Total Component Recovery of Waste Zn-Mn Batteries via Reduction Roasting Followed by Leaching Process: In Situ Preparation of Nano-ZnO Whiskers
Abstract
1. Introduction
2. Materials and Methods
2.1. Materials
2.2. Methods
2.3. Analysis and Characterizations
3. Results and Discussion
3.1. Thermodynamic Analysis of Zn-Mn Batteries During the Reduction Roasting and Leaching Process
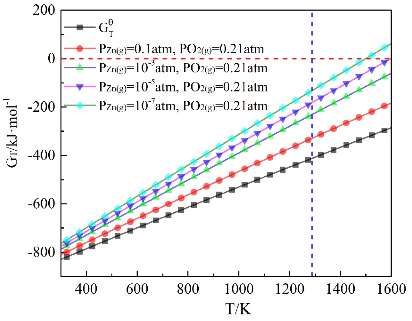
3.1.1. Reduction of Zn-Mn Oxides During the Roasting Process
3.1.2. E-pH Analysis of Zn-Mn Oxides Under Acid Leaching Process
3.2. Recovery of Zn During the Autocatalytic Reduction Roasting Process
3.2.1. Effect of Roasting Condition on the Zn Volatilization
3.2.2. Phase Transformations of Mn-Zn Oxides During the Roasting Process
3.2.3. In Situ Preparation of Nano-ZnO Whiskers
3.3. Leaching Behavior of Mn from the Reduction-Roasted Residues
4. Conclusions
Author Contributions
Funding
Data Availability Statement
Conflicts of Interest
References
- Luo, H.; Liu, B.; Yang, Z.; Wan, Y.; Zhong, C. The Trade-Offs in the Design of Reversible Zinc Anodes for Secondary Alkaline Batteries. Electrochem. Energy Rev. 2022, 5, 187–210. [Google Scholar] [CrossRef]
- Tran, L.-H.; Tanong, K.; Jabir, A.D.; Mercier, G.; Blais, J.-F. Hydrometallurgical Process and Economic Evaluation for Recovery of Zinc and Manganese from Spent Alkaline Batteries. Metals 2020, 10, 1175. [Google Scholar] [CrossRef]
- Ma, S.; Liao, C.-Z.; Leung, K.-M.; Zhou, Y.; Shih, K. Self-Consumed Strategy to Reuse Cathode Residue for Zn Stabilization in Spent Batteries: Structural Properties and Metal Stabilization Effect. Waste Manag. 2023, 168, 272–280. [Google Scholar] [CrossRef] [PubMed]
- Luo, X.; Wu, C.; Lin, Y.; Li, W.; Deng, M.; Tan, J.; Xue, S. Soil Heavy Metal Pollution from Pb/Zn Smelting Regions in China and the Remediation Potential of Biomineralization. J. Environ. Sci. 2023, 125, 662–677. [Google Scholar] [CrossRef]
- Jiang, Y.; Wei, C.; Jiao, Q.; Li, G.; Alyemeni, M.N.; Ahmad, P.; Shah, T.; Fahad, S.; Zhang, J.; Zhao, Y.; et al. Interactive Effect of Silicon and Zinc on Cadmium Toxicity Alleviation in Wheat Plants. J. Hazard. Mater. 2023, 458, 131933. [Google Scholar] [CrossRef]
- Gao, P.; Yuan, P.; Yue, T.; Zhao, X.; Shen, B. Recycling Metal Resources from Various Spent Batteries to Prepare Electrode Materials for Energy Storage: A Critical Review. J. Energy Storage 2023, 68, 107652. [Google Scholar] [CrossRef]
- Liu, M.; Zhang, K.; Liang, Y.; Yang, Y.; Chen, Z.; Liu, W. Life Cycle Environmental and Economic Assessment of Electric Bicycles with Different Batteries in China. J. Clean. Prod. 2023, 385, 135715. [Google Scholar] [CrossRef]
- Rinne, T.; Klemettinen, A.; Klemettinen, L.; Ruismäki, R.; O’Brien, H.; Jokilaakso, A.; Serna-Guerrero, R. Recovering Value from End-of-Life Batteries by Integrating Froth Flotation and Pyrometallurgical Copper-Slag Cleaning. Metals 2021, 12, 15. [Google Scholar] [CrossRef]
- Łukomska, A.; Wiśniewska, A.; Dąbrowski, Z.; Kolasa, D.; Luchcińska, S.; Lach, J.; Wróbel, K.; Domańska, U. Recovery of Zinc and Manganese from “Black Mass” of Waste Zn-MnO2 Alkaline Batteries by Solvent Extraction Technique with Ionic Liquids, DESs and Organophosphorous-Based Acids. J. Mol. Liq. 2021, 338, 116590. [Google Scholar] [CrossRef]
- Sobianowska-Turek, A.; Szczepaniak, W.; Maciejewski, P.; Gawlik-Kobylińska, M. Recovery of Zinc and Manganese, and Other Metals (Fe, Cu, Ni, Co, Cd, Cr, Na, K) from Zn-MnO2 and Zn-C Waste Batteries: Hydroxyl and Carbonate Co-Precipitation from Solution after Reducing Acidic Leaching with Use of Oxalic Acid. J. Power Sources 2016, 325, 220–228. [Google Scholar] [CrossRef]
- Chen, B.; Miao, H.; Yin, M.; Hu, R.; Xia, L.; Zhang, C.; Yuan, J. Mn-Based Spinels Evolved from Layered Manganese Dioxides at Mild Temperature for the Robust Flexible Quasi-Solid-State Zinc-Air Batteries. Chem. Eng. J. 2021, 417, 129179. [Google Scholar] [CrossRef]
- Hu, X.; Robles, A.; Vikström, T.; Väänänen, P.; Zackrisson, M.; Ye, G. A Novel Process on the Recovery of Zinc and Manganese from Spent Alkaline and Zinc-Carbon Batteries. J. Hazard. Mater. 2021, 411, 124928. [Google Scholar] [CrossRef] [PubMed]
- Işıldar, A.; Rene, E.R.; Van Hullebusch, E.D.; Lens, P.N.L. Electronic Waste as a Secondary Source of Critical Metals: Management and Recovery Technologies. Resour. Conserv. Recycl. 2018, 135, 296–312. [Google Scholar] [CrossRef]
- Wang, F.; Long, G.; Ma, K.; Zeng, X.; Tang, Z.; Dong, R.; He, J.; Shangguan, M.; Hu, Q.; Liew, R.K.; et al. Recyling Manganese-Rich Electrolytic Residues: A Review. Environ. Chem. Lett. 2023, 21, 2251–2284. [Google Scholar] [CrossRef]
- Belardi, G.; Lavecchia, R.; Medici, F.; Piga, L. Thermal Treatment for Recovery of Manganese and Zinc from Zinc–Carbon and Alkaline Spent Batteries. Waste Manag. 2012, 32, 1945–1951. [Google Scholar] [CrossRef]
- Buzatu, M.; Săceanu, S.; Petrescu, M.I.; Ghica, G.V.; Buzatu, T. Recovery of Zinc and Manganese from Spent Batteries by Reductive Leaching in Acidic Media. J. Power Sources 2014, 247, 612–617. [Google Scholar] [CrossRef]
- Zhan, L.; Li, O.; Xu, Z. Preparing Nano-Zinc Oxide with High-Added-Value from Waste Zinc Manganese Battery by Vacuum Evaporation and Oxygen-Control Oxidation. J. Clean. Prod. 2020, 251, 119691. [Google Scholar] [CrossRef]
- Su, Z.; Zhang, Y.; Han, B.; Liu, B.; Lu, M.; Peng, Z.; Li, G.; Jiang, T. Synthesis, Characterization, and Catalytic Properties of Nano-SnO by Chemical Vapor Transport (CVT) Process under CO-CO2 Atmosphere. Mater. Des. 2017, 121, 280–287. [Google Scholar] [CrossRef]
- Farzana, R.; Rajarao, R.; Hassan, K.; Behera, P.R.; Sahajwalla, V. Thermal Nanosizing: Novel Route to Synthesize Manganese Oxide and Zinc Oxide Nanoparticles Simultaneously from Spent Zn–C Battery. J. Clean. Prod. 2018, 196, 478–488. [Google Scholar] [CrossRef]
- You, Z.; Li, G.; Zhang, Y.; Peng, Z.; Jiang, T. Extraction of Manganese from Iron Rich MnO2 Ores via Selective Sulfation Roasting with SO2 Followed by Water Leaching. Hydrometallurgy 2015, 156, 225–231. [Google Scholar] [CrossRef]
- Petranikova, M.; Ebin, B.; Mikhailova, S.; Steenari, B.-M.; Ekberg, C. Investigation of the Effects of Thermal Treatment on the Leachability of Zn and Mn from Discarded Alkaline and ZnC Batteries. J. Clean. Prod. 2018, 170, 1195–1205. [Google Scholar] [CrossRef]
- Liu, B.; Zhang, Y.; Su, Z.; Peng, Z.; Li, G.; Jiang, T. Thermodynamic Analysis and Reduction of MnO2 by Methane–Hydrogen Gas Mixture. JOM 2017, 69, 1669–1675. [Google Scholar] [CrossRef]
- GB/T 6890-2012; Zinc Powder. China Nonferrous Metals Industry Association: Beijing, China, 2012.
- Colibaba, G.V. ZnO Doping Efficiency by Multivalent Metals in Complex CVT Reactions. Solid State Sci. 2019, 97, 105944. [Google Scholar] [CrossRef]
- GB/T 19589-2004; Nano-Zinc Oxide. China Nonferrous Metals Industry Association: Beijing, China, 2004.
- Gancheva, M.; Markova-Velichkova, M.; Atanasova, G.; Kovacheva, D.; Uzunov, I.; Cukeva, R. Design and Photocatalytic Activity of Nanosized Zinc Oxides. Appl. Surf. Sci. 2016, 368, 258–266. [Google Scholar] [CrossRef]
- Hu, C.; Hu, X.; Li, R.; Xing, Y. MOF Derived ZnO/C Nanocomposite with Enhanced Adsorption Capacity and Photocatalytic Performance under Sunlight. J. Hazard. Mater. 2020, 385, 121599. [Google Scholar] [CrossRef]
- Noman, M.T.; Amor, N.; Petru, M. Synthesis and Applications of ZnO Nanostructures (ZONSs): A Review. Crit. Rev. Solid State Mater. Sci. 2022, 47, 99–141. [Google Scholar] [CrossRef]
- Yu, S.; Zhou, J.; Ren, Y.; Yang, Z.; Zhong, M.; Feng, X.; Su, B.; Lei, Z. Excellent Adsorptive-Photocatalytic Performance of Zinc Oxide and Biomass Derived N, O-Contained Biochar Nanocomposites for Dyes and Antibiotic Removal. Chem. Eng. J. 2023, 451, 138959. [Google Scholar] [CrossRef]
- Zhang, Y.; You, Z.; Li, G.; Jiang, T. Manganese Extraction by Sulfur-Based Reduction Roasting–Acid Leaching from Low-Grade Manganese Oxide Ores. Hydrometallurgy 2013, 133, 126–132. [Google Scholar] [CrossRef]
- Paek, M.-K.; Pak, J.-J.; Kang, Y.-B. Phase Equilibria and Thermodynamics of Mn–C, Mn–Si, Si–C Binary Systems and Mn–Si–C Ternary System by Critical Evaluation, Combined with Experiment and Thermodynamic Modeling. Calphad 2014, 46, 92–102. [Google Scholar] [CrossRef]
- Shi, P.; Yang, S.; Wu, G.; Chen, H.; Chang, D.; Jie, Y.; Fang, G.; Mo, C.; Chen, Y. Efficient Separation and Recovery of Lithium and Manganese from Spent Lithium-Ion Batteries Powder Leaching Solution. Sep. Purif. Technol. 2023, 309, 123063. [Google Scholar] [CrossRef]












| Mn | Zn | C | K | Ba | Mg | Cl | Al | Fe |
|---|---|---|---|---|---|---|---|---|
| 60.10 | 14.73 | 8.31 | 0.56 | 0.22 | 0.03 | 0.01 | 0.02 | 0.11 |
| Equations | Reaction Equations | -T (kJ/mol) |
|---|---|---|
| (1) | ZnO + C = CO(g) + Zn(g) | = 362.5 − 0.296T |
| (2) | 2MnO2 + C = CO(g) + Mn2O3 | = −27.4 − 0.193T |
| (3) | 3Mn2O3 + C = CO(g) + 2Mn3O4 | = −10.8 − 0.168T |
| (4) | Mn3O4 + C = CO(g) + 3MnO | = 115.7 − 0.207T |
| (5) | MnO + C = CO(g) + Mn | = 274.5 − 0.164T |
| (6) | C + CO2(g) = 2CO(g) | = 170.9 − 0.175T |
| (7) | ZnO + CO(g) = Zn(g) + CO2(g) | = 191.6 − 0.121T |
| (8) | 2MnO2 + CO(g) = Mn2O3 + CO2(g) | = −198.3 − 0.018T |
| (10) | 3Mn2O3 + CO(g) = 2Mn3O4 + CO2(g) | = −183.7 + 0.009T |
| (11) | Mn3O4 + CO(g) = 3MnO + CO2(g) | = −55.2 − 0.033T |
| (12) | MnO + CO(g) = Mn + CO2(g) | = 103.6 + 0.011T |
| (13) | 4MnO + 8H+ = 4Mn2+ + 4H2O | = −415.5 + 0.248T |
| (14) | 2Mn2O3 + 8H+ = 4Mn2+ + 4H2O + O2(g) | = −99.3 + 0.026T |
| (15) | 4MnO2 + 8H+ = 4Mn2+ + 4H2O + 2O2(g) | = 4.6 − 0.190T |
| (16) | 4ZnO + 8H+ = 4Zn2+ + 4H2O | = −273.2 + 0.327T |
| Grade/wt.% | Recovery/wt.% | |||
|---|---|---|---|---|
| Mn | Zn | Mn | Zn | |
| Raw materials | 60.10 | 14.73 | - | - |
| Volatile products | - | 99.9 | - | 99.5 |
| Leaching solution | 0.12 g/mL | - | 99.8 | - |
Disclaimer/Publisher’s Note: The statements, opinions and data contained in all publications are solely those of the individual author(s) and contributor(s) and not of MDPI and/or the editor(s). MDPI and/or the editor(s) disclaim responsibility for any injury to people or property resulting from any ideas, methods, instructions or products referred to in the content. |
© 2025 by the authors. Licensee MDPI, Basel, Switzerland. This article is an open access article distributed under the terms and conditions of the Creative Commons Attribution (CC BY) license (https://creativecommons.org/licenses/by/4.0/).
Share and Cite
Lv, W.; Li, Q.; Su, Z. Total Component Recovery of Waste Zn-Mn Batteries via Reduction Roasting Followed by Leaching Process: In Situ Preparation of Nano-ZnO Whiskers. Metals 2025, 15, 256. https://doi.org/10.3390/met15030256
Lv W, Li Q, Su Z. Total Component Recovery of Waste Zn-Mn Batteries via Reduction Roasting Followed by Leaching Process: In Situ Preparation of Nano-ZnO Whiskers. Metals. 2025; 15(3):256. https://doi.org/10.3390/met15030256
Chicago/Turabian StyleLv, Wei, Qiuyu Li, and Zijian Su. 2025. "Total Component Recovery of Waste Zn-Mn Batteries via Reduction Roasting Followed by Leaching Process: In Situ Preparation of Nano-ZnO Whiskers" Metals 15, no. 3: 256. https://doi.org/10.3390/met15030256
APA StyleLv, W., Li, Q., & Su, Z. (2025). Total Component Recovery of Waste Zn-Mn Batteries via Reduction Roasting Followed by Leaching Process: In Situ Preparation of Nano-ZnO Whiskers. Metals, 15(3), 256. https://doi.org/10.3390/met15030256

