Corrosion Stability and Biological Activity of Anodized cpTi for Dental Application
Abstract
1. Introduction
2. Materials and Methods
2.1. Anodization and Characterization of Oxidized Titanium
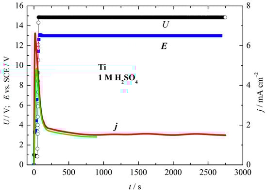
2.1.1. Anodization
2.1.2. Color Measurements
2.1.3. SEM and EDS Characterization
2.1.4. X-Ray Diffraction (XRD) Measurements
2.1.5. X-Ray Photoelectron Spectroscopy (XPS) Measurements
2.2. Corrosion Measurements
2.3. Biocompatibility
2.3.1. Mitochondrial Activity Assay (MTT Assay)
2.3.2. Gene Expression
2.3.3. Contact Angle Measurements
2.3.4. Statistical Analysis
3. Results and Discussion
3.1. Anodization and Characterization of Oxidized Titanium
3.1.1. Titanium Anodization
3.1.2. Color Measurements
3.1.3. EDS and SEM Analyses
3.1.4. XRD Analysis
3.1.5. XPS Analysis
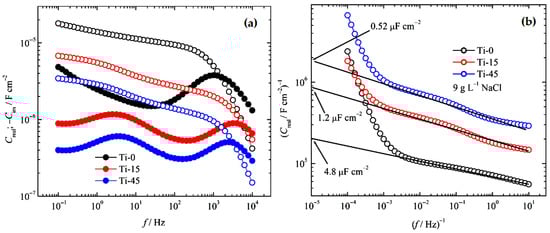
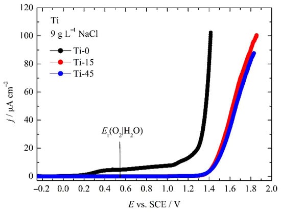
3.2. Corrosion Measurements
SEM and EDS Analyses After Corrosion
3.3. Biocompatibility
3.3.1. MTT Assay
3.3.2. Gene Expression
3.3.3. Wettability and Surface Energy
3.3.4. Biological Activity
4. Conclusions
- cpTi is successfully anodized in 1 M H2SO4 at a constant voltage of 15 V for 15 min and 45 min.
- The thickness of anodized samples is determined by a newly developed method by the analysis of frequency-dependent capacitance.
- For 15 min of anodization, the thickness was estimated to ~40 ± 15 nm, and for 45 min, it was 90 ± 30 nm.
- From the EDS, XRD, and XPS analyses, it is confirmed that the oxide layer is very complex.
- Anodized samples have a superior corrosion stability in 9 g L−1 NaCl than pure cpTi.
- By the SEM analysis, after cyclic polarization, it is concluded that all three samples do not undergo pitting corrosion, and that the oxygen evolution reaction is the main reaction.
- Anodized samples enhance the surface hydrophilicity.
- The calculated values of surface energy increase from 58.8 mJ m−2 for Ti-0 to 65.1 mJ m−2 for Ti-45.
- Anodized samples produce a surface-driven stimulation of human gingival fibroblasts by activating their adhesion and spreading mechanisms.
Author Contributions
Funding
Institutional Review Board Statement
Data Availability Statement
Acknowledgments
Conflicts of Interest
References
- Eichmiller, F.C. Titanium applications in dentistry. J. Am. Dent. Assoc. 2003, 134, 347–349. [Google Scholar] [CrossRef] [PubMed]
- Prando, D.; Brenna, A.; Diamanti, M.V.; Beretta, S.; Bolzoni, F.; Ormellese, M.; Pedeferri, M. Corrosion of titanium: Part 2: Effects of surface treatments. J. Appl. Biomater. Funct. Mater. 2018, 16, 3–13. [Google Scholar] [CrossRef] [PubMed]
- Long, S.; Zhu, J.; Jing, Y.; He, S.; Cheng, L.; Shi, Z. A comprehensive review of surface modification techniques for enhancing the biocompatibility of 3D-Printed titanium implants. Coatings 2023, 13, 1917. [Google Scholar] [CrossRef]
- Williams, D.F. Biocompatibility pathways and mechanisms for bioactive materials: The bioactivity zone. Bioact. Mater. 2021, 10, 306–322. [Google Scholar] [CrossRef] [PubMed]
- Barberi, J.; Spriano, S. Titanium and protein adsorption: An overview of mechanisms and effects of surface features. Materials 2021, 14, 1590. [Google Scholar] [CrossRef] [PubMed]
- Romanos, G. Biomolecular cell-signaling mechanisms and dental implants: A review on the regulatory molecular biologic patterns under functional and immediate loading. Int. J. Oral. Maxillofac. Implant. 2016, 31, 939–951. [Google Scholar] [CrossRef] [PubMed]
- Pandey, C.; Rokaya, D.; Bhattarai, B.P. Contemporary concepts in osseointegration of dental implants: A review. Bio. Med. Res. Int. 2022, 2022, 6170452. [Google Scholar] [CrossRef] [PubMed]
- Tracy, L.E.; Minasian, R.A.; Caterson, E.J. Extracellular matrix and dermal fibroblast function in the healing wound. Adv. Wound Care 2016, 5, 119–136. [Google Scholar] [CrossRef] [PubMed]
- Han, X.; Ju, L.S.; Irudayaraj, J. Oxygenated wound dressings for hypoxia mitigation and enhanced wound healing. Mol. Pharm. 2023, 20, 3338–3355. [Google Scholar] [CrossRef] [PubMed]
- Gaona-Tiburcio, C.; Jáquez-Muñoz, J.M.; Nieves-Mendoza, D.; Maldonado-Bandala, E.; Lara-Banda, M.; Lira-Martinez, M.A.; Reyes-Blas, H.; Baltazar-Zamora, M.Á.; Landa-Ruiz, L.; Lopez-Leon, L.D.; et al. Corrosion behavior of titanium alloys (Ti CP2, Ti-6Al-2Sn-4Zr-2Mo, Ti-6Al-4V and Ti Beta-C) with anodized and exposed in NaCl and H2SO4 solutions. Metals 2024, 14, 160. [Google Scholar] [CrossRef]
- Almeraya-Calderón, F.; Jáquez-Muñoz, J.M.; Lara-Banda, M.; Zambrano-Robledo, P.; Cabral-Miramontes, J.A.; Lira-Martínez, A.; Estupinán-López, F.; Tiburcio, C.G. Corrosion behavior of titanium and titanium alloys in Ringer’s solution. Int. J. Electrochem. Sci. 2022, 17, 220751. [Google Scholar] [CrossRef]
- Jáquez-Muñoz, J.; Gaona-Tiburcio, C.; Chacón-Nava, J.; Cabral-Miramontes, J.; Nieves-Mendoza, D.; Maldonado-Bandala, E.; Delgado, A.; Rios, J.F.-D.L.; Bocchetta, P.; Almeraya-Calderón, F. Electrochemical corrosion of titanium and titanium alloys anodized in H2SO4 and H3PO4 solutions. Coatings 2022, 12, 325. [Google Scholar] [CrossRef]
- Milošev, I.; Sačer, D.; Kapun, B.; Rodič, P. The effect of metallographic preparation on the surface characteristics and corrosion behaviour of TI-6AL-4V alloy in simulated physiological solutions. J. Electrochem. Soc. 2024, 171, 111503. [Google Scholar] [CrossRef]
- Wu, B.; Tang, Y.; Wang, K.; Zhou, X.; Xiang, L. Nanostructured Titanium Implant Surface Facilitating Osseointegration from Protein Adsorption to Osteogenesis: The Example of TiO2 NTAs. Int. J. Nanomed. 2022, 17, 1865–1879. [Google Scholar] [CrossRef] [PubMed]
- Eisenbarth, E.; Velten, D.; Müller, M.; Thull, R.; Breme, J. Biocompatibility of β-stabilizing elements of titanium alloys. Biomaterials 2004, 25, 5705–5713. [Google Scholar] [CrossRef] [PubMed]
- Zhang, L.; Chen, L. A Review on biomedical titanium alloys: Recent progress and prospect. Adv. Eng. Mater. 2019, 21, 1801215. [Google Scholar] [CrossRef]
- Zhang, Y.; Li, J.; Che, S.; Yang, Z.; Tian, Y. Chemical leveling mechanism and oxide film properties of additively manufactured Ti–6Al–4V Alloy. J. Mater. Sci. 2019, 54, 13753–13766. [Google Scholar] [CrossRef]
- Vattanasup, C.; Kuntiyaratana, T.; Rungsiyakull, P.; Chaijareenont, P. Color formation on titanium surface treated by anodization and the surface characteristics: A review. Dent. J. 2023, 44, 13–21. [Google Scholar] [CrossRef]
- Wang, T.; Wang, L.; Lu, Q.; Fan, Z. Changes in the esthetic, physical, and biological properties of a titanium alloy abutment treated by anodic oxidation. J. Prosthet. Dent. 2018, 121, 156–165. [Google Scholar] [CrossRef] [PubMed]
- Gulati, K.; Prideaux, M.; Kogawa, M.; Lima-Marques, L.; Atkins, G.J.; Findlay, D.M.; Losic, D. Anodized 3D-printed titanium implants with dual micro- and nano-scale topography promote interaction with human osteoblasts and osteocyte-like cells. J. Tissue Eng. Regen. Med. 2016, 11, 3313–3325. [Google Scholar] [CrossRef] [PubMed]
- Regonini, D.; Bowen, C.R.; Jaroenworaluck, A.; Stevens, R. A review of growth mechanism, structure and crystallinity of anodized TiO2 nanotubes. Mater. Sci. Eng. R Rep. 2013, 74, 377–406. [Google Scholar] [CrossRef]
- Niu, D.; Han, A.; Cheng, H.; Ma, S.; Tian, M.; Liu, L. Effects of organic solvents in anodization electrolytes on the morphology and tube-to-tube spacing of TiO2 nanotubes. Chem. Phys. Lett. 2019, 735, 136776. [Google Scholar] [CrossRef]
- Kieser, T.A.; Kunst, S.R.; Morisso, F.D.P.; Machado, T.C.; Oliveira, C.T. Anodização de titânio em ácido cítrico. Res. Soc. Dev. 2022, 11, e25311830872. [Google Scholar] [CrossRef]
- Pilipenko, A.; Maizelis, A.; Pancheva, H.; Zhelavska, Y. Electrochemical oxidation of VT6 titanium alloy in oxalic acid solutions. Chem. Chem. Technol. 2020, 14, 221–226. [Google Scholar] [CrossRef]
- İzmir, M.; Ercan, B. Anodization of titanium alloys for orthopedic applications. Front. Chem. Sci. Eng. 2018, 13, 28–45. [Google Scholar] [CrossRef]
- Karambakhsh, A.; Afshar, A.; Ghahramani, S.; Malekinejad, P. Pure commercial titanium color anodizing and corrosion resistance. J. Mater. Eng. Perform. 2011, 20, 1690–1696. [Google Scholar] [CrossRef]
- Wadhwani, C.P.K.; O’Brien, R.; Kattadiyil, M.T.; Chung, K.-H. Laboratory technique for coloring titanium abutments to improve esthetics. J. Prosthet. Dent. 2015, 115, 409–411. [Google Scholar] [CrossRef] [PubMed]
- Wadhwani, C.; Brindis, M.; Kattadiyil, M.T.; O’Brien, R.; Chung, K.-H. Colorizing titanium-6aluminum-4vanadium alloy using electrochemical anodization: Developing a color chart. J. Prosthet. Dent. 2017, 119, 26–28. [Google Scholar] [CrossRef] [PubMed]
- Webster, T.J.; Ross, N. Anodizing color coded anodized Ti6Al4V medical devices for increasing bone cell functions. Int. J. Nanomed. 2013, 8, 109–117. [Google Scholar] [CrossRef] [PubMed][Green Version]
- Khadiri, M.; Elyaagoubi, M.; Idouhli, R.; Koumya, Y.; Zakir, O.; Benzakour, J.; Benyaich, A.; Abouelfida, A.; Outzourhit, A. Electrochemical study of anodized titanium in phosphoric acid. Adv. Mater. Sci. Eng. 2020, 2020, 5769071. [Google Scholar] [CrossRef]
- Kurniawan, K.F.; Ulfah, I.M.; Kozin, M. Effect of anodic oxidation voltages on the color and corrosion resistance of commercially pure titanium (CP-Ti). J. Evrimata 2023, 1, 18–23. [Google Scholar] [CrossRef]
- Tamilselvi, S.; Murugaraj, R.; Rajendran, N. Electrochemical impedance spectroscopic studies of titanium and its alloys in saline medium. Mater. Corros. 2007, 58, 113–120. [Google Scholar] [CrossRef]
- Kumar, A.; Kushwaha, M.K. Surface modification of titanium alloy by anodic oxidation method to improve its biocompatibility. Curr. Sci. 2021, 120, 907. [Google Scholar] [CrossRef]
- Capek, D.; Gigandet, M.-P.; Masmoudi, M.; Wery, M.; Banakh, O. Long-time anodisation of titanium in sulphuric acid. Surf. Coat. Technol. 2007, 202, 1379–1384. [Google Scholar] [CrossRef]
- Rosenbloom, S.N.; Corbett, R.A. An Assessment of ASTM F 2129 Electrochemical testing of small medical implants-lessons learned. In Proceedings of the CORROSION 2007, Nashville, TN, USA, 11–15 March 2007. [Google Scholar] [CrossRef]
- ISO 10271:2011; Dentistry-Corrosion Test Methods for Metallic Materials. International Organization for Standardization: Geneva, Switzerland, 2011.
- ASTM F 2129-15; Standard Test Method for Conducting Cyclic Potentiodynamic Polarization Measurements to Determine the Corrosion Susceptibility of Small Implant Devices. ASTM International: West Conshohocken, PA, USA, 2015.
- Grgur, B.N.; Lazić, V.; Stojić, D.; Rudolf, R. Electrochemical testing of noble metal dental alloys: The influence of their chemical composition on the corrosion resistance. Corr. Sci. 2021, 184, 109412. [Google Scholar] [CrossRef]
- Lazić, M.M.; Majerič, P.; Lazić, V.; Milašin, J.; Jakšić, M.; Trišić, D.; Radović, K. Experimental investigation of the biofunctional properties of Nickel–Titanium alloys depending on the type of production. Molecules 2022, 27, 1960. [Google Scholar] [CrossRef] [PubMed]
- Prando, D.; Fajardo, S.; Pedeferri, M.; Ormellese, M. Titanium anodization efficiency through real-time gravimetric measurement of oxygen evolution. J. Electrochem. Soc. 2020, 167, 061507. [Google Scholar] [CrossRef]
- Zhang, Y.; Fang, Z.Z.; Xia, Y.; Huang, Z.; Lefler, H.; Zhang, T.; Sun, P.; Free, M.L.; Guo, J. A novel chemical pathway for energy efficient production of Ti metal from upgraded titanium slag. Chem. Eng. J. 2015, 286, 517–527. [Google Scholar] [CrossRef]
- Sul, Y.-T.; Johansson, C.B.; Jeong, Y.; Albrektsson, T. The electrochemical oxide growth behaviour on titanium in acid and alkaline electrolytes. Med. Eng. Phys. 2001, 23, 329–346. [Google Scholar] [CrossRef] [PubMed]
- Uudsemaa, M.; Tamm, T. Calculations of hydrated titanium ion complexes: Structure and influence of the first two coordination spheres. Chem. Phys. Lett. 2001, 342, 667–672. [Google Scholar] [CrossRef]
- Kallies, B.; Meier, R. Electronic structure of 3d [M(H2O)6]3+ Ions from ScIII to FeIII: A quantum mechanical study based on DFT computations and natural bond orbital analyses. Inorg. Chem. 2001, 40, 3101–3112. [Google Scholar] [CrossRef] [PubMed]
- Liu, Z.; Thompson, G.E. Formation of porous anodic oxide film on titanium in phosphoric acid electrolyte. J. Mater. Eng. Perform. 2014, 24, 59–66. [Google Scholar] [CrossRef]
- Schneider, M.; Schroth, S.; Schilm, J.; Michaelis, A. Micro-EIS of anodic thin oxide films on titanium for capacitor applications. Electrochim. Acta 2008, 54, 2663–2671. [Google Scholar] [CrossRef]
- Liu, Z.J.; Zhong, X.; Walton, J.; Thompson, G.E. Anodic film growth of titanium oxide using the 3-electrode electrochemical technique: Effects of oxygen evolution and morphological characterizations. J. Electrochem. Soc. 2015, 163, E75–E82. [Google Scholar] [CrossRef]
- Alipal, J.; Lee, T.C.; Koshy, P.; Abdullah, H.Z.; Idris, M.I. Evolution of anodised titanium for implant applications. Heliyon 2021, 7, e07408. [Google Scholar] [CrossRef] [PubMed]
- Nawaz, R.; Kait, C.F.; Chia, H.Y.; Isa, M.H.; Huei, L.W.; Sahrin, N.T.; Khan, N. Manipulation of the Ti3+/Ti4+ ratio in colored titanium dioxide and its role in photocatalytic degradation of environmental pollutants. Surf. Interfaces 2022, 32, 102146. [Google Scholar] [CrossRef]
- Spajić, I.; Rodič, P.; Šekularac, G.; Lekka, M.; Fedrizzi, L.; Milošev, I. The effect of surface preparation on the protective properties of Al2O3 and HfO2 thin films deposited on cp-titanium by atomic layer deposition. Electrochim. Acta 2020, 366, 137431. [Google Scholar] [CrossRef]
- Zhao, B.; Ding, W.F.; Dai, J.B.; Xi, X.X.; Xu, J.H. A comparison between conventional speed grinding and super-high speed grinding of (TiCp+TiBw)/Ti–6Al–4V composites using vitrified CBN wheel. Int. J. Adv. Manuf. Technol. 2014, 72, 69–75. [Google Scholar] [CrossRef]
- Bail, A.L. Whole powder pattern decomposition methods and applications: A retrospection. Powder Diffr. 2005, 20, 316–326. [Google Scholar] [CrossRef]
- Cheary, R.W.; Coelho, A. A fundamental parameters approach to X-ray line-profile fitting. J. Appl. Crystallogr. 1992, 25, 109–121. [Google Scholar] [CrossRef]
- Vera, M.L.; Colaccio, Á.; Rosenberger, M.R.; Schvezov, C.E.; Ares, A.E. Influence of the electrolyte concentration on the smooth TiO2 anodic voatings on Ti-6Al-4V. Coatings 2017, 7, 39. [Google Scholar] [CrossRef]
- Milićević, N.; Novaković, M.; Potočnik, J.; Milović, M.; Rakočević, L.; Abazović, N.; Pjević, D. Influencing surface phenomena by Au diffusion in buffered TiO2-Au thin films: Effects of deposition and annealing processing. Surf. Interfaces 2022, 30, 101811. [Google Scholar] [CrossRef]
- Biesinger, M.C.; Lau, L.W.M.; Gerson, A.R.; Smart, R.S.C. Resolving surface chemical states in XPS analysis of first row transition metals, oxides and hydroxides: Sc, Ti, V, Cu and Zn. Appl. Surf. Sci. 2010, 257, 887–898. [Google Scholar] [CrossRef]
- Naumkin, A.V.; Kraut-Vass, A.; Gaarenstroom, S.W.; Powell, C.J. NIST X-ray Photoelectron Spectroscopy Database (SRD 20), Version 5.0; Division of the National Institute of Standards and Technology (NIST): Gaithersburg, MD, USA, 2023. [CrossRef]
- Peng, W.-C.; Chen, Y.-C.; He, J.-L.; Ou, S.-L.; Horng, R.-H.; Wuu, D.-S. Tunability of p- and n-channel TiOx thin film transistors. Sci. Rep. 2018, 8, 9255. [Google Scholar] [CrossRef] [PubMed]
- Esmailzadeh, S.; Aliofkhazraei, M.; Sarlak, H. Interpretation of cyclic potentiodynamic polarization test results for study of corrosion behavior of metals: A review. Prot. Met. Phys. Chem. Surf. 2018, 54, 976–989. [Google Scholar] [CrossRef]
- Owens, D.K.; Wendt, R.C. Estimation of the surface free energy of polymers. J. Appl. Polym. Sci. 1969, 13, 1741–1747. [Google Scholar] [CrossRef]
- Steven Abbott TCNF. 2012. Available online: https://www.stevenabbott.co.uk/abbottapps/SEC/index.html (accessed on 15 July 2025).
- Hieda, J.; Sakaguchi, A.; Nakano, M.; Akasaka, H.; Ohtake, N. Relationships between surface energy and charge of surface-modified titanium and HAp formation. App. Surf. Sci. 2018, 465, 509–516. [Google Scholar] [CrossRef]
- Kim, M.-H.; Park, K.; Choi, K.-H.; Kim, S.-H.; Kim, S.; Jeong, C.-M.; Huh, J.-B. Cell adhesion and in vivo osseointegration of Sandblasted/Acid Etched/Anodized dental implants. Int. J. Mol. Sci. 2015, 16, 10324–10336. [Google Scholar] [CrossRef] [PubMed]
- Mary, S.; Charrasse, S.; Meriane, M.; Comunale, F.; Travo, P.; Blangy, A.; Gauthier-Rouvière, C. Biogenesis of N-Cadherin-dependent cell-cell contacts in living fibroblasts is a microtubule-dependent kinesin-driven mechanism. Mol. Biol. Cell 2002, 13, 285–301. [Google Scholar] [CrossRef] [PubMed]
- Miron-Mendoza, M.; Poole, K.; DiCesare, S.; Nakahara, E.; Bhatt, M.P.; Hulleman, J.D.; Petroll, W.M. The role of vimentin in human corneal fibroblast spreading and myofibroblast transformation. Cells 2024, 13, 1094. [Google Scholar] [CrossRef] [PubMed]
- Bao, P.; Kodra, A.; Tomic-Canic, M.; Golinko, M.S.; Ehrlich, H.P.; Brem, H. The role of vascular endothelial growth factor in wound healing. J. Surg. Res. 2008, 153, 347–358. [Google Scholar] [CrossRef] [PubMed]
- Ma, K.; Zhang, R.; Sun, J.; Liu, C. Oxidation mechanism of biomedical titanium alloy surface and experiment. Int. J. Corros. 2020, 2020, 1678615. [Google Scholar] [CrossRef]
- Jiang, D.; Christ, S.; Correa-Gallegos, D.; Ramesh, P.; Gopal, S.K.; Wannemacher, J.; Mayr, C.H.; Lupperger, V.; Yu, Q.; Ye, H.; et al. Injury triggers fascia fibroblast collective cell migration to drive scar formation through N-cadherin. Nat. Commun. 2020, 11, 1–13. [Google Scholar] [CrossRef] [PubMed]
- Cheng, F.; Shen, Y.; Mohanasundaram, P.; Lindström, M.; Ivaska, J.; Ny, T.; Eriksson, J.E. Vimentin coordinates fibroblast proliferation and keratinocyte differentiation in wound healing via TGF-β-slug signaling. Proc. Natl. Acad. Sci. USA 2016, 113, E4320–E4327. [Google Scholar] [CrossRef] [PubMed]
- Crenn, M.-J.; Dubot, P.; Mimran, E.; Fromentin, O.; Lebon, N.; Peyre, P. Influence of aanodized titanium surfaces on the behavior of gingival cells in contact with: A systematic review of in vitro studies. Crystals 2021, 11, 1566. [Google Scholar] [CrossRef]
- Jo, D.H.; Kim, J.H.; Son, J.G.; Song, N.W.; Kim, Y.I.; Yu, Y.S.; Lee, T.G.; Kim, J.H. Anti-Angiogenic Effect of Bare Titanium Dioxide Nanoparticles on Pathologic Neovascularization without Unbearable Toxicity. Nanomedicine 2014, 10, 1109–1117. [Google Scholar] [CrossRef] [PubMed]
- Jokanović, V.; Čolović, B.; Nenadović, M.; Petkoska, A.T.; Mitrić, M.; Jokanović, B.; Nasov, I. Ultra-high and near-zero refractive indices of magnetron sputtered thin-film metamaterials based on TIXOY. Adv. Mater. Sci. Eng. 2016, 2016, 4565493. [Google Scholar] [CrossRef]
- Yeniyol, S.; Bölükbaşı, N.; Bilir, A.; Çakır, A.F.; Yeniyol, M.; Ozdemir, T. Relative contributions of surface roughness and crystalline ttructure to the biocompatibility of titanium nitride and titanium oxide coatings deposited by PVD and TPS coatings. Int. Sch. Res. Not. 2013, 2013, 783873. [Google Scholar] [CrossRef]
- Čolović, B.; Kisić, D.; Jokanović, B.; Rakočević, Z.; Nasov, I.; Petkoska, A.T.; Jokanović, V. Wetting properties of titanium oxides, oxynitrides and nitrides obtained by DC and pulsed magnetron sputtering and cathodic arc evaporation. Mater. Sci. Pol. 2019, 37, 173–181. [Google Scholar] [CrossRef]
- Arima, Y.; Iwata, H. Effect of wettability and surface functional groups on protein adsorption and cell adhesion using well-defined mixed self-assembled monolayers. Biomaterials 2007, 28, 3074–3082. [Google Scholar] [CrossRef] [PubMed]
- Chen, L.; Yan, C.; Zheng, Z. Functional polymer surfaces for controlling cell behaviors. Mater. Today 2018, 21, 38–59. [Google Scholar] [CrossRef]
- Al-Azzam, N.; Alazzam, A. Micropatterning of cells via adjusting surface wettability using plasma treatment and graphene oxide deposition. PLoS ONE 2022, 17, e0269914. [Google Scholar] [CrossRef] [PubMed]
- Priyanka, C.P.; Krishnan, K.K.; Sudeep, U.; Ramachandran, K.K. Osteogenic and antibacterial properties of TiN-Ag coated Ti-6Al-4V bioimplants with polished and laser textured surface topography. Surf. Coat. Technol. 2023, 474, 130058. [Google Scholar] [CrossRef]















| Gene | Forward | Reverse |
|---|---|---|
| N-cadherin: | AGGGTGGACGTCATTGTAGC | CTGTTGGGGTCTGTCAGGAT |
| VEGF-A: | GGGAGCTTCAGGACATTGCT | GGCAACTCAGAAGCAGGTGA |
| Vimentin: | TCTACGAGGAGGAGATGCGG | GGTCAAGACGTGCCAGAGAC |
| GAPDH: | TCATGACCACAGTCCATGCCATCA | CCTGTTGCTGTAGCCAAATTCGT |
| Sample | L* | a* | b* | Approximate Color Appearance |
|---|---|---|---|---|
| Ti-0 | 57.43 | 1.33 | 4.74 | ![]() |
| Ti-15 | 36.44 | 6.19 | −12.87 | ![]() |
| Ti-45 | 32.79 | 10.14 | −10.17 | ![]() |
| Sample | Ti wt.% | O wt.% | C wt.% | Ti at.% | O at.% | C at.% |
|---|---|---|---|---|---|---|
| Ti-0 | 89.4 | 7.1 | 3.6 | 71.5 | 17.0 | 11.5 |
| Ti-45 | 79.5 | 18.0 | 2.3 | 55.8 | 37.8 | 6.4 |
| Lattice Parameters, Space Group P63/mmc | ||||
|---|---|---|---|---|
| Sample | a Å | b Å | c Å | Crystallite Size nm |
| Ti-0 | 2.9531 | 2.9531 | 4.6900 | 38 |
| Ti-45 | 2.9516 | 2.9516 | 4.6877 | 42 |
| Sample | at.% Ti | at.% O | at.% C |
|---|---|---|---|
| Ti-0 | 33.6 | 55.6 | 10.8 |
| Ti-45 | 20.4 | 66.0 | 13.6 |
| Compounds | Ti 2p3/2 eV | ΔE eV | Ti 2p3/2 eV | Ti 2p1/2 eV | ΔE eV |
|---|---|---|---|---|---|
| Ti(0) | 453.86 ± 0.32 | 6.13 ± 0.06 | N/A | N/A | N/A |
| Ti(II) oxide | 455.34 ± 0.39 | 5.73 ± 0.15 | 455.6 (Ti-0) | 462.1 (Ti-0) | 6.5 |
| Ti(III) oxide | 457.13 ± 0.35 | 5.60 ± 0.36 | 457.1 (Ti-45) | 462.3 (Ti-45) | 5.2 |
| Ti(IV) oxide | 458.66 ± 0.22 | 5.66 ± 0.08 | 458.7 (Ti-0) 458.8 (Ti-45) | 464.6 (Ti-0) 464.2 (Ti-45) | 5.9 5.4 |
| Sample | Eocp mV | jocp nA cm−2 | Rp MΩ cm2 | jp,c nA cm−2 | Ecorr mV | bc mV dec−1 | jcorr nA cm−2 | jpass nA cm−2 | Eb mV | Erp mV | ΔE mV |
|---|---|---|---|---|---|---|---|---|---|---|---|
| Ti-0 | 0 | 139 | 0.25 | 103 | −134 | −177 | 29 | ~5500 | 968 | 794 | 1102 |
| Ti-15 | 69 | 9.8 | 2.14 | 12 | −152 | −115 | 2.42 | 7–80 | 1032 | 835 | 1180 |
| Ti-45 | 75 | 4.9 | 3.48 | 7.3 | −154 | −116 | 1.84 | 4–20 | 1062 | 801 | 1225 |
| Ti wt.% | O wt.% | C wt.% | Ti at.% | O at.% | C at.% | |
|---|---|---|---|---|---|---|
| Ti-0 | 89.0 | 8.4 | 2.6 | 71.5 | 20.2 | 8.3 |
| Ti-45 | 79.9 | 17.1 | 3.9 | 54.5 | 34.9 | 10.6 |
| Reference Liquid | Sample | Mean | St. Dev | Min | Max |
|---|---|---|---|---|---|
| Distilled water | Ti-0 | 50.01 | 3.83 | 45.20 | 54.81 |
| Distilled water | T-15i | 42.43 | 1.90 | 39.88 | 44.98 |
| Distilled water | T-45i | 40.27 | 3.13 | 36.53 | 44.66 |
| Diiodomethane | Ti-0 | 36.10 | 1.73 | 33.90 | 38.23 |
| Diiodomethane | T-15i | 27.64 | 2.14 | 26.40 | 29.06 |
| Diiodomethane | Ti-45 | 24.20 | 1.60 | 22.5 | 25.4 |
| Ethylene glycol | Ti-0 | 46.66 | 2.47 | 43.64 | 49.12 |
| Ethylene glycol | Ti-15 | 36.05 | 2.15 | 33.90 | 37.06 |
| Ethylene glycol | Ti 45 | 21.51 | 1.13 | 20.05 | 23.22 |
Disclaimer/Publisher’s Note: The statements, opinions and data contained in all publications are solely those of the individual author(s) and contributor(s) and not of MDPI and/or the editor(s). MDPI and/or the editor(s) disclaim responsibility for any injury to people or property resulting from any ideas, methods, instructions or products referred to in the content. |
© 2025 by the authors. Licensee MDPI, Basel, Switzerland. This article is an open access article distributed under the terms and conditions of the Creative Commons Attribution (CC BY) license (https://creativecommons.org/licenses/by/4.0/).
Share and Cite
Popović, A.S.; Miličić Lazić, M.; Mitić, D.; Rakočević, L.; Jugović, D.; Živković, P.; Grgur, B.N. Corrosion Stability and Biological Activity of Anodized cpTi for Dental Application. Metals 2025, 15, 817. https://doi.org/10.3390/met15070817
Popović AS, Miličić Lazić M, Mitić D, Rakočević L, Jugović D, Živković P, Grgur BN. Corrosion Stability and Biological Activity of Anodized cpTi for Dental Application. Metals. 2025; 15(7):817. https://doi.org/10.3390/met15070817
Chicago/Turabian StylePopović, Aleksandra S., Minja Miličić Lazić, Dijana Mitić, Lazar Rakočević, Dragana Jugović, Predrag Živković, and Branimir N. Grgur. 2025. "Corrosion Stability and Biological Activity of Anodized cpTi for Dental Application" Metals 15, no. 7: 817. https://doi.org/10.3390/met15070817
APA StylePopović, A. S., Miličić Lazić, M., Mitić, D., Rakočević, L., Jugović, D., Živković, P., & Grgur, B. N. (2025). Corrosion Stability and Biological Activity of Anodized cpTi for Dental Application. Metals, 15(7), 817. https://doi.org/10.3390/met15070817




