Influence of the Final Annealing Temperature on Al-Fe-Si Alloy Foil Microstructure and Properties
Abstract
1. Introduction
2. Materials and Methods
3. Results
3.1. Influence of the Final Annealing Temperature on the Second-Phase Particles
3.2. Influence of Final Annealing Temperature on Microstructure
3.3. Effect of Final Annealing Temperature on Texture
3.4. Study on Plastic Deformation Behavior of Aluminum Foil
3.5. Influence of Final Annealing Temperature on Properties of Aluminum Foil
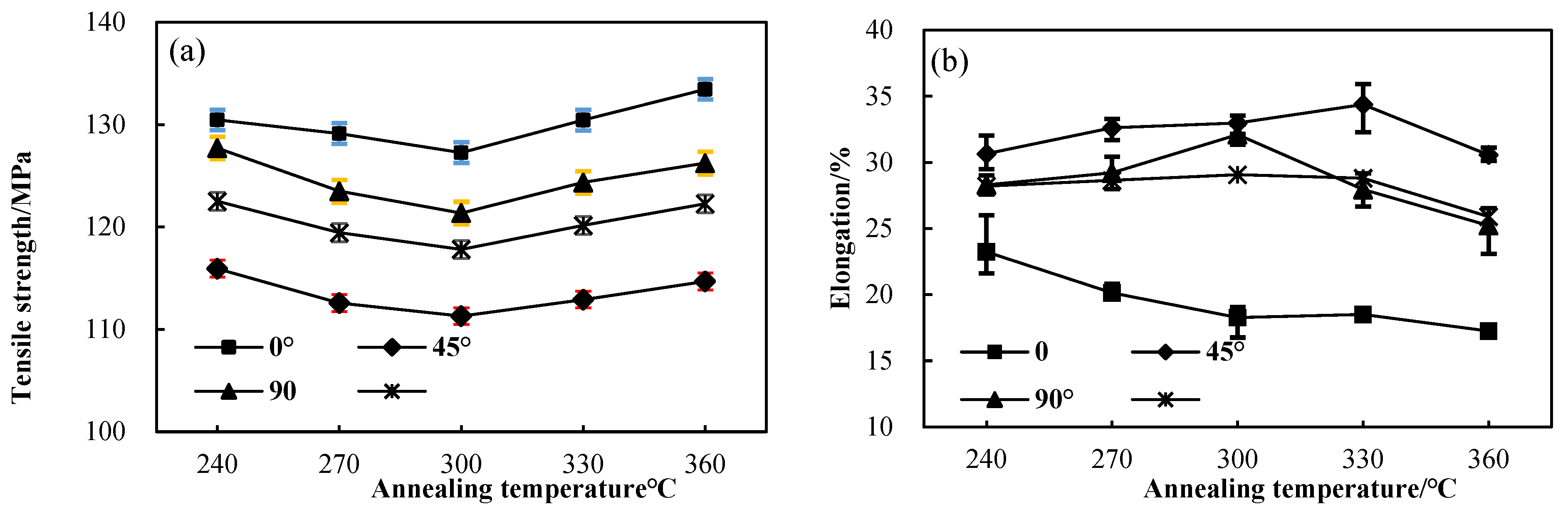
3.5.1. Influence of Final Annealing Temperature on Mechanical Properties of Aluminum Foil
3.5.2. Influence of Final Annealing Temperature on Anisotropy of Aluminum Foil
4. Discussion
4.1. Microstructural Evolution and Mechanical Property Regulation Mechanism
4.2. Engineering Significance and Application Prospects
5. Conclusions
- (1)
- As the annealing temperature rises from 240 °C to 360 °C, the grain size of the Al-Fe-Si alloy aluminum foil increases from ~5.2 μm to ~9.6 μm. When the annealing temperature exceeds 300 °C, the grain swallowing phenomenon intensifies, leading to obvious grain growth.
- (2)
- The tensile deformation of the aluminum foil is dominated by uniform plastic deformation, with almost no localized necking before fracture. The fracture strain is smallest in the 0° direction, intermediate in the 90° direction, and largest in the 45° direction (30~34%), showing significant plastic deformation anisotropy.
- (3)
- With an increasing annealing temperature, the tensile strength of the aluminum foil first decreases and then increases, reaching the minimum at ~300 °C. Regarding elongation:
- Elongation along the rolling direction (0°) is the lowest (≈17~23%), decreasing gradually with a rising annealing temperature;
- Elongation perpendicular to the rolling direction (90°) is intermediate (≈25~32%), showing a trend of first increasing and then decreasing with temperature;
- Elongation in the 45° direction is the highest (≈30~34%), also following a first-increase-then-decrease trend and nearly 1.5 times that in the rolling direction.
- (4)
- With an increase in annealing temperature, the tensile strength anisotropy degree of the aluminum foil gradually increases. The anisotropy index is smallest at 240 °C, with ΔUTS = 13.0 MPa and ΔEL = −4.2%. Thus, the aluminum foil exhibits an optimal comprehensive performance when annealed at 240 °C.
Author Contributions
Funding
Data Availability Statement
Acknowledgments
Conflicts of Interest
References
- Chen, W.; Chen, M.; Jin, X.; Zhang, P. Effect of annealing temperature on microstructure and mechanical properties of AA8021 aluminum foil for lithium-ion battery packaging. J. Mater. Process. Technol. 2022, 306, 117789. [Google Scholar]
- Zhao, X.; Jin, T.; Ding, L. The effect of combined cold rolling and homogenization on the microstructures and mechanical properties of twin-roll casted 8021 aluminum alloy. J. Alloys Compd. 2023, 937, 168385. [Google Scholar]
- Chen, W.; Chen, M.; Feng, S.; Jin, X. Effect of Crystallographic Texture on the Anisotropic Tensile Behavior of Aluminum Foil and Its Industrial Application. J. Mater. Eng. Perform. 2022, 31, 1306–1316. [Google Scholar]
- Qu, J.; He, Z. Mechanical performance study and simulation of aluminum-plastic film in pouch Lithium-ion battery based on ductile fracture criterion. J. Energy Storage 2024, 87, 11547. [Google Scholar] [CrossRef]
- Wang, X.; Luo, L.; Li, W. Origin of fine equiaxed grains in industrial low-temperature grain-oriented silicon steel normalized sheet and their influence on magnetic properties. J. Magn. Magn. Mater. 2022, 552, 169210. [Google Scholar] [CrossRef]
- Li, X.; Zhang, Y.; Wang, J.; Yang, S. Continuous Recrystallization Kinetics and Subgrain Evolution in Cold-Rolled AA8079 Aluminum Foil with 96% Reduction. J. Alloys Compd. 2024, 889, 167689. [Google Scholar]
- Zhao, M.; Liu, C.; Chen, F.; Li, W. Microstructural Regulation of Continuous Recrystallization in High-Deformation AA8021 Alloy: Effect of Annealing Parameters. Metals 2025, 15, 712–726. [Google Scholar]
- Zhang, S.; Luo, X.; Zheng, G.; Hu, R.; Wang, H.; Li, M. Evolutions of Microstructure and Mechanical Properties of Cryorolled 7085 Al Alloy After Annealing Treatments. JOM 2023, 75, 2462–2472. [Google Scholar] [CrossRef]
- Ding, C.; Yuan, G.; Guo, H.; Long, Z.; Yuan, Q. Effect of Microstructures on the Anisotropy of the Roll Casting Strip of Cold Rolled 3003 Aluminum Alloy. In Physics and Engineering of Metallic Materials; Han, Y., Ed.; Springer Proceedings in Physics 217; Springer: Singapore, 2019; pp. 627–634. [Google Scholar]
- GB/T 16865-2023; Test Pieces and Methods for Tensile Test for Wrought Aluminium, Magnesium and Their Alloy Products. Standards Press of China: Beijing, China, 2023.
- Hutchinson, W.B. Analysis of cellular microstructures in Al–Fe–Si alloy. Mater. Sci. Technol. 2000, 16, 1364–1366. [Google Scholar] [CrossRef]
- Jazaeri, H.; Humphreys, F.J. The transition from discontinuous to continuous recrystallization in some aluminium alloys: I–the deformed state. Acta Mater. 2004, 52, 3239–3250. [Google Scholar] [CrossRef]
- Xia, S.; Ma, M.; Zhang, J.; Wang, W.; Liu, W. Effect of heating rate on the microstructure, texture and tensile properties of continuous cast AA 5083 aluminum alloy. Mater. Sci. Eng. A 2014, 609, 168–176. [Google Scholar] [CrossRef]
- Hirsch, E.J. Control of recrystallisation texture and texture-related properties in industrial production of aluminium sheet. Z. Met. 2009, 100, 564–575. [Google Scholar]
- Wang, Y.; Jia, Z.; Gao, Z.; Liu, D. Continuous dynamic recrystallization nucleation mechanism and annealing twin evolution with respect to grain growth in a nickel-based superalloy. J. Cent. South Univ. 2023, 30, 49–60. [Google Scholar] [CrossRef]
- Chen, W.; Chen, M.; Jin, X.; Zhang, P. Effect of heating rate during annealing on microstructure and texture evolution of AA8021 aluminum foil. Mater. Res. Express 2020, 7, 096514. [Google Scholar] [CrossRef]
- Li, K.; Zou, T.; Li, D.; Peng, Y.; Shu, D. On formation of abnormally large grains in annealing prestrained aluminum alloy multiport extrusion tubes. Metall. Mater. Trans. A 2019, 50, 5734–5749. [Google Scholar] [CrossRef]
- Humphreys, F.J.; Hatherly, M. Recrystallization and Related Annealing Phenomena; Elsevier: Amsterdam, The Netherlands, 2017. [Google Scholar]
- Dai, H.; Li, H.; Jia, R.; Kang, J.; Tang, H.; Bao, X. Unveiling annealing-driven microstructural evolution and strength-ductility coupling in an Al-Fe-Si alloy. Mater. Charact. 2025, 217, 115786. [Google Scholar]
- Casalino, M.; Conte, A.; Langella, A. The Effect of Heat Treatments on the Microstructural Evolution of Twin-Roll-Cast Al-Fe-Si Alloys. Metals 2021, 11, 652. [Google Scholar]
- Birbaar, O. Deep Drawability of Al-Mg Alloys Produced by Twin Roll Continuous Casting Method: Investigation of Microstructure and Mechanical Properties. Metals 2024, 14, 1365. [Google Scholar] [CrossRef]








| Element | Si | Fe | Cu | Mn | Mg | Cr | Ti |
|---|---|---|---|---|---|---|---|
| Composition | 0.86 | 1.12 | ≤0.05 | ≤0.05 | ≤0.05 | ≤0.05 | ≤0.02 |
| Temperature | Tensile Strength Anisotropy Index/MPa | Anisotropy Index of Elongation/% |
|---|---|---|
| 240 °C | 0.2 | 0.2 |
| 270 °C | 0.3 | 0.4 |
| 300 °C | 0.2 | 0.3 |
| 330 °C | 0.4 | 0.6 |
| 360 °C | 0.4 | 0.5 |
Disclaimer/Publisher’s Note: The statements, opinions and data contained in all publications are solely those of the individual author(s) and contributor(s) and not of MDPI and/or the editor(s). MDPI and/or the editor(s) disclaim responsibility for any injury to people or property resulting from any ideas, methods, instructions or products referred to in the content. |
© 2026 by the authors. Licensee MDPI, Basel, Switzerland. This article is an open access article distributed under the terms and conditions of the Creative Commons Attribution (CC BY) license.
Share and Cite
Zhu, X.; Xiao, C.; Wang, X.; Chen, X.; Wu, H.; Chen, W. Influence of the Final Annealing Temperature on Al-Fe-Si Alloy Foil Microstructure and Properties. Metals 2026, 16, 368. https://doi.org/10.3390/met16040368
Zhu X, Xiao C, Wang X, Chen X, Wu H, Chen W. Influence of the Final Annealing Temperature on Al-Fe-Si Alloy Foil Microstructure and Properties. Metals. 2026; 16(4):368. https://doi.org/10.3390/met16040368
Chicago/Turabian StyleZhu, Xiuda, Changle Xiao, Xiubin Wang, Xiaohu Chen, Hongyan Wu, and Wei Chen. 2026. "Influence of the Final Annealing Temperature on Al-Fe-Si Alloy Foil Microstructure and Properties" Metals 16, no. 4: 368. https://doi.org/10.3390/met16040368
APA StyleZhu, X., Xiao, C., Wang, X., Chen, X., Wu, H., & Chen, W. (2026). Influence of the Final Annealing Temperature on Al-Fe-Si Alloy Foil Microstructure and Properties. Metals, 16(4), 368. https://doi.org/10.3390/met16040368

