Next Article in Journal
Development of a Workflow for Topological Optimization of Cutting Tool Milling Bodies
Previous Article in Journal
Picolinoyl N4-Phenylthiosemicarbazide-Modified ZnAl and ZnAlCe Layered Double Hydroxide Conversion Films on Hot-Dip Galvanized Steel for Enhancing Corrosion Protection in Saline Solution
 
 
Font Type:
Arial Georgia Verdana
Font Size:
Aa Aa Aa
Line Spacing:
Column Width:
Background:
Article

EERZ-Based Kinetic Modeling of Ladle Furnace Refining Pathways for Producing Weathering Steels Using CALPHAD TCOX Databases

1
Department of Materials Science, Energy and Nano-Engineering (MSN), College of Chemical Sciences and Engineering (CCSE), Mohammed VI Polytechnic University (UM6P), Ben Guerir 43150, Morocco
2
Accelerated Research Center for Metallurgy (ARC for Metallurgy—MSN Site), University Mohammed 6 Polytechnic (UM6P), Lot 660-Hay Moulay Rachid, Ben Guerir 43150, Morocco
3
Maghreb Steel, Route Nationale 9, km 10, Casablanca 20600, Morocco
4
Accelerated Research Center for Metallurgy (ARC for Metallurgy—Maghreb Steel Site), Route Nationale 9, km 10, Casablanca 20600, Morocco
*
Authors to whom correspondence should be addressed.
Metals 2026, 16(1), 114; https://doi.org/10.3390/met16010114
Submission received: 9 December 2025 / Revised: 6 January 2026 / Accepted: 14 January 2026 / Published: 19 January 2026

Abstract

The design of ladle furnace (LF) refining pathways for weathering steels requires precise control of multi-component steel/slag reactions governed simultaneously by thermodynamics and interfacial mass transfer kinetics. An EERZ-based kinetic modeling strategy was employed using the Thermo-Calc® (version 2022a) Process Metallurgy Module and the CALPHAD TCOX11 database to develop LF refining schedules capable of upgrading conventional S355J2R steel to weathering steel grades: S355J2W and S355J2WP. First, the sensitivity of predicted compositions to key kinetic inputs was quantified. The validated model was then used to simulate deoxidation and desulfurization sequences, predicting the evolution of liquid–steel and slag compositions, slag basicity, and FeO activity throughout the LF cycle. Subsequently, Cr- and P-ferroalloys were introduced to design tap-to-tap schedules that meet the EN 10025-5 chemical specifications for S355J2W and S355J2WP. To correlate simulation outcomes with material performance, plates produced following the modeled schedules were evaluated through a 1000 h accelerated salt spray test. Steel density and steel phase mass transfer coefficients were found to produce the highest prediction sensitivity (up to 7.5 wt.% variation in C and S), whereas slag phase parameters exhibited a lower impact. The predicted steel compositions showed strong agreement with industrial values obtained during plant trials. SEM-EDS analyses confirmed the development of a Cr-enriched protective patina and validated model-based alloying strategies.

1. Introduction

The ladle furnace (LF) is a critical secondary steelmaking unit dedicated to refining operations under a non-oxidizing atmosphere, typically ensured by argon stirring and arc heating in the presence of a basic white slag [1,2]. The two main operations during this step consist of (1) harmful particles removal, including impurities (i.e., sulfur and oxygen) and inclusions (i.e., nonmetallic particles) that float to the slag, and (2) the addition of alloying elements to adjust the concentration of each targeted element [3]. The transformation processes of steel, particularly the LF refining step, are known to be complex thermodynamic systems circumscribed by an interplay of thermodynamic equilibriums responsible for the direction of chemical reactions, while kinetics define their rates. Thus, tracking and controlling both metallurgical and thermodynamic variables are crucial. Given the complexity of the reactions occurring simultaneously, modeling an LF process becomes even more challenging when developing new metallurgical schedules to produce novel steel grades. Computational thermodynamics, and more specifically the CALPHAD (Calculation of Phase Diagrams) approach, has become a powerful tool in modern metallurgical process modeling. Thus, the development of CALPHAD databases has led to the emergence of high accuracy computer-based tools since the 1980s [4], providing the foundation for Integrated Computational Materials Engineering (ICME) [5,6,7]. The simulation of refining processes is typically performed by coupling the kinetics of multiphase reactions with thermodynamic databases describing liquid steel and slag oxides at the phase interface. Several studies have established such kinetic descriptions using the Effective Equilibrium Reaction Zone (EERZ) method, in which local equilibrium is assumed within an effective reaction volume to describe interactions between the bulk phases and the interface [8]. EERZ-based modeling has demonstrated strong agreement with both experimental observations and industrial data. The main commercial thermodynamic software and methods used in the literature included FactSage (http://www.factsage.com/, assessed on 13 January 2026), Metsim (https://metsim.com/, assessed on 13 January 2026), ChemApp (https://gtt-technologies.de/software/chemapp/, assessed on 13 January 2026), and SimuSage (https://gtt-technologies.de/software/simusage/, assessed on 13 January 2026), in addition to the Thermo-Calc® approach used in this work.
This latter approach was selected because the Thermo-Calc® software includes a powerful add-on, referred to as the Process Metallurgy Module (PMM), which was developed by integrating thermodynamic equilibria with EERZ-based kinetic descriptions and robust industrial data, enabling a more accurate in silico representation of steelmaking processes [9,10]. Furthermore, when coupled with CALPHAD-based oxide databases such as TCOX, the PMM provides an industrially validated framework for modeling kinetically constrained slag–metal reactions throughout the tap-to-tap refining cycle and supports the design of optimized process schedules [10,11]. In this context, this approach was applied herein to upgrade the S355J2R steel grade to S355J2W and S355J2WP grades at the industrial scale through the in silico definition of optimized LF refining schedules.
Obviously, using this approach, one should expect that both grades fit the weathering steel standards and properties. COR-TEN (CORrosion resistance TENsile) is a well-known commercial weathering steel developed since the 1930s to exhibit higher anti-corrosion properties compared to conventional carbon steel, while maintaining superior tensile strength [12]. This family of steels undergoes a corrosion process characterized by the formation of a self-protective oxide layer, meaning less maintenance costs related to periodic painting. ArcelorMittal© is known for producing two weathering steels under the trade names Arcorox® for long products and Indaten® for heavy plates or steel coils. These products are mainly oriented towards architecture and construction applications [13]. As reported in Table 1, when producing a weathering steel, specific composition ranges of certain alloys should be respected to reach a low-carbon steel grade with enhanced corrosion resistance properties. In this regard, Cr, Cu, and P are the main alloying elements known for their contribution in enriching, forming, and stabilizing the protective patina layer over time and with exposure to a corrosive environment [14,15,16]. Furthermore, several studies also highlighted the effect of Si content on the stabilization and enhancement of such protective rust layers [17]. After prolonged exposure, Cr-substituted ultra-fine goethite, which has a maximum crystal size of about 15 nm, undergoes a long-term phase transformation towards its final state of fine goethite (FG) α F e 1 x , C r x O O H C r F G . Yamashita et al. [15] reported that, at an early corrosion stage, lepidocrocite γ-FeOOH is formed at the surface of the weathering steel, while it dissolves in the inner portion of the rust layer, referred to as the X-ray amorphous substance layer. Over time, this layer forms a stable protective rust layer containing stable and packed Cr-FG, known as the protective patina layer. This protective layer impedes the diffusion of elements, limiting the penetration of aggressive species, and thus reduces their contact with the steel substrate.
As part of the state-of-the-art assessment, preliminary corrosion observations were performed on a commercially available, normalized S355J2WP weathering steel used in this study as a reference material (See Table 1 and Figure 1 and Figure 2). This commercial product, not produced within the present work, provides an experimental benchmark representative of the expected corrosion behavior of compliant weathering steel grades. Accelerated salt spray tests conducted for up to 1000 h in accordance with the ASTM B117-19/ISO 9227:2022 standard [18,19], combined with cross-sectional Scanning Electron Microscopy (SEM) and Energy-Dispersive X-ray Spectroscopy (EDS) analyses, were used to qualitatively assess the morphology and elemental distribution within the corrosion product layer. These preliminary observations, presented here to motivate the experimental and modeling approach adopted in this study, are consistent with trends previously reported in the literature [14,15].
Table 1. Weathering steel ranges in wt.% according to EN 10025-5 standards (Adapted form Refs. [20,21]).
Table 1. Weathering steel ranges in wt.% according to EN 10025-5 standards (Adapted form Refs. [20,21]).
CMnSiAlPSNbCrCu
S355J0WMin-0.50-----0.400.25
Max0.161.500.50-0.0350.035-0.800.55
S355J2WMin-0.50-0.02--0.0150.400.25
Max0.161.500.50-0.0300.0300.0600.800.55
S355J0WPMin----0.060--0.300.25
Max0.121.00.75-0.1500.035-1.250.55
S355J2WPMin---0.020.060-0.0150.300.25
Max0.121.00.75-0.1500.0300.0601.250.55
In agreement with trends reported in the literature [14,15,16], these state-of-the art preliminary observations (Figure 1 and Figure 2) indicate, as expected, chromium concentration enrichment within the patina, particularly near the substrate–rust interface, a feature commonly associated with the formation and long-term stability of a protective corrosion layer. These initial data serve to define target compositional ranges and corrosion performance expectations for the modeling and validation strategy developed in this work. To reach such expectations, one can agree that the chemistry of targeted weathering steels, displayed in Table 1 with respect to the EN 10025-5 standard, ref. [20] is crucial, where the Cr, P, and Cu wt.% are within the ranges 0.3–1.25, 0.06–0.15, and 0.25–0.55, respectively.
In this context, the present work provides a proof of concept for the application of a Fab-to-Lab-to-Fab modeling and validation strategy to upgrade a conventional steel grade already under industrial production. Using the Thermo-Calc® Process Metallurgy Module coupled with the TCOX11 database and an EERZ-based kinetic framework [10,22,23], the approach starts from industrial-scale data acquisition to reproduce in silico the LF refining conditions of the reference S355J2R steel grade. This industrial baseline is then used to optimize LF refining schedules in silico, enabling the controlled design of deoxidation, desulfurization, and alloying sequences for the production of both S355J2W and S355J2WP steel grades. In particular, two tap-to-tap LF schedules were developed through targeted additions of Fe–Cr- and Fe–P-ferroalloys and subsequently validated at the industrial scale through the production of a total of 261.87 tonnes of steel via two distinct metallurgical routes. Finally, the resulting steels were assessed by accelerated salt spray exposure for 1000 h in accordance with the ASTM B117/ISO 9227 standard, allowing a qualitative correlation between refining process design and corrosion performance, benchmarked against preliminary observations obtained on a commercial, normalized S355J2WP weathering steel.

2. Materials and Methods

Based on the above-mentioned Fab-to-Lab-to-Fab strategy, the LF refining schedules investigated in this study were simulated using the Thermo-Calc® Process Metallurgy Module (PMM) along with the CALPHAD-based slag oxide database TCOX11 (version 2022a) [10,11]. As shown in Figure 3 and Figure 4, simulations were performed under kinetically constrained process conditions by applying an iterative EERZ approach at the liquid steel–slag interface, allowing the prediction of both transient and final process parameters under constant total pressure. To first reproduce the industrial fabrication of the reference S355J2R steel grade, industrial-scale and literature data were used as inputs to the model. These inputs included the composition and mass of all added materials, the sequence and timing of process additions, and a set of kinetic parameters governing mass transfer phenomena during refining [10,11].
Within the EERZ framework, slag–metal reactions are assumed to occur within an effective interfacial reaction volume. At the liquid steel–slag interface, reaction kinetics are controlled by coupled mass and heat transfer balances driven by compositional and thermal gradients. The sizes of the effective reaction volumes in the steel and slag phases, denoted as V s t e e l E E R Z   and V s l a g E E R Z   , are defined by the rates of mass transport to and from the interface, with higher mass transfer coefficients resulting in larger EERZ volumes and faster reaction kinetics, as sketched in Figure 3. When ferroalloys are added, the PMM assumes complete melting of the additions and a homogeneous temperature distribution within the liquid steel bulk at each simulation time step, consistent with industrial ladle furnace operating conditions [11]. The overall simulation proceeds through an iterative time-stepping procedure in which thermodynamic equilibrium calculations within the EERZ are coupled with kinetic mass transfer updates, as presented in Figure 4.
To assess the sensitivity of LF schedule predictions using Thermo-Calc®, the performance of the PMM was evaluated by quantifying the impact of input parameter uncertainties on the predicted liquid steel composition. Accordingly, a series of simulations was performed by applying a ±10% deviation to each input variable, as summarized in Table 2. This approach is consistent with common industrial practices for uncertainty analysis and allows the identification of the most influential kinetic parameters while evaluating the robustness of the PMM in accommodating such deviations. Then, two LF refining schedules were simulated, following the initial deoxidation and desulfurization steps performed at the tapping stage, to upgrade the reference S355J2R steel grade to (i) S355J2W through the addition of Fe-Cr and (ii) S355J2WP through the combined addition of Fe-Cr and Fe-P, to produce targeted weathering steel grades in compliance with the EN 10025-5 standard. In industrial practice, composition thresholds are defined prior to processing; accordingly, as shown in Table 3, the S355J2W grade was represented by a target composition denoted S355WT3, while S355WT4–5 was assigned to the S355J2WP grade. Validation of the simulated LF refining schedules was performed through industrial trials. The weathering steel performance of the as -produced S355J2WP was then evaluated using an accelerated salt spray test conducted for 1000 h in an ASCOTT Analytical iS® chamber (Ascott Analytical, Tamworth, UK), in accordance with the ASTM B117/ISO 9227 standard (Figure 5). The microstructural and chemical changes associated with corrosion product formation were examined by comparing steel plates before and after exposure to the accelerated corrosion test using a Zeiss EVO10® Scanning Electron Microscope (SEM) (Zeiss, Oberkochen, Germany) equipped with a SMART® Energy-Dispersive X-ray Spectroscopy (EDS) detector. Energy calibration was regularly performed using a copper sample, and quantification accuracy was checked with a certified quality control testing block. The chemical composition of the plates was measured using a calibrated S3 MiniLab 300 Spark Optical Emission Spectrometer (GNR France by metal instruments, Marnay, Haute Saône, France). In addition, mass gain as a function of exposure time was quantified for both steel grades. Samples were weighed at 100 h intervals throughout the test duration. For each measurement, the mass was recorded immediately after removal from the test chamber and again after cleaning by brushing with distilled water, in accordance with ASTM B117-19/ISO 9227:2022 procedures. The mass gain d m [g/m2] was calculated according to Equation (1):
d m = m f m i ( l w + w e + l e )
where d m is the mass gain [g/m2]; m i and m f are the initial mass and mass after exposition, respectively (g); and l , w, and e are the length, width, and thickness of the sample, respectively.
In addition, the relative corrosion rate, k r , was calculated according to Equation (2):
k r = k W P k J R
where k W P and k J R are the slopes of the fitted lines of mass measurements of the produced S355J2WP(MS) samples and S355J2R samples, respectively.

3. Results and Discussion

3.1. Evaluation of the TCOX Databases

The output accuracy of Thermo-Calc® calculations was first evaluated with respect to variations in kinetics reactions parameters, mainly slag and steel densities ρ s l a g and ρ s t e e l , slag and steel mass transfer coefficients k s l a g [m/s] and k s t e e l [m/s], and steel-to-slag transfer rate of oxides   k s t e e l s l a g [%/min] (Table 2). The kinetic parameters, in particular the mass transfer coefficients k s t e e l and k s l a g and the phase group transport rate   k s t e e l s l a g , are literature-based according to typical ranges. It is assumed that a typical desulphurization process can be described using k s t e e l   in the range of 3 to 50 × 10−4 m/s, and it is also commonly assumed that k s l a g = k s t e e l / 10 [24]. In fact, there are already empirical formulations in the literature linking mass transport to process parameters such as stirring intensity, steel and slag viscosities, gas flow, temperature, and pressure [25]. Furthermore, CFD simulation can be used for a more in-depth assessment of mass transport phenomena within the ladle [24]. k s t e e l and k s l a g determine the size of the EERZ in each phase; a higher coefficient means a larger zone and faster kinetics. The phase group transport rate   k s t e e l s l a g   determines the inclusion flotation rate, indicating how much oxide is removed from the steel zone and transferred to the slag. They are assumed to be constant throughout each step; therefore, a sensitivity analysis was first performed [26]. As a result, it has been observed that steel density and the mass transfer coefficient within the liquid steel phase induced the highest inaccuracy of 7.5% when varied by 10%, whereas slag density and the related mass transfer coefficient had values of 4.5% and 4.8%, respectively. Therefore, attention is required to better control liquid steel kinetics by reducing cumulative deviations in processing parameters such stirring intensity, gas flow, and pressure. The steel-to-slag transfer rate had the lowest impact on the accuracy of calculations (see Table 4 and Figure 6). According to these results, the impact on predicted Cr content can be neglected, whereas errors in the prediction of C could reach up to 7.5 wt.%, and up to 4.8 wt.% for P.

3.2. Simulation of Deoxidation and Desulfurization Conditions During LF

The starting liquid steel/slag compositions, kinetic parameters, and tapping conditions reported in Table 5 were deduced from in situ production data after tapping the heat at the outlet of the EAF unit.
They were averaged and taken with respect to historical data (measurements of samplings via optical emission spectroscopy) related to the reference refining schedule of the S355J2R grade.
The kinetics parameters and tapping conditions are also reported in Table 5. Through the Thermo-Calc® Process Metallurgy Module, an initial schedule was established to reach the desired contents of elements by simulating two stages of deoxidation followed by desulfurization. The first deoxidation stage was performed by adding CaAl to reduce the oxygen content. Then, a second deoxidation followed by adding Fe-Mn to maintain low oxygen ppm throughout the refining process, which is a key requirement for efficient desulfurization. Since sulfur is well known for its negative impact on final steel properties, ref. [27], a desulfurization operation was subsequently performed by increasing slag basicity, defined as (%CaO + %MgO)/%SiO2, through CaO addition [28]. The main desulfurization operation could be described as follows:
3CaO + 3[S] + 2[Al] = 3CaS + Al2O3
As the slag’s basicity increases and due to the presence of CaO, the desulfurization capability of the slag is enhanced while maintaining a lower Al2O3 content. As a result, a 45 min schedule without ferroalloys additions was established and simulated. A total of 120 tonnes (liquid steel/Slag) was refined with an argon flow between 0.1 Nm3/min and 0.3 Nm3/min, corresponding to approximately 13 Nm3/h, and the total applied energy was 52 MW over 45 min. Figure 7 highlights the simulated evolution of the chemical composition within the liquid steel and slag phases. According to these curves, one can predict the interplay of reaction kinetics between steel composition and slag oxides, as illustrated in the decrease in SiO2 in the slag phase offset by an increase in Si within the liquid steel. Furthermore, the FeO level is low enough for optimal desulphurization, given that higher FeO contents could affect this ability [28]. The simulation of the desulphurization conditions included basicity prediction, as shown in Figure 8, which ranged between 2.3 and 3.4, high enough to ensure that the S content reaches 0.007 wt.% from a starting point of 0.026 wt.% in the liquid steel. This decrease was offset by an increase to 1.15 wt.% in the slag phase, as reported in Figure 9. The reported measurements from in situ samplings agreed with these calculations. In fact, following steel sampling carried out at Maghreb Steel during ladle furnace refining to adjust the liquid steel chemistry according to the developed in silico refining schedules, the sulfur content in liquid steel decreased from 0.0216 wt.% to 0.0068 wt.% at the tundish stage.

3.3. Addition of Ferroalloys Fe-Cr and Fe-P

After ensuring deoxidation and desulphurization of the simulated heat, the schedule was adjusted by adding the needed ferroalloys with respect to the required final composition. Fe-Cr was first added to the recipe to reach a Cr content between 0.45 and 0.5 wt.% at the outlet of the LF unit. The resulting product was designated S355J2W in accordance with the S355WT3 ranges (see Table 3), namely a transition grade towards the final targeted steel grade S355J2WP. This latter was ultimately obtained by adding both Fe-Cr and Fe-P to reach the S355WT4 and then S355WT5 (see Table 3). At a given stage, the amount needed of each ferroalloy was determined by mass balance according to the following formula:
m F e a l l o y = 100 % m L F % w t X % w t x F e a l l o y   R %
where m L F   is the liquid steel mass [kg], % w t X is the targeted content of element x (wt.%), % w t x F e a l l o y is the amount of element x in the ferroalloy [%], and R % is the recovery rate (assumed to be 80% following in-plant industrial practices and recommendations) [%].
The calculated added Fe-Cr weight was a total of 882 kg. Due to technical concerns and manufacturing recommendations related to the studied production line, this amount of Fe-Cr must be added in two steps: first, up to 68%*m (Fe-Cr) is added during tapping; then, the remaining mass is kept for the main process. To optimize the timing and amount of energy for the optimum LF schedule, several simulations of schedules were performed along with temperature changes in phases throughout the cycle. As a result, the total duration remained unchanged at 45 min, and the corresponding liquid steel temperature evolution is reported by the curve in Figure 10. The temperatures drops are due to the addition of Fe-Cr at 30 min and 40 min. As shown in Table 6, following this schedule, the predicted final composition of S355J2W was included within the required standard ranges. A similar approach was applied for the addition of 378 kg of Fe-P to reach the aimed %P at the outlet of the LF unit. As a result, the final schedule to produce S355J2WP is reported in Table 7. As can be seen, the simulated total duration was 60 min, and the total applied energy was 52MW per hour. The corresponding liquid steel temperature evolution is reported in Figure 11. Table 8 shows the predicted final steel composition versus the ranges of the targeted grade. The simulated schedules were then fed back to the process to be followed and validated. The predicted final composition of S355J2WP was in good agreement with measurements at the outlet of the ladle refining unit, in terms of wt.%C, wt.%Cr, and wt.%P, as reported in Table 8. It should be noted that in situ measurements reported in the latter table are specific to the simulated schedule and do not limit the produced composition, as the studied process can reach Cr of up to 0.8 wt.%.

3.4. Experimental Investigation and MEB-EDS Inspection of the Produced S355J2WP(MS)

Table 9 gives the chemical composition of the produced plates of both S355J2WP(MS) and the reference grade S355J2R. After 1000 h of salt spray exposition, samples were prepared for SEM and EDS analysis. Figure 12 shows a typical secondary image of the top surface of the samples, where the close loop of some zones clearly shows the presence of goethite α-FeOOH as needle-like crystals growing out of cloud-like structures, as well as lepidocrocite γ-FeOOH in the form of thick plates perpendicular to the direction of growth [29]. The chemical composition maps of the main elements (Fe, O, and Cr) in the superficial patina of the S355J2WP(MS) are given in Figure 13. In both samples, it is clearly visible that Cr enrichment occurs in the patina layer in comparison with the substrate. This phenomenon is clearly revealed by the concentration profiles given in Figure 14 along the thickness of the plate, from the rust layer towards the substrate (bleu arow), where higher Cr concentrations are observed within certain patina layers. Furthermore, higher Cr content is observed close to the substrate/patina interface. In addition, as shown by the EDS profiles in Figure 13, the oxygen content is obviously increased in the patina layer.
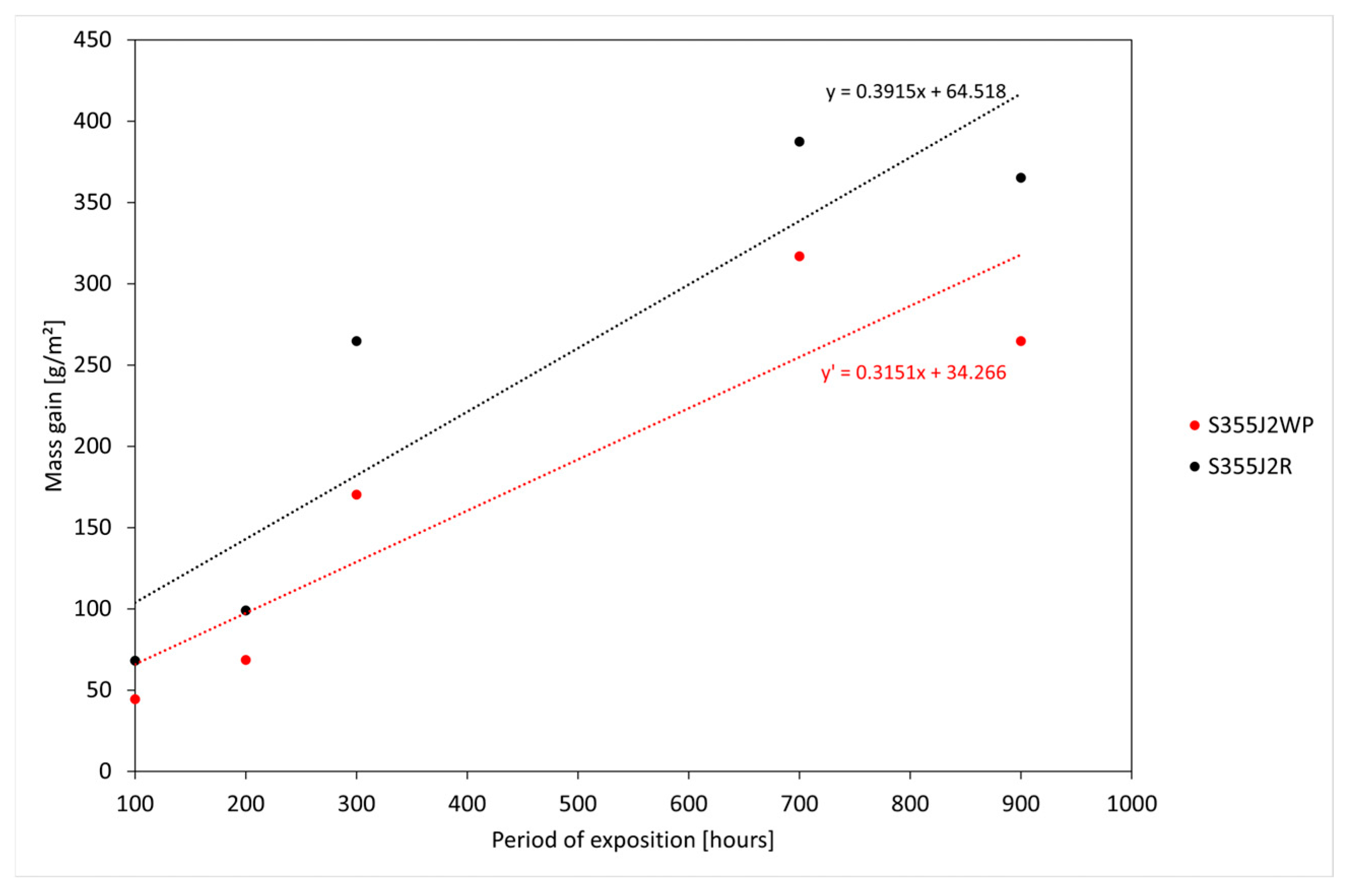
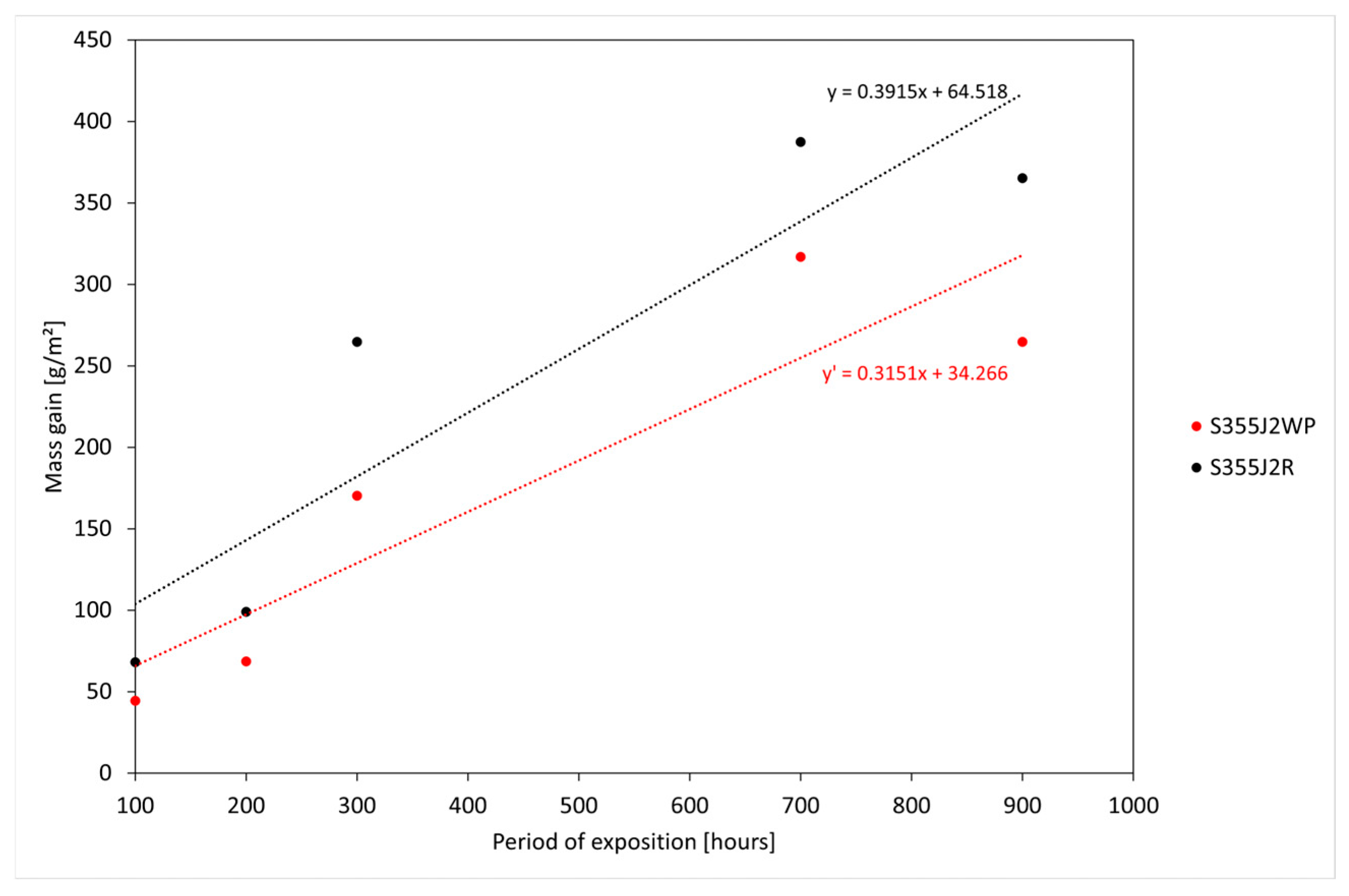
The mass gain evolution was evaluated before and after cleaning of the samples (see Figure 15). One can notice a slight decrease in mass gain corresponding to the S355J2WP(MS) samples compared to S355J2R, with a reduction of up to 27% according to the trends reported in Figure 15b. In addition, there was a decrease of 20% in the corrosion rate ( k r = 0.8 ) of S335J2WP(MS), as can be seen in Figure 16, which is consistent with results reported elsewhere [30].
As for the qualitative improvement of the patina, an increase in the density of the patina layer was observed. While the patina formed on S355J2R samples was fragile and powder-like after a certain period of dry exposition, the one formed on S355JWP(MS) sustained good adhesion resistance.
It is also worth noting that the beneficial effect of Cr and P on weathering steel patina formation is known to saturate beyond specific composition ranges. Exposure and rust chemistry studies show that Cr improves corrosion resistance mainly up to ~1.0 wt.%, while P saturates at ~0.10–0.12 wt.%, with no further improvement beyond ~0.15 wt.%. Long-term exposure data confirm that optimal patina performance is achieved through balanced Cr (≈0.5–0.7 wt.%) and P (≈0.07–0.10 wt.%) additions, beyond which corrosion rates no longer decrease [14,15,31].

4. Conclusions

The present study is a proof of concept for upgrading a refining process within a steelmaking plant to be able to produce a weathering steel via the Thermo-Calc® TCOX11 database and its EERZ-based Process Metallurgy Module. Herein, two tap-to-tap LF schedules were developed through the staged addition of Fe-Cr- and Fe-P-ferroalloys. The accuracy of the calculations was tested through analyzing errors related to the input parameters. As a result, it has been observed that steel density and the mass transfer coefficient within the liquid steel phase induced the highest inaccuracy of 7.5% when varied by 10%, whereas slag density and the related mass transfer coefficient had values of 4.5% and 4.8%, respectively. The steel-to-slag transfer rate had the lowest impact on the accuracy of calculations.
It has been predicted via simulation that slag oxides decrease over the LF cycle, in particular SiO2 which is offset by an increase in Si (wt.%) within the liquid steel. The FeO level was low enough for optimal desulphurization, as higher FeO could affect this ability.
The simulation of desulphurization conditions included basicity prediction, which ranged between 2.3 and 3.4 and was high enough to ensure that S reaches 0.007 wt.% from a starting point of 0.026 wt.% in the liquid steel. This decrease was offset by an increase to 1.15 wt.% in the slag phase. The reported measurements from in situ samplings agreed with these calculations; in fact, following the desulfurization process, the sulfur content in the liquid steel decreased from 0.0216 wt.% to 0.0068 wt.% at the tundish stage.
Furthermore, the simulated process schedules were validated at the industrial scale through two heats totaling 261.87 tonnes of steel. Good agreement was found between predicted and measured compositions at the outlet of the ladle refining unit, for C, Cr, and P.
The produced S355J2WP(MS) was evaluated through experimental trials using an accelerated salt spray test conducted for a total of 1000 h with respect to ASTM B117/ISO 9227 [18]. SEM and EDS investigations confirmed, as predicted, the formation of a protective layer. Through EDS analysis, one can clearly notice the presence of clusters and layers rich in Cr along the patina layer, which was much higher closer to the patina/substrate interface.
An improvement in corrosion resistance was observed through a 27% decrease in mass gain for S355J2WP(MS) samples compared with S355J2R. In addition, there was a 20% decrease in corrosion rate for S355J2WP(MS) samples, attributed to the patina layer formed during the salt spray test; this layer showed enhanced density and sustained good cohesion compared with that formed on S355J2R samples.

Author Contributions

Conceptualization, J.J. and Y.S.; methodology, J.J. and Y.S.; software, R.A. and Z.S.; validation, J.J., S.B.S., Y.S. and R.A.; formal analysis, J.J., Y.S. and R.A.; investigation, J.J., S.B.S., R.A., Z.S., I.B., A.L., A.J. and H.A.; resources, J.J.; data curation, J.J., S.B.S., R.A., Z.S., I.B., A.L., A.J. and H.A.; writing—original draft preparation, R.A.; writing—review and editing, J.J., Y.S. and S.B.S.; supervision, J.J., Y.S. and S.B.S.; project administration, J.J., Y.S. and S.B.S.; funding acquisition, J.J., All authors have read and agreed to the published version of the manuscript.

Funding

This research is jointly supported by the Mohammed VI Polytechnic University (UM6P) and Maghreb Steel (grant number ARC-metallurgy AS-001).

Data Availability Statement

The data presented in this study are available on request from the corresponding authors. (Due to industrial secrecy, the data are not publicly released. However, they can be shared upon specific request).

Acknowledgments

The authors would like to thank Alan Aza Castro, Erick Ribeiro De Faria, and Danilo Guzela from CBMM for their onsite support. Special thanks to Doug Stalheim, DGS Metallurgical Solutions, Inc. (USA), for his strong support during all industrial trials. Finally, the authors would like to thank Brahim Boubeker for sharing his industrial expertise and Guillaume Ah-lung for his experimental support with the salt spray tests.

Conflicts of Interest

Authors Sanae Baki Senhaji, Ilham Benaouda, Amine Lyass, Ahmed Jibo, and Hamza Azzaoui are employed by the company Maghreb Steel and Accelerated Research Center for Metallurgy (ARC Metallurgy–Maghreb Steel Site). The remaining authors declare that the research was conducted in the absence of any commercial or financial relationships that could be construed as potential conflicts of interest. In addition, the authors declare that this study received funding from Maghreb Steel. The funder was not involved in the study design, collection, analysis, interpretation of data, writing of this article, or the decision to submit it for publication.

Abbreviations

The following abbreviations are used in this manuscript:
LFLadle Furnace
ICMEIntegrated Computational Materials Engineering
EERZEffective Equilibrium Reaction Zone
PMMProcess Metallurgy Module
SEMScanning Electron Microcopy
EDSEnergy-Dispersive X-Ray Spectroscopy
EAFElectric Arc Furnace

References

  1. Shamsuddin, M. Physical Chemistry of Metallurgical Processes, 2nd ed.; Springer Nature: Berlin/Heidelberg, Germany; Wiley: Hoboken, NJ, USA, 2021. [Google Scholar]
  2. Yuasa, G.; Yajima, T.; Ukai, A.; Ozawa, M. Refining Practice and Application of the Ladle Furnace (LF) Process in Japan. Trans. Iron Steel Inst. Jpn. 1984, 24, 412–418. [Google Scholar] [CrossRef]
  3. Ahindra, G. Secondary Steelmaking: Principles and Applications, 1st ed.; CRC Press: Boca Raton, FL, USA, 2000. [Google Scholar]
  4. Kaufman, L. Proceeding for the Fourth CALPHAD Meeting Workshop on Computer-Based Coupling of Thermochemical and Phase Diagram at the National Bureau of Standards; ManLabs, Inc.: Cambridge, MA, USA, 1975. [Google Scholar]
  5. Wang, W.Y.; Li, J.; Liu, W.; Liu, Z.-K. Integrated Computational Materials Engineering for Advanced Materials: A Brief Review. Comput. Mater. Sci. 2019, 158, 42–48. [Google Scholar] [CrossRef]
  6. Allison, J.; Backman, D.; Christodoulou, L. Integrated Computational Materials Engineering: A New Paradigm for the Global Materials Profession. JOM 2006, 58, 25–27. [Google Scholar] [CrossRef]
  7. Olson, G.B.; Kuehmann, C.J. Materials Genomics: From CALPHAD to Flight. Scr. Mater. 2014, 70, 25–30. [Google Scholar] [CrossRef]
  8. Van Ende, M.-A.; Jung, I.-H. A Kinetic Ladle Furnace Process Simulation Model: Effective Equilibrium Reaction Zone Model Using FactSage Macro Processing. Met. Mater. Trans. B 2017, 48, 28–36. [Google Scholar] [CrossRef]
  9. Graham, K.J.; Irons, G.A. Toward integrated ladle metallurgy control. Iron Steel Technol. 2009, 6, 164–173. [Google Scholar]
  10. Thermo-Calc Software AB. Documentation Set, Råsundavägen 18, SE-169 67 Solna, Sweden. Available online: https://thermocalc.com/ (accessed on 21 February 2022).
  11. TCOX11: TCS Metal Oxide Solutions Database, Database Owner: Thermo-Calc Software AB. Stockholm: TCAB. 2022. Available online: https://thermocalc.com/ (accessed on 21 February 2022).
  12. Smith, G. Steels Fit for the Countryside. New Sci. 1971, 211–213. [Google Scholar]
  13. ArcelorMittal Europe. Indaten® and Arcorox® Self-Protecting Steels with Raw Aesthetic. Brochure. Available online: https://arcelormittal.com/industry (accessed on 17 May 2024).
  14. Morcillo, M.; Díaz, I.; Chico, B.; Cano, H.; De La Fuente, D. Weathering Steels: From Empirical Development to Scientific Design. A Review. Corros. Sci. 2014, 83, 6–31. [Google Scholar] [CrossRef]
  15. Yamashita, M.; Miyuki, H.; Matsuda, Y.; Nagano, H.; Misawa, T. The Long Term Growth of the Protective Rust Layer Formed on Weathering Steel by Atmospheric Corrosion during a Quarter of a Century. Corros. Sci. 1994, 36, 283–299. [Google Scholar] [CrossRef]
  16. Yamashita, M.; Uchida, H. Recent Research and Development in Solving Atmospheric Corrosion Problems of Steel Industries in Japan. In Industrial Applications of the Mössbauer Effect; Cook, D.C., Hoy, G.R., Eds.; Springer: Dordrecht, The Netherlands, 2002; pp. 153–166. [Google Scholar] [CrossRef]
  17. Chen, Z.; Yu, Q.; Zhao, L.; Zhang, C.; Gu, M.; Wang, Q.; Wang, G. Insight into the Role of Si on Corrosion Resistance of Weathering Steel in a Simulated Industrial Atmosphere. J. Mater. Res. Technol. 2023, 26, 487–503. [Google Scholar] [CrossRef]
  18. ASTM B117-19; Standard Practice for Operating Salt Spray (Fog) Apparatus. ASTM International: West Conshohocken, PA, USA, 2019.
  19. ISO 9227:2022; Corrosion Tests in Artificial Atmospheres—Salt Spray Tests. International Organization for Standardization: Geneva, Switzerland, 2022.
  20. MASTEEL (Worldwide Steel Solutions). Weathering Steel. Available online: https://masteel.co.uk/products/weathering-steel/ (accessed on 16 May 2024).
  21. EN 10025-5:2019; Hot Rolled Products of Structural Steels—Part 5: Technical Delivery Conditions for Structural Steels with Improved Atmospheric Corrosion Resistance. CEN: Brussels, Belgium, 2019.
  22. TCAB. SLAG2-IRSID Database; TCAB: Stockholm, Sweden, 2000. [Google Scholar]
  23. TCAB. SLAG3 Database; TCAB: Stockholm, Sweden, 2012. [Google Scholar]
  24. Conejo, A.N. Physical and Mathematical Modelling of Mass Transfer in Ladles due to Bottom Gas Stirring: A Review. Processes 2020, 8, 750. [Google Scholar] [CrossRef]
  25. Asai, S.; Kawachi, M.; Muchi, I. Proceedings Scaninject III; Part I; MEFOS: Lulea, Sweden, 1983; p. 12. [Google Scholar]
  26. Paul Mason, A.; Grundy, N.; Rettig, R.; Kjellqvist, L.; Jeppsson, J.; Bratberg, J. The Application of an Effective Equilibrium Reaction Zone Model Based on CALPHAD Thermodynamics to Steel Making. In 11th International Symposium on High-Temperature Metallurgical Processing; The Minerals Metals & Materials Series; Springer Nature: Berlin/Heidelberg, Germany, 2020. [Google Scholar]
  27. Yu, H.; Wang, X.; Wang, M.; Wang, W. Desulfurization Ability of Refining Slag with Medium Basicity. Int. J. Min. Met. Mater 2014, 21, 1160–1166. [Google Scholar] [CrossRef]
  28. Conejo, A.N.; Lara, F.R.; Macias-Hernández, M.; Morales, R.D. Kinetic Model of Steel Refining in a Ladle Furnace. Steel Res. Int. 2007, 78, 141–150. [Google Scholar] [CrossRef]
  29. Raman, A.; Nasrazadani, S.; Sharma, L. Morphology of Rust Phases Formed on Weathering Steels in Various Laboratory Corrosion Tests. Metallography 1989, 22, 79–96. [Google Scholar] [CrossRef]
  30. Hu, Q.; Yang, S.; Zhang, X.; Da, G.; Zhang, W. Accelerating stabilization of weathering steel through rust modification pre-corrosion treatment. Heliyon 2024, 10, e23842. [Google Scholar] [CrossRef] [PubMed]
  31. Misawa, T.; Asami, K.; Hashimoto, K.; Shimodaira, S. The Mechanism of Atmospheric Rusting and the Protective Amorphous Rust on Low Alloy Steel. Corros. Sci. 1974, 14, 279–289. [Google Scholar] [CrossRef]
Figure 1. (a) Cross-section SEM image; and (b) its corresponding EDS maps of a commercial S355J2WP weathering steel sample subjected to a 1000 h salt spray test. (The dot line separates substrate and rust layer).
Figure 1. (a) Cross-section SEM image; and (b) its corresponding EDS maps of a commercial S355J2WP weathering steel sample subjected to a 1000 h salt spray test. (The dot line separates substrate and rust layer).
Metals 16 00114 g001
Figure 2. EDS profile of the Cr content along the cross-section of a weathering steel subjected to a 1000 h salt spray test.
Figure 2. EDS profile of the Cr content along the cross-section of a weathering steel subjected to a 1000 h salt spray test.
Metals 16 00114 g002
Figure 3. The EERZ applied on the ladle refining process in the case of the liquid steel/slag reactions.
Figure 3. The EERZ applied on the ladle refining process in the case of the liquid steel/slag reactions.
Metals 16 00114 g003
Figure 4. Flow chart of the iterative EERZ-based kinetics at the liquid steel/slag interface.
Figure 4. Flow chart of the iterative EERZ-based kinetics at the liquid steel/slag interface.
Metals 16 00114 g004
Figure 5. (a) Onsite produced plate of the grade S355J2WP following the simulated schedule. (b) As-received plates of the S355J2WP and S355J2R for salt spray test evaluation. (c) Disposition of the plates inside the salt spray ASCOTT Analytical iS chamber series, with the reference grade S355J2R on the left (blue labels) and the produced grade S355J2WP on the right (red labels). (d) Tested plates removed from the salt spray test chamber after every 100 h.
Figure 5. (a) Onsite produced plate of the grade S355J2WP following the simulated schedule. (b) As-received plates of the S355J2WP and S355J2R for salt spray test evaluation. (c) Disposition of the plates inside the salt spray ASCOTT Analytical iS chamber series, with the reference grade S355J2R on the left (blue labels) and the produced grade S355J2WP on the right (red labels). (d) Tested plates removed from the salt spray test chamber after every 100 h.
Metals 16 00114 g005
Figure 6. Errors [%] reported in each alloying element through sensitivity analysis of input kinetic parameters due to deviations in (a) steel density, (b) slag density, (c) mass transfer coefficient in the steel phase, (d) mass transfer coefficient in the slag phase, and (e) steel-to-slag transfer rate.
Figure 6. Errors [%] reported in each alloying element through sensitivity analysis of input kinetic parameters due to deviations in (a) steel density, (b) slag density, (c) mass transfer coefficient in the steel phase, (d) mass transfer coefficient in the slag phase, and (e) steel-to-slag transfer rate.
Metals 16 00114 g006
Figure 7. Simulated composition evolution throughout the LF process (a) in liquid steel (selected elements: Mn, Mg, Ca, Si, Al); and (b) in the slag phase of oxides (selected elements: FeO, Al2O3, MnO, Si2O).
Figure 7. Simulated composition evolution throughout the LF process (a) in liquid steel (selected elements: Mn, Mg, Ca, Si, Al); and (b) in the slag phase of oxides (selected elements: FeO, Al2O3, MnO, Si2O).
Metals 16 00114 g007
Figure 8. Predicted basicity of the slag throughout the simulated LF schedule.
Figure 8. Predicted basicity of the slag throughout the simulated LF schedule.
Metals 16 00114 g008
Figure 9. Predicted evolution of S content (wt.%) in both phases: liquid steel (blue) slag (red).
Figure 9. Predicted evolution of S content (wt.%) in both phases: liquid steel (blue) slag (red).
Metals 16 00114 g009
Figure 10. Predicted evolution of liquid steel temperature of the simulated LF schedule with Fe-Cr additions to produce the transition grade S355J2W (S355WT3 w.r.t. standard).
Figure 10. Predicted evolution of liquid steel temperature of the simulated LF schedule with Fe-Cr additions to produce the transition grade S355J2W (S355WT3 w.r.t. standard).
Metals 16 00114 g010
Figure 11. Predicted evolution of liquid steel temperature throughout the simulated LF with combined Fe-Cr and Fe-P additions to produce the targeted S355J2WP (S355WT5 w.r.t. standard).
Figure 11. Predicted evolution of liquid steel temperature throughout the simulated LF with combined Fe-Cr and Fe-P additions to produce the targeted S355J2WP (S355WT5 w.r.t. standard).
Metals 16 00114 g011
Figure 12. SEM observation of the corroded surface of the S355J2WP(MS) sample after a 400 h accelerated salt spray test (ASTM B117/ISO 9227 [18]).
Figure 12. SEM observation of the corroded surface of the S355J2WP(MS) sample after a 400 h accelerated salt spray test (ASTM B117/ISO 9227 [18]).
Metals 16 00114 g012
Figure 13. EDS maps of O, Fe, and Cr through the thickness of corroded samples of the produced S355J2WP subjected to a 1000 h salt spray test (ASTM B117/ISO 9227 [18]).
Figure 13. EDS maps of O, Fe, and Cr through the thickness of corroded samples of the produced S355J2WP subjected to a 1000 h salt spray test (ASTM B117/ISO 9227 [18]).
Metals 16 00114 g013
Figure 14. EDS concentration profiles of O, Fe, and Cr along the cross-section of the S355J2WP sample subjected to a 1000 h salt spray test (ASTM B117/ISO 9227 [18]).
Figure 14. EDS concentration profiles of O, Fe, and Cr along the cross-section of the S355J2WP sample subjected to a 1000 h salt spray test (ASTM B117/ISO 9227 [18]).
Metals 16 00114 g014
Figure 15. Evaluation of the mass gain [g/m2] throughout the accelerated salt spray test for both grades S355J2WP(MS) and SE55J2R: (a) before cleaning, (b) after cleaning.
Figure 15. Evaluation of the mass gain [g/m2] throughout the accelerated salt spray test for both grades S355J2WP(MS) and SE55J2R: (a) before cleaning, (b) after cleaning.
Metals 16 00114 g015
Figure 16. Corrosion mass gain results and fitting lines of mass gain rates following salt spray tests.
Figure 16. Corrosion mass gain results and fitting lines of mass gain rates following salt spray tests.
Metals 16 00114 g016
Table 2. Used setups of input kinetics parameters to simulate their impact of variation on the final chemical elements’ contents in liquid steel.
Table 2. Used setups of input kinetics parameters to simulate their impact of variation on the final chemical elements’ contents in liquid steel.
Input Variables
Configuration
Liquid Steel DensitySlag DensityMass Transfer Coefficient (Steel)Mass Transfer Coefficients (Slag)Steel-to-Slag Oxides Transfer Rate
Reference ρ 0 s t e e l ρ 0 s l a g k 0 s t e e l k 0 s l a g   k s t e e l s l a g
#1 10 %     ρ 0 s t e e l ρ 0 s l a g k 0 s t e e l k 0 s l a g   k s t e e l s l a g
#2 ρ 0 s t e e l 10 %   ρ 0 s l a g k 0 s t e e l k 0 s l a g   k s t e e l s l a g
#3 ρ 0 s t e e l ρ 0 s l a g 10 %   k 0 s t e e l k 0 s l a g   k s t e e l s l a g
#4 ρ 0 s t e e l ρ 0 s l a g k 0 s t e e l 10 %   k 0 s l a g   k s t e e l s l a g
#5 ρ 0 s t e e l ρ 0 s l a g k 0 s t e e l k 0 s l a g 10 %     k s t e e l s l a g
Table 3. Targeted weathering steel composition in wt.% with respect to EN 10025-5 standards.
Table 3. Targeted weathering steel composition in wt.% with respect to EN 10025-5 standards.
CMnSiAlPSCrCu
S355WT3Min0.100.60-0.03--0.450.25
Max0.120.800.04-0.030.0300.500.35
S355WT4-5Min0.100.60-0.030.06-0.450.25
Max0.120.80--0.080.0300.550.35
Table 4. Main elements impacted by variations in the input kinetics parameters.
Table 4. Main elements impacted by variations in the input kinetics parameters.
Maximum Error [%] Most Impacted Elements (>70%)
Liquid steel density7.5S, Zr, C
Slag density4.5V, Ti, Mg, P, Si
Mass transfer coefficients (Steel)7.5S, Zr, C
Mass transfer coefficients (Slag)4.8Ti, V, Mg, P, Si
Steel-to-slag oxides transfer rate0.4S, N, Zr, Ca
Table 5. Input settings for Thermo-Calc® refining simulations.
Table 5. Input settings for Thermo-Calc® refining simulations.
The Initial Liquid Steel Composition (wt.%)
CMnPAlSSiNCuTiCrNiMoV
0.120.300.0020.1320.0260.0360.0050.2690.0010.310.1130.0710.002
The Initial Slag Composition (wt.%)
CaOAl2O3SiO2MgOMnOFeOP2O5
45151070.51.02.5
Kinetics Parameters
ρ 0 s t e e l [kg/m3] ρ 0 s l a g [kg/m3] k s t e e l 10−4 [m/s] k s l a g 10−5 [m/s]   k s t e e l s l a g [%/min]
7000270094.73
Tapping Conditions Before LF
Temperature [°C]O2 ppm Before TappingO2 ppm After Tapping
1640650–8003
Table 6. Final composition in wt.% at the end of the simulated LF schedule vs. the S355WT3 target composition for producing the S355J2W transition grade.
Table 6. Final composition in wt.% at the end of the simulated LF schedule vs. the S355WT3 target composition for producing the S355J2W transition grade.
CSiMnPSAlCrCu
Predicted0.120.0970.530.00160.0070.140.490.27
S355J2W (S355WT3)Min0.10 0.60--0.030.450.25
Max0.120.0400.800.03000.030-0.500.35
Table 7. Simulated LF schedule for combined Fe-Cr and Fe-P additions to produce S355J2WP with respect to S355WT5 standard.
Table 7. Simulated LF schedule for combined Fe-Cr and Fe-P additions to produce S355J2WP with respect to S355WT5 standard.
Time [min]0.015.030.040.045.050.060.0
Liquid steelT120.0
Slag T2.0
Gas (argon) Normal m3/min0.30.30.20.20.10.20.2
Fe-Crkg 140.0142.0
CaOkg140.0 140.0
CaAlkg70.0
Fe-Mnkg 50.0 161.0
Fe-Pkg 200.0178.0
EnergyMW10.010.010.010.00.06.06.0
Table 8. Predicted and measured final wt.%C, wt.%P, and wt.%Cr at the outlet of LF to produce the targeted grade S355J2WP.
Table 8. Predicted and measured final wt.%C, wt.%P, and wt.%Cr at the outlet of LF to produce the targeted grade S355J2WP.
CPCr
Predicted0.120.0630.490
In situ measurement (1)WT40.100.0690.491
In situ measurement (2)WT50.110.0760.542
Table 9. Composition in wt.% of the produced plates of S355J2WP and the reference grade S355J2R.
Table 9. Composition in wt.% of the produced plates of S355J2WP and the reference grade S355J2R.
CMnSiCrCuPFe
S355J2WP(MS)0.0970.6950.0310.500.330.06998.27
S355J2R0.1551.2300.1900.030.140.01098.24
Disclaimer/Publisher’s Note: The statements, opinions and data contained in all publications are solely those of the individual author(s) and contributor(s) and not of MDPI and/or the editor(s). MDPI and/or the editor(s) disclaim responsibility for any injury to people or property resulting from any ideas, methods, instructions or products referred to in the content.

Share and Cite

MDPI and ACS Style

Archa, R.; Sahir, Z.; Benaouda, I.; Lyass, A.; Jibou, A.; Azzaoui, H.; Senhaji, S.B.; Samih, Y.; Jacquemin, J. EERZ-Based Kinetic Modeling of Ladle Furnace Refining Pathways for Producing Weathering Steels Using CALPHAD TCOX Databases. Metals 2026, 16, 114. https://doi.org/10.3390/met16010114

AMA Style

Archa R, Sahir Z, Benaouda I, Lyass A, Jibou A, Azzaoui H, Senhaji SB, Samih Y, Jacquemin J. EERZ-Based Kinetic Modeling of Ladle Furnace Refining Pathways for Producing Weathering Steels Using CALPHAD TCOX Databases. Metals. 2026; 16(1):114. https://doi.org/10.3390/met16010114

Chicago/Turabian Style

Archa, Reda, Zakaria Sahir, Ilham Benaouda, Amine Lyass, Ahmed Jibou, Hamza Azzaoui, Sanae Baki Senhaji, Youssef Samih, and Johan Jacquemin. 2026. "EERZ-Based Kinetic Modeling of Ladle Furnace Refining Pathways for Producing Weathering Steels Using CALPHAD TCOX Databases" Metals 16, no. 1: 114. https://doi.org/10.3390/met16010114

APA Style

Archa, R., Sahir, Z., Benaouda, I., Lyass, A., Jibou, A., Azzaoui, H., Senhaji, S. B., Samih, Y., & Jacquemin, J. (2026). EERZ-Based Kinetic Modeling of Ladle Furnace Refining Pathways for Producing Weathering Steels Using CALPHAD TCOX Databases. Metals, 16(1), 114. https://doi.org/10.3390/met16010114

Note that from the first issue of 2016, this journal uses article numbers instead of page numbers. See further details here.

Article Metrics

Article metric data becomes available approximately 24 hours after publication online.
Back to TopTop