Effect of Mixing Entropy on the Solid Solubility of Lanthanum in Fe Alloys
Abstract
1. Introduction
2. Experimental Section
2.1. Sample Preparation
2.2. Solid Solubility Measurement
2.3. Microstructural Characterization
2.4. Computational Details
3. Results and Discussion
3.1. Solid Solubility of Lanthanum in Fe Alloys
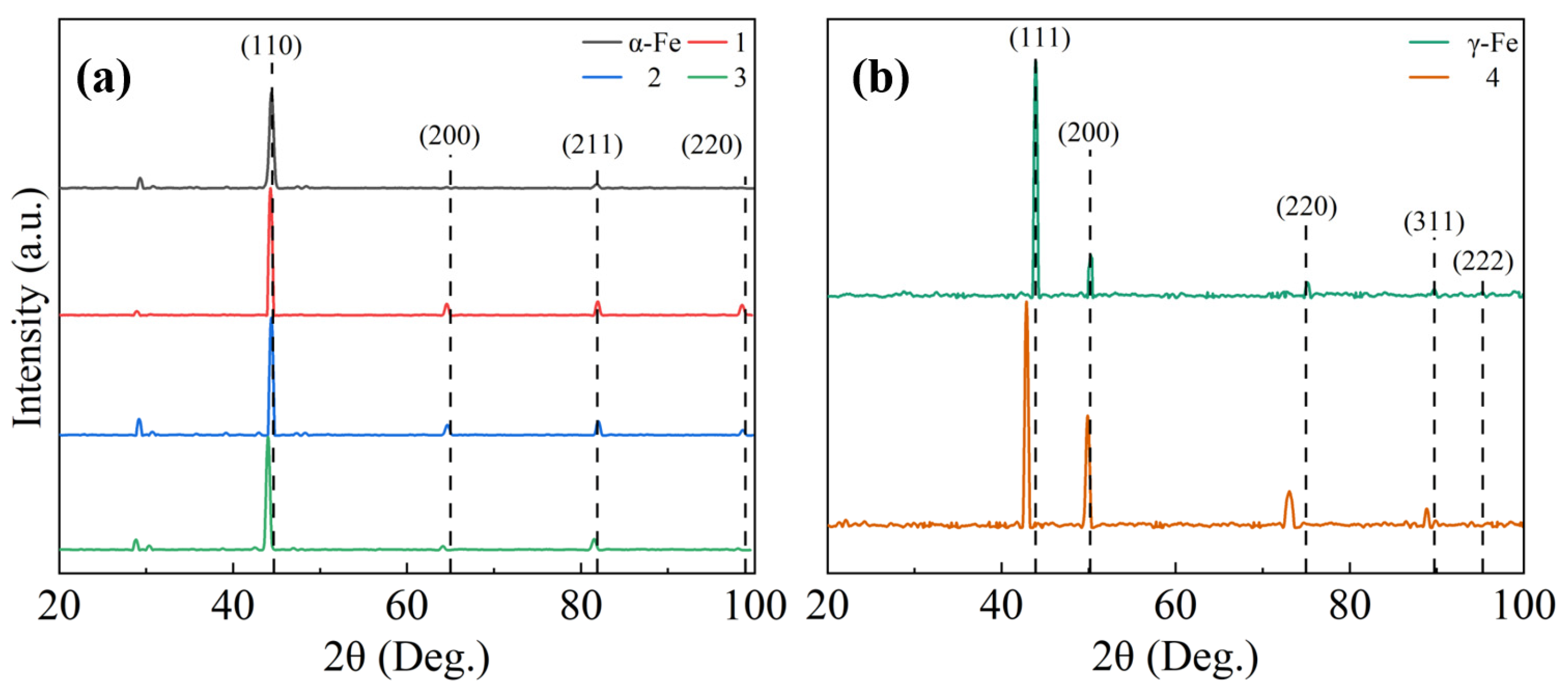
3.2. Crystal Structures of Fe Alloys
3.3. First-Principles Calculations and Analysis
3.4. Thermodynamic Analysis
3.5. Effects of the Crystal Defects
4. Conclusions
- (1)
- The solid solubility of lanthanum in the four experimental Fe alloys was 11.61 ppm, 14.34 ppm, 29.06 ppm, and 37.05 ppm, respectively. Meanwhile, their solid solution rates were 3.74%, 4.94%, 9.69%, and 12.35%, respectively. In addition, most of the lanthanum formed inclusions in the Fe alloys.
- (2)
- Although the changes in the Gibbs free energy values during the La atoms’ solid solution process were all positive, trace amounts of La atoms were still dissolved in the matrix of the Fe alloys, owing to the presence of crystal defects such as grain boundaries and dislocations, which offer low-energy sites for the accommodation of solid solution atoms.
- (3)
- Based on the concurrent influences of the solvation energy and crystal defects, the increase in the mixing entropy led to a decrease in the Gibbs free energy required for the formation of solid solutions, serving as the fundamental impetus for enhancing the solid solubility of La atoms in Fe alloys.
Author Contributions
Funding
Data Availability Statement
Conflicts of Interest
References
- Caretta, L.; Rosenberg, E.; Büttner, F.; Fakhrul, T.; Gargiani, P.; Valvidares, M.; Chen, Z.; Reddy, P.; Muller, D.A.; Ross, C.A.; et al. Interfacial Dzyaloshinskii-Moriya interaction arising from rare-earth orbital magnetism in insulating magnetic oxides. Nat. Commun. 2020, 11, 1090. [Google Scholar] [CrossRef] [PubMed]
- Zheng, J.H.; Feng, Y.; Zhao, Y.; Chen, Y.Q. High-temperature oxidation behavior and mechanism of 18Cr-Mo-type ferritic stainless steel containing W and Ce in simulated automotive exhaust gas. J. Iron. Steel Res. Int. 2024, 1–17. [Google Scholar] [CrossRef]
- Pollnau, M. Rare-earth-ion-doped channel waveguide lasers on silicon. IEEE J. Sel. Top. Quantum Electron. 2014, 21, 414–425. [Google Scholar] [CrossRef]
- Qu, W.; Hou, Y.; Ren, H.P.; Zhang, M.X.; Ji, Y.P. Grain refinement of the CrMnFeCoNi high entropy alloy cast ingots by adding lanthanum. Metall. Mater. Trans. B 2021, 52, 1194–1199. [Google Scholar]
- Ma, F.X.; Gu, Q.; Liu, G.Q.; Zhang, Y.; Li, H.X. A systematic study of carbon-free oxide-based lining for preventing submerged entry nozzle clogging in continuous casting of rare earth steel. J. Iron. Steel Res. Int. 2024, 1–12. [Google Scholar]
- Wang, Y.H.; Bai, S.C.; Liang, H.; Li, C.; Tan, T.Y.; Yang, G.; Wang, J.W. Lanthanide ions doped rare earth-based double perovskite single crystals for light-emitting diodes. J. Alloys Compd. 2023, 934, 167952. [Google Scholar] [CrossRef]
- Dong, F.T.; Venezuela, J.; Li, H.X.; Shi, Z.M.; Zhou, Q.J.; Chen, L.S.; Chen, J.; Du, L.X.; Atrens, A. Effect of vanadium and rare earth microalloying on the hydrogen embrittlement susceptibility of a Fe-18Mn-0.6 C TWIP steel studied using the linearly increasing stress test. Corros. Sci. 2021, 185, 109440. [Google Scholar]
- Kang, J.; Wang, H.P.; Wang, Y.; Chen, K. Effect of steel-refractory reactions on inclusion modification in lanthanum-, cerium-, and yttrium-added steels. Ceram. Int. 2024, 50, 31364–31374. [Google Scholar] [CrossRef]
- Li, D.Z.; Wang, P.; Chen, X.Q.; Fu, P.X.; Luan, Y.K.; Hu, X.Q.; Liu, H.W.; Sun, M.Y.; Chen, Y.; Cao, Y.F.; et al. Low-oxygen rare earth steels. Nat. Mater. 2022, 21, 1137–1143. [Google Scholar] [CrossRef]
- Zhang, P.Z.; Meng, Z.; Li, G.Q.; Liu, C.; Wang, X.J.; Liu, Y. Industrial Trials on the Cleanliness Improvement, Microstructure Refinement and Performance Enhancement of Rare-Earth-Treated 75Cr1 Steel. Steel Res. Int. 2024, 96, 2400576. [Google Scholar] [CrossRef]
- Guo, Y.; Sun, S.F.; Song, S.H. Effect of minor rare earth cerium addition on the hot ductility of a reactor pressure vessel steel. Results Phys. 2019, 15, 102746. [Google Scholar] [CrossRef]
- Bai, G.J.; Yang, J.C.; Liang, W.J. Effect of lanthanum-cerium mixed rare earth on inclusions in U76CrRe eavy rail steel. Can. Metall. Q. 2023, 62, 720. [Google Scholar] [CrossRef]
- Wang, X.Q.; Wu, Z.W.; Li, B.; Chen, W.X.; Zhang, J.; Mao, J. Inclusions modification by rare earth in steel and the resulting properties: A review. J. Rare Earths 2024, 42, 431–445. [Google Scholar] [CrossRef]
- Ueda, K.; Nakaoka, S.; Narushima, T. β-Grain Refinement of α+β-Type Ti-4.5 Al-6Nb-2Fe-2Mo Alloy by Using Rare-Earth-Oxide Precipitates. Mater. Trans. 2013, 54, 161–168. [Google Scholar] [CrossRef]
- Guo, Z.; Lee, C.S.; Morris, J.W. On coherent transformations in steel. Acta Mater. 2004, 52, 5511–5518. [Google Scholar] [CrossRef]
- Meng, C.C.; Tang, H.Q.; Wang, C.; Sun, Y.H.; Peng, F.; Zheng, X.; Wang, J.S. Anti-fading study of Al-Ti-B by adding Ce on 6111 aluminum alloy. J. Mater. Res. Technol. 2024, 30, 2420–2434. [Google Scholar] [CrossRef]
- Fu, X.M.; Jiang, J.X.; Jiang, X.S. Research progress in interfacial characteristics and strengthening mechanisms of rare earth metal oxide-reinforced copper matrix composites. Materials 2022, 15, 5350. [Google Scholar] [CrossRef]
- Nhlapo, T.A.; Dlamini, S.T.; Mokoena, T.P.; Mokhena, T.C.; Mahule, T.S.; Malevu, T.D.; Moyo, T. Influence of rare-earth elements (RE=Ce, Nd, Gd) on structural, ESR and Mössbauer spectroscopy studies of Ni0.5Co0.5RE0.03Fe1.97O4 synthesized by glycol-thermal method. J. Solid State Chem. 2024, 330, 124479. [Google Scholar] [CrossRef]
- Wang, H.H.; Long, Q.; Zeng, J.; Cao, X.; Zhou, Y.; Zheng, Z.X.; Wang, W.L. Purifying 7CrSiMnMoV Steel from Scrap Modified with Rare Earth Cerium Alloying. J. Sustain. Metall. 2024, 10, 1–16. [Google Scholar] [CrossRef]
- Yue, L.J.; Wang, L.M.; Han, J.S. Effects of rare earth on inclusions and corrosion resistance of 10PCuRE weathering steel. J. Rare Earths 2010, 28, 952–956. [Google Scholar] [CrossRef]
- Han, Y.J.; Wang, H.; Zhang, T.L.; He, Y.K.; Jiang, C.B. Exploring structural origin of the enhanced magnetostriction in Tb-doped Fe83Ga17 ribbons: Tuning Tb solubility. Scr. Mater. 2018, 150, 101–105. [Google Scholar] [CrossRef]
- Yabe, H.; Kuji, T. Crystal structure and its magnetization of rare earth-iron alloys by mechanical alloying. J. Alloys Compd. 2006, 408, 313–318. [Google Scholar] [CrossRef]
- Ahn, J.H.; Jung, H.D.; Im, J.H.; Jung, K.H.; Moon, B.M. Influence of the addition of gadolinium on the microstructure and mechanical properties of duplex stainless steel. Mater. Sci. Eng. A 2016, 658, 255–262. [Google Scholar] [CrossRef]
- Wei, G.M.; Li, M.H.; Fang, Q.; Sun, W.; Jin, Z.L. Effect of ‘genetic’ rare earth on alloy dissolution behavior in micro-alloyed steel. Mater. Res. Express 2021, 8, 056511. [Google Scholar] [CrossRef]
- Li, Y.G.; Guo, F.; Wang, Y.W.; Cai, H.S.; Liu, L. Quantitative analysis of rare earth elements in Mg-Zn-RE (Ce, Y., Gd)-Zr alloy. Mater. Res. Express 2022, 9, 046518. [Google Scholar] [CrossRef]
- Tang, F.W.; Hou, C.; Lu, H.; Zhao, Z.; Song, X.Y. Grain-boundary segregation and grain growth in nanocrystalline substitutional solid solution alloys. J. Mater. Sci. Technol. 2024, 168, 239–249. [Google Scholar] [CrossRef]
- Tang, F.W.; Liu, X.M.; Wang, H.B.; Hou, C.; Lu, H.; Nie, Z.R.; Song, X.Y. Solute segregation and thermal stability of nanocrystalline solid solution systems. Nanoscale 2019, 11, 1813–1826. [Google Scholar] [CrossRef]
- Qu, W.; Hou, Y.; Li, W.; Liu, Y.B.; Xing, L.; Ren, H.P. Microstructure control and strength improvement of La0.005Al0.17FeCoCrNiMn high entropy alloy by rapid solidification and aging treatment. J. Alloys Compd. 2021, 874, 159960. [Google Scholar] [CrossRef]
- Khalid, S.; Ma, Y.; Sun, X.L.; Zhou, G.G.; Wu, H.C.; Lu, G.W.; Yang, Z.Q.; Khan, J.; Khenata, R.; Bouhemadou, A. Electronic and optical properties of Tl4GeX3 (X=S, Se and Te) compounds for optoelectronics applications: Insights from DFT-computations. J. Mater. Res. Technol. 2020, 9, 413–420. [Google Scholar] [CrossRef]
- Blöchl, P.E.; Jepsen, O.; Andersen, O.K. Improved tetrahedron method for Brillouin-zone integrations. Phys. Rev. B 1994, 49, 16223. [Google Scholar] [CrossRef]
- Kacher, J.; Landon, C.; Adams, B.L.; Fullwood, D. Bragg’s Law diffraction simulations for electron backscatter diffraction analysis. Ultramicroscopy 2009, 109, 1148–1156. [Google Scholar] [CrossRef]
- Menon, E.S.K.; Fox, A.G.; Mahapatra, R. Accurate determination of the lattice parameters of γ-TiAl alloys. J. Mater. Sci. Lett. 1996, 15, 1231–1233. [Google Scholar]
- Yang, M.; Guo, Z.X.; Xiong, J.; Liu, F.J.; Qi, K.F. Microstructural changes of (Ti, W) C solid solution induced by ball milling. Int. J. Refract. Met. Hard Mater 2017, 66, 83–87. [Google Scholar]
- Thirathipviwat, P.; Sato, S.; Song, G.; Bednarcik, J.; Nielsch, K.; Jung, J.; Han, J. A role of atomic size misfit in lattice distortion and solid solution strengthening of TiNbHfTaZr high entropy alloy system. Scr. Mater. 2022, 210, 114470. [Google Scholar]
- Roy, A.; Sreeramagiri, P.; Babuska, T.; Krick, B.; Ray, P.K.; Balasubramanian, G. Lattice distortion as an estimator of solid solution strengthening in high-entropy alloys. Mater. Charact. 2021, 172, 110877. [Google Scholar]
- Britvin, S.N.; Bogdanova, A.N.; Boldyreva, M.M.; Aksenova, G.Y. Rudashevskyite, the Fe-dominant analogue of sphalerite, a new mineral: Description and crystal structure. Am. Mineral. 2008, 93, 902–909. [Google Scholar]
- Olsson, P.; Klaver, T.P.C.; Domain, C. Ab initio study of solute transition-metal interactions with point defects in bcc Fe. Phys. Rev. B Condens 2010, 81, 054102. [Google Scholar] [CrossRef]
- You, Y.; Yan, J.H.; Yan, M.F.; Zhang, C.S.; Chen, H.T.; Wang, Y.X.; Zhang, Y.X.; Wang, C.H. La interactions with C and N in bcc Fe from first principles. J. Alloys Compd. 2016, 688, 261–269. [Google Scholar]
- Yu, X.; Lin, G.T.; Zhang, Z.H.; Xie, J.X. Electronic structure characteristics of Fe-6.5 wt% Si alloy doped with rare earth elements and its effect on mechanical properties. J. Alloys Compd. 2020, 843, 155916. [Google Scholar]
- Wu, X.F.; Zhao, F.; Chen, M.G.; Ji, Z.H.; Ma, Q. A simple way of calculating the change in the Gibbs’ free energy of ion adsorption reactions. Adsorpt. Sci. Technol. 2009, 27, 1–17. [Google Scholar]
- Qu, W.; Ji, C.; Min, L.L.; Liu, Y.B.; Li, W.; Xing, L.; Ren, H.P. Super capacity of boron on the grain refinement of FeCoCrNiMn high entropy alloy. J. Alloys Compd. 2023, 945, 169320. [Google Scholar] [CrossRef]
- De Boer, F.R.; Mattens, W.C.M.; Boom, R.; Miedema, A.R.; Niessen, A.K. Cohesion in Metals. Transition Metal Alloys; U.S. Department of Energy Office of Scientific and Technical Information: Oak Ridge, TN, USA, 1988.
- Dawson, J.A.; Tanaka, I. Local structure and energetics of Pr-and La-doped SrTiO3 grain boundaries and the influence on core-shell structure formation. J. Phys. Chem. C 2014, 118, 25765–25778. [Google Scholar] [CrossRef]
- Zhang, Y.W.; Zhao, S.J.; Weber, W.J.; Nordlund, K.; Granberg, F.; Djurabekova, F.G. Atomic-level heterogeneity and defect dynamics in concentrated solid-solution alloys. Curr. Opin. Solid State Mater. Sci. 2017, 21, 221–237. [Google Scholar] [CrossRef]
- Qu, W.; Hou, Y.; Li, W.; Xing, L.; Liu, Y.B.; Ren, H.P. Enhancing strength via nano-lattice defects in La0.008Al0.08FeCoCrNiMn high-entropy alloy produced by rapid solidification, cold rolling and annealing. Mater. Sci. Eng. A 2022, 839, 142860. [Google Scholar] [CrossRef]
- Williamson, G.K.; Hall, W.H. X-ray line broadening from filed aluminium and wolfram. Acta Metall. 1953, 1, 22–31. [Google Scholar] [CrossRef]
- Tanbir, K.; Ghosh, M.P.; Kar, M.; Mukherjee, S. Tailoring the microstructural, magnetic and dielectric properties of vanadium ions substituted nickel ferrite nanocrystals. J. Mater. Sci. Mater. Electron. 2021, 32, 10140–10150. [Google Scholar]
- Zak, A.K.; Majid, W.H.A.; Abrishami, M.E.; Yousefi, R. X-ray analysis of ZnO nanoparticles by Williamson-Hall and size-strain plot methods. Solid State Sci. 2011, 13, 251–256. [Google Scholar]










| No. | Mn | Si | Al | C | Nb | O | S | P | La | Fe | Smix |
|---|---|---|---|---|---|---|---|---|---|---|---|
| 1 | 0 | 0 | 0 | 0 | 0 | 0.003 | 0.001 | 0.002 | 0.031 | Bal | 0.0012R |
| 2 | 0 | 0 | 0 | 0.1 | 0 | 0.003 | 0.001 | 0.002 | 0.290 | Bal | 0.0308R |
| 3 | 5.5 | 0.1 | 0.02 | 0.16 | 0 | 0.003 | 0.001 | 0.002 | 0.030 | Bal | 0.2769R |
| 4 | 22 | 0.11 | 0.04 | 0.6 | 0.03 | 0.003 | 0.001 | 0.002 | 0.030 | Bal | 0.6665R |
| No. | La (ppm) | M1 (g) | M2 (g) | C (ng/mL) | w (ppm) | Rw (%) |
|---|---|---|---|---|---|---|
| 1 | 310 | 52.5006 | 51.9321 | 26.40 | 11.61 | 3.74 |
| 2 | 290 | 51.9712 | 51.4114 | 32.10 | 14.34 | 4.94 |
| 3 | 300 | 51.5389 | 51.0670 | 54.85 | 29.06 | 9.69 |
| 4 | 300 | 51.0937 | 50.5600 | 79.10 | 37.05 | 12.35 |
| (h k l) of BCC (RT) | Pure Iron | No.1 | No.2 | No.3 | (h k l) of FCC (1273 K) | Pure Iron | No.4 |
|---|---|---|---|---|---|---|---|
| (110) | 44.70° | 44.60° | 44.60° | 44.50° | (111) | 43.92° | 42.86° |
| (200) | 65.00° | 64.86° | 64.86° | 64.62° | (200) | 50.18° | 49.90° |
| (211) | 82.34° | 82.24° | 82.22° | 82.00° | (220) | 74.98° | 73.30° |
| (220) | 98.94° | 98.86° | 98.82° | 98.54° | (311) | 89.74° | 88.84° |
| \ | \ | \ | \ | \ | (222) | 95.38° | 94.00° |
Disclaimer/Publisher’s Note: The statements, opinions and data contained in all publications are solely those of the individual author(s) and contributor(s) and not of MDPI and/or the editor(s). MDPI and/or the editor(s) disclaim responsibility for any injury to people or property resulting from any ideas, methods, instructions or products referred to in the content. |
© 2025 by the authors. Licensee MDPI, Basel, Switzerland. This article is an open access article distributed under the terms and conditions of the Creative Commons Attribution (CC BY) license (https://creativecommons.org/licenses/by/4.0/).
Share and Cite
Guan, W.; Qu, W.; Liang, Z.; Ren, H.; Li, Z.; Liu, Z.; Ji, C.; Zhang, W.; Sun, H.; Song, J. Effect of Mixing Entropy on the Solid Solubility of Lanthanum in Fe Alloys. Metals 2025, 15, 352. https://doi.org/10.3390/met15040352
Guan W, Qu W, Liang Z, Ren H, Li Z, Liu Z, Ji C, Zhang W, Sun H, Song J. Effect of Mixing Entropy on the Solid Solubility of Lanthanum in Fe Alloys. Metals. 2025; 15(4):352. https://doi.org/10.3390/met15040352
Chicago/Turabian StyleGuan, Wenhao, Wei Qu, Zhigang Liang, Huiping Ren, Zhili Li, Zhouli Liu, Cheng Ji, Wenbin Zhang, Haoyuan Sun, and Jiangsen Song. 2025. "Effect of Mixing Entropy on the Solid Solubility of Lanthanum in Fe Alloys" Metals 15, no. 4: 352. https://doi.org/10.3390/met15040352
APA StyleGuan, W., Qu, W., Liang, Z., Ren, H., Li, Z., Liu, Z., Ji, C., Zhang, W., Sun, H., & Song, J. (2025). Effect of Mixing Entropy on the Solid Solubility of Lanthanum in Fe Alloys. Metals, 15(4), 352. https://doi.org/10.3390/met15040352
