Experimental Study on the Mechanical Behavior of EN08 Steel at Different Temperatures and Strain Rates
Abstract
1. Introduction
2. Experimental Results and Discussions
2.1. Quasi-Static Tests at Room and High Temperatures
2.2. Drop-Hammer Test
2.3. Scanning Electron Microscope (SEM)
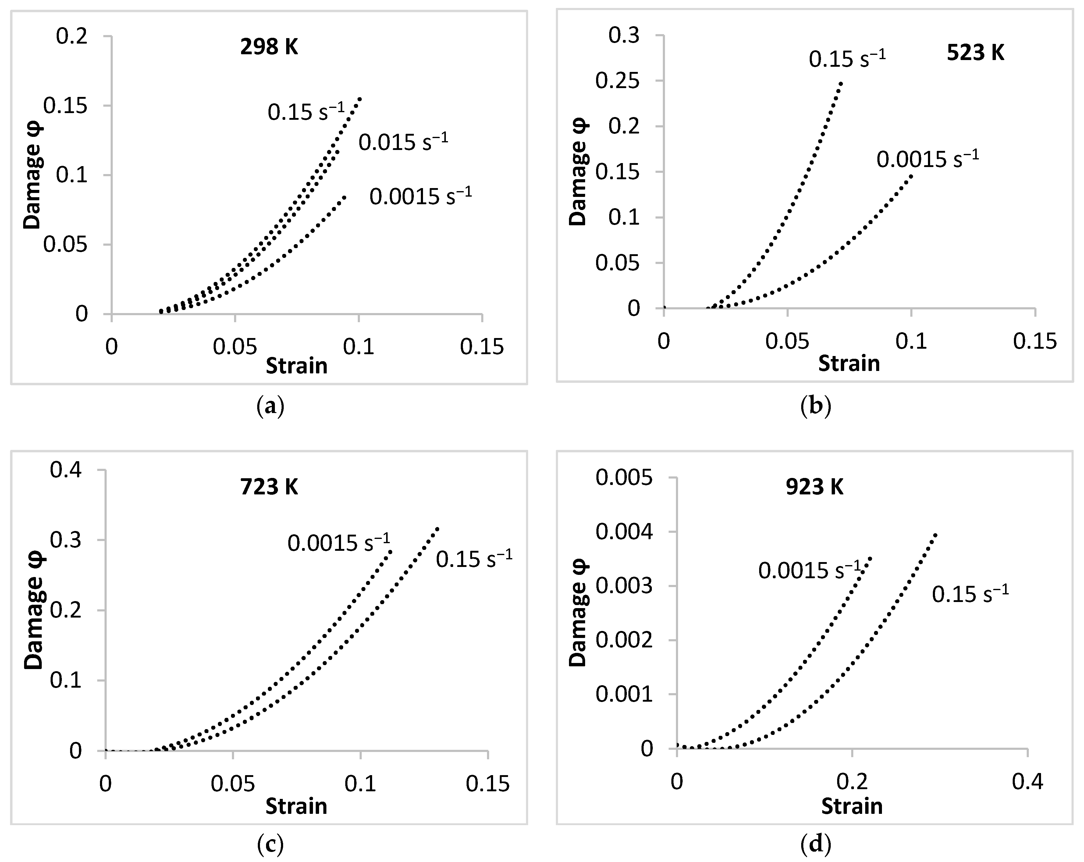
3. Damage-Plasticity Description of EN08
3.1. Energy-Based Damage Evolution Model
3.2. Flow Stress Description of EN08
4. Concluding Remarks
Author Contributions
Funding
Conflicts of Interest
References
- Nemat-Nasser, S.; Guo, W.-G. Thermomechanical response of HSLA-65 steel plates: Experiments and modeling. Mech. Mater. 2005, 37, 379–405. [Google Scholar] [CrossRef]
- Abed, F.; Saffarini, M.; Abdul-Latif, A.; Voyiadjis, G.Z. Flow stress and damage behavior of C45 Steel over a range of temperatures and loading rates. ASME J. Eng. Mater. Technol. 2017, 139. [Google Scholar] [CrossRef]
- Guo, W.-G.; Nemat-Nasser, S. Flow stress of Nitronic-50 stainless steel over a wide range of strain rates and temperatures. Mech. Mater. 2006, 38, 1090–1103. [Google Scholar] [CrossRef]
- Abed, F.; ElSayegh, C.; Abdul-Latif, A. Thermo-Mechanical Description of AISI4140 Steel at Elevated Temperatures. In TMS Middle East—Mediterranean Materials Congress on Energy and Infrastructure Systems (MEMA 2015); Springer Chem: Basel, Switzerland, 2015; pp. 491–499. ISBN 978-3-319-48599-7. [Google Scholar]
- Su, J.; Guo, W.; Meng, W.; Wang, J. Plastic behavior and constitutive relations of DH-36 steel over a wide spectrum of strain rates and temperatures under tension. Mech. Mater. 2013, 65, 76–87. [Google Scholar] [CrossRef]
- Abed, F.H.; Al-Tamimi, A.K.; Al-Himairee, R.M. Characterization and modeling of ductile damage in structural steel at low and intermediate strain rates. J. Eng. Mech. 2012, 138, 1186–1194. [Google Scholar] [CrossRef]
- Celentano, D.J.; Chaboche, J.-L. Experimental and numerical characterization of damage evolution in steels. Int. J. Plast. 2007, 23, 1739–1762. [Google Scholar] [CrossRef]
- Darras, B.M.; Abed, F.H.; Pervaiz, S.; Abdu-Latif, A. Analysis of damage in 5083 aluminum alloy deformed at different strain rates. Mater. Sci. Eng. A 2013, 568, 143–149. [Google Scholar] [CrossRef]
- Chae, D.; Koss, D. Damage accumulation and failure of HSLA-100 steel. Mater. Sci. Eng. A 2004, 366, 299–309. [Google Scholar] [CrossRef]
- Kumar, M.S.; Ragunathan, S.; Srinivasan, V. Effect of heat treatment on the fatigue behavior of EN8 steel. ARPN J. Eng. Appl. Sci. 2006, 11, 1326–1331. [Google Scholar]
- Talukdar, P.; Sen, S.; Ghosh, A. The effect of high cycle fatigue damage on toughness of EN8 grade steel part ii. Mech. Eng. Robot. Res. 2013, 2, 232–239. [Google Scholar]
- Haque, M.M.; Hashmi, M.S.J. Stress-strain properties of structural steel at strain rates of up to 105 per second at sub-zero, room and high temperatures. Mech. Mater. 1984, 3, 245–256. [Google Scholar] [CrossRef]
- Singh, N.; Cadoni, E.; Singha, M.; Gupta, N. Dynamic tensile and compressive behaviors of mild steel at wide range of strain rates. J. Eng. Mech. 2013, 139, 1197–1206. [Google Scholar] [CrossRef]
- Weinberger, C.R.; Boyce, B.L.; Battaile, C.C. Slip planes in bcc transition metals. Int. Mater. Rev. 2013, 58, 296–314. [Google Scholar] [CrossRef]
- Duesbery, M.S.; Foxall, R.A.; Hirsch, P.B. The plasticity of the pure niobium single crystal. J. Phys. 1966, 27, 193–204. [Google Scholar] [CrossRef]
- Šesták, B.; Blahovec, J. The temperature dependence of slip planes in Fe-3.4% Si single crystals. Phys. Status Solidi 1970, 40, 599–607. [Google Scholar] [CrossRef]
- Voyiadjis, G.Z.; Abed, F.H. Microstructural based models for bcc and fcc metals with temperature and strain rate dependency. Mech. Mater. 2005, 37, 355–378. [Google Scholar] [CrossRef]
- Voyiadjis, G.Z.; Abed, F.H. Effect of dislocation density evolution on the thermomechanical response of metals with different crystal structures at low and high strain rates and temperatures. Arch. Mech. 2005, 57, 299–343. [Google Scholar]
- Abed, F.H. Constitutive modeling of the mechanical behavior of high strength ferritic steels for static and dynamic applications. Mech. Time Depend. Mater. 2010, 14, 329–345. [Google Scholar] [CrossRef]
- Wang, T.; Jonas, J.; Qin, H.; Yue, S. Effect of dynamic strain aging on the deformation and twinning behavior of a Mg–2Zn–2Nd alloy. Mater. Sci. Eng. A 2015, 645, 126–135. [Google Scholar] [CrossRef]
- MacGregor, C.W.; Fisher, J.C. A velocity-modified temperature for the plastic flow of metals. J. Appl. Mech. 1946, 13, 11–16. [Google Scholar]
- Abed, F.H.; Ranganathan, S.I.; Serry, M.A. Constitutive modeling of nitrogen-alloyed austenitic stainless steel at low and high strain rates and temperatures. Mech. Mater. 2014, 77, 142–157. [Google Scholar] [CrossRef]
- Voyiadjis, G.Z.; Kattan, P.I. Advances in Damage Mechanics: Metals and Metal Matrix Composites; Elsevier: Oxford, UK, 1999; pp. 1–21. [Google Scholar]
- Krajcinovic, D. Damage Mechanics. Mech. Mater. 1989, 8, 117–197. [Google Scholar] [CrossRef]
- Baste, S.; Audoin, B. On internal variables in anisotropic damage. Eur. J. Mech. A Solids 1991, 10, 587–606. [Google Scholar]
- Abdul-Latif, A.; Chadli, M. Modeling of the Heterogeneous Damage Evolution at the Granular Scale in Polycrystals under Complex Cyclic Loadings. Int. J. Damage Mech. 2007, 16, 133–158. [Google Scholar] [CrossRef]
- Abdul-Latif, A.; Mounounga, T.B.S. Damage Deactivation Modeling under Multiaxial Cyclic Loadings for Polycrystals. Int. J. Damage Mech. 2009, 18, 177–198. [Google Scholar] [CrossRef]
- Abed, F.; Makarem, F. Comparisons of constitutive models for steel over a wide range of temperatures and strain rates. J. Eng. Mater. Technol. 2012, 134. [Google Scholar] [CrossRef]
- Goto, D.; Garrett, R.; Bingert, J.; Chen, S.-R.; Gray, G. The mechanical threshold stress constitutive-strength model description of HY-100 steel. Metall. Mater. Trans. A 2000, 31, 1985–1996. [Google Scholar] [CrossRef]
- Banerjee, B. The mechanical threshold stress model for various tempers of AISI 4340 steel. Int. J. Solids Struct. 2007, 44, 834–859. [Google Scholar] [CrossRef]
- Voyiadjis, G.; Abed, F. Transient localizations in metals using microstructure-based yield surfaces. Model. Simul. Mater. Sci. Eng. 2006, 15, S83. [Google Scholar] [CrossRef]
- Lee, Y.; Kim, B.; Park, K.; Seo, S.; Min, O. A study for the constitutive equation of carbon steel subjected to large strains, high temperatures and high strain rates. J. Mater. Process. Technol. 2002, 130, 181–188. [Google Scholar] [CrossRef]
- Abed, F. On the differences of dynamic localisations between different types of metals. Int. J. Mater. Struct. Integr. 2010, 4, 215–237. [Google Scholar] [CrossRef]
- Tabei, A.; Abed, F.H.; Voyiadjis, G.Z.; Garmestani, H. Constitutive modeling of Ti-6Al-4V at a wide range of temperatures and strain rates. Eur. J. Mech. A Solids 2017, 63, 128–135. [Google Scholar] [CrossRef]
- Abed, F.H.; Makarem, F.; Voyiadjis, G.Z. Dynamic Localizations in HSLA-65 and DH-36 Structural Steel at Elevated Temperatures. J. Eng. Mater. Technol. 2013, 135, 021007. [Google Scholar] [CrossRef]
- Makarem, F.S.; Abed, F. Nonlinear finite element modeling of dynamic localizations in high strength steel columns under impact. Int. J. Impact Eng. 2013, 52, 47–61. [Google Scholar] [CrossRef]
- Nemat-Nasser, S.; Guo, W.-G. Thermomechanical response of DH-36 structural steel over a wide range of strain rates and temperatures. Mech. Mater. 2003, 35, 1023–1047. [Google Scholar] [CrossRef]









| Chemical Composition | C | Mn | Si | Al | Sr | Fe | 
|---|---|---|---|---|---|---|
| EN08 | 0.41 | 0.6 | 0.3 | 0.2 | 0.2 | balance | 
© 2018 by the authors. Licensee MDPI, Basel, Switzerland. This article is an open access article distributed under the terms and conditions of the Creative Commons Attribution (CC BY) license (http://creativecommons.org/licenses/by/4.0/).
Share and Cite
Abed, F.; Abdul-Latif, A.; Yehia, A. Experimental Study on the Mechanical Behavior of EN08 Steel at Different Temperatures and Strain Rates. Metals 2018, 8, 736. https://doi.org/10.3390/met8090736
Abed F, Abdul-Latif A, Yehia A. Experimental Study on the Mechanical Behavior of EN08 Steel at Different Temperatures and Strain Rates. Metals. 2018; 8(9):736. https://doi.org/10.3390/met8090736
Chicago/Turabian StyleAbed, Farid, Akrum Abdul-Latif, and Ayatollah Yehia. 2018. "Experimental Study on the Mechanical Behavior of EN08 Steel at Different Temperatures and Strain Rates" Metals 8, no. 9: 736. https://doi.org/10.3390/met8090736
APA StyleAbed, F., Abdul-Latif, A., & Yehia, A. (2018). Experimental Study on the Mechanical Behavior of EN08 Steel at Different Temperatures and Strain Rates. Metals, 8(9), 736. https://doi.org/10.3390/met8090736
 
        


 
       