Acquisition and Evaluation of Theoretical Forming Limit Diagram of Al 6061-T6 in Electrohydraulic Forming Process
Abstract
1. Introduction
2. Material Property for Al 6061-T6
2.1. Quasi-Static Material Property
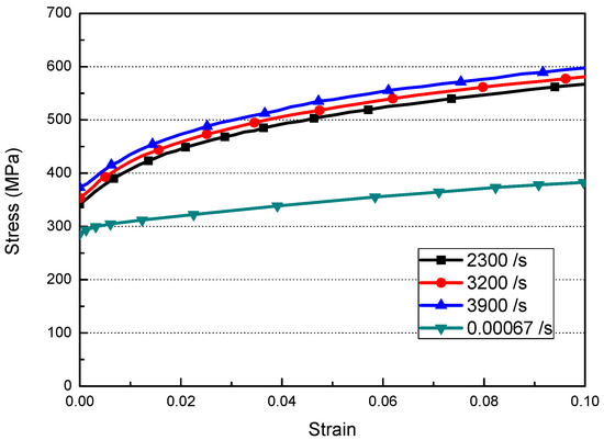
2.2. High Strain Rate Material Property
3. Numerical Simulation of Electrohydraulic Forming
3.1. Finite Element Modeling for Fluid Parts
3.2. Numerical Model of Structural Parts
3.3. Results of Numerical Simulation
4. Theories for Prediction of Forming Limit Diagram
4.1. M-K Model
4.2. Yield Function
4.3. Procedure for Calculation of Theoretical FLD
5. Forming Limit Diagram
6. Evaluating the Forming Limit Diagram at a High-Strain Rate Condition Using Experimental Results
7. Conclusions
Author Contributions
Funding
Conflicts of Interest
References
- Keeler, S.P.; Backhofen, W.A. Plastic instability and fracture in sheets stretched over rigid punches. ASM Trans. Q. 1963, 56, 25–48. [Google Scholar]
- Goodwin, G.M. Application of strain analysis to sheet metal forming problems in the press shop. SAE Tech. Pap. 1968. [Google Scholar] [CrossRef]
- Swift, H.W. Plastic instability under plane stress. J. Mech. Phys. Solids 1952, 1, 1–18. [Google Scholar] [CrossRef]
- Hill, R.T. On discontinuous plastic states, with special reference to localized necking in thin sheets. J. Mech. Phys. Solids 1952, 1, 19–30. [Google Scholar] [CrossRef]
- Marciniak, Z.; Kuczyński, K. Limit strains in the processes of stretch-forming sheet metal. Int. J. Mech. Sci. 1967, 9, 609–620. [Google Scholar] [CrossRef]
- Keeler, S.P.; Brazier, W.G. Relationship between laboratory material characterization and press shop formability. Microalloying 1975, 75, 517–530. [Google Scholar]
- Raghavan, K.S.; Van Kuren, R.C.; Darlington, H. Recent progress in the development of forming limit curves for automotive sheet steels. SAE Tech. Pap. 1992. [Google Scholar] [CrossRef]
- Green, D.E.; Black, K.C. A visual technique to determine the forming limit for sheet materials. SAE Trans. 2002, 624–634. [Google Scholar] [CrossRef]
- Ghazanfari, A.; Assempour, A. Calibration of forming limit diagrams using a modified Marciniak–Kuczynski model and an empirical law. Mater. Des. 2012, 34, 185–191. [Google Scholar] [CrossRef]
- Safdarian, R. Forming limit diagram prediction of tailor welded blank by modified M-K model. Mech. Res. Commun. 2015, 67, 47–57. [Google Scholar] [CrossRef]
- Golowin, S.; Kamal, M.; Shang, J.; Portier, J.; Din, A.; Daehn, G.S.; Bradley, R.; Newman, K.E.; Hatkevich, S. Application of a Uniform Press Actuator for Electromagnetic Processes of Sheet Metal. J. Mater. Eng. Perform. 2007, 16, 455–460. [Google Scholar] [CrossRef]
- Kamal, M.; Daehn, G.S. A Uniform Press Electromagnetic Actuator for Forming Flat Sheets. J. Manuf. Sci. Eng. 2007, 129, 369–379. [Google Scholar] [CrossRef]
- Melander, A.; Delic, A.; Björkblad, A.; Juntunen, P.; Samek, L.; Vadillo, L. Modelling of electro hydraulic free and die forming of sheet steels. Int. J. Mater. Form. 2013, 6, 223–231. [Google Scholar] [CrossRef]
- Smerd, R.; Winkler, S.; Salisbury, C.; Worswick, M.; Lloyd, D.; Finn, M. High strain rate testing of automotive aluminium alloy sheet. Int. J. Impact Eng. 2005, 32, 541–560. [Google Scholar] [CrossRef]
- El-Magd, E.; Abouridouane, M. Characterization, modelling and simulation of deformation and fracture behaviour of light-weight wrought alloys under high strain rate loading. Int. J. Impact Eng. 2006, 32, 741–758. [Google Scholar] [CrossRef]
- Golovashchenko, S.F.; Bessonov, N.M.; Ilinich, A.M. Two-step method of forming complex shapes form sheet metal. J. Mater. Process. Technol. 2011, 211, 875–885. [Google Scholar] [CrossRef]
- Hollomon, J.H. Tensile deformation. Aime Trans. 1945, 12, 1–22. [Google Scholar]
- ASTM International. ASTM E8/E8M-09 Standard Test Methods for Tension Testing of Metallic Materials; ASTM: West Conshohocken, PA, USA, 2011. [Google Scholar]
- Kolsky, H. Stress wave in Solids. J. Sound Vib. 1949, 1, 41–65. [Google Scholar] [CrossRef]
- An, W.J.; Woo, M.A.; Noh, H.G.; Kang, B.S.; Kim, J. Design and Fabrication of Split Hopkinson pressure bar for Acquisition of Dynamic Material property of Al6061-T6. Int. J. Precis. Eng. Manuf. 2016, 33, 587–594. [Google Scholar] [CrossRef]
- Golovashchenko, S.F.; Gillard, A.J.; Mamutov, A.V.; Golovashchenko, S.F.; Mamutov, A.V.; Gillard, A.J.; Mamutov, A.V. Formability of dual phase steels in electrohydraulic forming. J. Mater. Process. Technol. 2013, 213, 1191–1212. [Google Scholar] [CrossRef]
- Hassannejadasl, A.; Green, D.E.; Golovashchenko, S.F.; Samei, J.; Maris, C. Numerical modelling of electrohydraulic free-forming and die-forming of DP590 steel. J. Manuf. Process. 2014, 16, 391–404. [Google Scholar] [CrossRef]
- Mamutov, A.V.; Golovashchenko, S.F.; Mamutov, V.S.; Bonnen, J.J. Modeling of electrohydraulic forming of sheet metal parts. J. Mater. Process. Technol. 2015, 219, 84–100. [Google Scholar] [CrossRef]
- Hallquist, J.O. LS-DYNA Keyword User’s Manual; Livermore Software Technology Corporation 970: Livermore, CA, USA, 2007. [Google Scholar]
- Banabic, D.; Dannenmann, E. Prediction of the Influence of Yield locus on the Limit strains in Sheet Metals. J. Mater. Process. Technol. 2001, 109, 9–12. [Google Scholar] [CrossRef]
- Lou, Y.; Kim, S.B.; Huh, H. Analytical Study of the Effect of Material Properties on the Formability of Sheet Metal Based on the M-K Model. Trans. Mater. Process. 2010, 10, 393–398. [Google Scholar] [CrossRef]
- Ahmadi, S.; Eivani, A.R.; Akbarzadeh, A. An Experimental and Theoretical Study on the Prediction of Forming Limit Diagrams using New BBC Yield Criteria and M-K Analysis. Comp. Mater. Sci. 2009, 44, 1272–1280. [Google Scholar] [CrossRef]
- Bazzaz, A.R.; Noori, H.; Mahmudi, R. Calculation of Forming Limit Diagrams using Hill’s 1993 Yield Criterion. Int. J. Mech. Sci. 2011, 53, 262–270. [Google Scholar] [CrossRef]
- Aretz, H. Numerical Analysis of Diffuse and Localized Necking in Orthotropic Sheet Metal. Int. J. Plast. 2007, 23, 798–840. [Google Scholar] [CrossRef]
- Hosford, W.F. On yield loci of anisotropic cubic metals. In Proceedings of the Seventh North American Metalworking Research Conference, SME, Dearborn, MI, USA, May 1979; pp. 191–197. [Google Scholar]
- Friedman, P.A.; Pan, J. Effects of plastic anisotropy and yield criteria on prediction of forming limit curves. Int. J. Mech. Sci. 2000, 42, 29–48. [Google Scholar] [CrossRef]
- Altan, T.; Tekkaya, A.E. Sheet Metal Forming: Processes and Applications; ASM International: Almere, The Netherlands, 2012. [Google Scholar]
















| Coefficient | Value |
|---|---|
| K | 530 |
| n | 0.14048 |
| m | 0.028 |
© 2019 by the authors. Licensee MDPI, Basel, Switzerland. This article is an open access article distributed under the terms and conditions of the Creative Commons Attribution (CC BY) license (http://creativecommons.org/licenses/by/4.0/).
Share and Cite
Woo, M.-A.; Song, W.-J.; Kang, B.-S.; Kim, J. Acquisition and Evaluation of Theoretical Forming Limit Diagram of Al 6061-T6 in Electrohydraulic Forming Process. Metals 2019, 9, 401. https://doi.org/10.3390/met9040401
Woo M-A, Song W-J, Kang B-S, Kim J. Acquisition and Evaluation of Theoretical Forming Limit Diagram of Al 6061-T6 in Electrohydraulic Forming Process. Metals. 2019; 9(4):401. https://doi.org/10.3390/met9040401
Chicago/Turabian StyleWoo, Min-A, Woo-Jin Song, Beom-Soo Kang, and Jeong Kim. 2019. "Acquisition and Evaluation of Theoretical Forming Limit Diagram of Al 6061-T6 in Electrohydraulic Forming Process" Metals 9, no. 4: 401. https://doi.org/10.3390/met9040401
APA StyleWoo, M.-A., Song, W.-J., Kang, B.-S., & Kim, J. (2019). Acquisition and Evaluation of Theoretical Forming Limit Diagram of Al 6061-T6 in Electrohydraulic Forming Process. Metals, 9(4), 401. https://doi.org/10.3390/met9040401
