Next Article in Journal
Soft Magnetic Nanocrystalline FeSiBCuCa Alloys with High Electric Resistivity
Previous Article in Journal
Enhancement of the Wear Properties of Tool Steels Through Gas Nitriding and S-Phase Coatings
 
 
Font Type:
Arial Georgia Verdana
Font Size:
Aa Aa Aa
Line Spacing:
Column Width:
Background:
Article

LPBF Parameter Optimization of Mechanical, Non-Thermal Generated C71500 Powder

Naval Postgraduate School, 1 University Circle, Monterey, CA 93943, USA
*
Author to whom correspondence should be addressed.
Metals 2026, 16(1), 10; https://doi.org/10.3390/met16010010 (registering DOI)
Submission received: 26 November 2025 / Revised: 12 December 2025 / Accepted: 18 December 2025 / Published: 21 December 2025
(This article belongs to the Section Additive Manufacturing)

Abstract

This work investigates the optimization of Laser Powder Bed Fusion (LPBF) parameters for the C71500 copper-nickel alloy using mechanically produced, non-thermally generated powder. Utilization of this powder presents a more sustainable powder generation method through significant reduction in energy usage and CO2 emissions and a large array of alloys to be utilized within LPBF. A comprehensive design of experiments (DOE), with varying laser power and scan speed, was employed to construct a process performance map, which was subsequently refined using machine learning algorithms. Specimens fabricated under optimized conditions exhibited high dimensional fidelity, low surface roughness and porosity, and achieved relatively dense specimens. Mechanical testing confirmed that the optimized parameter sets exceeded standard wrought alloy values for ultimate tensile strength and yield strength, with almost meeting standard cast alloy values demonstrating feasibility of implementing common bar stock alloys in LPBF applications. The observed variability in tensile properties was attributed to inefficient laser parameters requiring further optimization. Future efforts will focus on repeating the optimization using quality powder controls and further refining tensile performance within the high-density region of the parameter space.

1. Introduction

Metal powder-based additive manufacturing (AM) is rapidly evolving, enabling the production of complex geometries beyond traditional design limits. Laser Powder Bed Fusion (LPBF) is a leading AM technique due to its precision and cost-effectiveness. It builds parts layer by layer by melting thin layers of metal powder with a high-energy laser. Print quality in LPBF depends on several interrelated factors, including material type, powder characteristics, layer thickness, laser power, scanning speed, and strategy. Improper settings can lead to defects such as keyholes, balling, and poor layer adhesion, as seen in Figure 1 [1].
Material properties—especially reflectivity—also affect laser absorption as seen in Figure 2. Metals like copper and aluminum, which reflect laser energy at the common 1070 nm wavelength, require careful parameter tuning to avoid voids and weak welds. Optimizing energy density—through linear, surface, or volumetric methods—is essential, but must be complemented by considerations like scanning strategy and thermal conductivity to ensure strong, defect-free components [1].
Powder quality plays a critical role in the performance of parts produced via LPBF. Irregularly shaped or sized granules hinder optimal bed packing, increasing the likelihood of voids and inclusions. Oxidized powders further compromise interlayer adhesion, weakening the final structure. Spherical particles are preferred for their ability to form uniform powder beds, while excessively large granules degrade surface finish and overly fine powders reduce flowability during spreading. Atomization is a common method for producing metal powders, where molten metal is forced through a nozzle and solidified. Gas atomization uses inert gas to prevent oxidation and requires less post-processing than water atomization, which involves cooling in a water reservoir. However, both methods yield broad particle size distributions and may introduce internal defects such as porosity, necessitating further sieving [1].
An emerging alternative that generates powder via mechanical, non-thermal methods called DirectPowder™ by Metal Powder Works Limited (Clinton, Pennsylvania, USA), produces powder from metal bar stock at room temperature using a lathe-like cutter [2]. As seen in Figure 3, this technique preserves the original material properties and produces powders ranging from 20 μ m to 63 μ m with minimal waste. It also enables manufacturers to maintain the same chemistry of the input bar stock [3].
Optimization of LPBF parameters primarily has been accomplished through either iteration or machine learning (ML) methods by beginning with a design of experiments (DOE) that varies two or more key machine parameters. There also has been work to develop numerical models to predict parameter performance based on heat transfer and material theory; however, it was demonstrated that too many variables exist combined with a large variance machines on market to develop a standard set of predictive processes [4,5,6,7].
Machine learning has been successfully utilized in conjunction with the data obtained from various DOE’s to predict successful print parameters. Parameter optimization through ML has been accomplished for various materials such as nickel, inconel, titanium, and aluminum alloys. Machine learning techniques utilized by these studies included response surface regressions, multi-objective genetic algorithm optimization, deep neural networks, and Gaussian Process Regression [8,9,10,11]. Iterative processes have also been shown to effectively optimize a specific material in the LPBF process. Using a series of DOE’s to hone in on an optimal performance region, researchers have successfully demonstrated manufacturability for various Inconel alloys [12,13].
The aim of this paper is to utilize an ML optimization method for LPBF on mechanical, non-thermally generated C71500 powder utilized in naval applications. This powder generation process has enabled other alloys than traditional casted versions, such as C96400, to be explored and utilized. This generation method also significantly reduces energy consumption as well as CO2 emissions, presenting a more sustainable future for metal powders within metal additive manufacturing. Previous research into copper-nickel alloys has consisted of primarily utilizing the casted alloy C96400 in gas-atomized powder form and has demonstrated the alloys high reflectivity through elevated volumetric energy densities ranging from 150 J/mm3 to 880 J/mm3 [14,15,16]. A separate research team utilizing a particular proprietary powder reported lower results from 30 J/mm3 to 93 J/mm3 [17]. This study seeks to demonstrate low reflectivity and high productivity of mechanical, non-thermally generated powders while maintaining exceptional material properties as produced from the LPBF process.

2. Materials and Methods

The overall approach and methodology for this research can be found in Figure 4. Rosenthal’s equation for a moving heat source was utilized to assist in DOE selection. The Rosenthal equation addresses the moving heat source problem by offering an analytical solution based on several simplifying assumptions: (1) conduction is only considered, (2) thermal properties remain constant, (3) build-plate thickness is semi-infinite, (4) heat source is treated as a point source, and (5) steady-state solution [18]. Rosenthal’s equation is as follows:
T ( R ) = T 0 + A P 2 π k R exp v ( R x ) 2 α ,
where T ( R ) is the temperature at point of interest from the origin T 0 is the initial (ambient) temperature, P is the power of the heat source, A is the absorptivity of the material, k is the thermal conductivity of the material, R = x 2 + y 2 + z 2 is the distance from the heat source, v is the velocity of the moving heat source (raster speed of the laser), α is the thermal diffusivity, and x = x v t is the moving coordinate. The R utilized for the edge of the meltpool was determined geometrically by assuming a semi-circle cross section to ensure successive passes in adjacent layers to not leave a void of unmelted powder, as seen in Figure 5.
Volumetric energy density (VED) is also a common metric utilized in experimentation of LPBF parameter optimization, and is defined as follows:
V E D = Q t · h · v ,
where Q is the laser power in Watts, t is the layer thickness in mm, h is the hatch spacing in mm, and v is the raster speed of the laser in mm.
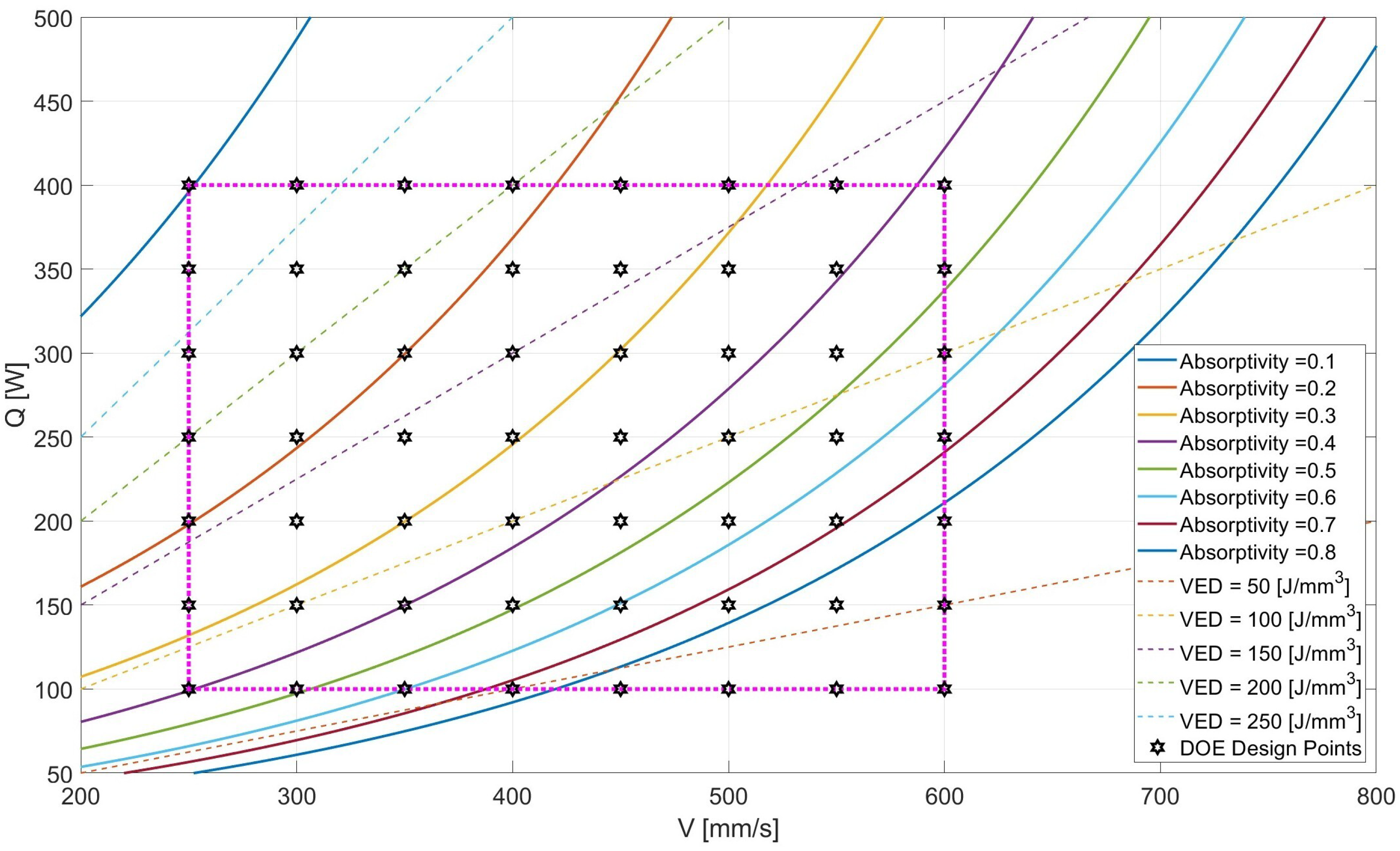
Material properties and DOE parameters from Table 1 and Table 2 were utilized in Equations (1) and (2). Curves were developed over a range of raster velocities and absorptivities, as seen in Figure 6. An evenly spaced grid of 56 parameter points was then selected for the DOE by looking at the intersection of the absorptivity and VED curves with anticipation of higher absorptivities based on previous studies with this powder [19]. Even spacing was selected for simplicity, deterministic control, and guaranteed full coverage of all parameter combinations.
Powder morphology was determined using a GranuDrum determining the cohesive index of the powders at various RPM, and particle size distribution determined using laser diffraction. Rectangular prism specimens, at 1 cm × 1 cm × 4 cm, were printed on an EOS M290 1kW LPBF printer utilizing the base parameter file for the EOS CuNi30 powder (Krailling, Germany). Settings for the contour and raster profiles were made identical to simplify overall parameter optimization, leaving only laser power and speed as the only variables modified. Samples were analyzed for dimensionality, surface roughness, density, and porosity. An overall performance metric ranging from 0 to 1 was developed for each analysis to later train the ML model effectively.
Dimensionality was accomplished measuring width and depth of the specimens with a standard set of calipers. Measurements were taken twice in each direction and then averaged, then the two averages were multiplied as an effective average area and compared to the desired area of 100 mm2. The equation for the dimensionality performance metric was as follows:
P d i m = 1 | A a v e 100 | 100 ,
where A a v e is the effective average area previously discussed.
Surface roughness values were obtained utilizing a Mitutoyo® Surftest SJ-210 stylus profilometer (Kawasaki, Japan). Measurements were taken in the vertical direction of the specimen sides as well as the horizontal direction on the top surface as R a value in microns. Three measurements were randomly taken in each direction for a total of six measurements. The three corresponding measurements in each direction were then averaged and compared to an ideal roughness value of 5 μ m as chosen based on the literature, and a worse case value of 55 μ m as chosen based on experimental observation with the profilometer [21]. The equation for the surface roughness performance metric was as follows:
P R a = R a m a x R a a v e R a m a x R a m i n ,
where R a m i n and R a m a x are the ideal and worse case values discussed previously.
Archimedes density determination was utilized to determine relative densities of each specimen utilizing a Sartorius® YDK03 density determination kit on an Entris Analytical Balance (Göttingen, Germany). The standard density utilized for relative density determination was defined as the density listed in Table 1. Archimedes measurements were only conducted once for each specimen, and the density performance metric was defined as follows:
P ρ = ρ s a m p l e ρ s t d ,
where ρ s a m p l e is the density determined from the Archimedes method and ρ s t d is the standard density previously discussed.
Samples were then hot mounted in Struers® MultiFast (Ballerup, Denmark) and then prepared in accordance with the polishing recipe outlined in Table 3.
Polished specimens were then analyzed via a Nikon Epiphot 200 optical microscope (Tokyo, Japan). Three random, representative images were captured across each polished specimen at 20 × magnification. A script was developed within MATLAB® 2024b that automatically filtered the image into a binary image to locate porosity, and then took the ratio of black pixels to total image pixels to calculate porosity. The script then took the average of the three porosities for each specimen and saved the data as an array for further analysis. An example of this image editing can be found in Figure 7. The equation for the porosity performance metric was determined as follows:
P p o r = 1 P a v e ,
where P a v e is the average porosity determined from the previously described script.
The overall performance factor ( P o v ) was then defined as the union of all four analyzed performance metrics to determine the overall best performing parameter set as seen in Equation (7).
P o v = P d i m · P R a · P ρ · P p o r
Based on the limited dataset available and the literature reviewed, a Gaussian Process Regression (GPR) model was selected to train. The dataset obtained from analysis was randomly divided into training ( 90 % ) and testing ( 10 % ) subsets, followed by hyperparameter tuning using a Bayesian Optimization approach, leading to the model parameters presented in Table 4. Using the optimized model, a fine mesh of the parameter space of laser power and speed were applied to the optimized model to find the optimal parameter set.
Utilizing the results from the initial DOE and ML optimization, a second print was conducted to produce tensile bars for strength testing. Both the ML optimized parameter set and the best performing parameter set from the initial DOE were selected for tensile testing. Three bars were printed for each combination, yielding 12 total specimens as follows:
  • Horizontal ML ( × 3 )
  • Vertical ML ( × 3 )
  • Horizontal Experimental ( × 3 )
  • Vertical Experimental ( × 3 )
One specimen from each combination was retained for density and hardness determination. The remaining eight specimens were machined and underwent tensile testing to determine yield strength, ultimate tensile strength, and percent elongation at break.
Manufacturing of the initial DOE yielded 25 failed specimens that had to be removed from the build due to excessive buildup and warping. These specimens were deemed as a failed build and were given a performance value as found in Table 5 so as not to overly bias the training of the GPR model with zero values at these data-points. Values were placed at a sufficient deficit beneath the worse performing analyzed prints, but not at zero to prevent an over-bias in the optimized ML model.
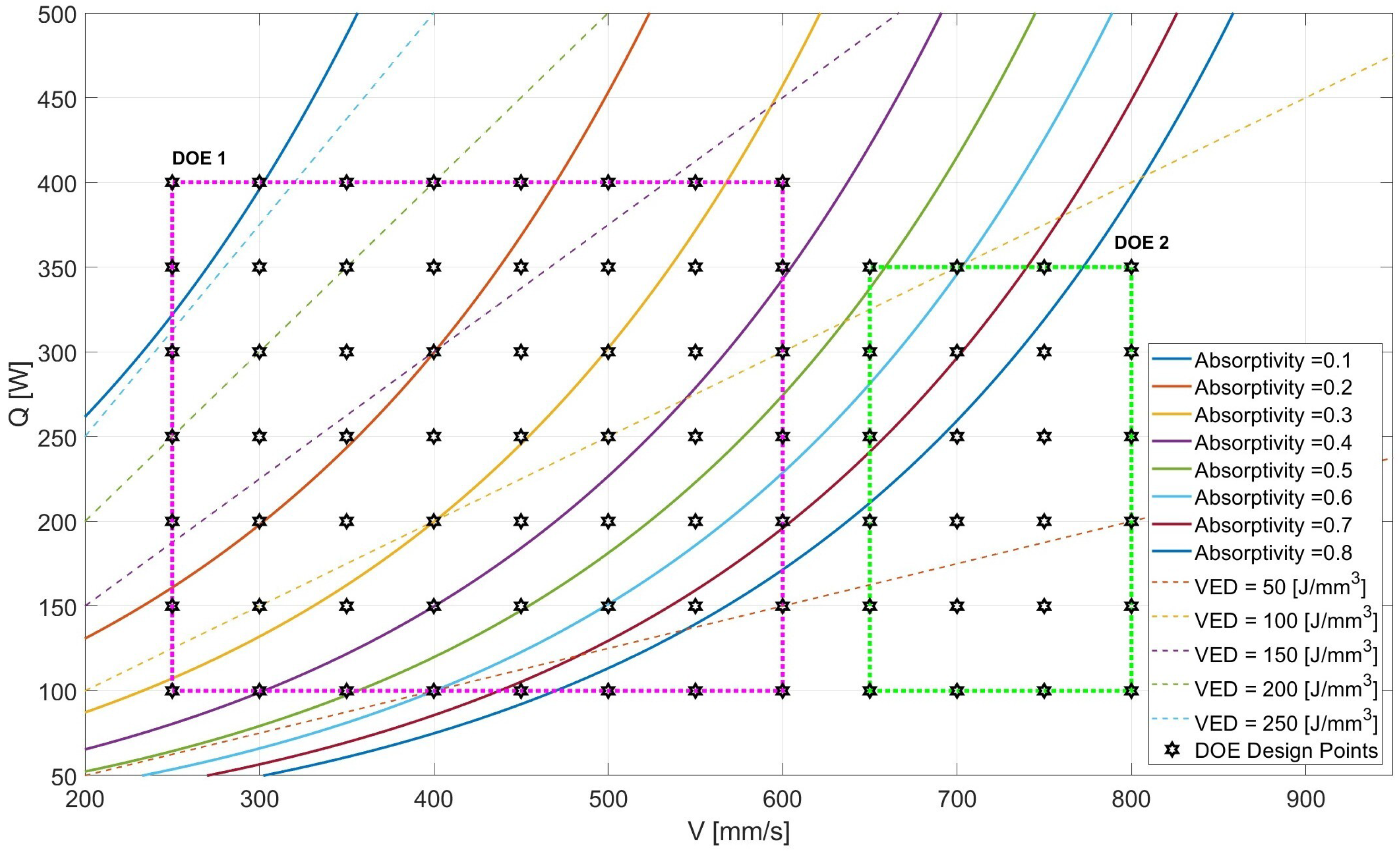
An additional 24 specimens were manufactured at lower VED and higher absorptivities due to the initial failed specimens as seen in Figure 8. These specimens were added to ensure sufficient data was captured for training of the GPR model. The additional 24 specimens underwent the same analysis and performance determination.

3. Results

Powder morphology data measured using GranuDrum methodology and laser diffraction can be found in Table 6. The flowability determined by cohesive indices of the irregularly shaped powder was determined to be comparable to that of gas-atomized powders [22].
The data collected from analysis was developed into a contour plot based on overall performance metric as seen in Figure 9. It can be seen how the higher VED specimens in the upper left of the initial DOE resulted in failed specimens and were not able to be analyzed. The additional 24 specimens allowed for better performance to be captured in the upper right of the DOE. Two sample micrographs corresponding to opposite sides of the performance spectrum are annotated accordingly, demonstrating the difference in porosity and material structure across the DOE. This behavior resembles the theoretical performance behavior as demonstrated in Figure 1. Excessive keyholes and incomplete fusion were observed in micrographs, as seen in the insets of Figure 9, for parameter sets in these regions during the analysis.
Training and optimization of the GPR model demonstrated successful prediction as seen in the performance mapping in Figure 10. The model accurately captures the failure regions in the upper left and lower sections of the DOE, while predicting the high performance region in the upper right hand portion of the DOE.
The overall performing experimental parameter and overall ML parameter sets were obtained and can be found in Table 7. These two specimen sets underwent tensile testing as well as Archimedes density determination as before. The tensile test results as compared to desired tensile metrics for cast copper nickel alloys can be found in Table 8. The nomenclature for each optimized specimen is as follows:
  • EXP for experimental, and ML for machine learning
  • H for horizontal orientation, and V for vertical orientation
  • The 2 or 3 identifies the sample number
As specified in Section 2, the first specimens in each orientation and parameter set were segregated for relative density and micro-hardness determination. Relative densities were greater than 99.8%, and micro-hardness ranged between 165 and 175 HV0.2. These hardness values greatly exceed published values of 100 and 120 for C71500 and C96400 alloys, respectively [23,24]. Results of the optimized experimental and ML specimens met all desired material properties in accordance with ASTM B369/B369M-20 [25] with the exception of a minimum ultimate tensile stress of 413.7 MPa.

4. Discussion

We desired to exceed the cast standard in accordance with ASTM B369/B369M-20 as many LPBF manufactured components are developed to replace their cast predecessors. The tensile results demonstrated the cast standard was met in some cases, with further optimization yet to be performed following this rapid optimization methodology. Furthermore, when comparing the data in Table 8 to the wrought alloy standard ASTM B151/B151M-20 all specimens exceed the ultimate tensile strength (UTS) and yield strength (YS) requirements of 310.3 MPa and 103.4 MPa, respectively [26]. A large variability in tensile properties were observed for specimens consisting of the same laser parameter but only centimeters away from each other on the build plate, indicating inconsistencies within the powder bed and an inefficient parameter set. Additionally, comparison of the vertical and horizontal specimens yielded significant differences that demonstrate the stark impact print orientation has on mechanical properties. This disparity also indicates inefficient laser parameters that require further optimization to reduce this performance gap in future work. A patina was also observed on the specimens in the second build. As seen in Figure 11, the surface patina starkly changed from the first build for the same experimental optimized laser parameters. This patina is contributed to a mature oxide layer formed on the outer surface of the specimen due to inefficient laser parameters. Observation of Figure 9 compared to Figure 1 demonstrates further optimization of the parameter set is required as only a portion of the high performance region was captured by the DOE. The inefficient energy input into the powder bed can lead to the maturation of the oxide layer, excess spatter during the printing process, as well as inconsistencies in material properties as observed during experimentation.
Another possible enhancement to be made to this experimental process would be eliminating possible oxygen pickup during powder handling and recycling. The initial 56 specimens were manufactured out of virgin powder, the second DOE was manufactured out of single recycled powder, and the tensile specimens were manufactured out of twice recycle powder where each recycling process was sieved in a non-inert, atmospheric environment using a RO-TAP sieve shaker.
Studies have demonstrated the effects of recycling powders on mechanical properties. Irregular shaped powders have a higher activity to corrosion due to their increased surface area to volume ratio; recycled powder has also demonstrated an increased activity to corrosion [27]. The development of an increased passive oxide layer on materials such as aluminum, titanium, and copper alloys can lead to increased defects and porosity in the manufactured specimens [28,29,30,31]. Tensile properties are negatively affected due to the presence of increased oxidization in the powder bed [30]. The increase in oxidization within the powder bed can also be observed to increase spatter during the build process [29]. Energy Dispersive X-ray Spectroscopy (EDS) analysis was conducted on an EDAX Octane Elect Plus (Mahwah, NJ, USA) with a 30 mm2 detector window. Analyses were performed on the powder sets used between the first and optimized prints. Results showed a consistent 5 wt% composition of oxygen across all powder sets. This data alone along with the irregular, faceted surfaces of the powder granules is unable to draw any conclusions on increased oxygen pick-up during recycling. Future work should utilize an elemental analyzer implementing a process such as inert gas fusion to determine more accurately the amount of oxidization present between powder sets.
Future work should re-implement this optimization process through careful powder handling and recycling, and relocation of the initial DOE. Further enhancements to the training of the GPR model should additionally be made, such as implementing a cross-validation methodology due to the relatively small size of the obtained data set. Future optimization should also look at the variance of other fixed parameters in this study. This study identified that the initial ML optimization can obtain a dense and dimensionally accurate parameter set with good surface roughness quality ( R a 15 μ m) for the LPBF process. However, once a region of dense specimens are identified, a second DOE distributed across the high performance region should be conducted to optimize the mechanical properties in a similar ML methodology as conducted in this study.
Final parameters developed in this study did demonstrate a much lower VED of about 75 J/mm3 compared to previous literature values that exceeded 150 J/mm3, which indicates enhanced absorptivity of the irregularly shaped powder compared to traditional gas-atomized powders for high reflective materials [14,15,16]. However, observation of the optimized ML and experimental parameters compared to the initial absorptivity curves demonstrated the over-simplified nature of the Rosenthal equation as the developed parameters yield abnormally high absorptivities. Utilizing Rosenthal’s equation to determine DOE placement is limited, and should only be conducted in a qualitative manner.

5. Conclusions

This study aimed to develop an optimized LPBF parameter set for C71500 mechanical, non-thermal generated powder. An expansive DOE varying laser power and scanning speed produced a performance map that was optimized using ML methods. Optimized specimens were observed to be dimensionally accurate, contain low surface roughness and porosity, and exceeded 99.9% relative density. The optimized parameter sets exceeded the UTS and YS standards for the wrought C71500 alloy, and some specimens met the desired tensile standards for the cast C96400 alloy demonstrating capability of utilizing common wrought alloys that are readily available in bar stock to supplement or replace their casted counterparts in LPBF applications. Variability in the tensile results demonstrated inconsistencies in the powder quality as well as inefficient laser parameters during the manufacturing of the test specimens requiring further optimization and enhancement. The methodology utilized contained limitations as many simplifications were made to reduce optimization to a two-dimensional problem. However, the framework implemented demonstrated possible application to multi-variable LPBF optimization with specific process enhancements within the experimental process. Future work looks to repeat the ML optimization with better powder quality controls, as well as performing another ML optimization of the tensile properties within the fully developed region containing dense parameter sets.

Author Contributions

Conceptualization, A.S.; methodology, A.S., W.S. and T.A.; software, A.S.; validation, A.S., W.S. and T.A.; formal analysis, A.S., W.S. and T.A.; investigation, A.S., W.S. and T.A.; resources, A.S., W.S. and T.A.; data curation, A.S., W.S. and T.A.; writing—original draft preparation, A.S.; writing—review and editing, A.S., W.S. and T.A.; visualization, A.S.; supervision, W.S. and T.A.; project administration, W.S. and T.A.; funding acquisition, W.S. All authors have read and agreed to the published version of the manuscript.

Funding

This research received no external funding.

Data Availability Statement

The data presented in this study is available on request from the corresponding author. The data are not publicly available due to the research sponsor, U.S. Navy, has requested.

Acknowledgments

We would like to thank Metal Powder Works Limited for the phenomenal collaboration and support of this work. We look forward to future efforts and collaboration between the Naval Postgraduate School and Metal Powder Works. We would also like to extend a huge appreciation to our interns Mary Cooper and Conor O’Brien for their tremendous efforts in preparation and analysis of over 50 specimens.

Conflicts of Interest

The authors declare no conflicts of interest.

Abbreviations

The following abbreviations are used in this manuscript:
AMAdditive Manufacturing
DOEDesign of Experiments
EDSEnergy Dispersive X-ray Spectroscopy
GPRGaussian Process Regression
HHorizontal
LPBFLaser Powder Bed Fusion
MLMachine Learning
UTSUltimate Tensile Strength
VVertical
VEDVolumetric Energy Density
YSYield Strength

References

  1. Zhou, K.; Han, C. Metal Powder-Based Additive Manufacturing, 1st ed.; John Wiley & Sons, Incorporated: Newark, NJ, USA, 2023. [Google Scholar]
  2. Barnes, J.E. System and Method for Powder Manufacturing. U.S. Patent 16/375168, 10 October 2019. [Google Scholar]
  3. Metal Powder Works. DirectPowder™ Process. Metal Powder Works Inc. 2023. Available online: https://www.metalpowderworks.com/technology (accessed on 20 January 2024).
  4. Ahmed, N.; Barsoum, I.; Haidemenopoulos, G.; Al-Rub, R.A. Process parameter selection and optimization of laser powder bed fusion for 316L stainless steel: A review. J. Manuf. Process. 2022, 75, 415–434. [Google Scholar] [CrossRef]
  5. Schoinochoritis, B.; Chantzis, D.; Salonitis, K. Simulation of metallic powder bed additive manufacturing processes with the finite element method: A critical review. Proc. Inst. Mech. Eng. Part J. Eng. Manuf. 2017, 231, 96–117. [Google Scholar] [CrossRef]
  6. Romano, J.; Ladani, L.; Sadowski, M. Thermal modeling of laser based additive manufacturing processes within common materials. Procedia Manuf. 2015, 1, 238–250. [Google Scholar] [CrossRef]
  7. Roberts, I.A.; Wang, C.; Esterlein, R.; Stanford, M.; Mynors, D. A three-dimensional finite element analysis of the temperature field during laser melting of metal powders in additive layer manufacturing. Int. J. Mach. Tools Manuf. 2009, 49, 916–923. [Google Scholar] [CrossRef]
  8. Liu, J.; Ye, J.; Silva Izquierdo, D.; Vinel, A.; Shamsaei, N.; Shao, S. A review of machine learning techniques for process and performance optimization in laser beam powder bed fusion additive manufacturing. J. Intell. Manuf. 2023, 34, 3249–3275. [Google Scholar] [CrossRef]
  9. Cao, Y.; Chen, C.; Xu, S.; Zhao, R.; Guo, K.; Hu, T.; Liao, H.; Wang, J.; Ren, Z. Machine learning assisted prediction and optimization of mechanical properties for laser powder bed fusion of Ti6Al4V alloy. Addit. Manuf. 2024, 91, 104341. [Google Scholar] [CrossRef]
  10. Theeda, S.; Jagdale, S.H.; Ravichander, B.B.; Kumar, G. Optimization of process parameters in laser powder bed fusion of SS 316L parts using artificial neural networks. Metals 2023, 13, 842. [Google Scholar] [CrossRef]
  11. Liu, Q.; Wu, H.; Paul, M.J.; He, P.; Peng, Z.; Gludovatz, B.; Kruzic, J.J.; Wang, C.H.; Li, X. Machine-learning assisted laser powder bed fusion process optimization for AlSi10Mg: New microstructure description indices and fracture mechanisms. Acta Mater. 2020, 201, 316–328. [Google Scholar] [CrossRef]
  12. Paraschiv, A.; Matache, G.; Condruz, M.R.; Frigioescu, T.F.; Pambaguian, L. Laser powder bed fusion process parameters’ optimization for fabrication of dense IN 625. Materials 2022, 15, 5777. [Google Scholar] [CrossRef] [PubMed]
  13. Yang, H.; Meng, L.; Luo, S.; Wang, Z. Microstructural evolution and mechanical performances of selective laser melting Inconel 718 from low to high laser power. J. Alloys Compd. 2020, 828, 154473. [Google Scholar] [CrossRef]
  14. Nadimi, M.; Song, J.; Cheng, L.; Fu, Y. Corrosion evaluation and microstructural characteristics of 70/30 copper-nickel alloy fabricated by laser powder bed fusion. J. Alloy. Metall. Syst. 2025, 9, 100155. [Google Scholar] [CrossRef]
  15. Liu, Z.; Zhang, Q.; Zhang, B.; Wang, Y.; Zuo, P.; Zhang, Z.; Wu, J.; Yan, X.; Huang, Y.; Li, X. Investigation on mechanical properties and corrosion behavior of laser powder bed fusion 70/30 copper-nickel alloy. Corros. Sci. 2024, 232, 112040. [Google Scholar] [CrossRef]
  16. Gao, S.; Zhang, M.; Ding, J.; He, X.; Chen, H.; Zhou, S. Tailoring the microstructure and mechanical properties for additive manufactured CuNi30 alloy via in-situ NbC formation. Mater. Lett. 2025, 395, 138714. [Google Scholar] [CrossRef]
  17. Roshan, M.; Mahtabi, M.; Bednarczyk, W.; Gajewska, M.; Cios, G.; Mahbooba, Z.; Saharan, A.; Haghshenas, M. Powder Bed Fused–Laser Beam (PBF-LB) 70/30 Copper-Nickel (Cu-30Ni): Hierarchical Microstructure and Mechanical Properties. J. Alloys Compd. 2025, 1039, 183312. [Google Scholar] [CrossRef]
  18. Rosenthal, D. Mathematical theory of heat distribution during welding and cutting. Weld. J. 1941, 20, 220s–234s. [Google Scholar]
  19. Rezaei, A.; Keshavarz, M.K.; Barnes, J.; Vlasea, M. Melting mode-driven processing diagram for nanoparticle-enhanced high-strength aluminum alloy processed by laser powder bed fusion. Mater. Des. 2025, 252, 113794. [Google Scholar] [CrossRef]
  20. Matmake. Copper Nickel (UNS C71500). 2025. Available online: https://matmake.com/materials-data/copper-nickel-c71500-properties.html (accessed on 21 October 2025).
  21. Wang, W.; Garmestani, H.; Liang, S.Y. Prediction of upper surface roughness in laser powder bed fusion. Metals 2021, 12, 11. [Google Scholar] [CrossRef]
  22. Linking Powder Rheology Characterization to Spreadability in Powder Bed-Based AM; AZO Materials: Manchester, UK, 2020.
  23. Mechanical Properties of Copper-Nickel Alloys; Nickel Institute: Toronto, ON, Canada, 2025.
  24. Properties of Some Metals and Alloys; Nickel Institute: Toronto, ON, Canada, 1982.
  25. ASTM B369/B369M-20; Standard Specification for Copper-Nickel Alloy Castings. ASTM: West Conshohocken, PA, USA, 2020.
  26. ASTM B151/B151M-20; Standard Specification for Copper-Nickel-Zinc Alloy (Nickel Silver) and Copper-Nickel Rod and Bar. ASTM: West Conshohocken, PA, USA, 2020.
  27. Lanzutti, A.; Marin, E. The challenges and advances in recycling/re-using powder for metal 3D printing: A comprehensive review. Metals 2024, 14, 886. [Google Scholar] [CrossRef]
  28. Cordova, L.; Bor, T.; de Smit, M.; Carmignato, S.; Campos, M.; Tinga, T. Effects of powder reuse on the microstructure and mechanical behaviour of Al–Mg–Sc–Zr alloy processed by laser powder bed fusion (LPBF). Addit. Manuf. 2020, 36, 101625. [Google Scholar] [CrossRef]
  29. Leung, C.L.A.; Marussi, S.; Towrie, M.; Atwood, R.C.; Withers, P.J.; Lee, P.D. The effect of powder oxidation on defect formation in laser additive manufacturing. Acta Mater. 2019, 166, 294–305. [Google Scholar] [CrossRef]
  30. Okunkova, A.A.; Shekhtman, S.R.; Metel, A.S.; Suhova, N.A.; Fedorov, S.V.; Volosova, M.A.; Grigoriev, S.N. On defect minimization caused by oxide phase formation in laser powder bed fusion. Metals 2022, 12, 760. [Google Scholar] [CrossRef]
  31. Tang, H.; Qian, M.; Liu, N.; Zhang, X.; Yang, G.; Wang, J. Effect of powder reuse times on additive manufacturing of Ti-6Al-4V by selective electron beam melting. JOM 2015, 67, 555–563. [Google Scholar] [CrossRef]
Figure 1. Laser power versus scanning speed for LPBF AM, Reprinted from Ref. [1].
Figure 1. Laser power versus scanning speed for LPBF AM, Reprinted from Ref. [1].
Metals 16 00010 g001
Figure 2. (a) Laser absorptivities of Al, Ag, Au, Cu, Mo, Fe, and steel for wavelengths ranging from 0.1 to 20 μm. (b) Laser absorptivities of Ag, Cu, Al, Ni, Fe, and Ti–6Al–4V for wavelengths ranging from 0.3 to 1.1 μm. Reprinted from Ref. [1].
Figure 2. (a) Laser absorptivities of Al, Ag, Au, Cu, Mo, Fe, and steel for wavelengths ranging from 0.1 to 20 μm. (b) Laser absorptivities of Ag, Cu, Al, Ni, Fe, and Ti–6Al–4V for wavelengths ranging from 0.3 to 1.1 μm. Reprinted from Ref. [1].
Metals 16 00010 g002
Figure 3. SEM of mechanical, non-thermally generated C71500 powder.
Figure 3. SEM of mechanical, non-thermally generated C71500 powder.
Metals 16 00010 g003
Figure 4. Outline of optimization methodology.
Figure 4. Outline of optimization methodology.
Metals 16 00010 g004
Figure 5. Geometric determination of meltpool radius (All units in μ m).
Figure 5. Geometric determination of meltpool radius (All units in μ m).
Metals 16 00010 g005
Figure 6. Initial DOE for C71500 parameter optimization.
Figure 6. Initial DOE for C71500 parameter optimization.
Metals 16 00010 g006
Figure 7. Example of image filtering porosity determination.
Figure 7. Example of image filtering porosity determination.
Metals 16 00010 g007
Figure 8. Revised DOE following print failures.
Figure 8. Revised DOE following print failures.
Metals 16 00010 g008
Figure 9. Contour plot of overall experimental performance factor (Insets are 350 μ m by 260 μ m for reference).
Figure 9. Contour plot of overall experimental performance factor (Insets are 350 μ m by 260 μ m for reference).
Metals 16 00010 g009
Figure 10. Performance mapping of (a) overall experimental results and (b) overall ML prediction.
Figure 10. Performance mapping of (a) overall experimental results and (b) overall ML prediction.
Metals 16 00010 g010
Figure 11. Comparison of optimum experimental parameter specimens from initial DOE (1) and optimized print (2).
Figure 11. Comparison of optimum experimental parameter specimens from initial DOE (1) and optimized print (2).
Metals 16 00010 g011
Table 1. C71500 properties and utilized for DOE development [20].
Table 1. C71500 properties and utilized for DOE development [20].
PropertyValue
k [ W m · K ]29
ρ [ kg m 3 ]8940
α [ m 2 s ]8.5364 × 10 6
T m e l t [°C]1240
Table 2. Fixed process parameters utilized for DOE development.
Table 2. Fixed process parameters utilized for DOE development.
Fixed Process Parameters
Layer Thickness [ μ m]50
Hatch Rotation [deg]67
Hatch Distance [ μ m]100
Exposure PatternStripes
Table 3. Polishing recipe for C71500 analysis.
Table 3. Polishing recipe for C71500 analysis.
Surface TypeSurface SizeLubricantRPMForce (N)Time (min)
Foil/Paper#500DI Water1502510
Foil/Paper#1200DI Water150255
Foil/Paper#2400DI Water150255
MD-Mol3 μ m3 μ m Diapro150255
MD-Nap1 μ m1 μ m Diapro150255
Table 4. GPR optimized hyperparameters for C71500 parameter optimization.
Table 4. GPR optimized hyperparameters for C71500 parameter optimization.
HyperparameterValue
KernelSquared Exponential
σ L 0.7364
σ F 0.1885
σ 0.5576
β 0.0499
Basis FunctionConstant
R t r a i n 2 0.9603
R t e s t 2 0.9378
Table 5. Failed DOE specimen performance scores.
Table 5. Failed DOE specimen performance scores.
ParameterValue
P d i m 0.75
P R a 0.75
P ρ 0.10
P p o r 0.50
P o v 0.0281
Table 6. Morphological data for mechanical, non-thermally generated C71500 powder utilized.
Table 6. Morphological data for mechanical, non-thermally generated C71500 powder utilized.
Morphological Data
Apparent Density [g/cc]3.12
Tap Density [g/cc]4.26
Cohesive Index [2 rpm]15
Cohesive Index [10 rpm]15
Cohesive Index [20 rpm]18
D10 [ μ m]24
D50 [ μ m]44
D90 [ μ m]77
D95 [ μ m]96
Table 7. Overall performing experimental and ML parameter sets.
Table 7. Overall performing experimental and ML parameter sets.
ParameterPower [W]Speed [mm/s]
Experimental350750
ML311748
Table 8. Optimized experimental and ML specimen tensile data (Green highlight indicates measurement met desired value, and red indicates measurement failed to meet desired value).
Table 8. Optimized experimental and ML specimen tensile data (Green highlight indicates measurement met desired value, and red indicates measurement failed to meet desired value).
SpecimenUTS (MPa)0.2% Offset YS
(MPa)
% Elongation
EXP-H-2 419.2 372.3 27.5
EXP-H-3 404.0 379.2 25.5
EXP-V-2 353.7 264.1 28.5
EXP-V-3 351.6 259.9 37.0
ML-H-2 418.5 372.3 24.8
ML-H-3 423.3 360.6 32.0
ML-V-2 350.9 277.8 35.7
ML-V-3 355.7 253.0 38.0
DESIRED413.7220.620
Average384.7317.231.1
Std. Deviation34.358.05.28
Disclaimer/Publisher’s Note: The statements, opinions and data contained in all publications are solely those of the individual author(s) and contributor(s) and not of MDPI and/or the editor(s). MDPI and/or the editor(s) disclaim responsibility for any injury to people or property resulting from any ideas, methods, instructions or products referred to in the content.

Share and Cite

MDPI and ACS Style

Sparrow, A.; Smith, W.; Ansell, T. LPBF Parameter Optimization of Mechanical, Non-Thermal Generated C71500 Powder. Metals 2026, 16, 10. https://doi.org/10.3390/met16010010

AMA Style

Sparrow A, Smith W, Ansell T. LPBF Parameter Optimization of Mechanical, Non-Thermal Generated C71500 Powder. Metals. 2026; 16(1):10. https://doi.org/10.3390/met16010010

Chicago/Turabian Style

Sparrow, Andrew, Walter Smith, and Troy Ansell. 2026. "LPBF Parameter Optimization of Mechanical, Non-Thermal Generated C71500 Powder" Metals 16, no. 1: 10. https://doi.org/10.3390/met16010010

APA Style

Sparrow, A., Smith, W., & Ansell, T. (2026). LPBF Parameter Optimization of Mechanical, Non-Thermal Generated C71500 Powder. Metals, 16(1), 10. https://doi.org/10.3390/met16010010

Note that from the first issue of 2016, this journal uses article numbers instead of page numbers. See further details here.

Article Metrics

Article metric data becomes available approximately 24 hours after publication online.
Back to TopTop