Influence of Rendering Type on the Environmental Characteristics of Expanded Polystyrene-Based External Thermal Insulation Composite System
Abstract
1. Introduction
1.1. Sustainable Development
- life cycle environmental impacts and aspects, e.g., greenhouse gas emissions, acidification, eutrophication, resource consumption, water consumption, waste, and recycling,
- the presence of hazardous substances in the system and its components, together with the possibility of their emission into the environment (in the conditions of use),
- use of ETICS systems in buildings containing asbestos in external partitions,
- resistance to biological corrosion of ETICS systems (biocides).
1.2. ETICS Systems
- reduction of the cost of heating,Depending on building size and a type of heating system savings, after its installment, can reach the level of a few thousand euros per year [18].
- improvement of building ability to heat accumulation,According to an accepted concept of thermic comfort, not only the interior air temperature and humidity but also the temperature of walls have an impact on our mood and perception of heat. The external layer not only protects a wall against the temperature outside but also blocks the heat within a partition. According to the rules of thermodynamics, the flow of heat leads from the areas of higher temperature to the areas of lower temperature. Because of that, ETICS systems ensure heat in the wintertime and pleasant coolness in the summer [19,20].
- reduction of the consumption of energy and greenhouse gasses emission,Thermal insulation allows to reduce of the consumption of fuels and, especially when combined with other thermal modernizations, e.g., exchange of boilers, the use of better fuels, has a direct impact on the improvement of quality of air and liquidation of the smog phenomenon [21].
- influence operation durability,It helps to keep its operational performance and functionality after a long time. ETICS systems eliminate the possibility of water vapor condensation in the walls and prevent the growth of fungi and mold [22]. With no thermal insulation, a sudden temperature drop takes place in a wall structural material and—due to its low thermal resistance—puts it at risk of condensed moisture freezing. This action gradually destroys the building structure.
- protection against direct action of atmospheric factors,Appropriately selected system top coats—thin-coat renders and paints—form a barrier against precipitation. Owing to their parameters, the thermal insulation is protected against damp and growth of mold [21].
1.3. Research Question
2. Materials and Methods
2.1. Goal and Scope
2.2. LCA Methodology Declared Unit and System Boundaries
2.3. ETICS System Components
2.4. The Environmental Impact Categories Considered
2.5. Cradle to Gate Life-Cycle Inventory
2.5.1. Production of Dry Mixes
2.5.2. Production of Ready-to-use Renders, Paints, and Primers
3. Results
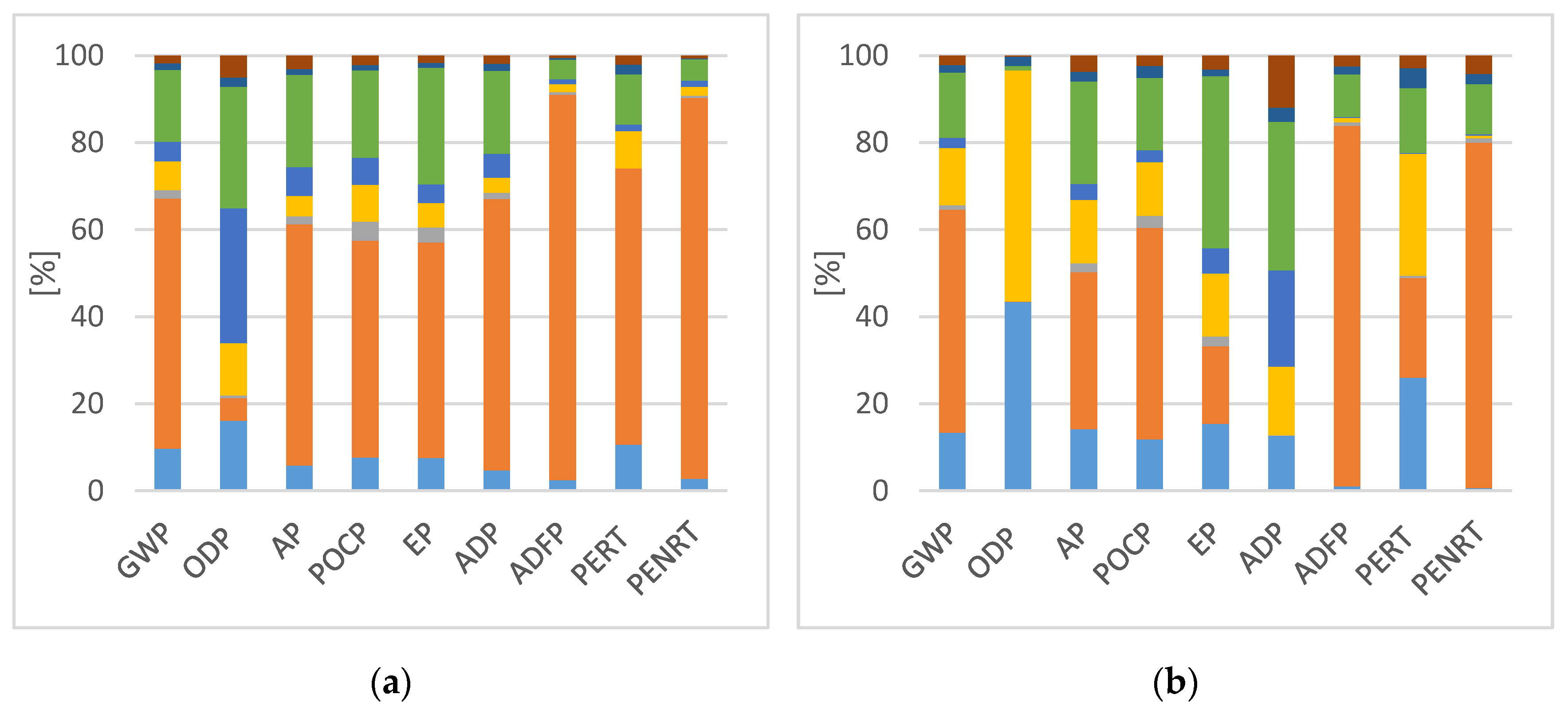
3.1. Environmental Characteristics of ETICS System with Different Rendering Types
3.2. Detailed Comparison of Environmental Impacts of ETICS with Different Rendering Systems over the Years
4. Discussion
5. Conclusions
Author Contributions
Funding
Conflicts of Interest
References
- Thant, U. Problems of the Human Environment; Report of the Secretary-General; United Nations Economic and Social Council: New York, NY, USA, 1969.
- Meadows, D.H.; Meadows, D.L.; Randers, J.; Behrens, W.W. The Limits to Growth: A Report to The Club of Rome. Universe 1972, 1–9. [Google Scholar]
- Pacheco-Torgal, F.; Cabeza, L.F.; Labrincha, J.; de Magalhaes, A. Eco-Efficient Construction and Building Materials: Life Cycle Assessment (LCA), Eco-Labeling and Case Studies; Woodhead Publishig: New York, NY, USA, 2014; ISBN 9780857097675. [Google Scholar]
- Czarnecki, L.; Van Gemert, D. Innovation in construction materials engineering versus sustainable development. Bull. Polish Acad. Sci. Tech. Sci. 2017, 65, 765–771. [Google Scholar] [CrossRef][Green Version]
- Regulation (EU) No 305/2011 Regulation (EU) No 305/2011 of the European Parliament and of the Council. Available online: https://eur-lex.europa.eu/legal-content/EN/TXT/?uri=uriserv:OJ.L_.2011.088.01.0005.01.ENG&toc=OJ:L:2011:088:TOC (accessed on 21 November 2019).
- Bovea, M.D.; Ibáñez-Forés, V.; Agustí-Juan, I. Environmental product declaration (EPD) labeling of construction and building materials. In Eco-Efficient Construction and Building Materials: Life Cycle Assessment (LCA), Eco-Labelling and Case Studies; Woodhead Publishing: New York, NY, USA, 2014; ISBN 9780857097675. [Google Scholar]
- Brinkmann, T.; Metzger, L. Ecological assessment based on environmental product declarations. In Sustainable Production, Life Cycle Engineering and Management; Springer: Cham, Switzerland, 2019; pp. 21–31. [Google Scholar]
- CEN. EN 15804 Sustainability of Construction Works—Environmental Product Declarations—Core Rules for the Product Category of Construction Products; European Committee for Standardization: Brussels, Belgium, 2012. [Google Scholar]
- Petrovic, B.; Myhren, J.A.; Zhang, X.; Wallhagen, M.; Eriksson, O. Life cycle assessment of building materials for a single-family house in Sweden. Energy Procedia. 2019, 158, 3547–3552. [Google Scholar] [CrossRef]
- Bitsiou, E.; Giarma, C. Parameters related to building components’ life-cycle analysis in methods for buildings’ environmental performance assessment. IOP Conf. Ser. Earth Environ. Sci. 2020, 410, 012066. [Google Scholar] [CrossRef]
- Gelowitz, M.D.C.; McArthur, J.J. Investigating the Effect of Environmental Product Declaration Adoption in LEED® on the Construction Industry: A Case Study. Procedia Eng. 2016, 145, 58–65. [Google Scholar] [CrossRef]
- Andersen, S.C.; Larsen, H.F.; Raffnsøe, L.; Melvang, C. Environmental Product Declarations (EPDs) as a competitive parameter within sustainable buildings and building materials. IOP Conf. Ser. Earth Environ. Sci. 2019, 323, 012145. [Google Scholar] [CrossRef]
- Sierra-Pérez, J.; Boschmonart-Rives, J.; Gabarrell, X. Environmental assessment of façade-building systems and thermal insulation materials for different climatic conditions. J. Clean. Prod. 2016, 113, 102–113. [Google Scholar] [CrossRef]
- Dylewski, R.; Adamczyk, J. Study on ecological cost-effectiveness for the thermal insulation of building external vertical walls in Poland. J. Clean. Prod. 2016, 133, 467–478. [Google Scholar] [CrossRef]
- Silvestre, J.D.; Castelo, A.M.P.; Silva, J.J.B.C.; Brito, J.M.C.L.; Pinheiro, M.D. Retrofitting a building’s envelope: Sustainability performance of ETICS with ICB or EPS. Appl. Sci. 2019, 9, 1285. [Google Scholar] [CrossRef]
- Künzel, H. Außenseitige Wärmedämmung und Witterungsschutz (External Thermal Insulation and Weathering Protection). Gesund. Ing. 1975, 96, 132–139. [Google Scholar]
- Sulakatko, V. Modelling the technical-economic relevance of the ETICS construction process. Buildings 2018, 8, 155. [Google Scholar] [CrossRef]
- Künzel, H.; Künzel, H.M.; Sedlbauer, K. Long-Term Performance Of External Thermal Insulation Systems (ETICS). Architectura 2006, 5, 11–24. [Google Scholar]
- Kisilewicz, T. On the role of external walls in the reduction of energy demand and the mitigation of human thermal discomfort. Sustainability 2019, 11, 1061. [Google Scholar] [CrossRef]
- Firlag, S.; Piasecki, M. NZEB renovation definition in a heating-dominated climate: A case study of Poland. Appl. Sci. 2018, 8, 1605. [Google Scholar] [CrossRef]
- Kienzlen, V. The Significance of Thermal Insulation Arguments Aimed at Overcoming Misunderstandings, 3rd ed.; KEA Climate Protection and Energy Agency of Baden-Württemberg GmbH: Karlsruhe, Germany, 2014. [Google Scholar]
- Barreira, E.; De Freitas, V.P. External thermal insulation composite systems: Critical parameters for surface hygrothermal behavior. Adv. Mater. Sci. Eng. 2014, 2014, 650752. [Google Scholar] [CrossRef]
- Garecki, M. External Wall Insulation Systems. Guidebook Part 2: Atlas Thermal Insulation Systems, 1st ed.; Atlas sp. z o.o.: Lodz, Poland, 2019. [Google Scholar]
- Building Research Insitute. Environmental Product Declaration Atlas ETICS External Thermal Insulation Composite System with Expanded Polystyrene Boards (EPS); Building Research Insitute: Warsaw, Poland, 2014. [Google Scholar]
- Building Research Insitute. Environmental Product Declaration Atlas ETICS External Thermal Insulation Composite System with Expanded Polystyrene Boards (EPS); Building Research Insitute: Warsaw, Poland, 2019. [Google Scholar]
- ISO. Environmental Management—Life Cycle Assessment—Principles and Framework; ISO 14040:2006; International Organization for Standardization: Geneva, Switzerland, 2006. [Google Scholar]
- ISO. Environmental Management—Life Cycle Assessment—Requirements and Guidelines; ISO 14044:2006; International Organization for Standardization: Geneva, Switzerland, 2006. [Google Scholar]
- Wernet, G.; Bauer, C.; Steubing, B.; Reinhard, J.; Moreno-Ruiz, E.; Weidema, B. The ecoinvent database version 3 (part I): overview and methodology. Int. J. Life Cycle Assess. 2016, 21, 1218–1230. [Google Scholar] [CrossRef]
- Piasecki, M. Chosen Assessment Criteria for Building Sustainable Development Compliance; Building Research Institute: Warsaw, Poland, 2008. [Google Scholar]
- Building Research Insitute. National Technical Approval ITB-AT-9090/2014 Zestaw Wyrobów do Wykonywania Ociepleń Ścian Zewnętrznych Budynków Systemem Atlas ETICS; Building Research Insitute: Warsaw, Poland, 2014. [Google Scholar]
- Building Research Insitute. National Technical Approval ITB-AT-9090/2016 Zestaw Wyrobów do Wykonywania Ociepleń Ścian Zewnętrznych Budynków Systemem Atlas ETICS; Building Research Insitute: Warsaw, Poland, 2016. [Google Scholar]
- EUMEPS. Environmental Product Declaration Number EPD-EPS-20130077-CBG1-EN: Expanded Polystyrene (EPS) Foam Insulation; EUMEPS: Berlin, Germany, 2011. [Google Scholar]
- EUMEPS. Environmental Product Declaration Number EPD-EUM-20160270-IBG1-EN: Expanded Polystyrene (EPS) Foam Insulation; EUMEPS: Berlin, Germany, 2017. [Google Scholar]






| Category | Component Description | Quantity per m2 | 
|---|---|---|
| Adhesives for bonding the EPS | Cement-based adhesives modified with redispersible polymers, fibers, and mineral fillers | 4.5 kg | 
| Insulation * | Prefabricated EPS board | 1.35 kg | 
| Adhesive for base coat | Cement-based adhesives modified with redispersible polymers, fibers, and mineral fillers | 5.5 kg | 
| Glass fiber meshes * | Alkaline-resistant glass meshwith a nominal weight of 150 or 165 g/cm2 | ≥ 0.15 kg | 
| Key coats | Acrylic key coat with quartz filler | ca. 0.2 kg | 
| Mineral key coat with mineral/quartz filler | ||
| Finishing coats | Mineral render | 2.0–4.5 kg | 
| Acrylic render | ||
| Silicone render | ||
| Silicone-silicate render | ||
| Primers (optional) | Silicate (potassium water glass) primer Silicone-silicate primer | 0.1 kg | 
| Decorative coats (optional) | Silicate mineral-based paint Acrylic-based paint Silicone-based paint | 0.2 kg | 
| Ancillary materials * | Anchors, special fittings | - | 
| Environmental Impact Categories | Units | 
|---|---|
| Global warming potential (GWP) | kg CO2 eq. | 
| Ozone layer depletion potential (ODP, steady state) | kg CFC 11 eq. | 
| Acidification potential (AP) | kg SO2 eq. | 
| Eutrophication potential (EP) | kg (PO4)3- eq. | 
| Photochemical ozone creation potential (POCP) | kg Ethene eq. | 
| Abiotic depletion potential–elements (ADP) | Kg Sb eq. | 
| Abiotic depletion potential-fossil (ADFP) | MJ | 
| Total use of renewable primary energy sources (PERT) | MJ | 
| Total use of non-renewable primary energy sources (PENRT) | MJ | 
| GWP | ODP | AP | EP | POCP | ADP | ADPF | PERT | PENRT | |
|---|---|---|---|---|---|---|---|---|---|
| MR | 0.87×101 | 5.01×10−5 | 2.57×10−2 | 4.62×10−3 | 2.41×10−3 | 1.55×102 | 9.90×10−3 | 0.87×101 | 1.63×102 | 
| AR | 1.00×101 | 5.16×10−5 | 3.16×10−2 | 6.28×10−3 | 3.09×10−3 | 1.47×102 | 1.85×102 | 0.86×101 | 2.02×102 | 
| SiR | 0.94×101 | 5.01×10−5 | 3.04×10−2 | 5.18×10−3 | 2.71×10−3 | 1.75×102 | 1.47×102 | 1.12×101 | 1.95×102 | 
| Si-SiR | 1.05×101 | 5.08×10−5 | 3.44×10−2 | 6.81×10−3 | 2.88×10−3 | 1.75×102 | 2.16×102 | 0.81×101 | 1.84×102 | 
| Impact Category | Rendering Type | ||||||||||||||||||||||
|---|---|---|---|---|---|---|---|---|---|---|---|---|---|---|---|---|---|---|---|---|---|---|---|
| MR | AR | Si | Si-SiR | ||||||||||||||||||||
| Insulation Thickness, cm | |||||||||||||||||||||||
| 10 | 15 | 20 | 10 | 15 | 20 | 10 | 15 | 20 | 10 | 15 | 20 | ||||||||||||
| change in % | |||||||||||||||||||||||
| GWP | −22.3 | −23.8 | −26.1 | −24.1 | −25.1 | −26.1 | −22.7 | −24.1 | −25.0 | −12.3 | −15.9 | −18.7 | |||||||||||
| ODP * | - | - | - | - | - | - | - | - | - | - | - | - | |||||||||||
| AP | −25.6 | −31.6 | −35.2 | −32.6 | −36.0 | −35.4 | −28.5 | −33.1 | −36.1 | −14.3 | −22.1 | −27.1 | |||||||||||
| EP | +15.6 | +2.2 | −6.68 | +28.1 | 14.7 | +5.11 | −4.05 | −12.8 | −17.9 | +42.0 | +25.9 | +12.9 | |||||||||||
| POCP | +0.6 | −0.98 | +0.69 | −3.4 | −3.88 | −2.11 | −45.7 | −39.8 | −36.1 | −39.9 | −35.7 | −31.2 | |||||||||||
| ADP | −20.7 | −23.3 | −21.0 | −9.42 | −12.9 | −14.8 | −12.5 | −15.1 | −16.5 | −14.5 | −16.6 | −17.6 | |||||||||||
| ADFP | −91.0 | −93.4 | −94.8 | −89.5 | −91.8 | −93.3 | −88.7 | −91.4 | −93.0 | −83.4 | −87.3 | −89.7 | |||||||||||
| PERT | +512 | +582 | +652 | +639 | +723 | +807 | +707 | +778 | +849 | +485 | +554 | +625 | |||||||||||
| PENRT | −24.8 | −25.4 | −25.7 | −11.1 | −15.7 | −18.2 | −11.8 | −16.2 | −18.6 | −16.8 | −19.7 | −21.3 | |||||||||||
| Impact [unit] | MR | AR | Si | SiR | Si-SiR | Paint | Binder | 
|---|---|---|---|---|---|---|---|
| GWP [kg CO2] | 0.40 | 1.00 | 0.70 | 0.60 | 0.70 | 1.50 | 0.4 | 
| ODP [kg CFC 11] | 6.5×10−8 | 1.5×10−7 | 1.5×10−7 | 1.4×10−7 | 1.4×10−7 | 2.8×10−7 | 6.2×10−8 | 
| AP [kg SO2] | 0.001 | 0.005 | 0.004 | 0.0020 | 0.0030 | 0.006 | 0.0005 | 
| EP [kg (PO4)3-] | 0.0001 | 0.0004 | 0.0006 | 0.0002 | 0.0004 | 0.001 | 0.0001 | 
| POCP [kg Ethene] | 0.0001 | 0.0003 | 0.0002 | 0.0001 | 0.0002 | 0.001 | 0.0001 | 
| ADP [kg Sb] | 0.003 | 0.020 | 0.010 | 0.008 | 0.010 | 0.020 | 0.001 | 
| ADFP [MJ] | 2.5 | 5.0 | 3.8 | 2.8 | 3.5 | 7.5 | 1.5 | 
| The Year 2009 | The Year 2015 | Change [%] | |
|---|---|---|---|
| GWP | 7.97×101 | 7.86×101 | −1.5 | 
| ODP | 2.81×10−6 | 4.92×10−9 | −99.8 | 
| AP | 1.93×10−1 | 1.89×10−1 | −2.3 | 
| EP | 1.87×10−2 | 1.84×10−2 | −1.8 | 
| POCP | 4.20×10−1 | 3.69×10−1 | −12.2 | 
| ADP | 1.5×10−5 | 3.80×10−5 | 152.9 | 
| ADFP | 2.31×103 | 2.20×103 | −4.9 | 
| PERT | 1.41×101 | 4.89×101 | 241.6 | 
| PENRT | 2.39×103 | 2.25×103 | −5.9 | 
© 2020 by the authors. Licensee MDPI, Basel, Switzerland. This article is an open access article distributed under the terms and conditions of the Creative Commons Attribution (CC BY) license (http://creativecommons.org/licenses/by/4.0/).
Share and Cite
Michałowski, B.; Marcinek, M.; Tomaszewska, J.; Czernik, S.; Piasecki, M.; Geryło, R.; Michalak, J. Influence of Rendering Type on the Environmental Characteristics of Expanded Polystyrene-Based External Thermal Insulation Composite System. Buildings 2020, 10, 47. https://doi.org/10.3390/buildings10030047
Michałowski B, Marcinek M, Tomaszewska J, Czernik S, Piasecki M, Geryło R, Michalak J. Influence of Rendering Type on the Environmental Characteristics of Expanded Polystyrene-Based External Thermal Insulation Composite System. Buildings. 2020; 10(3):47. https://doi.org/10.3390/buildings10030047
Chicago/Turabian StyleMichałowski, Bartosz, Marta Marcinek, Justyna Tomaszewska, Sebastian Czernik, Michał Piasecki, Robert Geryło, and Jacek Michalak. 2020. "Influence of Rendering Type on the Environmental Characteristics of Expanded Polystyrene-Based External Thermal Insulation Composite System" Buildings 10, no. 3: 47. https://doi.org/10.3390/buildings10030047
APA StyleMichałowski, B., Marcinek, M., Tomaszewska, J., Czernik, S., Piasecki, M., Geryło, R., & Michalak, J. (2020). Influence of Rendering Type on the Environmental Characteristics of Expanded Polystyrene-Based External Thermal Insulation Composite System. Buildings, 10(3), 47. https://doi.org/10.3390/buildings10030047
 
        





 
       