Improving of Mechanical Properties of Titanium Alloy VT23 due to Impact-Oscillatory Loading and the Use of Carbon Nano-Solution
Abstract
1. Introduction
2. Materials and Methods
3. Results and Discussion
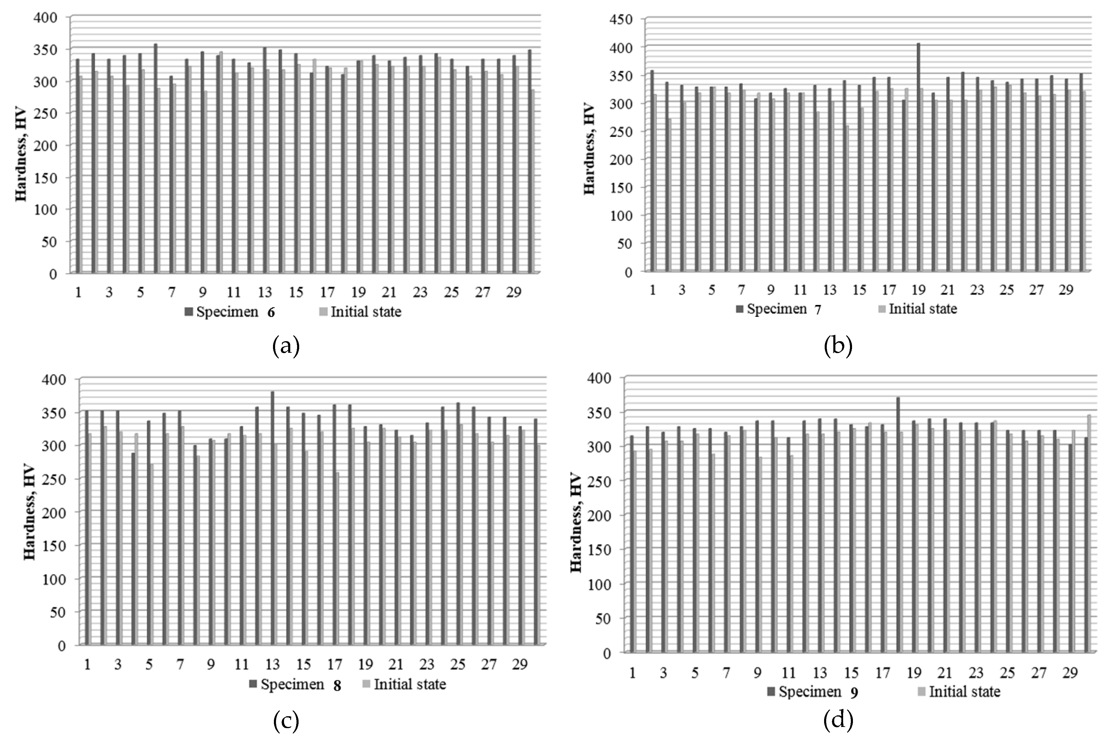
3.1. Results of Mechanical Tests
3.2. Physical Results
4. Conclusions
Author Contributions
Funding
Acknowledgments
Conflicts of Interest
References
- Ivasishin, O.M.; Oshkaderov, S.P. Effect of rate of heating for hardening on the structure of alloys VT23 and VT6. Met. Sci. Heat Treat. 1982, 24, 459–462. [Google Scholar] [CrossRef]
- Matokhnyuk, L.E.; Voinalovich, A.V.; Khlyapov, A.A.; Bulgakova, S.G.; Artyushina, V.P. Fatigue limit of the titanium alloy VT23 in tests with high loading frequency. Met. Sci. Heat Treat. 1988, 30, 786–789. [Google Scholar] [CrossRef]
- Khorev, A.I. Development of structural titanium alloys for components and sections in aerospace technology. Weld. Int. 2010, 24, 790–798. [Google Scholar] [CrossRef]
- Khorev, A.T.; Babaréko, A.A.; Krasnozhon, A.I.; Betsofen, S.Y. Effect of structure, substructure, and crystallographic texture on the mechanical properties of titanium alloys. Met. Sci. Heat Treat. 1982, 24, 463–467. [Google Scholar] [CrossRef]
- Il’in, A.A.; Kollerov, M.Y.; Zasypkin, V.V.; Maistrov, V.M. Volume changes occurring in (α + β)-titanium alloys during polymorphic transformation. Met. Sci. Heat Treat. 1986, 28, 68–72. [Google Scholar] [CrossRef]
- Khorev, A.I. Alloying and heat treatment of structural (α + β) titanium alloys of high and superhigh strength. Russ. Eng. Res. 2010, 30, 682–688. [Google Scholar] [CrossRef]
- Polyanskii, V.M.; Klyatskina, V.Y.; Silis, M.I. Evaluation of the brittleness of titanium alloys in terms of mechanical properties and fracture patterns. Met. Sci. Heat Treat. 2003, 45, 61–64. [Google Scholar] [CrossRef]
- Lyasotskaya, V.S.; Khorev, A.I.; Sergeev, K.N.; Knyazeva, S.I.; Gorbunova, I.L. Improvement in the properties of alloy VT23 large semifinished products by thermal cycling treatments. Met. Sci. Heat Treat. 1992, 24, 70–73. [Google Scholar] [CrossRef]
- Zherebtsov, S.V.; Salishchev, G.A.; Galeyev, R.M. Formation of submicrocrystalline structure in titanium and its alloy under severe plastic deformation. Defect Diffus. Forum 2002, 208–209, 237–240. [Google Scholar] [CrossRef]
- Sergeev, V.; Kalashnikov, M.P.; Neufeld, V.V. Changing of the structural-phase state and mechanical properties of VT-23 titanium alloy under surface treatment by intense flux of copper ions. Adv. Mater. Res. 2015, 1085, 284–288. [Google Scholar] [CrossRef]
- Meshcheryakov, Y.I.; Khantuleva, T.A. Nonequilibrium processes in condensed media. Part 2. Structural instability induced by shock loading. Phys. Mesomech. 2016, 19, 69–76. [Google Scholar] [CrossRef]
- Olemskoi, A.I. Theory of Structure Transformations in Non-Equilibrium Condensed Matters; Nova Science Publ. Inc.: New York, NY, USA, 1999; p. 285. [Google Scholar]
- Mikhailov, A.S.; Ertl, G. Nonequilibrium structures in condensed systems. Science 1996, 272, 1596–1597. [Google Scholar] [CrossRef]
- Mescheryakov, Y.I.; Divakov, A.K. Affect of shock-induced phase transformations on dynamic strength of titanium alloys. Int. J. Impact Eng. 2001, 26, 497–508. [Google Scholar] [CrossRef][Green Version]
- Mescheryakov, Y.I.; Divakov, A.K.; Zhigacheva, N.I. Shock-induced structural transitions and dynamic strength of solids. Int. J. Solids Struct. 2004, 41, 2349–2362. [Google Scholar] [CrossRef]
- Hutsaylyuk, V.; Chausov, M.; Berezin, V.; Pylypenko, A. Strength analysis of mechanical systems at dynamic non-equilibrium processes. Eng. Fail. Anal. 2013, 35, 636–644. [Google Scholar] [CrossRef]
- Chausov, N.G.; Voityuk, D.G.; Pilipenko, A.P.; Kuz’menko, A.M. Setup for testing materials with plotting complete stress-strain diagrams. Strength Mater. 2004, 36, 532–537. [Google Scholar] [CrossRef]
- Chausov, N.G.; Pilipenko, A.P. Influence of dynamic overloading on fracture kinetics of metals at the final stages of deformation. Mechanika 2004, 48, 13–18. [Google Scholar]
- Chausov, M.G.; Berezin, V.B.; Pylypenko, A.P.; Hutsaylyuk, V.B. Strain field evolution on the surface of aluminum sheet alloys exposed to specific impact with oscillation loading. J. Strain. Anal. 2014, 50, 61–62. [Google Scholar] [CrossRef]
- Chausov, M.; Hutsaylyuk, V.; Sniezek, L.; Pylypenko, A.; Sobchak, A. Strain field evolution on the surface of stainless sheet steel 12Cr17 exposed to a specific impact with oscillation loading. In Proceedings of the 11th Int. Conf. on Intelligent Technologies in Logistics and Mechatronics Systems (ITELMS), Panevėžys, Lithuania, 28–29 April 2016. [Google Scholar]
- Zasimchuk, E.E.; Markashova, L.I.; Tutchak, T.V.; Chausov, N.G.; Pylypenko, A.P.; Paratsa, V.N. Peculiarities of structural transformation in plastic materials under abrupt changes in loading conditions. Phys. Mesomech. 2009, 12, 175–179. [Google Scholar] [CrossRef]
- Chausov, M.; Zasimchuk, E.; Hutsaylyuk, V.; Volyanskaya, E. Research methods of properties of dissipative structures formed while the impulse energy input into the material. J. Ternopil National Tech. Univ. 2011, 2, 92–97. (In Ukrainian) [Google Scholar]
- Chausov, M.G.; Pylypenko, A.P.; Berezin, V.B.; Markashova, L.I.; Kushnariova, O.S.; Hutsaylyuk, V.B. Influence of impact-oscillatory loading upon the mechanical properties of the VT-22 titanium alloy sheet. J. Mater. Eng. Perform. 2016, 25, 3482–3492. [Google Scholar] [CrossRef]
- Chausov, M.G.; Kaplunenko, V.G.; Kosinov, M.V.; Porokhnyuk, K.M. Method of the Modification of Mechanical Properties of Materials. Patent of Ukraine N 98493; Decl. 29 December 2009; Publ. 25 May 2012 (In Ukrainian).
- Azharonok, V.V.; Lopat′ko, K.G.; Aftandilyants, E.G. Influence of acoustic and electromagnetic actions on the properties of aqueous nanoparticle dispersions used as tempering liquids for dental cement. J. Eng. Phys. Thermophys. 2016, 89, 702–713. [Google Scholar] [CrossRef]
- Chausov, M.; Maruschak, P.; Prentkovskis, O.; Karpets, M. Risks Associated with the Use of High-Strength Titanium Alloys in Transportation Systems. In Reliability and Statistics in Transportation and Communication, Proceedings of Lecture Notes in Networks and Systems, Riga, Latvia, 18–21 October 2017; Kabashkin, I., Yatskiv, I., Prentkovskis, O., Eds.; Springer: New York, NY, USA, 2018; pp. 213–220. [Google Scholar]
- Papaphilippou, C.; Pantelis, D. Laser surface alloying by injection of aluminum particles on AFNOR 45SCD6 steel. Mater. Lett. 1992, 14, 203–206. [Google Scholar] [CrossRef]
- Kharchenko, D.; Kharchenko, V. Nano-Sized Pattern Formation in Nonequilibrium Adsorptive Systems with Interacting Adsorbate. In Nanophysics, Nanophotonics, Surface Studies, and Applications, Springer Proceedings in Physics, Lviv, Ukraine, 26–30 2015; Fesenko, O., Yatsenko, L., Eds.; Springer: New York, NY, USA, 2016; p. 183. [Google Scholar]
- Kharchenko, V.O.; Kharchenko, D.O. Statistical properties of abnormal nano-sized adsorbate islands growth in a model of adsorptive multilayer system. Surface Sci. 2015, 637–638, 90–100. [Google Scholar] [CrossRef]
- Ji, Z.; Yang, H. Microstructural design of two-phase titanium alloys by micro-scale strain distribution. Mater. Lett. 2016, 184, 157–161. [Google Scholar] [CrossRef]
- Chausov, M.; Brezinová, J.; Pylypenko, A.; Maruschak, P.; Titova, L.; Guzanová, A. Modification of mechanical properties of high-strength titanium alloys VT23 and VT23M due to impact-oscillatory loading. Metals 2019, 9, 80. [Google Scholar] [CrossRef]










| Fe | Cr | Mo | V | Ti | Al |
|---|---|---|---|---|---|
| 0.6 | 1.2 | 2.0 | 4.3 | 86.9 | 5.0 |
| Specimens | Mean Hardness, HV | Standard Deviation, HV | Variation Factor, C, % | |||
|---|---|---|---|---|---|---|
| Working Surface | Initial State of the Specimen | Working Surface | Initial State of the Specimen | Working Surface | Initial State of the Specimen | |
| 6 | 334.38 | 314.04 | 11.36 | 14.47 | 3.4 | 4.6 |
| 7 | 336.01 | 310.75 | 18.12 | 16.6 | 5.4 | 5.3 |
| 8 | 339.72 | 310.75 | 20.48 | 16.6 | 5.3 | 6.0 |
| 9 | 328.34 | 314.04 | 11.93 | 14.47 | 3.6 | 4.6 |
© 2019 by the authors. Licensee MDPI, Basel, Switzerland. This article is an open access article distributed under the terms and conditions of the Creative Commons Attribution (CC BY) license (http://creativecommons.org/licenses/by/4.0/).
Share and Cite
Chausov, M.; Khyzhun, O.; Brezinová, J.; Maruschak, P.; Pylypenko, A.; Brezina, J.; Buzová, K.; Lopat’ko, K. Improving of Mechanical Properties of Titanium Alloy VT23 due to Impact-Oscillatory Loading and the Use of Carbon Nano-Solution. Metals 2019, 9, 652. https://doi.org/10.3390/met9060652
Chausov M, Khyzhun O, Brezinová J, Maruschak P, Pylypenko A, Brezina J, Buzová K, Lopat’ko K. Improving of Mechanical Properties of Titanium Alloy VT23 due to Impact-Oscillatory Loading and the Use of Carbon Nano-Solution. Metals. 2019; 9(6):652. https://doi.org/10.3390/met9060652
Chicago/Turabian StyleChausov, Mykola, Oleg Khyzhun, Janette Brezinová, Pavlo Maruschak, Andrii Pylypenko, Jozef Brezina, Katarína Buzová, and Kostiantyn Lopat’ko. 2019. "Improving of Mechanical Properties of Titanium Alloy VT23 due to Impact-Oscillatory Loading and the Use of Carbon Nano-Solution" Metals 9, no. 6: 652. https://doi.org/10.3390/met9060652
APA StyleChausov, M., Khyzhun, O., Brezinová, J., Maruschak, P., Pylypenko, A., Brezina, J., Buzová, K., & Lopat’ko, K. (2019). Improving of Mechanical Properties of Titanium Alloy VT23 due to Impact-Oscillatory Loading and the Use of Carbon Nano-Solution. Metals, 9(6), 652. https://doi.org/10.3390/met9060652

