Mechanical, Thermal, and Acoustic Properties of Aluminum Foams Impregnated with Epoxy/Graphene Oxide Nanocomposites
Abstract
1. Introduction
2. Materials and Methods
2.1. Materials
2.2. Fabrication of the Specimens
2.3. Scanning Electron Microscopy and X-ray Micro Computed Tomography Characterisation
2.4. Mechanical Characterisation
2.5. Thermal and Flammibility/Fire Retarcdancy Characterization
2.6. Acoustic Characterization
3. Results and Discussion
3.1. Weight Ratio of the Graphene Oxide
3.2. Microstructure
3.3. Mechanical Properties
3.4. Thermogravimetric Properties
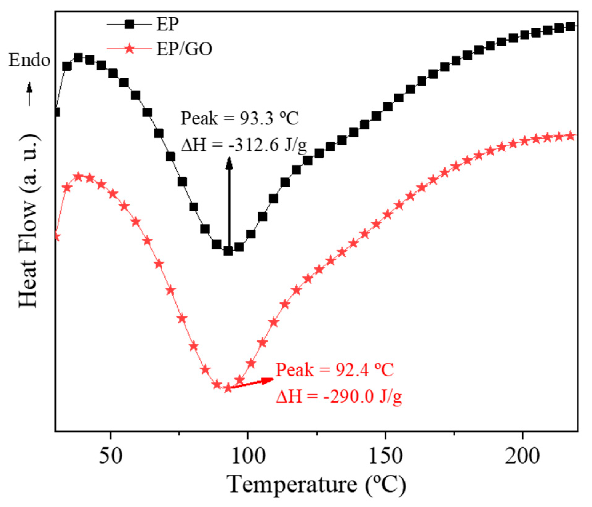
3.5. Calorimetric Properties
3.6. Thermal Properties
3.7. Acoustic Properties
3.8. Fire-Retardant Properties
4. Conclusions
- The EP, EP–GO, and the epoxy–aluminum hybrid structures (OCF–EP and OCF–EP/GO) are sensitive to strain rate.
 - The presence of the EP and EP/GO decreases the oscillations in stress plateau that are usually observed in the OCF, since the shape of the stress–strain diagram is governed by the characteristics of the polymer filler.
 - The presence of the EP increases the compressive strength and energy absorption of the OCF.
 - The use of GO as a reinforcement of the EP matrix decreases the compressive strength at quasi-static uniaxial mechanical tests, thus no significant increase in the energy absorption capability was observed.
 - GO induces thermal stability to the EP, as observed by TGA and fire-retardant tests.
 - The thermal conductivity increases with the addition of GO, and the hybrid structures present even higher thermal conductivity due to the presence of the OCF skeleton.
 - Although the sound absorption of the specimens was low, it was noted that the nanofillers, as well as the aluminum structure, increase the sound absorption coefficient, especially at low frequencies.
 
Author Contributions
Funding
Conflicts of Interest
References
- Banhart, J. Manufacture, characterisation and application of cellular metals and metal foams. Prog. Mater. Sci. 2001, 46, 559–632. [Google Scholar] [CrossRef]
 - Lefebvre, L.-P.; Banhart, J.; Dunand, D.C. Porous metals and metallic foams: Current status and recent developments. Adv. Eng. Mater. 2008, 10, 775–787. [Google Scholar] [CrossRef]
 - Duarte, I.; Vesenjak, M.; Vide, M.J. Automated continuous production line of parts made of metallic foams. Metals 2019, 9, 531. [Google Scholar] [CrossRef]
 - Banhart, J.; Baumeister, J. Production methods for metallic foams. MRS Symp. Proc. 2011, 521, 121–132. [Google Scholar] [CrossRef]
 - Banhart, J. Metal Foams: Production and stability. Adv. Eng. Mater. 2006, 8, 781–794. [Google Scholar] [CrossRef]
 - Ulbin, M.; Vesenjak, M.; Borovinšek, M.; Duarte, I.; Higa, Y.; Shimojima, K.; Ren, Z. Detailed analysis of closed-cell aluminum alloy foam internal structure changes during compressive deformation. Adv. Eng. Mater. 2018, 20, 1800164. [Google Scholar] [CrossRef]
 - Duarte, I.; Peixinho, N.; Andrade-campos, A.; Valente, R. Special issue on cellular materials. Sci. Technol. Mater. 2018, 30, 1–3. [Google Scholar] [CrossRef]
 - Duarte, I.; Vesenjak, M.; Krstulović-Opara, L.; Ren, Z. Crush performance of multifunctional hybrid structures based on an aluminium alloy open-cell foam skeleton. Polym. Test. 2018, 67, 246–256. [Google Scholar] [CrossRef]
 - Stöbener, K.; Lehmhus, D.; Avalle, M.; Peroni, L.; Busse, M. Aluminum foam-polymer hybrid structures (APM aluminum foam) in compression testing. Int. J. Solids Struct. 2008, 45, 5627–5641. [Google Scholar] [CrossRef]
 - Duarte, I.; Vesenjak, M.; Krstulović-Opara, L.; Ren, Z. Compressive performance evaluation of APM (Advanced Pore Morphology) foam filled tubes. Compos. Struct. 2015, 134, 409–420. [Google Scholar] [CrossRef]
 - Duarte, I.; Ferreira, J.M.F. 2D Quantitative analysis of metal foaming kinetics by hot-stage microscopy. Adv. Eng. Mater. 2014, 16, 33–39. [Google Scholar] [CrossRef]
 - Friedl, O.; Motz, C.; Peterlik, H.; Puchegger, S.; Reger, N.; Pippan, R. Experimental investigation of mechanical properties of metallic hollow sphere structures. Metall. Mater. Trans. B 2008, 39, 135–146. [Google Scholar] [CrossRef]
 - Duarte, I.; Krstulović-Opara, L.; Vesenjak, M. Axial crush behaviour of the aluminium alloy in-situ foam filled tubes with very low wall thickness. Compos. Struct. 2018, 192, 184–192. [Google Scholar] [CrossRef]
 - Ashby, M.F.; Bréchet, Y.J.M. Designing hybrid materials. Acta Mater. 2003, 51, 5801–5821. [Google Scholar] [CrossRef]
 - Ashby, M.F. Materials Selection in Mechanical Design, 4th ed.; Butterworth-Heinemann: Oxford, UK, 2010. [Google Scholar]
 - Mia, X.; Zhong, L.; Wei, F.; Zeng, L.; Zhang, J.; Zhang, D.; Xu, T. Fabrication of halloysite nanotubes/reduced graphene oxide hybrids for epoxy composites with improved thermal and mechanical properties. Polym. Test. 2019, 76, 473–480. [Google Scholar] [CrossRef]
 - Kausar, A.; Rafique, I.; Anwar, Z.; Muhammad, B. Recent developments in different types of flame retardants and effect on fire retardancy of epoxy composite. Polym. Plast. Technol. Eng. 2016, 55, 1512–1535. [Google Scholar] [CrossRef]
 - Weil, E.D.; Levchik, S. A review of current flame retardant systems for epoxy resins. J. Fire Sci. 2004, 22, 25–40. [Google Scholar] [CrossRef]
 - Bortz, D.R.; Heras, E.G.; Martin-Gullon, I. Impressive Fatigue life and fracture toughness improvements in graphene oxide/epoxy composites. Macromolecules 2012, 45, 238–245. [Google Scholar] [CrossRef]
 - Domun, N.; Hadavinia, H.; Zhang, T.; Sainsbury, T.; Liaghat, G.H.; Vahid, S. Improving the fracture toughness and the strength of epoxy using nanomaterials—A review of the current status. Nanoscale 2015, 7, 10294–11329. [Google Scholar] [CrossRef] [PubMed]
 - Duarte, I.; Krstulović-Opara, L.; Dias-de-Oliveira, J.; Vesenjak, M. Axial crush performance of polymer-aluminium alloy hybrid structure filled tubes. Thin-Walled Struct. 2019, 138, 124–136. [Google Scholar] [CrossRef]
 - Krstulović-Opara, L.; Vesenjak, M.; Duarte, I.; Ren, Z.; Domazet, Z. A Infrared thermography as a method for energy absorption evaluation of metal foams. Mater. Today Proc. 2016, 3, 1025–1030. [Google Scholar] [CrossRef]
 - ISO 13314: 2011: Mechanical Testing of Metals—Ductility Testing—Compression Test for Porous and Cellular Metals; International Organization for Standardization: Geneva, Switzerland, 2011.
 - ISO 22007-2.2. Plastics—Determination of Thermal Conductivity and Thermal Diffusivity—Part 2: Transient Plane Heat Source (Hot Disc) Method; International Organization for Standardization: Geneva, Switzerland, 2008.
 - ASTM D7984 Standard Test Method for Measurement of Thermal Effusivity of Fabrics Using a Modified Transient Plane Source (MTPS) Instrument Thermal; ASTM International: West Conshohocken, PA, USA, 2016.
 - ASTM E 1050 Standard Test Method for Impedance and Absorption of Acoustical Materials Using a Tube, Two Microphones and a Digital Frequency Analysis System; ASTM International: West Conshohocken, PA, USA, 2012.
 - da Silva, J. Experimental Methods for Determining the Sound Absorption Coefficient of Building Materials. Master’s Thesis, University of Coimbra, Coimbra, Portugal, 2008. [Google Scholar]
 - Ho, M.-W.; Lam, C.-K.; Lau, K.; Ng, D.H.L.; Hui, D. Mechanical properties of epoxy-based composites using nanoclays. Compos. Struct. 2006, 75, 415–421. [Google Scholar] [CrossRef]
 - Tang, J.; Zhou, H.; Liang, Y.; Shi, X.; Yang, X.; Zhang, J. Properties of graphene oxide/epoxy resin composites. J. Nanomater. 2014, 2014, 696859. [Google Scholar] [CrossRef]
 - Krstulović-Opara, L.; Surjak, M.; Vesenjak, M.; Tonković, Z.; Kodvanj, J.; Domazet, Z. Comparison of infrared and 3D digital image correlation techniques applied for mechanical testing of materials. Infrared Phys. Technol. 2015, 73, 166–174. [Google Scholar] [CrossRef]
 - Duarte, I.; Krstulović-Opara, L.; Vesenjak, M. Characterisation of aluminium alloy tubes filled with aluminium alloy integral-skin foam under axial compressive loads. Compos. Struct. 2015, 121, 154–162. [Google Scholar] [CrossRef]
 - Duarte, I.; Vesenjak, M.; Krstulović-Opara, L.; Ren, Z. Static and dynamic axial crush performance of in-situ foam-filled tubes. Compos. Struct. 2015, 124, 128–139. [Google Scholar] [CrossRef]
 - Park, Y.T.; Qian, Y.; Chan, C.; Suh, T.; Nejhad, M.G.; Macosko, C.W.; Stein, A. Epoxy toughening with low graphene loading. Adv. Funct. Mater. 2015, 25, 575–585. [Google Scholar] [CrossRef]
 - Ma, S.; Liu, W.; Hu, C.; Wang, Z.; Tang, C. Toughening of epoxy resin system using a novel dendritic polysiloxane. Macromol. Res. 2010, 18, 392–398. [Google Scholar] [CrossRef]
 - Chhetri, S.; Adak, N.C.; Samanta, P.; Murmu, N.C.; Kuila, T. Functionalized reduced graphene oxide/epoxy composites with enhanced mechanical properties and thermal stability. Polym. Test. 2017, 63, 1–11. [Google Scholar] [CrossRef]
 - Park, J.K.; Kim, D.S. Effects of an Aminosilane and a Tetra-Functional Epoxy on the Physical Properties of Di-Functional Epoxy/Graphene Nanoplatelets Nanocomposites. Polym. Eng. Sci. 2014, 54, 969–976. [Google Scholar] [CrossRef]
 - Teng, C.; Ma, C.M.; Lu, C.; Yang, S.; Lee, S.; Hsiao, M.; Yen, M.; Chiou, K.; Lee, T. Thermal Conductivity and Structure of Non-Covalent Functionalized Graphene/Epoxy Composites. Carbon 2011, 49, 5107–5116. [Google Scholar] [CrossRef]
 - Prolongo, M.G.; Salom, C.; Sanchez-Cabezudo, C.A.M.; Masegosa, R.M.; Prolongo, S.G. Influence of Graphene Nanoplatelets on Curing and Mechanical Properties of Graphene/Epoxy Nanocomposites. J. Therm. Anal. Calorim. 2016, 125, 629–636. [Google Scholar] [CrossRef]
 - Galpaya, D.; Wang, M.; George, G.; Motta, N.; Waclawik, E.; Yan, C. Preparation of Graphene Oxide/Epoxy Nanocomposites with Significantly Improved Mechanical Properties. J. Appl. Phys. 2014, 116, 53518. [Google Scholar] [CrossRef]
 - Dixon, C.; Strong, M.R.; Zhang, S.M. Transient plane source technique for measuring thermal properties of silicone materials used in electronic assemblies. Int. Microelectron. Packag. Soc. 2000, 23, 494–500. [Google Scholar]
 - Aradhana, R.; Mohanty, S.; Nayak, S.K. Comparison of mechanical, electrical and thermal properties in graphene oxide and reduced graphene oxide filled epoxy nanocomposite adhesives. Polymer (Guildf) 2018, 141, 109–123. [Google Scholar] [CrossRef]
 - Kim, J.; Yim, B.; Kim, J.; Kim, J. The Effects of Functionalized Graphene Nanosheets on the Thermal and Mechanical Properties of Epoxy Composites for Anisotropic Conductive Adhesives (ACAs). Microelectron. Reliab. 2012, 52, 595–602. [Google Scholar] [CrossRef]
 - He, X.; Huang, Y.; Liu, Y.; Zheng, X.; Kormakov, S.; Sun, J.; Zhuang, J.; Gao, X.; Wu, D. Improved thermal conductivity of polydimethylsiloxane/short carbon fiber composites prepared by spatial confining forced network assembly. J. Mater. Sci. 2018, 53, 14299–14310. [Google Scholar] [CrossRef]
 - Zhang, Y.-F.; Ren, Y.-J.; Guo, H.-C.; Bai, S. Enhanced thermal properties of PDMS composites containing vertically aligned graphene tubes. Appl. Therm. Eng. 2019, 150, 840–848. [Google Scholar] [CrossRef]
 - Cox, T.; d’Antonio, P. Acoustic Absorbers and Diffusers: Theory, Design and Application; CRC Press: Boca Raton, FL, USA, 2016. [Google Scholar]
 - Hinze, B.; Rösler, J.; Lippitz, N. Noise reduction potential of cellular metals. Metals 2012, 2, 195–201. [Google Scholar] [CrossRef]
 - Yu, B.; Shi, Y.; Yuan, B.; Qiu, S.; Xing, W.; Hu, W.; Song, L.; Lo, S.; Hu, Y. Enhanced thermal and flame retardant properties of flame-retardant-wrapped graphene/epoxy resin nanocomposites. J. Mater. Chem. A 2015, 3, 8034–8044. [Google Scholar] [CrossRef]
 - Hamdani, S.; Longuet, C.; Perrin, D.; Lopez-Cuesta, J.-M.; Ganachaud, F. Flame retardancy of silicone-based materials. Polym. Degrad. Stab. 2009, 94, 465–495. [Google Scholar] [CrossRef]
 - Sang, B.; Li, Z.; Li, X.; Yu, L.; Zhang, Z. Graphene-based flame retardants: A review. J. Mater. Sci. 2016, 51, 8271–8395. [Google Scholar] [CrossRef]
 














© 2019 by the authors. Licensee MDPI, Basel, Switzerland. This article is an open access article distributed under the terms and conditions of the Creative Commons Attribution (CC BY) license (http://creativecommons.org/licenses/by/4.0/).
Share and Cite
Pinto, S.C.; Marques, P.A.A.P.; Vesenjak, M.; Vicente, R.; Godinho, L.; Krstulović-Opara, L.; Duarte, I. Mechanical, Thermal, and Acoustic Properties of Aluminum Foams Impregnated with Epoxy/Graphene Oxide Nanocomposites. Metals 2019, 9, 1214. https://doi.org/10.3390/met9111214
Pinto SC, Marques PAAP, Vesenjak M, Vicente R, Godinho L, Krstulović-Opara L, Duarte I. Mechanical, Thermal, and Acoustic Properties of Aluminum Foams Impregnated with Epoxy/Graphene Oxide Nanocomposites. Metals. 2019; 9(11):1214. https://doi.org/10.3390/met9111214
Chicago/Turabian StylePinto, Susana C., Paula A.A.P. Marques, Matej Vesenjak, Romeu Vicente, Luís Godinho, Lovre Krstulović-Opara, and Isabel Duarte. 2019. "Mechanical, Thermal, and Acoustic Properties of Aluminum Foams Impregnated with Epoxy/Graphene Oxide Nanocomposites" Metals 9, no. 11: 1214. https://doi.org/10.3390/met9111214
APA StylePinto, S. C., Marques, P. A. A. P., Vesenjak, M., Vicente, R., Godinho, L., Krstulović-Opara, L., & Duarte, I. (2019). Mechanical, Thermal, and Acoustic Properties of Aluminum Foams Impregnated with Epoxy/Graphene Oxide Nanocomposites. Metals, 9(11), 1214. https://doi.org/10.3390/met9111214
        
