Characterization of the Density and Spatial Distribution of Dispersoids in Al-Mg-Si Alloys
Abstract
:1. Introduction
2. Methodology
2.1. Existing Methods for Assessing Spatial Uniformity
2.2. Global Shannon Entropy (GSE)
2.3. Generation of Spatial Point Patterns
- A point is given random x- and y-coordinates.
- Based on the location of the first point, new points are distributed at distances around this location, based on a normal distribution. If a point lands outside the image boundaries, the generation process will continue regardless, and the cluster will contain one less point. The amount of points per cluster will be referred to as nc.
- The generation process is continued until the desired number of points in the image, xi, is fulfilled.
- The intensity of clustering is changed by varying the number of points in each cluster, nc, and the standard deviation in the normal distribution, σ. The standard deviation is set to be a factor multiplied with the maximum dispersoid radius (150 nm), e.g., σ = 5rmax.
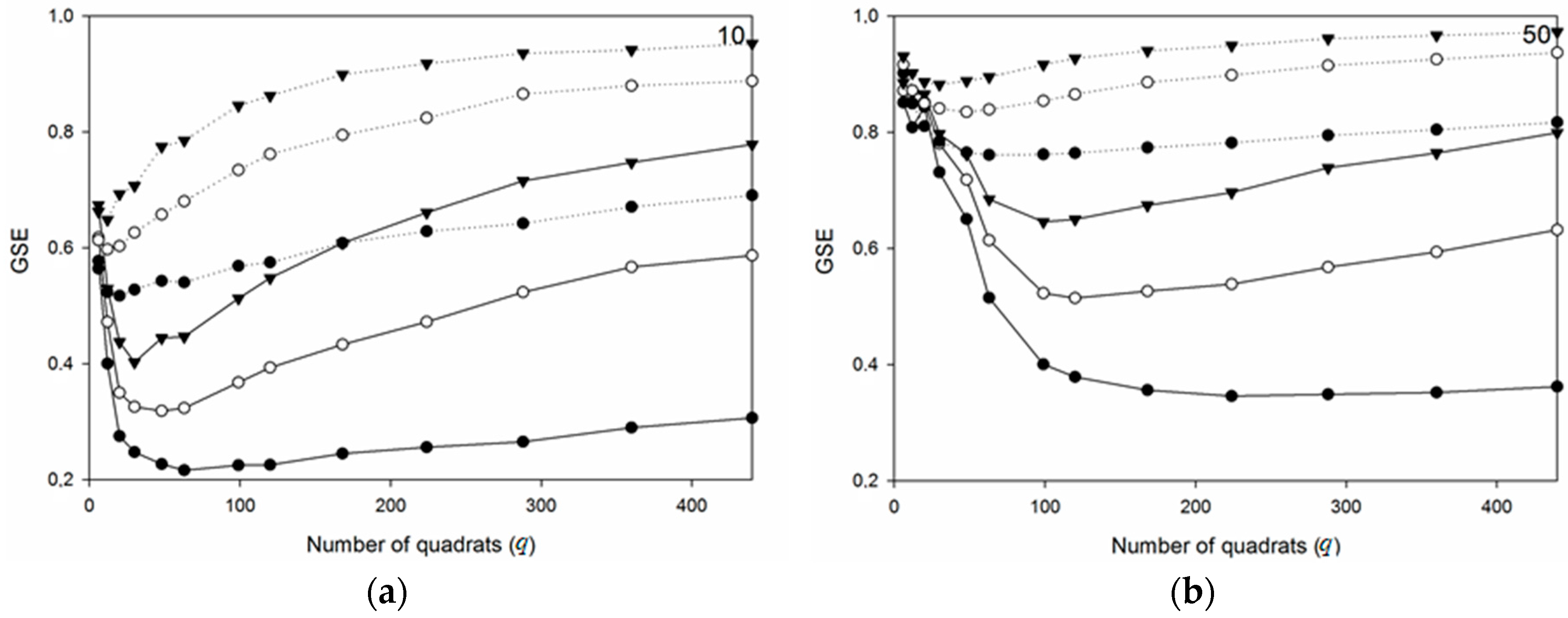
2.4. Effect of Point Intensity and Number of Quadrats (q) on the GSE Metric
2.5. Efficiency of the GSE Metric in Detecting Non-Uniformity
2.6. A Modified GSE Metrics
2.7. Differentiating Degrees of Spatial Uniformity
3. Materials and Methods
4. Results
4.1. Number Density and Area Fraction of Dispersoids
4.2. Size and Spatial Distribution of Dispersoids
5. Discussion
5.1. Density and % Area
5.2. Spatial Distribution (GSE)
6. Conclusions
Author Contributions
Funding
Acknowledgments
Conflicts of Interest
References
- Kuijpers, N.C.W.; Vermolen, F.J.; Vuik, C.; Koenis, P.T.G.; Nilsen, K.E.; van der Zwaag, S. The dependence of the beta-AlFeSi to alpha-Al(FeMn)Si transformation kinetics in Al-Mg-Si alloys on the alloying elements. Mater. Sci. Eng. A 2005, 394, 9–19. [Google Scholar] [CrossRef]
- Bischel, H.; Reid, A.; Langerweger, J. Metallographic investigation of the influence of small additions of manganese to AlMgSi0.5 alloys. Aluminium 1981, 57, 787–791. [Google Scholar]
- Lohne, O.; Dons, A.L. Quench sensitivity in AlMgSi-alloys containing Mn or Cr. Scand. J. Metall. 1983, 12, 34–36. [Google Scholar]
- Bryant, A.J.; Rise, E.; Field, D.J.; Butler, E.P. Al-Mg-Si Extrusion Alloy and Method. European Patent EP0222479B1, 6 September 1989. [Google Scholar]
- Reiso, O.; Ryum, N.; Strid, J. Melting of secondary-phase particles in AlMgSi alloys. Metall. Trans. A 1993, 24, 2629–2641. [Google Scholar] [CrossRef]
- Reiso, O. Extrusion of AlMgSi Alloys; Materials Forum; Institute of Materials Engineering Australasia Ltd.: Melbourne, Australia, 2004; pp. 32–46. [Google Scholar]
- Sheppard, T. Extrusion of Aluminium Alloys; Kluwer Academic Publishers: Hingham, MA, USA, 1999. [Google Scholar]
- Lodgaard, L.; Ryum, N. Precipitation of dispersoids containing Mn and/or Cr in Al-Mg-Si alloys. Mater. Sci. Eng. A 2000, 283, 144–152. [Google Scholar] [CrossRef]
- Cai, M.; Robson, J.D.; Lorimer, G.W. Simulation and control of dispersoids and dispersoid-free zones during homogenizing an AlMgSi alloy. Scr. Mater. 2007, 57, 603–606. [Google Scholar] [CrossRef]
- Pettersen, T.; Li, Y.J.; Furu, T.; Marthinsen, K. Effect of changing homogenization treatment on the particle structure in Mn-containing aluminium alloys. In Recrystallization and Grain Growth III, Pts 1 and 2; Kang, S.J.L., Huh, M.Y., Hwang, N.M., Homma, H., Ushioda, K., Ikuhara, Y., Eds.; Trans Tech Publications: Zurich, Switzerland, 2007; Volume 558–559, pp. 301–306. [Google Scholar]
- Marthinsen, K.; Daaland, O.; Furu, T.; Nes, E. The spatial distribution of nucleation sites and its effect on recrystallization kinetics in commercial aluminum alloys. Metall. Mater. Trans. A 2003, 34A, 2705–2715. [Google Scholar] [CrossRef]
- Lodgaard, L.; Ryum, N. Distribution of Mn- and Cr-containing dispersoids in Al-Mg-Si-alloys. In Aluminium Alloys: Their Physical and Mechanical Properties, Pts 1-3; Starke, E.A., Sanders, T.H., Cassada, W.A., Eds.; Institute of Materials Engineering Australasia Ltd.: Melbourne, Australia, 2000; Volume 331–333, pp. 945–950. [Google Scholar]
- Avrami, M. Kinetics of Phase Change. I General Theory. J. Chem. Phys. 1939, 7, 1103–1112. [Google Scholar] [CrossRef]
- Avrami, M. Kinetics of Phase Change. II Transformation-Time Relations for Random Distribution of Nuclei. J. Chem. Phys. 1940, 8, 212–224. [Google Scholar] [CrossRef]
- Avrami, M. Granulation, Phase Change, and Microstructure Kinetics of Phase Change. III. J. Chem. Phys. 1941, 9, 177–184. [Google Scholar] [CrossRef]
- Zhou, Q.; Zeng, L.; DeCicco, M.; Li, X.; Zhou, S. A comparative study on Clustering Indices for Distribution Uniformity of Nano-particles in Metal matrix Nano-composites. CIRP J. Manuf. Sci. Technol. 2012, 5, 348–356. [Google Scholar] [CrossRef]
- Kam, K.M.; Zeng, L.; Zhou, Q.; Tran, R.; Yang, J. On assessing spatial uniformity of particle distributions in quality control of manufacturing processes. J. Manuf. Syst. 2013, 32, 154–166. [Google Scholar] [CrossRef]
- Cressie, N. Statistics for Spatial Data; John Wiley & Sons: Hoboken, NJ, USA, 1993. [Google Scholar]
- Diggle, P.J. Statistical Analysis of Spatial and Spatio-Temporal Point Patterns, 3rd ed.; Chapman and Hall: London, UK, 2013. [Google Scholar]
- Dons, A.L.; Jensen, E.K.; Langsrud, Y.; Tromborg, E.; Brusethaug, S. The Alstruc microstructure solidification model for industrial aluminum alloys. Metall. Mater. Trans. A 1999, 30, 2135–2146. [Google Scholar] [CrossRef]
- Dons, A.L. The Alstruc homogenization model for industrial aluminium alloys. J. Light Met. 2001, 1, 133–149. [Google Scholar] [CrossRef]
- Strobel, K.; Sweet, E.; Easton, M.; Nie, J.F.; Couper, M. Dispersoid Phases in 6xxx Series Aluminium Alloys. In Pricm 7, Pts 1-3; Nie, J.F., Morton, A., Eds.; Institute of Materials Engineering Australasia Ltd.: Melbourne, Australia, 2010; Volume 654–656, pp. 926–929. [Google Scholar]
- Lodgaard, L.; Ryum, N. Precipitation of chromium containing dispersoids in Al-Mg-Si alloys. Mater. Sci. Technol. 2000, 16, 599–604. [Google Scholar] [CrossRef]















| Alloy | Si | Mg | Fe | Mn | Cr | Cu |
|---|---|---|---|---|---|---|
| 6063 | 0.52 | 0.47 | 0.22 | 0.05 | - | - |
| 6005 | 0.59 | 0.55 | 0.19 | 0.14 | - | 0.11 |
| 6061 | 0.67 | 0.84 | 0.23 | 0.06 | 0.08 | 0.24 |
| 6082 | 1.03 | 0.66 | 0.21 | 0.51 | - | - |
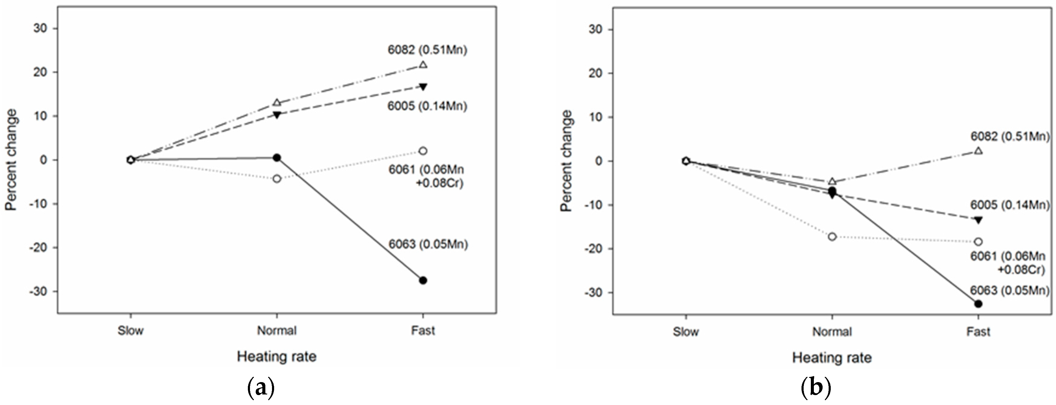
| Alloy | Heating Rate | Density | St.dev. | % Change | % Area | St.dev. | % Change |
|---|---|---|---|---|---|---|---|
| 6063 | Slow | 5.18 × 104 | 2.89 × 104 | - | 0.027 | 0.019 | - |
| Normal | 5.21 × 104 | 3.05 × 104 | 0.6 | 0.025 | 0.018 | −7.4 | |
| Fast | 3.76 × 104 | 2.73 × 104 | −27.4 | 0.019 | 0.016 | −29.6 | |
| 6005 | Slow | 1.37 × 105 | 3.63 × 104 | - | 0.108 | 0.034 | - |
| Normal | 1.52 × 105 | 5.14 × 104 | 10.9 | 0.1 | 0.038 | −7.4 | |
| Fast | 1.61 × 105 | 6.65 × 104 | 17.5 | 0.095 | 0.043 | −12.0 | |
| 6061 | Slow | 3.31 × 105 | 1.38 × 105 | - | 0.197 | 0.091 | - |
| Normal | 3.17 × 105 | 1.54 × 105 | −4.3 | 0.163 | 0.084 | −17.2 | |
| Fast | 3.38 × 105 | 1.68 × 105 | 2.1 | 0.160 | 0.075 | −18.4 | |
| 6082 | Slow | 5.06 × 105 | 7.53 × 104 | - | 0.547 | 0.103 | - |
| Normal | 5.72 × 105 | 1.26 × 105 | 13.0 | 0.521 | 0.129 | −4.8 | |
| Fast | 6.15 × 105 | 1.04 × 105 | 21.6 | 0.559 | 0.116 | 2.2 |
| Alloy | Heating Rate | n | q/q* | GSE | GSE* | |
|---|---|---|---|---|---|---|
| 6063 | Slow | 1879 | 12/99 | 0.90 | 0.56 | 0.80 |
| Normal | 1888 | 12/99 | 0.86 | 0.59 | 0.76 | |
| Fast | 1362 | 12/99 | 0.79 | 0.73 | 0.71 | |
| 6005 | Slow | 4979 | 48/180 | 0.97 | 0.26 | 0.92 |
| Normal | 5555 | 48/180 | 0.95 | 0.34 | 0.84 | |
| Fast | 5818 | 48/180 | 0.93 | 0.41 | 0.80 | |
| 6061 | Slow | 12010 | 120/224 | 0.96 | 0.42 | 0.81 |
| Normal | 11496 | 120/224 | 0.95 | 0.49 | 0.80 | |
| Fast | 12257 | 120/224 | 0.95 | 0.5 | 0.78 | |
| 6082 | Slow | 18347 | 180/288 | 0.99 | 0.15 | 0.91 |
| Normal | 20678 | 180/288 | 0.98 | 0.22 | 0.84 | |
| Fast | 22304 | 180/288 | 0.99 | 0.17 | 0.87 |
© 2018 by the authors. Licensee MDPI, Basel, Switzerland. This article is an open access article distributed under the terms and conditions of the Creative Commons Attribution (CC BY) license (http://creativecommons.org/licenses/by/4.0/).
Share and Cite
Remøe, M.S.; Westermann, I.; Marthinsen, K. Characterization of the Density and Spatial Distribution of Dispersoids in Al-Mg-Si Alloys. Metals 2019, 9, 26. https://doi.org/10.3390/met9010026
Remøe MS, Westermann I, Marthinsen K. Characterization of the Density and Spatial Distribution of Dispersoids in Al-Mg-Si Alloys. Metals. 2019; 9(1):26. https://doi.org/10.3390/met9010026
Chicago/Turabian StyleRemøe, Magnus Sætersdal, Ida Westermann, and Knut Marthinsen. 2019. "Characterization of the Density and Spatial Distribution of Dispersoids in Al-Mg-Si Alloys" Metals 9, no. 1: 26. https://doi.org/10.3390/met9010026
APA StyleRemøe, M. S., Westermann, I., & Marthinsen, K. (2019). Characterization of the Density and Spatial Distribution of Dispersoids in Al-Mg-Si Alloys. Metals, 9(1), 26. https://doi.org/10.3390/met9010026

