (3)
- The addition of fiber wire mesh to the slab containing PVC fine waste aggregates, instead of sand, as a total replacement enhanced the ultimate load capacity by 10% with respect to the control specimen. Additionally, the ultimate deflection was decreased by 45.7%.
- (4)
- At higher plastic aggregate content, flexural strength reduction was more noticeable due to the weak strength of the transition zone region between PVC particle and cement matrix related to the accumulation of free water. However, adding the PVA in the concrete mix increased the ultimate load capacity by 20.8% from the control slab.
- (5)
- Using fiber wire mesh was a better approach to re-strength the PVC concrete slab than using PVA material to cast concrete slabs containing PVC fine waste aggregates in terms of the ultimate deflection and the cost. On the other hand, the best approach that impacts the flexural performance and toughness of slab containing PVC fine aggregate concrete is achieved, incorporating PVA material in the concrete mix to provide the most substantial mechanical effect compared to the fibers wire mesh approach.
- (6)
- Also, Adding PVA material in the concrete mix was a better approach to re-strength the PVC concrete slab than the fiber wire mesh approach in terms of the quick, efficient, and economical construction. It is also feasible to use an optimized PVC fine aggregate in structural components to decrease structural elements’ concrete density, resulting in lower concrete consumption.
Author Contributions
Funding
Institutional Review Board Statement
Informed Consent Statement
Data Availability Statement
Conflicts of Interest
References
- Li, X.; Ling, T.-C.; Mo, K.H. Functions and impacts of plastic/rubber wastes as eco-friendly aggregate in concrete—A review. Constr. Build. Mater. 2020, 240, 117869. [Google Scholar] [CrossRef]
- Barroqueiro, T.; Da Silva, P.R.; De Brito, J. High-Performance Self-Compacting Concrete with Recycled Aggregates from the Precast Industry: Durability Assessment. Buildings 2020, 10, 113. [Google Scholar] [CrossRef]
- Saikia, N.; De Brito, J. Use of plastic waste as aggregate in cement mortar and concrete preparation: A review. Constr. Build. Mater. 2012, 34, 385–401. [Google Scholar] [CrossRef]
- Colangelo, F.; Cioffi, R.; Liguori, B.; Iucolano, F. Recycled polyolefins waste as aggregates for lightweight concrete. Compos. Part B Eng. 2016, 106, 234–241. [Google Scholar] [CrossRef]
- Correia, J.R.; Lima, J.S.; de Brito, J. Post-fire mechanical performance of concrete made with selected plastic waste aggregates. Cem. Concr. Compos. 2014, 53, 187–199. [Google Scholar] [CrossRef]
- Mohammed, A.A.; Mohammed, I.I.; Mohammed, S.A. Some properties of concrete with plastic aggregate derived from shredded PVC sheets. Constr. Build. Mater. 2019, 201, 232–245. [Google Scholar] [CrossRef]
- Al Ajmani, H.; Suleiman, F.; Abuzayed, I.; Tamimi, A. Evaluation of concrete strength made with recycled aggregate. Buildings 2019, 9, 56. [Google Scholar] [CrossRef]
- Meddah, M.S.; Al-Harthy, A.; Ismail, A.M. Recycled Concrete Aggregates and Their Influences on Performances of Low and Normal Strength Concretes. Buildings 2020, 10, 167. [Google Scholar] [CrossRef]
- Sadrmomtazi, A.; Dolati-Milehsara, S.; Lotfi-Omran, O.; Sadeghi-Nik, A. The combined effects of waste Polyethylene Terephthalate (PET) particles and pozzolanic materials on the properties of self-compacting concrete. J. Clean. Prod. 2016, 112, 2363–2373. [Google Scholar] [CrossRef]
- Junak, J.; Sicakova, A. Effect of Surface Modifications of Recycled Concrete Aggregate on Concrete Properties. Buildings 2017, 8, 2. [Google Scholar] [CrossRef]
- Al-Manaseer, A.A.; Dalal, T.R. Concrete containing plastic aggregates. Concr. Int. 1997, 19, 47–52. [Google Scholar]
- Batayneh, M.; Marie, I.; Asi, I. Use of selected waste materials in concrete mixes. Waste Manag. 2007, 27, 1870–1876. [Google Scholar] [CrossRef] [PubMed]
- Kodua, J. Influence of Recycled Waste High Ensity Polyethylene Plastic Aggregate on the Physico- Hemical and Mechanical Properties of Concrete. Master’s Thesis, Kwame Nkrumah University of Cience and Technology, Kumasi, Ghana, 2015. [Google Scholar]
- Hameed, A.M.; Hamza, M.T. Reusing Iraqi Construction and Aggregates Waste to Manu-facturing Eco-Friendly Polymer Concrete. Al-Mustansiriyah J. Sci. 2019, 29, 63–69. [Google Scholar] [CrossRef]
- Ghernouti, Y.; Rabehi, B.; Safi, B.; Chaid, R. Use of recycled plastic bag waste in the concrete. J. Int. Sci. Publ. Mater. Methods Technol. 2011, 8, 480–487. [Google Scholar]
- Ismail, Z.Z.; Al-Hashmi, E.A. Use of waste plastic in concrete mixture as aggregate replacement. Waste Manag. 2008, 28, 2041–2047. [Google Scholar] [CrossRef]
- Senhadji, Y.; Escadeillas, G.; Benosman, A.; Mouli, M.; Khelafi, H.; Kaci, S.O. Effect of incorporating PVC waste as aggregate on the physical, mechanical, and chloride ion penetration behavior of concrete. J. Adhes. Sci. Technol. 2015, 29, 625–640. [Google Scholar] [CrossRef]
- Jibrael, M.A.; Peter, F. Strength and behavior of concrete contains waste plastic. J. Ecosyst. Ecography 2016, 6, 2–5. [Google Scholar] [CrossRef]
- Alqahtani, F.K.; Ghataora, G.; Khan, M.I.; Dirar, S.; Kioul, A.; Al-Otaibi, M. Lightweight concrete containing recycled plastic aggregates. In Proceedings of the 2015 ICMEP, Paris, France, 13–14 April 2015; pp. 13–14. [Google Scholar]
- Prahallada, M.C.; Prakash, K.B. Strength and workability characteristics of waste plastic fibre reinforced concrete produced from recycled aggregates. Int. J. Eng. Res. 2011, 1, 1791–1802. [Google Scholar]
- Ramadevi, K.; Manju, R. Experimental investigation on the properties of concrete with plastic PET (bottle) fibres as fine aggregates. Int. J. Emerg. Technol. Adv. Eng. 2012, 2, 42–46. [Google Scholar]
- Gesoğlu, M.; Güneyisi, E.; Hansu, O.; Etli, S.; Alhassan, M. Mechanical and fracture characteristics of self-compacting concretes containing different percentage of plastic waste powder. Constr. Build. Mater. 2017, 140, 562–569. [Google Scholar] [CrossRef]
- Haghighatnejad, N.; Mousavi, S.Y.; Khaleghi, S.J.; Tabarsa, A.; Yousefi, S. Properties of recycled PVC aggregate concrete under different curing conditions. Constr. Build. Mater. 2016, 126, 943–950. [Google Scholar] [CrossRef]
- Najjar, A.K.; Bashaand, E.A.; Milad, M.B.K. Rigid polyvinyl chloride waste for partial replacement of natural coarse aggregate in concrete mixture. Int. J. Chem. Environ. Eng. 2013, 4, 399–403. [Google Scholar]
- Hussein, H.H.; Edan, O.A.; Ahmed, M.K. Mechanical, thermal and acoustical properties of concrete with fine polyvinyl chloride (PVC). Iraqi J. Civ. Eng. 2017, 12, 81–91. [Google Scholar]
- Kou, S.; Lee, G.; Poon, C.; Lai, W. Properties of lightweight aggregate concrete prepared with PVC granules derived from scraped PVC pipes. Waste Manag. 2009, 29, 621–628. [Google Scholar] [CrossRef]
- Patel, H.G.; Dalal, S.P. An Experimental Investigation on Physical and Mechanical Properties of Concrete with the Replacement of Fine Aggregate by Poly Vinyl Chloride and Glass Waste. Procedia Eng. 2017, 173, 1666–1671. [Google Scholar] [CrossRef]
- BS 882. Specification for Aggregates from Natural Sources for Concrete; BSI: London, UK, 2002. [Google Scholar]
- Allahverdi, A.; Kianpur, K.; Moghbeli, M.R. Effect of polyvinyl alcohol on flexural strength and some important physical properties of portland cement paste. Iran. J. Mater. Sci. Eng. 2010, 7, 1–6. [Google Scholar]
- Hassan, R.F.; Al-Salim, N.H.; Jaber, M.H. Effect of Polyvinyl Alcohol on Flexural Behavior of RC Bubble Slabs under Linear Load. J. Eng. Appl. Sci. 2018, 13, 3979–3984. [Google Scholar] [CrossRef]
- Thong, C.C.; Teo, D.C.; Ng, C.K. Application of polyvinyl alcohol (PVA) in cement-based composite materials: A review of its engineering properties and microstructure behavior. Constr. Build. Mater. 2016, 107, 172–180. [Google Scholar] [CrossRef]
- Kim, J.H.; Robertson, R.E.; Naaman, A.E. Structure and properties of poly (vinyl alcohol)-modified mortar and concrete. Cem. Concr. Res. 1999, 29, 407–415. [Google Scholar] [CrossRef]
- Ohama, Y. Handbook of Polymer-Modified Concrete and Mortars: Properties and Process Technology; William Andrew: Koriyama, Japan, 1995. [Google Scholar]
- Ohama, Y. Polymer-based admixtures. Cem. Concr. Compos. 1998, 20, 189–212. [Google Scholar] [CrossRef]
- Yaowarat, T.; Horpibulsuk, S.; Arulrajah, A.; Maghool, F.; Mirzababaei, M.; Rashid, A.S.A.; Chinkullijniwat, A. Cement stabilisation of recycled concrete aggregate modified with polyvinyl alcohol. Int. J. Pavement Eng. 2020, 7, 1–9. [Google Scholar] [CrossRef]
- Yaowarat, T.; Horpibulsuk, S.; Arulrajah, A.; Mirzababaei, M.; Rashid, A.A.S. Compressive and flexural strength of polyvinyl alcohol–modified pavement concrete using recycled concrete aggregates. J. Mater. Civ. Eng. 2018, 30, 04018046. [Google Scholar] [CrossRef]
- Yaowarat, T.; Horpibulsuk, S.; Arulrajah, A.; Mohammadinia, A.; Chinkulkijniwat, A. Recycled Concrete Aggregate Modified with Polyvinyl Alcohol and Fly Ash for Concrete Pavement Applications. J. Mater. Civ. Eng. 2019, 31, 04019103. [Google Scholar] [CrossRef]
- ASTM Designation D 412–98a (Reapproved 2002). Standard Test Methods for Vulcanized Rubber and Thermoplastic Elastomers—Tension1, 1998 Annual Book of ASTM Standards; American Society for Testing and Material: Conshohocken, PA, USA, 2003; Annual Book of ASTM Standards, Detailed drawings are available from ASTM Headquarters, 100 Barr Harbor; Volume 03.01, pp. 1–14. [Google Scholar]
- Xie, T.; Ali, M.S.M.; Visintin, P.; Oehlers, D.; Sheikh, A.H. Partial Interaction Model of Flexural Behavior of PVA Fiber–Reinforced Concrete Beams with GFRP Bars. J. Compos. Constr. 2018, 22, 04018043. [Google Scholar] [CrossRef]
- Singh, N.; Rai, S. Effect of polyvinyl alcohol on the hydration of cement with rice husk ash. Cem. Concr. Res. 2001, 31, 239–243. [Google Scholar] [CrossRef]
- Tan, K.H.; Zhao, H. Strengthening of openings in one-way reinforced-concrete slabs using carbon fiber-reinforced polymer systems. J. Compos. Constr. 2004, 8, 393–402. [Google Scholar] [CrossRef]
- Hassan, R.F. Flexural and Shear Behavior of RC Concrete Beams Reinforced with Fiber Wire Mesh. J. Univ. Babylon Eng. Sci. 2018, 26, 264–273. [Google Scholar]
- EN, B. Testing Hardened Concrete: Making and Curing Specimens for Strength Tests; BSI: London, UK, 2009; pp. 1–12. [Google Scholar]
- ASTM C496/C496M-17. Standard Test Method for Splitting Tensile Strength of Cylindrical Concrete Specimens; ASTM International: West Conshohocken, PA, USA, 2017. [Google Scholar]
- ASTM Designation C192/C192M-02. Making and Curing Concrete Test Specimens in Laboratory; Annual Book of ASTM Standards, American Society for Testing and Materials: Philadelphia, PA, USA, 2002; Volume 4.02. [Google Scholar]
- Iraqi Standard Specification. Standard Test Method for Slump of Hydraulic-Cement Concrete; Ministry of Planning, Central Organization for Standardization and Quality Control: Baghdad, Iraq, 1992; p. 354. [Google Scholar]
- ACI (American Concrete Institute). Building Code Requirements for Structural Concrete and Commentary; ACI 318R-11: Farmington Hills, MI, USA, 2014. [Google Scholar]
- ASTM A615/A615M-12. Standard Specification for Deformed and Plain Carbon-Steel Bars for Concrete Reinforcement; ASTM International: West Conshohocken, PA, USA, 2012. [Google Scholar]
- Coppola, B.; Courard, L.; Michel, F.; Incarnato, L.; Di Maio, L. Investigation on the use of foamed plastic waste as natural aggregates replacement in lightweight mortar. Compos. Part B Eng. 2016, 99, 75–83. [Google Scholar] [CrossRef]
- Almeshal, I.; Tayeh, B.A.; Alyousef, R.; Alabduljabbar, H.; Mohamed, A.M.; Alaskar, A. Use of recycled plastic as fine aggregate in cementitious composites: A review. Constr. Build. Mater. 2020, 253, 119146. [Google Scholar] [CrossRef]
- Rai, B.; Rushad, S.T.; Kr, B.; Duggal, S.K. Study of Waste Plastic Mix Concrete with Plasticizer. Isrn Civ. Eng. 2012, 2012, 1–5. [Google Scholar] [CrossRef]
- Shubbar, S.D.; Al-Shadeedi, A.S. Utilization of waste plastic bottles as fine aggregate in concrete. Kufa J. Eng. 2017, 8, 132–146. [Google Scholar]
- Akinyele, J.O.; Ajede, A. The use of granulated plastic waste in structural concrete. Afr. J. Sci. Technol. Innov. Dev. 2018, 10, 169–175. [Google Scholar] [CrossRef]
- Hama, S.M.; Hilal, N.N. Fresh properties of concrete containing plastic aggregate. In Use of Recycled Plastics in Eco-efficient Concrete; Elsevier BV: Duxford, UK, 2019; pp. 85–114. [Google Scholar]
- Wee, T.H.; Swaddiwudhipong, S.; Lu, H.R. Tensile strain capacity of concrete under various states of stress. Mag. Concr. Res. 2000, 52, 185–193. [Google Scholar] [CrossRef]
- Ferreira, L.; De Brito, J.; Saikia, N. Influence of curing conditions on the mechanical performance of concrete containing recycled plastic aggregate. Constr. Build. Mater. 2012, 36, 196–204. [Google Scholar] [CrossRef]
- Saikia, N.; de Brito, J. Mechanical properties and abrasion behaviour of concrete containing shredded PET bottle waste as a partial substitution of natural aggregate. Constr. Build. Mater. 2014, 52, 236–244. [Google Scholar] [CrossRef]
- Iucolano, F.; Liguori, B.; Caputo, D.; Colangelo, F.; Cioffi, R. Recycled plastic aggregate in mortars composition: Effect on physical and mechanical properties. Mater. Des. 2013, 52, 916–922. [Google Scholar] [CrossRef]
- Sharma, R.; Bansal, P.P. Use of different forms of waste plastic in concrete—A review. J. Clean. Prod. 2016, 112, 473–482. [Google Scholar] [CrossRef]
- Knapen, E.; Van Gemert, D. Water-soluble polymers for modification of cement mortars. In Proceedings of the International Symposium Polymers in Concrete, Guimarães, Portugal, 2–4 April 2006; pp. 85–95. [Google Scholar]












| Constituent | Ordinary Portland Cement (Type I) % by Weight |
|---|---|
| Lime (CaO) | 62.6 |
| Silica (SiO2) | 21.1 |
| Alumina (Al2O3) | 5.4 |
| Iron oxide (Fe2O3) | 3.3 |
| Sulfite (SO3) | 2.3 |
| Magnesia (MgO) | 2.8 |
| Loss of ignition (L.O.I) | 1.4 |
| Lime saturation factor (L.S.F) | 0.9 |
| Insoluble residue (I.R) | 0.8 |
| Tricalcium silicate (C3S) | 47.1 |
| Dicalcium silicate (C2S) | 25.1 |
| Tricalcium aluminate (C3A) | 8.8 |
| Tetra calcium aluminoferrite (C4AF) | 10.0 |
| Properties | Specific Gravity | Fineness Modulus | Bulk Density (Loose) (kg/m3) | Bulk Density (Compacted) (kg/m3) |
|---|---|---|---|---|
| Cement | 3.25 | - | - | - |
| Coarse aggregate | 2.65 | - | 1625 | 1740 |
| Fine aggregate | 2.6 | 2.64 | 1720 | 1804 |
| PVC aggregate | 1.24 | 2.81 | 114 | 128 |
| Properties | Value |
|---|---|
| PH | 5–7 |
| Molecular weight (MW) | 26,300–30,000 |
| Degree of hydrolysis | 86.5–89% |
| Bulk density | 0.68 g/cm3 |
| Hardness | 83.3 (shore D) |
| Decomposition point | 240 °C |
| Material | Mix ID | |||
|---|---|---|---|---|
| M-Con | M-PVC50 | M-PVC75 | M-PVC75-PVA | |
| Water-to-cement ratio | 0.45 | 0.45 | 0.45 | 0.45 |
| Water (kg/m3) | 205 | 205 | 205 | 205 |
| PVA (kg/m3) | 0 | 0 | 0 | 68.4 |
| Cement (kg/m3) | 456 | 456 | 456 | 456 |
| Normal fine aggregate (kg/m3) | 673 | 336 | 168 | 168 |
| PVC fine aggregate (kg/m3) | 0 | 23.6 | 31.4 | 31.4 |
| PVC % | 0 | 50 | 75 | 75 |
| Coarse aggregate (kg/m3) | 1120 | 1120 | 1120 | 1120 |
| Sample ID | Slab Details | Figure 4 |
|---|---|---|
| Con | M-Con | b |
| PVC-15 | 45 mm layer of M-Con and 15 mm layer of M-PVC75 | d |
| PVC-30 | 30 mm layer of M-Con and 30 mm layer of M-PVC75 | f |
| PVC-60 | 60 mm layer of M-PVC75 | c |
| PVC-60-PVA | 60 mm layer of M-PVC75-PVA | e |
| PVC-60-Fiber | 60 mm layer of M-PVC75 with embedding fiber wire mesh at top and bottom surfaces | g |
| Mix ID | ft (MPa) | Diff. (MPa) | TSC % | fcu’ (MPa) | Diff. (MPa) | CSC % | Brittleness Ratio | Slump (mm) |
|---|---|---|---|---|---|---|---|---|
| M-Con | 3.41 | 0 | 0 | 33.41 | 0 | 0 | 9.8 | 125 |
| M-PVC50 | 2.94 | −0.47 | −13.8 | 31.26 | −2.15 | −6.4 | 10.6 | 105 |
| M-PVC75 | 2.65 | −0.76 | −22.3 | 25.67 | −7.74 | −23.2 | 9.7 | 86 |
| M-PVC75-PVA | 3.85 | 0.44 | 12.9 | 38.50 | 5.09 | 15.2 | 10.0 | 92 |
| Sample ID | Ultimate Load (Lu) | Failure Load (Lf) | Initial Stiffness (k) (kN/mm) | ||||
|---|---|---|---|---|---|---|---|
| Load (kN) | LC % | Deflection (mm) | Load (kN) | LC % | Deflection (mm) | ||
| Con | 48.1 | 0.0 | 17.5 | 25.4 | 0.0 | 28.45 | 3.98 |
| PVC-15 | 44.4 | −8.3 | 16.6 | 24.0 | −5.5 | 29.2 | 3.84 |
| PVC-30 | 43.8 | −8.8 | 17.5 | 22.0 | −13.4 | 28.24 | 3.73 |
| PVC-60 | 37.2 | −22.9 | 20.0 | 18.45 | −27.4 | 29 | 2.35 |
| PVC-60-PVA | 58.3 | 20.8 | 20.3 | 45.8 | 80.3 | 28.6 | 4.14 |
| PVC-60-Fiber | 53.1 | 10.4 | 9.5 | 41.9 | 65.0 | 29.3 | 8.83 |
Publisher’s Note: MDPI stays neutral with regard to jurisdictional claims in published maps and institutional affiliations. |
© 2021 by the authors. Licensee MDPI, Basel, Switzerland. This article is an open access article distributed under the terms and conditions of the Creative Commons Attribution (CC BY) license (http://creativecommons.org/licenses/by/4.0/).
Share and Cite
Mohammed, N.S.; Hamza, B.A.; AL-Shareef, N.H.; Hussein, H.H. Structural Behavior of Reinforced Concrete Slabs Containing Fine Waste Aggregates of Polyvinyl Chloride. Buildings 2021, 11, 26. https://doi.org/10.3390/buildings11010026
Mohammed NS, Hamza BA, AL-Shareef NH, Hussein HH. Structural Behavior of Reinforced Concrete Slabs Containing Fine Waste Aggregates of Polyvinyl Chloride. Buildings. 2021; 11(1):26. https://doi.org/10.3390/buildings11010026
Chicago/Turabian StyleMohammed, Nisreen S., Bashar Abid Hamza, Najla’a H. AL-Shareef, and Husam H. Hussein. 2021. "Structural Behavior of Reinforced Concrete Slabs Containing Fine Waste Aggregates of Polyvinyl Chloride" Buildings 11, no. 1: 26. https://doi.org/10.3390/buildings11010026
APA StyleMohammed, N. S., Hamza, B. A., AL-Shareef, N. H., & Hussein, H. H. (2021). Structural Behavior of Reinforced Concrete Slabs Containing Fine Waste Aggregates of Polyvinyl Chloride. Buildings, 11(1), 26. https://doi.org/10.3390/buildings11010026

