Optimizing High-Al2O3 Limonite Pellet Performance: The Critical Role of Basicity in Consolidation and Reduction
Abstract
1. Introduction
2. Materials and Methods
2.1. Raw Materials
2.2. Methods
2.3. Analysis
3. Results and Discussion
3.1. Effect of Basicity on Green Pellet Properties
3.2. Impact of Basicity on the Consolidation Characteristics of Oxidized Pellets
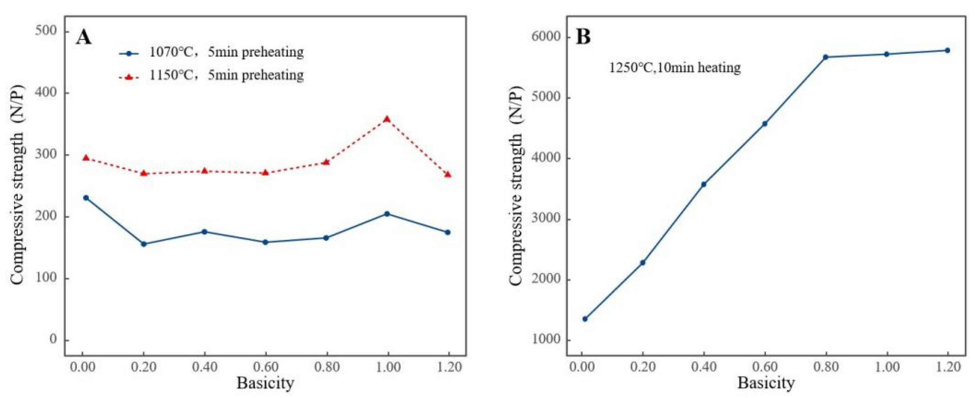
3.2.1. Compressive Strength of Oxidized Pellets
3.2.2. Analysis of the Consolidation Mechanism of Oxidized Pellets
3.3. Impact of Basicity on the Metallurgical Performance of High-Aluminum Pellets
3.3.1. Reduction Disintegration and Reduction Swelling Characteristics
3.3.2. Microstructural Analysis of Reduced Pellets
3.3.3. Reduction of High-Alumina Iron Ore Pellets
3.4. Industrial Applicability
4. Conclusions
Author Contributions
Funding
Data Availability Statement
Conflicts of Interest
References
- Lv, W.; Sun, Z.; Su, Z. Life cycle energy consumption and greenhouse gas emissions of iron pelletizing process in China, a case study. J. Clean. Prod. 2019, 233, 1314–1321. [Google Scholar] [CrossRef]
- Shaik, S.; Chen, Z.; Sahoo, P.P.; Borra, C.R. Kinetics of solid-state reduction of chromite overburden. Int. J. Miner. Metall. Mater. 2023, 30, 2347–2355. [Google Scholar] [CrossRef]
- Singh, S.; Sahoo, H.; Rath, S.S.; Sahu, A.K.; Das, B. Recovery of iron minerals from Indian iron ore slimes using colloidal magnetic coating. Powder Technol. 2015, 269, 38–45. [Google Scholar] [CrossRef]
- Kim, S.W.; Jeon, J.W.; Suh, I.K.; Jung, S.M. Improvement of sintering characteristics by selective granulation of high Al iron ores and ultrafine iron ores. Ironmak. Steelmak. 2016, 43, 500–507. [Google Scholar] [CrossRef]
- Long, F. The Effection on Ironmaking Raw Materials and Metallurgical Process by High Content of Al2O3 Iron Ore. Ph.D. Thesis, Wuhan University of Technology, Wuhan, China, 2006; p. 1. [Google Scholar]
- Umadevi, T.; Deodar, A.V.; Mahapatra, P.C.; Prabhu, M.; Ranjan, M. Influence of Alumina on Iron Ore Sinter Properties and Productivity in the Conventional and Selective Granulation Sintering Process. Steel Res. Int. 2009, 80, 686–692. [Google Scholar]
- Hou, J.; Zhang, J.; Yan, Z.; Yang, X.; Wu, H.; Huang, X.; Bai, C.; Zhang, S. Effect of increasing the proportion of high-alumina iron ore on structures and properties of sinter produced in iron ore blending sintering process. Ironmak. Steelmak. 2024, 1, 12. [Google Scholar] [CrossRef]
- Kumar, R.; Sagar, R.K.; Sah, R.; Kumar, V.; Srinidhi, R.; Balachandran, G. Utilization of High-Alumina Iron Ore in Pellet Making Through Process Optimization. Trans. Indian Inst. Met. 2024, 77, 3293–3302. [Google Scholar] [CrossRef]
- Zhang, J.-L.; Wang, Z.-Y.; Xing, X.-D.; Liu, Z.-J. Effect of aluminum oxide on the compressive strength of pellets. Int. J. Miner. Metall. Mater. 2014, 21, 339–344. [Google Scholar] [CrossRef]
- Yi, Z.; Liu, Q.; Shao, H. Effect of MgO on Highly Basic Sinters with High Al2O3. Min. Metall. Explor. 2021, 38, 2175–2183. [Google Scholar] [CrossRef]
- Li, X.-B.; Wang, H.-Y.; Zhou, Q.-S.; Qi, T.-G.; Liu, G.-H.; Peng, Z.-H.; Wang, Y.-L. Reaction behavior of kaolinite with ferric oxide during reduction roasting. Trans. Nonferr. Met. Soc. China 2019, 29, 186–193. [Google Scholar] [CrossRef]
- Shen, F.-M.; Gao, Q.-J.; Jiang, X.; Wei, G.; Zheng, H.-Y. Effect of magnesia on the compressive strength of pellets. Int. J. Miner. Metall. Mater. 2014, 21, 431–437. [Google Scholar] [CrossRef]
- Dong, J.-J.; Wang, G.; Gong, Y.-G.; Xue, Q.-G.; Wang, J.-S. Effect of high alumina iron ore of gibbsite type on sintering performance. Ironmak. Steelmak. 2016, 42, 34–40. [Google Scholar] [CrossRef]
- Pal, J.; Ghorai, S.; Nandi, B.; Chakraborty, T.; Das, G.; Venugopalan, T. Effect of pyroxenite and olivine minerals as source of MgO in hematite pellet on improvement of metallurgical properties. J. Cent. South Univ. 2015, 22, 3302–3310. [Google Scholar] [CrossRef]
- Chen, J.-Y.; Chen, B.-X.; Hou., J.; Chen, M.; Bai, C.-G.; Hu, M.-L. Hydrogen affection on softening and melting behaviours of high alumina sinter in gas-injection blast furnace. Ironmak. Steelmak. 2024; published. [Google Scholar] [CrossRef]
- Xue, Y.; Pan, J.; Zhu, D.; Guo, Z.; Yang, C.; Lu, L.; Tian, H. Improving High-Alumina Iron Ores Processing via the Investigation of the Influence of Alumina Concentration and Type on High-Temperature Characteristics. Minerals 2020, 10, 802. [Google Scholar] [CrossRef]
- Guo, Y.; Xie, J.; Gao, J.; Xu, H.; Qie, J. Study on the Production and Metallurgical Properties of Fluxed Pellets with High Hematite Content. Metallurgist 2017, 61, 638–645. [Google Scholar] [CrossRef]
- Ranjan, P.; Pal, J. Salt solution treatment to prevent the low temperature reduction degradation of haematite pellet. Ironmak. Steelmak. 2016, 43, 688–696. [Google Scholar] [CrossRef]
- Dhiraj, M.-K.; Chandra, S.-M.-S.; Srinivas, D.; Saurabh, K.; Pradeep, C.; Mithilesh, K.-J.; Uttam, S. Development and application of a novel fluxing compound for improving sintering performance of high alumina iron ore. Ironmak. Steelmak. 2021, 48, 1261–1276. [Google Scholar] [CrossRef]
- Hariswijaya, D.; Da Rocha, L.T.; Chiwandika, E.K.; Jung, S.-M. Effect of Alumina on Calcium Ferrites Development in the Goethite Ore Sinters. J. Sustain. Metall. 2022, 8, 257–273. [Google Scholar] [CrossRef]
- Hessien, M.M.; Kashiwaya, Y.; Ishii, K.; Nasr, M.I.; El-Geassy, A.A. Sintering and heating reduction processes of alumina containing iron ore samples. Ironmak. Steelmak. 2008, 35, 191–204. [Google Scholar] [CrossRef]
- Tian, H.; Zhu, D.; Pan, J.; Yang, C.; Huang, W.; Chu, M. Effect mechanism of aluminum occurrence and content on the induration characteristics of iron ore pellets. Int. J. Miner. Metall. Mater. 2023, 30, 2334–2346. [Google Scholar] [CrossRef]
- Zhang, Z.L.; Chen, R.; Sun, Y.; Zhu, Y.-D.; Li, X.-L.; Li, L.-L.; Zou, Z.-S. Non-isothermal reduction characteristics of roasted high alumina iron ore pellets. Can. Metall. Q. 2017, 56, 148–155. [Google Scholar] [CrossRef]
- Zhang, F.; Zhu, D.; Pan, J.; Guo, Z.; Yang, C. Effect of basicity on the structure characteristics of chromium-nickel bearing iron ore pellets. Powder Technol. 2019, 342, 409–417. [Google Scholar] [CrossRef]
- Shi, Y.; Zhu, D.; Pan, J.; Guo, Z.; Lu, S.; Xu, M. Improving hydrogen-rich gas-based shaft furnace direct reduction of fired hematite pellets by modifying basicity. Powder Technol. 2022, 408, 117782. [Google Scholar] [CrossRef]
- Guo, Y.; Liu, K.; Chen, F.; Wang, S.; Zheng, F.; Yang, L.; Liu, Y. Effect of basicity on the reduction swelling behavior and mechanism of limestone fluxed iron ore pellets. Powder Technol. 2021, 393, 291–300. [Google Scholar] [CrossRef]
- Zhang, Z.L.; Li, Q.; Zou, Z.S. Reduction properties of high alumina iron ore cold bonded pellet with CO-H2 mixtures. Ironmak. Steelmak. 2014, 41, 561–567. [Google Scholar] [CrossRef]
- Park, H.; Sahajwalla, V. Influence of CaO-SiO2-Al2O3 Ternary Oxide System on the Reduction Behavior of Carbon Composite Pellet: Part I. Reaction Kinetics. Metall. Mater. Trans. B-Process Metall. Mater. Process. Sci. 2013, 44, 1379–1389. [Google Scholar] [CrossRef]
- Kotta, A.B.; Narsimhachary, D.; Karak, S.K.; Kumar, M. Studies on the Mechanical and Physical Properties of Hematite Iron Ore Pellets Prepared Under Different Conditions. Trans. Indian Inst. Met. 2020, 73, 2561–2575. [Google Scholar] [CrossRef]
- Zeng, J.; Wang, J.; Wang, R.; Zhang, N.; Li, Y.; Xue, Y.; Lv, X. Promoting the Utilization of High-Alumina Iron Ores During Sintering by Pre-preparing a Low-Melting-Point Flux. J. Sustain. Metall. 2024, 10, 2205–2215. [Google Scholar] [CrossRef]
- Umadevi, T.; Sah, R. Effect of olivine as MgO-Bearing Flux on Low And High-Alumina iron ore pellets. J. Min. Metall. Sect. B-Metall. 2023, 59, 455–464. [Google Scholar] [CrossRef]
- Li, G.; Jiang, T.; Liu, M.; Zhou, T.; Fan, X.; Qiu, G. Beneficiation of High-Aluminium-Content Hematite Ore by Soda Ash Roasting. Miner. Process. Extr. Metall. Rev. 2010, 31, 150–164. [Google Scholar] [CrossRef]
- Hu, X.; Zheng, H.; Guo, Y.; Jiang, X.; Gao, Q.; Shen, F. Determination of Al2O3 Activity by Reference Slag Method in CaO-SiO2-Al2O3-MgO Melts for Blast Furnace Slag with High Al2O3 at 1873 K. Steel Res. Int. 2020, 91, 1900285. [Google Scholar] [CrossRef]
- Cavaliere, P.; Perrone, A.; Dijon, L.; Laska, A.; Koszelow, D. Direct reduction of pellets through hydrogen: Experimental and model behaviour. Int. J. Hydrogen Energy 2024, 49, 1444–1460. [Google Scholar] [CrossRef]
- Sadeghi, B.; Najafizadeh, M.; Cavaliere, P.; Shabani, A.; Aminaei, M. Effect of composition and processing conditions on the direct reduction of iron oxide pellets. Powder Technol. 2024, 444, 120061. [Google Scholar] [CrossRef]
- Sarkar, A.; Chavan, V.; Pai, N.N.; Prakash, A.; Hazra, B.; Raut, P.; Sunilkumar, D.; Sivananda, C.; Kundu, S.; Nag, S.; et al. Reduction of Iron Ore Pellets: A Microstructural Perspective? Metall. Mater. Trans. A 2024, 55, 537–549. [Google Scholar] [CrossRef]
- ISO 4700:2007; Iron Ore Pellets for Blast Furnace and Direct Reduction Feedstocks—Determination of the Crushing Strength. ISO: Geneva, Switzerland, 2007.
- GB/T 13240-1991; Determination of Particle Size Distribution of Iron Ore. Standard Press of China: Beijing, China, 1991.
- GB/T 13242-2017; Determination of Tumbler Index of Sinter and Pellets. Standard Press of China: Beijing, China, 2017.













| Component/% | TFe | FeO | Al2O3 | CaO | SiO2 | MgO | Na | K | S | P | LOI |
|---|---|---|---|---|---|---|---|---|---|---|---|
| AIO | 59.30 | 0.18 | 3.75 | 0.12 | 5.3 | 1.01 | 0.019 | 0.02 | 0.016 | 0.083 | 13.57 |
| MAF | 64.62 | 0.80 | 1.04 | 0.09 | 2.88 | 0.05 | 0.009 | 0.019 | 0.019 | 0.074 | 2.88 |
| Iron ore fine | 59.40 | 1.21 | 2.54 | 0.06 | 5.88 | 0.11 | 0.023 | 0.019 | 0.012 | 0.057 | 7.62 |
| Bentonite | 3.15 | - | 14.76 | 3.9 | 58.21 | 2.13 | 6.02 | 1.37 | - | 0.06 | 9.42 |
| Limestone | - | - | 0.01 | 52.78 | 0.90 | 0.83 | 0.023 | 0.160 | - | - | 43.71 |
| Component/% | >150 µm | 150–74 µm | 74–45 µm | <45 µm |
|---|---|---|---|---|
| Iron ore, fine | 8.50 | 6.55 | 18.29 | 66.66 |
| Bentonite | - | 3.58 | 27.38 | 69.04 |
| Limestone | 5.07 | 7.82 | 10.59 | 76.52 |
| Point | O | Fe | Si | Al | Ca | Phase |
|---|---|---|---|---|---|---|
| A | 55.8 | 0.8 | 42.0 | 1.2 | 0.2 | Quartz |
| B | 47.9 | 51.9 | 0.1 | 0.8 | 0.2 | Hematite |
| C | 57.5 | 3.1 | 26.0 | 7.2 | 6.2 | Silicate |
| D | 53.3 | 14.8 | 13.8 | 4.7 | 13.4 | Calcium Ferrite |
| E | 48.9 | 50.1 | 0.2 | 0.0 | 0.0 | Hematite |
| F | 52.4 | 16.5 | 13.2 | 6.1 | 11.8 | Calcium Ferrite |
| Point | O | Fe | Si | Al | Ca | Phase |
|---|---|---|---|---|---|---|
| A | 45.1 | 18.4 | 34.2 | 1.6 | 0.3 | Fayalite |
| B | 35.4 | 60.9 | 0.2 | 4.0 | 0.0 | Wüstite |
| C | 7.8 | 88.3 | 0.2 | 3.7 | 0.0 | Wüstite |
| D | 56.0 | 0.6 | 43.2 | 0.7 | 0.4 | Quartz |
| E | 35.3 | 63.1 | 1.3 | 0.2 | 0.3 | Wüstite |
| F | 2.9 | 97.0 | 0.0 | 0.0 | 0.0 | Metallic |
| G | 37.1 | 62.4 | 0.1 | 0.2 | 0.0 | Wüstite |
Disclaimer/Publisher’s Note: The statements, opinions and data contained in all publications are solely those of the individual author(s) and contributor(s) and not of MDPI and/or the editor(s). MDPI and/or the editor(s) disclaim responsibility for any injury to people or property resulting from any ideas, methods, instructions or products referred to in the content. |
© 2025 by the authors. Licensee MDPI, Basel, Switzerland. This article is an open access article distributed under the terms and conditions of the Creative Commons Attribution (CC BY) license (https://creativecommons.org/licenses/by/4.0/).
Share and Cite
Guo, Y.; Zhang, Y.; Chen, F.; Wang, S.; Yang, L.; Xie, Y.; Xia, X. Optimizing High-Al2O3 Limonite Pellet Performance: The Critical Role of Basicity in Consolidation and Reduction. Metals 2025, 15, 801. https://doi.org/10.3390/met15070801
Guo Y, Zhang Y, Chen F, Wang S, Yang L, Xie Y, Xia X. Optimizing High-Al2O3 Limonite Pellet Performance: The Critical Role of Basicity in Consolidation and Reduction. Metals. 2025; 15(7):801. https://doi.org/10.3390/met15070801
Chicago/Turabian StyleGuo, Yufeng, Yixi Zhang, Feng Chen, Shuai Wang, Lingzhi Yang, Yanqin Xie, and Xinyao Xia. 2025. "Optimizing High-Al2O3 Limonite Pellet Performance: The Critical Role of Basicity in Consolidation and Reduction" Metals 15, no. 7: 801. https://doi.org/10.3390/met15070801
APA StyleGuo, Y., Zhang, Y., Chen, F., Wang, S., Yang, L., Xie, Y., & Xia, X. (2025). Optimizing High-Al2O3 Limonite Pellet Performance: The Critical Role of Basicity in Consolidation and Reduction. Metals, 15(7), 801. https://doi.org/10.3390/met15070801

