A Review on the Magnetovolume Effect of the Full Heusler Alloys Ni2MnZ (Z = In, Sn, Sb)
Abstract
1. Introduction
2. Experimental Methodology
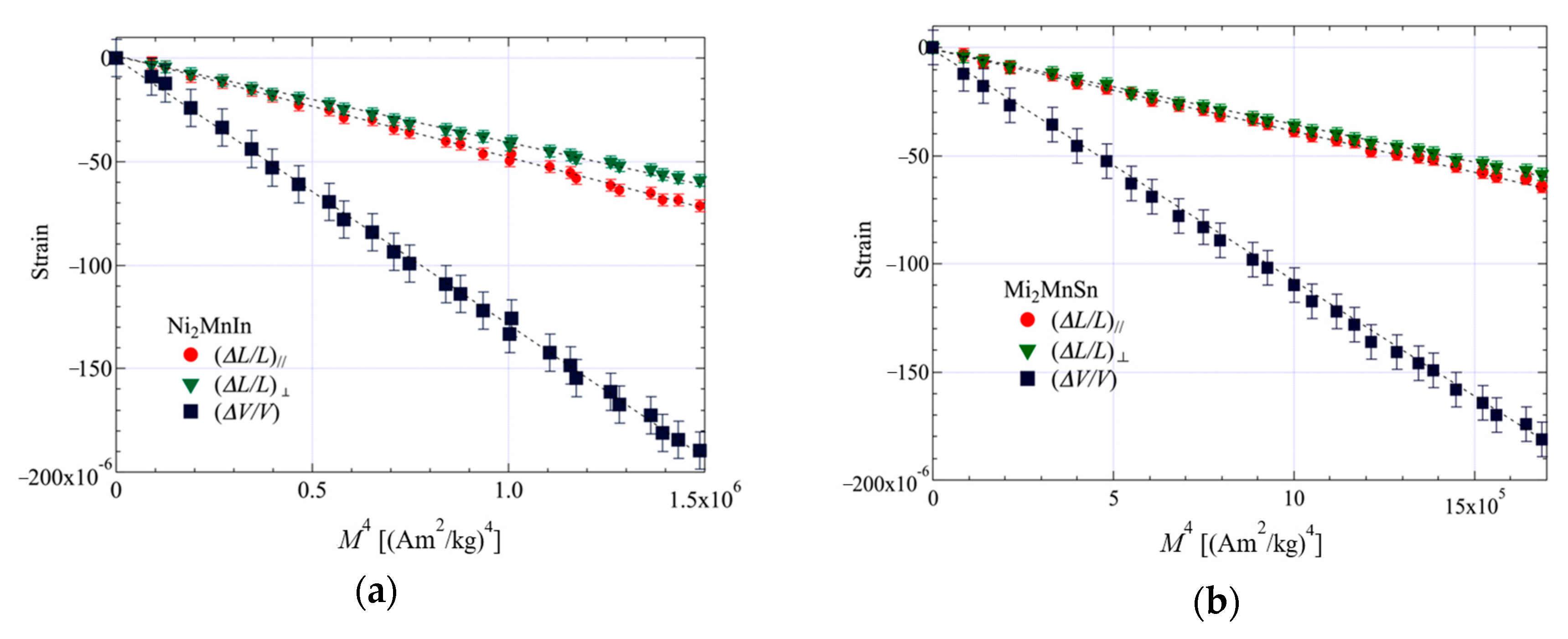
3. Magnetic and Electronic Properties of Ni2MnZ (Z = In, Sn, Sb) at Ambient Pressure
4. Magnetic Properties of Ni2MnZ (Z = In, Sn, Sb) Under Pressure
5. Summary
Author Contributions
Funding
Data Availability Statement
Conflicts of Interest
Symbols and Abbreviations Used in the Text
| a | lattice parameter |
| dMn-Mn | nearest neighbor Mn-Mn distance |
| DOS | density of state |
| E | energy |
| EF | Fermi energy |
| F1 | fourth-order expansion coefficient of the magnetic free energy |
| H | magnetic field |
| J | exchange interaction parameter |
| kB | Boltzmann constant |
| ΔL/L | forced linear magnetostriction |
| M | magnetization |
| MCS | magnetic Compton scattering |
| Ms | spontaneous magnetization |
| N0 | number of magnetic sites |
| p | pressure |
| ptot | total magnetic moment per formula unit |
| pNi | atomic moment per Ni atom |
| ps | magnetic moment per formula unit |
| peff | effective magnetic moment |
| RKKY | Ruderman–Kittel–Yoshida–Kasuya |
| T | temperature |
| T0 | parameter characterized by the spectral width of the spin fluctuation spectra in wave vector space |
| TA | parameter characterized by the spectral width of the spin fluctuation spectra in frequency space |
| TC | Curie temperature |
| TDPAC | time differential perturbed angular correlation |
| TG | Griffith’s temperature |
| TM | martensitic transition temperature |
| U | Coulomb energy |
| V | volume |
| V0 | volume at ambient pressure |
| ΔV/V | forced volume magnetostriction |
| XMCD | X-ray magnetic circular dichroism |
| γA, γ0 | magnetic Grüneisen parameter |
| γ0,A | weighted average of γA and γ0 |
| θp | paramagnetic Curie temperature |
| κ | compressibility |
| μB | Bohr magneton |
| χ | magnetic susceptibility |
| χ0 | ferromagnetic susceptibility |
References
- Webster, P.J.; Ziebeck, K.R.A.; Town, S.L.; Peak, M.S. Magnetic order and phase transformation in Ni2MnGa. Philos. Mag. B 1984, 49, 295–310. [Google Scholar] [CrossRef]
- Chen, J.H.; Chhetri, T.P.; Wrobel, N.; Bai, X.; Young, D.P.; Dubenko, I.; Talapatra, S.; Ali, N.; Stadler, S. Phase transitions in the Co-doped Heusler alloy Ni2Mn1-xCoxGa. J. Appl. Phys. 2024, 136, 233901. [Google Scholar] [CrossRef]
- Chen, J.H.; Chhetri, T.P.; Grant, A.T.; Chang, C.-K.; Young, D.P.; Dubenko, I.; Ali, N.; Stadler, S. The effect of Cu-substitution and high-pressure synthesis on phase transitions in Ni2MnGa Heusler alloys. J. Alloys Compd. 2022, 900, 163480. [Google Scholar] [CrossRef]
- Cejpek, P.; Proschek, P.; Straka, L.; Heczko, O. Dependence of martensite transformation temperature on magnetic field in Ni2MnGa and Ni2MnGa0.95In0.05 single crystals. J. Alloys Compd. 2022, 908, 164514. [Google Scholar] [CrossRef]
- Kovaliuk, T.; Vondráčková, B.; Valenta, J.; Colman, R.H.; Klicpera, M. Evolution of magnetic and structural phase transitions in solid solutions Ni2MnGa1-xGex. J. Alloys Compd. 2022, 894, 162441. [Google Scholar] [CrossRef]
- Li, G.; Xu, L.; Cao, Z. A unified physical mechanism for martensitic phase transition and ductility in Ni-Mn-based ferromagnetic shape memory alloys: The case of Cu-doped Ni2MnGa. J. Mater. Chem. C 2023, 11, 6173. [Google Scholar] [CrossRef]
- Karunakaran, M.; Banerjee, R. Ab-initio study of tuning the electronic and magnetic properties of Ni2MnGa Heusler alloy by Co and Mn compound doping. J. Magn. Magn. Mater. 2023, 568, 170419. [Google Scholar]
- Bhattacharya, J.; Sadhukhan, P.; Sarkar, S.; Singh, V.K.; Gloskovskii, A.; Barman, S.R.; Chakrabarti, A. Bulk electronic structure of Ni2MnGa studied by density functional theory and hard x-ray photoelectron spectroscopy. Phys. Rev. B 2023, 108, L121114. [Google Scholar] [CrossRef]
- Heczko, O.; Rameš, M.; Kopecký, V.; Veřtát, P.; Varga, M.; Straka, L. Magnetic and transformation properties of Ni2MnGa combinatorically substituted with 5 at.% of transition elements from Cr to Cu-Experimental insight. J. Magn. Magn. Mater. 2024, 589, 171510. [Google Scholar] [CrossRef]
- Ullakko, K.; Huang, J.K.; Kantner, C.; O’Handley, R.C.; Kokorin, V.V. Large magnetic-field-induced strains in Ni2MnGa single crystals. Appl. Phys. Lett. 1996, 69, 1966–1968. [Google Scholar] [CrossRef]
- Sakon, T.; Morikawa, K.; Narumi, Y.; Hagiwara, M.; Kanomata, T.; Nojiri, H.; Adachi, Y. Magnetostriction of Heusler ferromagnetic alloy, Ni2MnGa0.88Cu0.12, around martensitic transition temperature. Metals 2023, 13, 1185. [Google Scholar] [CrossRef]
- Sutou, Y.; Imano, Y.; Koeda, N.; Omori, T.; Kainuma, R.; Ishida, K.; Oikawa, K. Magnetic and martensitic transformations of NiMnX (X = In, Sn, Sb) ferromagnetic shape memory alloys. Appl. Phys. Lett. 2004, 85, 4358–4360. [Google Scholar] [CrossRef]
- Amako, Y.; Tanaka, S.; Nakashima, M.; Eto, T.; Adachi, Y.; Kanomata, T. 119Sn Mössbauer and magnetization studies of the Heusler alloy Ni2Mn1.48Sn0.52. J. Phys. Chem. Solids 2023, 172, 111101. [Google Scholar] [CrossRef]
- Kaletina, Y.V.; Gerasimov, E.G.; Terent’ev, P.B.; Kaletin, A.Y. Martensitic transformation and the electrical and magnetic properties of Ni51-xMn36+xSn13 (0 ≤ x ≤ 4) alloys. Phys. Metal. Metallogr. 2023, 124, 664. [Google Scholar] [CrossRef]
- Patel, A.K.; Samatham, S.S.; Suresh, K.G. Magnetism and transport behavior of Ni42Co8Mn38Sb12: Magnetization, electrical resistivity and Hall effect measurements. Mater. Res. Bull. 2022, 146, 111577. [Google Scholar] [CrossRef]
- Arman, M.; Shahri, F.; Gholamipour, R.; Sohrabi, S. Effect of Al doping on the magnetic, magneto-structural, and magnetocaloric properties of Ni-Mn-In Heusler alloys. Solid State Commun. 2025, 396, 115767. [Google Scholar] [CrossRef]
- Alamri, H.R.; Hamad, M.A. Verification of the phenomenological model’s validity for the conventional and inverse magnetocaloric effects in Ni50Mn34In16. J. Supercond. Novel. Magn. 2024, 37, 1917. [Google Scholar] [CrossRef]
- Emre, B.; Yuce, S.; Kavak, E.; Saritas, S.; Cicek, M.M.; Yildirim, O.; Duman, E.; Albertini, F.; Fabbrici, S. Revealing contrary contributions of the magnetic and lattice entropy to the inverse magnetocaloric effect in magnetic shape memory alloy. J. Appl. Phys. 2024, 135, 213901. [Google Scholar] [CrossRef]
- Kavak, E.; Cicek, M.M.; Saritas, S.; Emre, B. Investigation of the effect of martensitic phase transition temperature and Curie temperature difference on magnetic and magnetocaloric properties under low magnetic field on Si-doped Ni-Mn-In Heusler alloys. Phys. Scr. 2024, 99, 095924. [Google Scholar] [CrossRef]
- Saritaş, S.; Çiçek, M.M.; Kavak, E.; Gurpinar, K.; Yildirim, O.; Yuce, S.; Atakol, O.; Emre, B. Tuning of the magneto-caloric effects in Ni43Mn46In11 magnetic shape memory alloys by substitution of boron. J. Phys. Condens. Matter. 2024, 36, 075801. [Google Scholar] [CrossRef]
- Sharma, J.; Coelho, A.A.; Suresh, K.G.; Alam, A. Martensitic and room-temperature magnetocaloric properties of Mn-rich Mn-Ni-Sn Heusler alloys: Experiment and theory. Phys. Rev. B 2024, 109, 064418. [Google Scholar] [CrossRef]
- Samanta, T.; Taake, C.; Bondzio, L.; Hütten, A.; Caron, L. Interplay between the reversibility of the inverse magnetocaloric effect and kinetic arrest in Ni-Co-Mn-Sn Heusler alloys. J. Alloys Compd. 2024, 1002, 175145. [Google Scholar] [CrossRef]
- Gamzatov, A.G.; Batdalov, A.B.; Khizriev, S.K.; Aliev, A.M.; Varzaneh, A.G.; Kameli, P. High frequency dependence of the magnetocaloric effect in the Ni47Mn40Sn13 alloy: Direct measurement. J. Mater. Sci. 2023, 58, 8503. [Google Scholar] [CrossRef]
- Cheng, Y.; Luo, X.; Cao, Y.; Xu, K.; Emelyanova, S.M.; Tyutyunnik, A.P.; Dyachkova, T.V.; Marchenkov, V.V. Magneto-structural coupling induced multiple magnetic transitions and magnetocaloric effect of Ni43Mn46Sn9Ge2 alloy. J. Magn. Magn. Mater. 2022, 563, 169944. [Google Scholar] [CrossRef]
- Gamzatov, A.G.; Khizriev, S.K.; Aliev, A.M. Direct and inverse magnetocaloric effect in a Ni50Mn35Al2Sn13 Heusler-alloy ribbon sample. Phys. Metal. Metallogr. 2022, 123, 392. [Google Scholar] [CrossRef]
- Fabbrici, S.; Cugini, F.; Orlandi, F.; Amadè, N.S.; Casoli, F.; Calestani, D.; Cabassi, R.; Cavazzini, G.; Righi, L.; Solzi, M.; et al. Magnetocaloric properties at the austenitic Curie transition in Cu and Fe substituted Ni-Mn-In Heusler compounds. J. Alloys Compd. 2022, 899, 163249. [Google Scholar] [CrossRef]
- Ghosh, S.; Sangwan, S.; Mandal, S.; Datta, S.; Kar, M.; Singh, P.; Nath, T.K. Room temperature giant magneto-caloric effect in Ni45Mn44Sn11−xInx (x = 1,3) disordered Heusler alloy: The role of martensite transition. J. Magn. Magn. Mater. 2022, 562, 169797. [Google Scholar] [CrossRef]
- Lekkla, P.; Jantaratana, P. Near room-temperature magnetocaloric effect of liquid phase sintered Ni50Mn34−xIn16Crxalloys. Solid State Commun. 2022, 342, 114628. [Google Scholar] [CrossRef]
- Sarkar, S.K.; Babu, P.D.; Sharma, V.K.; Kaushik, S.D.; Goswami, S.; Manekar, M.A. Enhanced metamagnetic shape memory effect in Heusler-type Ni37Co11Mn43Sn9 polycrystalline ferromagnetic shape memory alloy. Acta Mater. 2024, 276, 120126. [Google Scholar] [CrossRef]
- Sharma, J.; Alam, A.; Suresh, K.G. Large magnetocaloric effect and exchange bias properties in Mn-Ni-Co-Sn full Heusler alloy. J. Alloys Compd. 2024, 983, 173908. [Google Scholar] [CrossRef]
- Tian, F.; Chang, T.; Zhao, Q.; Cuo, J.; Xian, L.; Cao, K.; Dai, Z.; Zhang, Y.; Zhou, C.; Yang, S. A room temperature exchange bias effect caused by the coexisting martensitic phase structures in Ni50Mn38Sb12-xGax polycrystalline Heusler alloys. Appl. Phys. Lett. 2023, 123, 232402. [Google Scholar] [CrossRef]
- Kamarád, J.; Kaštil, J.; Friák, M.; Turek, I.; Kubíčková, L.; Kaman, O.; Schneeweiss, O.; Arnold, Z. Magnetization and exchange-bias effect in powders of the Heusler Ni2MnSn-based alloys. J. Alloys Compd. 2024, 976, 173157. [Google Scholar] [CrossRef]
- Chen, Z.; Zhang, Y.; Wang, L.; Cong, D.; Sun, X. Ultra-low stress-hysteresis and huge superelasticity in NiMn-based shape memory microwire. Appl. Phys. Lett. 2024, 125, 023102. [Google Scholar] [CrossRef]
- Chernenko, V.A.; L’vov, V.A.; Cesari, E.; Kosogor, A.; Barandiaran, J.M. Transformation Volume Effects on Shape Memory Alloys. Metals 2013, 3, 237–282. [Google Scholar] [CrossRef]
- Eto, T.; Nakamoto, Y.; Kagayama, T.; Adachi, Y.; Kawaguchi, S.; Hirao, N.; Uwatoko, Y.; Nagasako, M.; Kanomata, T. Pressure-induced structural phase transition in the ferromagnetic Heusler alloy Ni2MnGa. Phys. Rev. B 2024, 109, 014101. [Google Scholar] [CrossRef]
- Şaşıoğlu, E.; Sandratskii, L.M.; Bruno, P. Role of conduction electrons in mediating exchange interactions in Mn-based Heusler alloys. Phys. Rev. B 2008, 77, 064417. [Google Scholar] [CrossRef]
- Austin, I.G.; Mishra, P.K. The effect of pressure on the Curie temperature and resistivity of some rare-earth metals and Heusler alloys. Phil. Mag. 1967, 15, 529–538. [Google Scholar] [CrossRef]
- Webster, P.J. Heuler alloys. Contemp. Phys. 1969, 10, 559–577. [Google Scholar] [CrossRef]
- Schreiner, W.H.; Brandão, D.E.; Ogiba, F.; Kunzler, J.V. Electrical resistivity of Heusler alloys. J. Phys. Chem. Solids 1982, 43, 777–780. [Google Scholar] [CrossRef]
- Buschow, K.H.J.; van Engen, P.G.; Jongebreur, R. Magneto-optical properties of metallic ferromagnetic materials. J. Magn. Magn. Magn. Mater. 1983, 38, 1–22. [Google Scholar] [CrossRef]
- Fraga, G.L.F.; Kunzler, J.V.; Ogiba, F.; Brandão, D.E. Electrical resistivity of the Ni2MnIn Heusler alloy. Phys. Stat. Sol. (a) 1984, 83, K187–K190. [Google Scholar] [CrossRef]
- Hurd, C.M.; McAlister, S.P. Galvanomagnetic properties of Ni2MnIn, Ni2MnSn and Ni2MnSb Heusler alloys. J. Magn. Magn. Mater. 1986, 61, 114–120. [Google Scholar] [CrossRef]
- Kanomata, T.; Shirakawa, K.; Kaneko, T. Effect of hydrostatic pressure on the Curie temperature of the Heusler alloys Ni2MnZ (Z=Al, Ga, In, Sn and Sb). J. Magn. Magn. Mater. 1987, 65, 76–82. [Google Scholar] [CrossRef]
- Fraga, G.L.F.; Brandão, D.E.; Sereni, J.G. Specific heat of X2MnSn (X = Co, Ni, Pd, Cu), X2MnIn (X = Ni, Pd) and Ni2MnSb Heusler compounds. J. Magn. Magn. Mater. 1991, 102, 199–207. [Google Scholar] [CrossRef]
- Shreder, E.I.; Kirillova, M.M. Optical properties and electronic characteristics of Heusler alloys Cu2MnZ and Ni2MnZ (Z = Al, In, Sn, Sb). Phys. Met. Metallogr. 1993, 76, 476–480. [Google Scholar]
- Choi, B.S. Thermal, magnetic and magnetoelastic data on three different Heusler alloys based on Ni-Mn-X (X = Ga, In, or Sn). IEEE Trans. Mag. 2006, 42, 1770–1777. [Google Scholar] [CrossRef]
- Krenke, T.; Acet, M.; Wassermann, E.F.; Moya, X.; Mañosa, L.; Planes, A. Ferromagnetism in the austenitic and martensitic states of Ni-Mn-In alloys. Phys. Rev. B 2006, 73, 174413. [Google Scholar] [CrossRef]
- Kanomata, T.; Yasuda, T.; Sasaki, S.; Nishihara, H.; Kainuma, R.; Ito, W.; Oikawa, K.; Ishida, K.; Neumann, K.-U.; Ziebeck, K.R.A. Magnetic properties on shape memory alloys Ni2Mn1+xIn1−x. J. Magn. Magn. Mater. 2009, 321, 773–776. [Google Scholar] [CrossRef]
- Chatterjee, S.; Singh, V.R.; Deb, A.K.; Giri, S.; De, S.K.; Dasgupta, I.; Majumdar, S. Magnetic properties of Ni2+xMn1-xIn Heusler alloys: Theory and experiment. J. Magn. Magn. Mater. 2010, 322, 102–107. [Google Scholar] [CrossRef]
- Ito, W.; Xu, X.; Umetsu, R.Y.; Kanomata, T.; Ishida, K.; Kainuma, R. Concentration dependence of magnetic moment in Ni50−xCoxMn50−yZy (Z = In, Sn) Heusler alloys. Appl. Phys. Lett. 2010, 97, 242512. [Google Scholar] [CrossRef]
- Lobo, D.N.; Priolkar, K.R.; Bhobe, P.A.; Krishnamurthy, D.; Emura, S. Correlation between local structure distortions and martensitic transformation in Ni-Mn-In alloys. Appl. Phys. Lett. 2010, 96, 232508. [Google Scholar] [CrossRef]
- Miyamoto, T.; Ito, W.; Umetsu, R.Y.; Kainuma, R.; Kanomata, T.; Ishida, K. Phase stability and magnetic properties of Ni50Mn50−xInx Heusler-type alloys. Scr. Mater. 2010, 62, 151–154. [Google Scholar] [CrossRef]
- Yin, M.; Nash, P.; Chen, W.; Chen, S. Standard enthalpies of formation of selected Ni2YZ Heusler compounds. J. Alloys Compd. 2016, 660, 258–265. [Google Scholar] [CrossRef]
- Brock, J.; Khan, M. Large refrigeration capacities near room temperature in Ni2Mn1-xCrxIn. J. Magn. Magn. Mater. 2017, 425, 1–5. [Google Scholar] [CrossRef]
- Patel, A.K.; Samatham, S.S.; Suresh, K.G. Critical behavior, universality class and magneto-transport properties of Ni2MnIn. Mater. Res. Bull. 2020, 128, 110900. [Google Scholar] [CrossRef]
- Sakon, T.; Yamazaki, J.; Komori, T.; Kanomata, T.; Narumi, Y.; Hagiwara, M.; Nojiri, H.; Adachi, Y. The forced magnetostrictions and magnetic properties of Ni2MnX (X = In, Sn) ferromagnetic Heusler alloys. Materials 2020, 13, 2017. [Google Scholar] [CrossRef] [PubMed]
- Kudryavtsev, Y.V.; Lee, Y.P.; Rhee, J.Y. Dependence of the optical and magneto-optical properties and electronic structures on the atomic order in Ni2MnIn Heusler alloys. Phys. Rev. B 2004, 69, 195104. [Google Scholar] [CrossRef]
- Umetsu, R.Y.; Xu, X.; Ito, W.; Kainum, R. Evidence of change in the density of states during the martensitic phase transformation of Ni-Mn-In metamagnetic shape memory alloys. Metals 2017, 7, 414. [Google Scholar] [CrossRef]
- Unzueta, I.; Sánchez-Alarcos, V.; Recarte, V.; Pérez-Landazábal, J.I.; Zabala, N.; García, J.A.; Plazaola, F. Identification of a Ni-vacancy defect in Ni-Mn-Z (Z = Ga, Sn, In): An experimental and DFT positron-annihilation study. Phys. Rev. B 2019, 99, 064108. [Google Scholar] [CrossRef]
- Castelliz, L. Beitrag zum ferromagnetismus von legierungen der übergangsmetalle mit elementen der B-gruppe. Z. Metallkde 1955, 46, 198–203. [Google Scholar] [CrossRef]
- Shinohara, T. Nuclear magnetic resonance in Heusler alloys: Ni2MnSn, Co2MnSn and Ni2MnSb. J. Phys. Soc. Jpn. 1970, 28, 313–317. [Google Scholar] [CrossRef]
- Leiper, W.; Geldart, D.J.W.; Pothier, P.J. Hyperfine field at the tin sites in the Heusler alloy Ni2MnSn. Phys. Rev. B 1971, 3, 1637–1641. [Google Scholar] [CrossRef]
- Szytuła, A.; Kołodziejczyk, A.; Rżany, H.; Todorović, J.; Wanic, A. Atomic and magnetic structure of the Heusler alloys Ni2MnSb, Ni2MnSn, and Co2MnSn. Phys. Stat. Sol. (a) 1972, 10, 57–65. [Google Scholar] [CrossRef]
- Brooks, J.S.; Williams, J.M. A Mössbauer determination of the magnitude and sign of hyperfine fields at 119Sn nuclei in Heusler alloys. J. Phys. F Metal. Phys. 1974, 4, 2033–2049. [Google Scholar] [CrossRef]
- Campbell, C.C.M.; Stager, C.V. Magnetization studies of the Heusler alloys, Ni2MnxTi1-xSn, Ni2MnxV1-xSn, and Ni2MnxCr1-xSn. Can. J. Phys. 1976, 54, 2197–2203. [Google Scholar] [CrossRef]
- MacDonald, R.A.; Stager, C.V. Magnetic properties of (NixCu1−x)2MnSn. Can. J. Phys. 1977, 55, 1481–1484. [Google Scholar] [CrossRef]
- Sobczak, R. Magnetische Messungen an Heusler-phasen (Co,Ni)2XY (X = Ti, Zr, Hf, V und Mn; Y = Ge und Sn). Monatsh Chem. 1978, 109, 455–459. [Google Scholar] [CrossRef]
- Hurd, C.M.; Shiozaki, I.; McAlister, S.P. On the extraordinary Hall effect in some ferromagnetic Heusler alloys. Physica 1981, 107B, 497–498. [Google Scholar] [CrossRef]
- Kaneko, T.; Yoshida, H.; Abe, S.; Kamigaki, K. Pressure effect on the Curie point of the Heusler alloys Ni2MnSn and Ni2MnSb. J. Appl. Phys. 1981, 52, 2046–2048. [Google Scholar] [CrossRef]
- Murakami, Y.; Watanabe, Y.; Kanaizuka, T.; Kachi, S. Magnetic properties and phase change of Ni3-yMnySn alloy. Trans. Jap. Inst. Metal 1981, 22, 551–557. [Google Scholar] [CrossRef]
- Ogiba, F.; Schreiner, W.H.; Kunzler, J.V.; Brandão, D.E. Electrical resistivity of the Ni2MnSn Heusler alloy. Phys. Stat. Sol. (a) 1981, 66, K83–K86. [Google Scholar] [CrossRef]
- Sobczak, R. Magnetic properties of Heusler alloys Ni3-xMnxSn. J. Magn. Magn. Mater. 1981, 24, 325–327. [Google Scholar] [CrossRef]
- Mayo, W.R.; Dunlap, R.A. Sn magnetic hyperfine field crossover in the Heusler alloys (Ni1−xPdx)2MnSn. J. Appl. Phys. 1982, 53, 8082–8084. [Google Scholar] [CrossRef]
- Uhl, E. Magnetism in mixed Heusler alloys (Ni1−xCux)2MnSn. Monatsh Chem. 1982, 113, 275–284. [Google Scholar] [CrossRef]
- van Engen, P.G.; Buschow, K.H.J.; Erman, M. Magnetic properties and magneto-optical spectroscopy of Heusler alloys based on transition metals and Sn. J. Magn. Magn. Mater. 1983, 30, 374–382. [Google Scholar] [CrossRef]
- Wachtel, E.; Henninger, F.; Predel, B. Constitution and magnetic properties of Ni-Mn-Sn alloys—Solid and liquid state. J. Magn. Magn. Mater. 1983, 38, 305–315. [Google Scholar] [CrossRef]
- Buschow, K.H.J.; van Engen, P.G.; de Mooij, D.B. Magnetic and magneto-optical properties of Heusler alloys of the type Ni3-xMnxSn. J. Magn. Magn. Mater. 1984, 40, 339–347. [Google Scholar] [CrossRef]
- Fraga, G.L.; Kunzler, J.V.; Brandão, D.E. Spin-disorder resistivity in Ni2Mn(Sn1−xInx) Heusler alloys. J Phys. Chem. Solids 1985, 46, 1071–1075. [Google Scholar] [CrossRef]
- Helmholdt, R.B.; Buschow, K.H.J. Crystallographic and magnetic structure of Ni2MnSn and NiMn2Sn. J. Less-Common Metals 1987, 128, 167–171. [Google Scholar] [CrossRef]
- Gavriliuk, A.G.; Stepanov, G.N.; Sidorov, V.A.; Irkaev, S.M. Hyperfine magnetic fields and Curie temperature in the Heusler alloy Ni2MnSn at high pressure. J. Appl. Phys. 1996, 79, 2609–2612. [Google Scholar] [CrossRef]
- Gavriliuk, A.G.; Stepanov, G.N.; Sidorov, V.A.; Irkaev, S.M. Hyperfine magnetic fields at 119Sn nuclei and Curie temperature in Heusler alloy Ni2MnSn under high pressure. In High Pressure Science & Technology; Trzeciakowski, W.A., Ed.; World Scientific: Singapore, 1996; pp. 739–741. [Google Scholar]
- Kyuji, S.; Endo, S.; Kanomata, T.; Ono, F. Pressure dependence of the Curie temperature in Ni2MnSn Heusler alloy. Physica B 1997, 237–238, 523–524. [Google Scholar] [CrossRef]
- Podgornykh, S.M.; Kazantsev, V.A.; Shreder, E.I. Thermal expansion of Heusler alloys NiMnSb, CuMnSb, Ni2MnSb, and Ni2MnSn. Phys. Metal. Metallogr. 1998, 86, 464–471. [Google Scholar]
- Krenke, T.; Acet, M.; Wassermann, E.F.; Moya, X.; Mañosa, L.; Planes, A. Martensitic transitions and the nature of ferromagnetism in the austenitic and martensitic states of Ni-Mn-Sn alloys. Phys. Rev. B 2005, 72, 014412. [Google Scholar] [CrossRef]
- Podgornykh, S.M.; Streltsov, S.V.; Kazantsev, V.A.; Shreder, E.I. Heat capacity of Heusler alloys: Ferromagnetic Ni2MnSb, Ni2MnSn, NiMnSb and antiferromagnetic CuMnSb. J. Magn. Magn. Mater. 2007, 311, 530–534. [Google Scholar] [CrossRef]
- Kanomata, T.; Fukushima, K.; Nishihara, H.; Kainuma, R.; Ito, W.; Oikawa, K.; Ishida, K.; Neumann, K.-U.; Ziebeck, K.R.A. Magnetic and crystallographic properties of shape memory alloys Ni2Mn1+xSn1−x. Mater. Sci. Forum 2008, 583, 119–129. [Google Scholar] [CrossRef]
- Chieda, Y.; Kanomata, T.; Fukushima, K.; Matsubayashi, K.; Uwatoko, Y.; Kainuma, R.; Oikawa, K.; Ishida, K.; Obara, K.; Shishido, T. Magnetic properties of Mn-rich Ni2MnSn Heusler alloys under pressure. J. Alloys Compd. 2009, 486, 51–54. [Google Scholar] [CrossRef]
- Kanomata, T.; Kyuji, S.; Nashima, O.; Ono, F.; Kaneko, T.; Endo, S. The Curie temperature in Heusler alloys Ni2MnZ (Z = Ga, Sn and Sb) under high pressure. J. Alloys Compd. 2012, 518, 19–21. [Google Scholar] [CrossRef]
- Mukadam, M.D.; Yusuf, S.M.; Bhatt, P. Tuning the magnetocaloric properties of the Ni2+xMn1−xSn Heusler alloys. J. Appl. Phys. 2013, 113, 173911. [Google Scholar] [CrossRef]
- Fichtner, T.; Kreiner, G.; Chadov, S.; Fecher, G.H.; Schnelle, W.; Hoser, A.; Felser, C. Magnetic and transport properties in the Heusler series Ni2-xMn1+xSn affected by chemical disorder. Intermetallics 2015, 57, 101–112. [Google Scholar] [CrossRef]
- Kaštil, J.; Kamarád, J.; Isnard, O.; Skourski, Y.; Míšek, M.; Arnold, Z. Effect of pressure and high magnetic field on phase transitions and magnetic properties of Ni1.92Mn1.56Sn0.52 and Ni2MnSn Heusler compounds. J. Alloys Compd. 2015, 650, 248–255. [Google Scholar] [CrossRef]
- Nazmunnahar, M.; Ryba, T.; del Val, J.J.; Ipatov, M.; González, J.; Hošková, V.; Szabó, P.; Samuely, P.; Kravcak, J.; Vargova, Z.; et al. Half-metallic Ni2MnSn Heusler alloy prepared by rapid quenching. J. Magn. Magn. Mater. 2015, 386, 98–101. [Google Scholar] [CrossRef]
- Webster, P.J.; Mankikar, R.M. Chemical order and magnetic properties of the Ni2-xMnSb system. J. Magn. Magn. Mater. 1984, 42, 300–308. [Google Scholar] [CrossRef]
- Khan, M.; Dubenko, I.; Stadler, S.; Ali, N. Magnetostructural phase transitions in Ni50Mn25+xSb25−x Heusler alloys. J. Phys. Condens. Matter 2008, 20, 235204. [Google Scholar] [CrossRef] [PubMed]
- Aksoy, S.; Acet, M.; Wassermann, E.F.; Krenke, T.; Moya, X.; Mañosa, L.; Planes, A.; Deen, P.P. Structural properties and magnetic interactions in martensitic Ni-Mn-Sb alloys. Philo. Mag. 2009, 89, 2093–2109. [Google Scholar] [CrossRef]
- Yoshimine, Y.; Mitsunaga, D.; Orihashi, H.; Shimada, D.; Hiroi, M.; Onodera, R.; Kimura, S.; Takahashi, K.; Koyama, K. Magnetic and electrical properties of Mn2−xNi1+xSb. IEEE Trans. Magn. 2014, 50, 1001204. [Google Scholar]
- Ak, F.; Öz, E.; Saatçi, B. Structural and magnetic properties of Ni2−xCoxMnSb (x: 0.00, 0.25, 0.50 and 1.00) Heusler alloys: The relationship between Curie temperature and lattice parameter. Intermetallics 2019, 111, 106491. [Google Scholar] [CrossRef]
- Ao, W.-Q.; Yu, H.-Z.; Liu, F.-L.; Liu, F.-S.; Li, J.-Q.; Du, Y.; Liu, S.-H.; Shi, C.-Y. Isothermal section of the Ni-Mn-Sb ternary system at 773 K. J. Min. Metall. Sect. B-Metall. 2019, 55B, 147–156. [Google Scholar] [CrossRef]
- Tian, F.; Zhao, Q.; Guo, J.; Zhang, Y.; Chang, T.; Zhang, R.; Adil, M.; Zhou, C.; Cao, K.; Yang, S. The spin glass and zero-field cooling exchange bias effect observed above the curie temperature in Ni2MnSb polycrystalline Heusler alloy. Scr. Mater. 2024, 245, 116055. [Google Scholar] [CrossRef]
- Tian, F.; Zhao, Q.; Guo, J.; Zhang, Y.; Fang, M.; Chang, T.; Dai, Z.; Zhou, C.; Cao, K.; Yang, S. Griffiths phase arising from local lattice distortion and spin glass above the Curie temperature in Ni2MnSb polycrystalline Heusler alloy. Phys. Rev. B 2024, 109, 224405. [Google Scholar] [CrossRef]
- Kamarád, J.; Kaštil, J.; Friák, M.; Mazalová, M.; Schneeweiss, O.; Arnold, Z. Effect of hydrostatic pressure on magneto-crystalline anisotropy of Heusler Ni2MnSn-based alloy. High Press. Res. 2021, 41, 405–413. [Google Scholar] [CrossRef]
- López-García, J.; Khanna, D.L.R.; Sanchez Llamazares, J.L.; Álvarez-Alonso, P.; La Roca, P.; Recarte, V.; Sánchez-Alarcos, V.; Pérez-Landazábal, J.I.; Rodríguez-Velamazán, J.A. Magnetic structure analysis of the L21-type austenite in Ni-Mn-In alloys. Intermetallics 2024, 168, 108242. [Google Scholar] [CrossRef]
- Noda, Y.; Ishikawa, Y. Spin waves in Heusler alloys Pd2MnSn and Ni2MnSn. J. Phys. Soc. Jpn. 1976, 40, 690–698. [Google Scholar] [CrossRef]
- Baźela-Wróbel, W.; Szytuła, A. Neutron diffraction study of the Ni2Mn1-xCrxSn system. Phys. Stat. Sol. (a) 1983, 76, K117–K120. [Google Scholar] [CrossRef]
- Imada, S.; Yamasaki, A.; Kanomata, T.; Muro, T.; Sekiyama, A.; Suga, S. Composition dependence of Ni magnetic moment in Ni-Mn-based Heusler-type intermetallic compounds. J. Magn. Magn. Mater. 2007, 310, 1857–1858. [Google Scholar] [CrossRef]
- Ahuja, B.L.; Dashora, A.; Heda, N.L.; Priolkar, K.R.; Vadkhiya, L.; Itou, M.; Lobo, N.; Sakurai, Y.; Chakrabarti, A.; Singh, S.; et al. Temperature dependent spin momentum densities in Ni-Mn-In alloys. J. Phys.: Condens. Matter 2010, 22, 446001. [Google Scholar] [CrossRef]
- Mund, H.S.; Dashora, A.; Sahariya, J.; Bhamu, K.C.; Priolkar, K.R.; Lobo, N.; Itou, M.; Sakurai, Y.; Ahuja, B.L. Electronic structure and magnetic properties of Ni2MnSn Heusler alloy. AIP Conf. Proc. 2011, 1349, 1123–1124. [Google Scholar]
- Priolkar, K.R.; Bhobe, P.A.; Lobo, D.N.; D’Souza, S.W.; Barman, S.R.; Chakrabarti, A.; Emura, S. Antiferromagnetic exchange interactions in the Ni2Mn1.4In0.6 ferromagnetic Heusler alloy. Phys. Rev. B 2013, 87, 144412. [Google Scholar] [CrossRef]
- Priolkar, K.R. Role of local disorder in martensitic and magnetic interactions in Ni-Mn based ferromagnetic shape memory alloys. Phys. Status Solidi B 2014, 251, 2088–2096. [Google Scholar] [CrossRef]
- Deb, A.; Hiraoka, N.; Itou, M.; Sakurai, Y.; Onodera, M.; Sakai, N. Spin-dependent electron momentum density in the Ni2MnSn Heusler alloy. Phys. Rev. B 2001, 63, 205115. [Google Scholar] [CrossRef]
- da Silva, E.Z.; Jepsen, O.; Andersen, O.K. Electronic properties of Ni-based Heusler alloys. Solid State Commun. 1988, 67, 13–14. [Google Scholar] [CrossRef]
- Kilian, K.A.; Victora, R.H. Electronic structure of Ni2MnIn for use in spin injection. J. Appl. Phys. 2000, 87, 7064–7066. [Google Scholar] [CrossRef]
- Godlevsky, V.V.; Rabe, K.M. Soft tetragonal distortions in ferromagnetic Ni2MnGa and related materials from first principles. Phys. Rev. B 2001, 63, 134407. [Google Scholar] [CrossRef]
- Şaşıoğlu, E.; Sandratskii, L.M.; Bruno, P. First-principles calculation of the intersublattice exchange interactions and Curie temperatures of the full Heusler alloys Ni2MnX (X = Ga, In, Sn, Sb). Phys. Rev. B 2004, 70, 024427. [Google Scholar] [CrossRef]
- Zayak, A.T.; Entel, P.; Rabe, K.M.; Adeagbo, W.A.; Acet, M. Anomalous vibrational effects in nonmagnetic and magnetic Heusler alloys. Phys. Rev. B 2005, 72, 054113. [Google Scholar] [CrossRef]
- Entel, P.; Buchelnikov, V.D.; Khovailo, V.V.; Zayak, A.T.; Adeagbo, W.A.; Gruner, M.E.; Herper, H.C.; Wassermann, E.F. Modelling the phase diagram of magnetic shape memory Heusler alloys. J. Phys. D Appl. Phys. 2006, 39, 865–889. [Google Scholar] [CrossRef]
- Kurtulus, Y.; Gilleβen, M.; Dronskowski, R. Electronic structure, chemical bonding, and finite-temperature magnetic properties of full Heusler alloys. J. Comput. Chem. 2006, 27, 90–102. [Google Scholar] [CrossRef]
- Yablonskikh, M.V.; Braun, J.; Kuchel, M.T.; Postnikov, A.V.; Denlinger, J.D.; Shreder, E.I.; Yarmoshenko, Y.M.; Neumann, M.; Moewes, A. X-ray 2p photoelectron and Lα resonant x-ray emission spectra of the 3d metals in Ni2MnZ (Z = In, Sn, Sb) Heusler alloys. Phys. Rev. B 2006, 74, 085103. [Google Scholar] [CrossRef]
- Zayak, A.T.; Adeagbo, W.A.; Entel, P.; Rabe, K.M. e/a dependence of the lattice instability of cubic Heusler alloys from first principles. Appl. Phys. Lett. 2006, 88, 111903. [Google Scholar] [CrossRef]
- Pugaczowa-Michalska, M. Comparative study of compressibility of Ni2MnX (X = In, Sn, Sb) Heusler alloys. Acta Phys. Pol. A 2008, 113, 629–632. [Google Scholar] [CrossRef]
- Rached, H.; Rached, D.; Khenata, R.; Reshak, A.H.; Rabah, M. First-principles calculations of structural, elastic and electronic properties of Ni2MnZ (Z = Al, Ga and In) Heulaer alloys. Phys. Stat. Solidi B 2009, 246, 1580–1586. [Google Scholar] [CrossRef]
- Ağduk, S.; Gökoğlu, G. First-principles study of elastic and vibrational properties of Ni2MnIn magnetic shape memory alloys. Eur. Phys. J. B 2011, 79, 509–514. [Google Scholar] [CrossRef]
- Bai, J.; Xu, N.; Raulot, J.-M.; Zhang, Y.D.; Esling, C.; Zhao, X.; Zuo, L. First-principles investigations of crystallographic, magnetic, and electronic structures in Ni2XIn (X = Mn, Fe, and Co). J. Appl. Phys. 2012, 112, 114901. [Google Scholar] [CrossRef]
- Bai, J.; Xu, N.; Raulot, J.-M.; Zhang, Y.D.; Esling, C.; Zhao, X.; Zuo, L. Defect formation energy and magnetic properties of off-stoichiometric Ni-Mn-In alloys by first-principles calculations. J. Appl. Phys. 2013, 113, 174901. [Google Scholar] [CrossRef]
- Li, C.M.; Luo, H.B.; Hu, Q.M.; Yang, R.; Johansson, B.; Vitos, L. Role of magnetic and atomic ordering in the martensitic transformation of Ni-Mn-In from a first-principles study. Phys. Rev. B 2012, 86, 214205. [Google Scholar] [CrossRef]
- Tan, C.L.; Huang, Y.W.; Tian, X.H.; Jiang, J.X.; Cai, W. Origin of magnetic properties and martensitic transformation of Ni-Mn-In magnetic shape memory alloys. Appl. Phys. Lett. 2012, 100, 132402. [Google Scholar] [CrossRef]
- Wang, W.; Gao, S.-S.; Meng, Y. First-principle investigations of the magnetic properties and possible martensitic transformation in Ni2MnX (X = Al, Ga, In, Si, Ge and Sn). J. Magn. Magn. Mater. 2014, 371, 135–138. [Google Scholar] [CrossRef]
- Borgohain, P.; Sahariah, M.B. Effect of compositional and antisite disorder on the electronic and magnetic properties of Ni-Mn-In Heusler alloy. J. Phys. Condens. Matter 2015, 27, 175502. [Google Scholar] [CrossRef] [PubMed]
- D’Souza, S.W.; Chakrabarti, A.; Barman, S.R. Magnetic interactions and electronic structure of Ni-Mn-In. J. Electron Spectrosc. Relat. Phenom. 2016, 208, 33–39. [Google Scholar] [CrossRef]
- Buchelnikov, V.D.; Zagrebin, M.A.; Sokolovskiy, V.V. Magnetic states of Ni2MnZ and Ni2CrZ (Z = Al, As, Bi, Ga, Ge, In, P, Pb, Sb, Si, Sn, Tl) Heusler alloys. J. Magn. Magn. Mater. 2018, 459, 78–83. [Google Scholar] [CrossRef]
- Ishida, S.; Kubo, Y.; Ishida, J.; Asano, S. Electronic structures of the ferromagnetic Heusler alloys. J. Phys. Soc. Jpn. 1980, 48, 814–821. [Google Scholar] [CrossRef]
- Kübler, J.; Williams, A.R.; Sommers, C.B. Formation and coupling of magnetic moments in Heusler alloys. Phys. Rev. B 1983, 28, 1745–1755. [Google Scholar] [CrossRef]
- Ishida, S.; Asano, S.; Ishida, J. Bandstructures and hyperfine fields of Heusler alloys. J. Phys. Soc. Jpn. 1984, 53, 2718–2725. [Google Scholar] [CrossRef]
- Ayuela, A.; Enkovaara, J.; Ullakko, K.; Nieminen, R.M. Structural properties of magnetic Heusler alloys. J. Phys. Condens. Matter 1999, 11, 2017–2026. [Google Scholar] [CrossRef]
- Kurtulus, Y.; Dronskowski, R.; Samolyuk, G.D.; Antropov, V.P. Electronic structure and magnetic exchange coupling in ferromagnetic full Heusler alloys. Phys. Rev. B 2005, 71, 014425. [Google Scholar] [CrossRef]
- Şaşıoğlu, E.; Sandratskii, L.M.; Bruno, P. Pressure dependence of the Curie temperature in Ni2MnSn Heusler alloy: A first-principles study. Phys. Rev. B 2005, 71, 214412. [Google Scholar] [CrossRef]
- Kulkova, S.E.; Eremeev, S.V.; Kakeshita, T.; Kulkov, S.S.; Rudenski, G.E. The electronic structure and magnetic prperties of full- and half-Heusler alloys. Mater. Trans. 2006, 47, 599–606. [Google Scholar] [CrossRef]
- Ağduk, S.; Gökoğlu, G. Ab initio lattice dynamics of Ni2MnX (X = Sn, Sb) magnetic shape memory alloys. J. Alloys Compd. 2012, 511, 9–13. [Google Scholar] [CrossRef]
- Li, J.; Zhang, Z.; Sun, Y.; Zhang, J.; Zhou, G.; Luo, H.; Liu, G. The thermodynamic, electronic and magnetic properties of Ni2MnX (X = Ge, Sn, Sb) Heusler alloys: A quasi-hormonic Debye model and first principles study. Phys. B 2013, 409, 35–41. [Google Scholar] [CrossRef]
- Wang, X.; Shang, J.X.; Wang, F.H.; Jiang, C.B.; Xu, H.B. The structural stability and magnetic properties of the ferromagnetic Heusler alloy Ni-Mn-Sn: A first principle investigation. J. Magn. Magn. Mater. 2014, 355, 173–179. [Google Scholar] [CrossRef]
- Hamri, B.; Abbar, B.; Hamri, A.; Baraka, O.; Hallouche, A.; Zaoui, A. Electronic structure and mechanical properties of X2MnSn (X = Cu, Ni, Pd) under hydrostatic pressure: GGA+U calculations. Comp. Condens. Mater 2015, 3, 14–20. [Google Scholar] [CrossRef]
- Jezierski, A. Electronic structure, magnetic, optical and thermodynamic properties of Ni2Mn1-xRexSn and NiMn1-xRexSn Heusler alloys—Ab-initio study. J. Alloys Compd. 2019, 803, 153–164. [Google Scholar] [CrossRef]
- Benguerine, O.; Nabi, Z.; Benichou, B.; Bouabdallah, B.; Bouchenafa, H.; Maachou, M.; Ahuja, R. Structural, elastic, electronic, and magnetic properties of Ni2MnSb, Ni2MnSn, and Ni2MnSb0.5Sn0.5 magnetic shape memory alloys. Rev. Mex. Fis. 2020, 66, 121–126. [Google Scholar] [CrossRef]
- Fischer, G.; Zubizarreta, X.; Marmodoro, A.; Hoffmann, M.; Buczek, P.; Buczek, N.; Däne, M.; Hergert, W.; Şaşıoğlu, E.; Galanakis, I.; et al. Effect of correlation and disorder on the spin-wave spectra of Pd2MnSn, Ni2MnSn, and Cu2MnAl Heusler alloys: A first-principles study. Phys. Rev. Mater. 2020, 4, 064405. [Google Scholar] [CrossRef]
- Friák, M.; Mazalová, M.; Turek, I.; Zemanová, A.; Kaštil, J.; Kamarád, J.; Míšek, M.; Arnold, Z.; Schneeweiss, O.; Všianská, M.; et al. An ab initio study of pressure-induced changes of magnetism in austenitic stoichiometric Ni2MnSn. Materials 2021, 14, 523. [Google Scholar] [CrossRef] [PubMed]
- Şaşıoğlu, E.; Sandratskii, L.M.; Bruno, P. Magnetic exchange coupling and Curie temperature of Ni(1+x)MnSb (x= 0, 0.25, 0.5, 0.75, 1) from first principles. J. Magn. Magn. Mater. 2005, 290–291, 385–387. [Google Scholar] [CrossRef][Green Version]
- Rusz, J.; Bergqvist, L.; Kudrnovský, J.; Turek, I. Exchange interactions and Curie temperatures in Ni2-xMnSb alloys: First-principles study. Phys. Rev. B 2006, 73, 214412. [Google Scholar] [CrossRef]
- Rusz, J.; Kudrnovský, J.; Turek, I. Exchange interactions and correlations in Ni1+xMnSb Heusler alloys. J. Magn. Magn. Mater. 2007, 310, 1654–1656. [Google Scholar] [CrossRef]
- Thoene, J.; Chadov, S.; Fecher, G.; Felser, C.; Kübler, J. Exchange energies, Curie temperatures and magnons in Heusler compounds. J. Phys. D Appl. Phys. 2009, 42, 084013. [Google Scholar] [CrossRef]
- Ishida, S.; Asato, H.; Iwashima, E.; Kubo, Y.; Ishida, J. Fermi surfaces of Cu2MnAl, Pd2MnSn and Ni2MnSn. J. Phys. F Metal Phys. 1981, 11, 1035–1046. [Google Scholar] [CrossRef]
- Plogmann, S.; Schlathölter, T.; Braun, J.; Neumann, M.; Yarmoshenko, Y.M.; Yablonskikh, M.V.; Shreder, E.I.; Kurmaev, E.Z.; Wrona, A.; Ślebarski, A. Local moments in Mn-based Heusler alloys and their electronic structures. Phys. Rev. B 1999, 60, 6428–6438. [Google Scholar] [CrossRef]
- Jezierski, A.; Kowalewski, P.; Dubowik, J. Role of the magnetic impurities in Ni2Ti1-xMnxSn Heusler type alloys. Ab-initio calculations. Mater. Sci.-Poland 2007, 25, 553–557. [Google Scholar]
- Kulkova, S.; Eremeev, S.; Hu, Q.M.; Li, C.M.; Yang, R. The influence of defects and composition on the electronic structure and magnetic properties of shape memory Heusler alloys. ESOMAT 2009, 2009, 02017. [Google Scholar]
- Bose, S.K.; Kudrnovský, J.; Drchal, V.; Turek, I. Magnetism of mixed quaternary alloys: (Ni, T)2MnSn (T = Cu,Pd) as a case study. Phys. Rev. B 2010, 82, 174402. [Google Scholar] [CrossRef]
- Rauf, S.; Arif, S.; Haneef, M.; Amin, B. The first principle study of magnetic properties of Mn2WSn, Fe2YSn (Y = Ti, V), Co2YSn (T = Ti, Zr, Hf, V, Mn) and Ni2YSn (Y = Ti, Zr, Hf, V, Mn) heusler alloys. J. Phys. Chem. Solids 2015, 76, 153–169. [Google Scholar] [CrossRef]
- Roy, T.; Pandey, D.; Chakrabarti, A. Probing the possibility of coexistence of martensite transition and half-metallicity in Ni and Co-based full-Heusler alloys: An ab initio calculation. Phys. Rev. B 2016, 93, 184102. [Google Scholar] [CrossRef]
- Govind, B.; Bharti, P.; Srivastava, M.; Kumar, A.; Bano, S.; Bhatt, K.; Tawale, J.S.; Pulikkotil, J.J.; Misra, D.K. Magnetic properties of intermediate Ni2-xMn1+xSb full-Heusler compounds. Mater. Res. Bull. 2021, 142, 111427. [Google Scholar] [CrossRef]
- Li, Y.; Bai, J.; Sun, S.; Jin, M.; Zhang, Y.; Liang, X.; Cu, J.; Zhang, Y.; Esling, C.; Zhao, X.; et al. Composition-dependent phase transformation path involving 4O martensite in Ni-Mn-Sn magnetic shape memory alloys. J. Appl. Phys. 2022, 132, 135110. [Google Scholar] [CrossRef]
- Bose, S.K.; Kudrnovský, J.; Drchal, V.; Turek, I. Pressure dependence of Curie temperature and resistivity in complex Heusler alloys. Phys. Rev. B 2011, 84, 174422. [Google Scholar] [CrossRef]
- Buchelnikov, V.D.; Sokolovskiy, V.V. Magnetocaloric effect in Ni-Mn-X (X = Ga, In, Sn, Sb) Heusler alloys. Phys. Met. Metallogr. 2011, 112, 633–665. [Google Scholar] [CrossRef]
- Buchelnikov, V.D.; Sokolovskiy, V.V.; Taskaev, S.V.; Khovaylo, V.V.; Aliev, A.A.; Khanov, L.N.; Batdalov, A.B.; Entel, P.; Miki, H.; Takagi, T. Monte Carlo simulations of the magnetocaloric effect in magnetic Ni-Mn-X (X = Ga, In) Heusler alloys. J. Phys. D Appl. Phys. 2011, 44, 064012. [Google Scholar] [CrossRef]
- Siewert, M.; Gruner, M.E.; Hucht, A.; Herper, H.C.; Dannenberg, A.; Chakrabarti, A.; Singh, N.; Arróyave, R.; Entel, P. A first-principles investigation of the compositional dependent properties of magnetic shape memory Heusler alloys. Adv. Eng. Mater 2012, 14, 530–546. [Google Scholar] [CrossRef]
- Sokolovskiy, V.V.; Buchelnikov, V.D.; Zagrebin, M.A.; Entel, P.; Sahool, S.; Ogura, M. First-principles investigation of chemical and structural disorder in magnetic Ni2Mn1+xSn1-x Heusler alloys. Phys. Rev. B 2012, 86, 134418. [Google Scholar] [CrossRef]
- Ishikawa, Y.; Noda, Y. Spin waves and magnetic interactions in the ferromagnetic Heusler alloys. AIP Conf. Proc. 1975, 24, 145–151. [Google Scholar]
- Robey, S.W.; Hudson, L.T.; Kurtz, R.L. Resonant-photoemission investigation of the Heusler alloys Ni2MnSb and NiMnSb. Phys. Rev. B 1992, 46, 11697–11704. [Google Scholar] [CrossRef]
- Kimura, A.; Suga, S.; Shishidou, T.; Imada, S.; Muro, T.; Park, S.Y.; Miyahara, T.; Kaneko, T.; Kanomata, T. Magnetic circular dichroism in the soft-x-ray absorption spectra of Mn-based magnetic intermetallic compounds. Phys. Rev. B 1997, 56, 6021–6030. [Google Scholar] [CrossRef]
- Imada, S.; Yamasaki, A.; Kusuda, K.; Higashiya, A.; Irizawa, A.; Sekiyama, A.; Kanomata, T.; Suga, S. Ultraviolet photoemission of Ni2MnZ (Z = Ga, In and Sn). J. Electron Spectrosc. Relat. Phenom. 2007, 156–158, 433–435. [Google Scholar] [CrossRef]
- Ye, M.; Kimura, A.; Miura, Y.; Shirai, M.; Cui, Y.T.; Shimada, K.; Namatame, H.; Taniguchi, M.; Ueda, S.; Kobayashi, K.; et al. Role of electronic structure in the martensitic phase transition of Ni2Mn1+xSn1−x studied by hard-x-ray photoelectron spectroscopy and ab initio calculation. Phys. Rev. Lett. 2010, 104, 176401. [Google Scholar] [CrossRef] [PubMed]
- Zhu, S.; Ye, M.; Shirai, K.; Taniguchi, M.; Ueda, S.; Miura, Y.; Shirai, M.; Umetsu, R.Y.; Kainuma, R.; Kanomata, T.; et al. Drastic change in density of states upon martensitic phase transition for metamagnetic shape memory alloy Ni2Mn1+xIn1−x. J. Phys. Condens. Matter 2015, 27, 362201. [Google Scholar] [CrossRef] [PubMed]
- Kuz’min, R.N.; Ibraimov, N.S.; Zhdanov, G.S. Mössbauer effect in Heusler alloys. Sov. Phys. JETP 1966, 23, 219–224. [Google Scholar]
- Geldart, D.J.W.; Campbell, C.C.M.; Pothier, P.J.; Leiper, W. Mössbauer effect study of the hyperfine fields at the tin sites in Cu2MnSn, Ni2MnSn, and Pd2MnSn. Can. J. Phys. 1972, 50, 206–212. [Google Scholar] [CrossRef]
- Love, J.C.; Obenshain, F.E. Hyperfine fields at Ni sites in Heusler alloys. AIP Conf. Proceed. 1972, 5, 538. [Google Scholar]
- Swartzendruber, L.J.; Evans, B.J. Hyperfine fields at the antimony sites in the Heusler-type NixMnSb alloys. AIP Conf. Proceed. 1972, 5, 539–543. [Google Scholar]
- Campbell, C.C.M. Hyperfine field systematics in Heusler alloys. J. Phys. F Metal Phys. 1975, 5, 1931–1945. [Google Scholar] [CrossRef]
- Williams, J.M.; Danson, D.P. A Mössbauer study of the Heusler alloy series Ni2MnxTi1-xSn. J. Phys. Colloque 1979, 40, C2–C169. [Google Scholar] [CrossRef]
- Birchall, T.; Ruebenbauer, K.; Campbell, C.C.M. Magnetic ordering in the Heusler alloys Ni2MnxY1−xSn (Y = Ti, V) studied by 119Sn Mössbauer spectroscopy. Phys. Stat. Solidi (a) 1980, 57, 381–392. [Google Scholar] [CrossRef]
- Dunlap, R.A.; March, R.H.; Stroink, G. Sn hyperfine field distributions in the Heusler alloys XMnSn and X2MnSn. Can. J. Phys. 1981, 59, 1577–1584. [Google Scholar] [CrossRef]
- Delyagin, N.N.; Krylov, V.I.; Nesterov, V.I. Magnetic hyperfine interaction of 119Sn impurity atoms in ordered alloys of iron with palladium and platinum. Radial dependence of the partial contributions to the magnetic hyperfine field. Sov. Phys. JETP 1980, 52, 532–538. [Google Scholar]
- Friák, M.; Schneeweiss, O.; Kamarád, J.; Kaštil, J.; Miroshkina, O.N.; Gruner, M.E. Impact of swaps on Mössbauer characteristics of Ni2MnSn: An experimental and quantum-mechanical study. J. Mater. Sci. 2024, 59, 5595–5606. [Google Scholar] [CrossRef]
- Le Dang, K.; Veillet, P.; Campbell, I.A. Hyperfine fields at sp sites in Heusler alloys. J. Phys. F Metal. Phys. 1977, 7, 2561–2566. [Google Scholar]
- Le Dang, K.; Veillet, P.; Campbell, I.A. Magnetic interactions and conduction electron polarization studied by NMR in Heusler alloys. J. Phys. F Metal Phys. 1977, 7, L237–L241. [Google Scholar]
- Le Dang, K.; Veillet, P.; Campbell, I.A. Hyperfine fields and magnetic interactions in Heusler alloys. J. Phys. F Metal Phys. 1978, 8, 1811–1825. [Google Scholar]
- Schaf, J.; Le Dang, K.; Veillet, P.; Campbell, I.A. Extended and local effects of cold work in Heusler alloys. J. Phys. F Metal Phys. 1983, 13, 1311–1316. [Google Scholar] [CrossRef]
- Elfazani, M.; DeMarco, M.; Jha, S.; Julian, G.M.; Blue, J.W. Hyperfine magnetic field at cadmium impurity in Heusler alloys Ni2MnGa, Ni2MnIn, Cu2MnIn, and Au2MnIn. J. Appl. Phys. 1981, 52, 2043–2045. [Google Scholar] [CrossRef]
- Hamzić, A.; Asomoza, R.; Campbell, I.A. The transport properties of Heusler alloys: ‘ideal’ local moment ferromagnets. J. Phys. F Metal Phys. 1981, 11, 1441–1447. [Google Scholar] [CrossRef]
- McAlister, S.P.; Shiozaki, I.; Hurd, C.M.; Stager, C.V. Galvanomagnetic effects in the Ni2MnSn Heusler alloy. J. Phys. F Metal Phys. 1981, 11, 2129–2138. [Google Scholar] [CrossRef]
- Kudrnovský, J.; Drchal, V.; Turek, I.; Khmelevskyi, S.; Glasbrenner, J.K.; Belashchenko, K.D. Spin-disorder resistivity of ferromagnetic metals from first principles: The disordered-local-moment approach. Phys. Rev. B 2012, 86, 144423. [Google Scholar] [CrossRef]
- Miroshkina, O.N.; Eggert, B.; Lill, J.; Beckmann, B.; Koch, D.; Hu, M.Y.; Lojewski, T.; Rauls, S.; Scheibel, F.; Taubel, A.; et al. Impact of magnetic and antisite disorder on the vibrational densities of states in Ni2MnSn Heusler alloys. Phys. Rev. B 2022, 106, 214302. [Google Scholar] [CrossRef]
- Kokorin, V.V.; Osipenko, I.A.; Shirina, T.V. Phase transitions in alloys Ni2MnGaxIn1-x. Phys. Met. Metallogr. 1989, 67, 173–176. [Google Scholar]
- Kanomata, T.; Kaneko, T. Magnetic Properties of d-Elements, Alloys and Compounds Under Pressure; Kawazoe, Y., Kaneko, T., Uwatoko, Y., Eds.; Landort-Börnstein, New Series, Group IV/22A; Springer: Berlin-Heidelberg, Germany, 2014. [Google Scholar]
- Lázpita, P.; L’vov, V.A.; Rodríguez Fernández, J.; Barandiarán, J.M.; Chernenko, V.A. Combined effect of magnetic field and hydrostatic pressure on the phase transitions exhibited by Ni-Mn-In metamagnetic shape memory alloy. Acta Mater. 2020, 193, 1–9. [Google Scholar] [CrossRef]
- Rungger, I.; Sanvito, S. Ab initio study of the magnetostructural properties of MnAs. Phys. Rev. B 2006, 74, 024429. [Google Scholar] [CrossRef]
- Khovaylo, V.V.; Kanomata, T.; Tanaka, T.; Nakashima, M.; Amako, Y.; Kainuma, R.; Umetsu, R.Y.; Morito, H.; Miki, H. Magnetic properties of Ni50Mn34.8In15.2 probed by Mössbauer spectroscopy. Phys. Rev. B 2009, 80, 144409. [Google Scholar] [CrossRef]
- Forrer, R. Distances magnétiques efficaces dans les métaux, alliages et combinaisons ferromagnétiques et antiferromagnétiques du groupe du fer. Ann. Phys. 1952, 12, 605–621. [Google Scholar] [CrossRef]
- Seshu Bai, V.; Rajasekharan, T. Evidence of a critical Mn-Mn distance for the onset of ferromagnetism in NiAs type compounds. J. Magn. Magn. Mater. 1984, 42, 198–200. [Google Scholar] [CrossRef]
- Yamada, N. Atomic magnetic moment and exchange interaction between Mn atoms in intermetallic compounds in Mn-Ge system. J. Phys. Soc. Jpn. 1990, 59, 273–288. [Google Scholar] [CrossRef]
- Bose, S.K.; Kudrnovský, J.; Drchal, V. Magnetism and electronic transport in (Ni,Cu)2MnSn Heusler alloys under ambient and elevated pressures. World J. Eng. 2012, 9, 13–21. [Google Scholar] [CrossRef]
- Williams, K.; Cagin, T. Anisotropic elastic properties of Ni-Mn-In magnetic shape memory alloy. ICCES 2010, 15, 153–160. [Google Scholar]
- Qawasmeh, Y.; Hamad, B. Investigation of the structural, electronic, and magnetic properties of Ni-based Heusler alloys from first principles. J. Appl. Phys. 2012, 111, 033905. [Google Scholar] [CrossRef]
- Li, C.M.; Hu, Q.M.; Yang, R.; Johansson, B.; Vitos, L. Magnetic ordering and physical stability of X2Mn1+xSn1−x (X = Ru, Os, Co, Rh, Ni, Pd, Cu, and Ag) Heusler alloys from a frst-principles study. Phys. Rev. B 2013, 88, 014109. [Google Scholar] [CrossRef]
- Peng, W.; Zhang, D.H.; Xu, N. Bulk modulus and thermodynamic properties of L21 Ni2XY (X = Mn, Fe, Co, Y = Ga, In) compounds studied by first-principles calculations. J. Mater. Sci. 2017, 52, 1149–1155. [Google Scholar] [CrossRef]
- Yan, H.L.; Liu, H.X.; Zhang, M.J.; Jia, N.; Bai, J.; Yang, B.; Li, Z.; Zhang, Y.; Esling, C.; Zhao, X.; et al. Electronic origin of the main-group element dependences of elastic moduli in the Ni2Mn-based magnetic shape memory alloys. J. Phys. Chem. Solids 2021, 148, 109671. [Google Scholar] [CrossRef]
- Moriya, T.; Kawabata, A. Effect of spin fluctuations on itinerant ferromagnetism. J. Phys. Soc. Jpn. 1973, 34, 639–651. [Google Scholar] [CrossRef]
- Moriya, T. Spin Fluctuations in Itinerant Electron Magnetism; Springer: Berlin Heidelberg, Germany, 1985. [Google Scholar]
- Takahashi, Y. On the origin of the Curie-Weiss law of the magnetic susceptibility in itinerant electron ferromagnetism. J. Phys. Soc. Jpn. 1986, 55, 3553–3573. [Google Scholar] [CrossRef]
- Takahashi, Y. Spin Fluctuation Theory of Itinerant Electron Magnetism; Springer: Berlin Heidelberg, Germany, 2013. [Google Scholar]
- Ziebeck, K.R.A.; Capellmann, H.; Brown, P.J.; Booth, J.G. Spin fluctuations in both the ordered and paramagnetic phases of MnSi! MnSi a heavy Fermi liquid? Z. Phys.B 1982, 48, 241–250. [Google Scholar] [CrossRef]
- Nishihara, H.; Komiyama, K.; Oguro, I.; Kanomata, T.; Chernenko, V. Magnetization processes near the Curie temperatures of the itinerant ferromagnets, Ni2MnGa and pure nickel. J. Alloys Compd. 2007, 442, 191–193. [Google Scholar] [CrossRef]
- Sakon, T.; Hayashi, Y.; Fujimoto, N.; Kanomata, T.; Nojiri, H.; Adachi, Y. Forced magnetostriction of ferromagnetic Heusler alloy Ni2MnGa at the Curie temperature. J. Appl. Phys. 2018, 123, 213902. [Google Scholar] [CrossRef]
- Sakon, T.; Hayashi, Y.; Li, D.; Honda, F.; Oomi, G.; Narumi, Y.; Hagiwara, M.; Kanomata, T.; Eto, T. Forced magnetostrictions and magnetizations of Ni2+xMnGa1-x at its Curie temperature. Materials 2018, 11, 2115. [Google Scholar] [CrossRef] [PubMed]
- Sakon, T.; Hayashi, Y.; Fukuya, A.; Li, D.; Honda, F.; Umetsu, R.Y.; Xu, X.; Oomi, G.; Kanomata, T.; Eto, T. Investigation of the itinerant electron feromagnetism of Ni2+xMnGa1-x and Co2VGa Heusler alloys. Materials 2019, 12, 575. [Google Scholar] [CrossRef] [PubMed]
- Kanomata, T.; Nishihara, H.; Osaki, T.; Doi, M.; Sakon, T.; Adachi, Y.; Kihara, T.; Obara, K.; Shishido, T. Magnetic properties of ferromagnetic Heusler alloy Co2NbGa. J. Magn. Magn. Mater. 2020, 503, 166604. [Google Scholar] [CrossRef]
- Yoshinaga, S.; Mitsui, Y.; Umetsu, R.Y.; Koyama, K. Magnetic properties of Cr-based ternary compound CrAlGe. Phys. Procedia 2015, 75, 918–925. [Google Scholar] [CrossRef]
- Tateiwa, N.; Pospíšil, J.; Haga, Y.; Sakai, H.; Matsuda, T.D.; Yamamoto, E. Itinerant ferromagnetism in actinide 5 f –electron systems: Phenomenological analysis with spin fluctuation theory. Phys. Rev. B 2017, 96, 035125. [Google Scholar] [CrossRef]
- Opletal, P.; Valenta, J.; Proschek, P.; Sechovský, V.; Prokleška, J. Effect of localization of 5f-electrons and pressure on magnetism in uranium intermetallics in spin-fluctuation theory. Phys. Rev. B 2020, 102, 094409. [Google Scholar] [CrossRef]
- Faske, T.; Radulov, I.A.; Hölzel, M.; Gutfleisch, O.; Donner, W. Direct observation of paramagnetic spin fluctuations in LaFe13-xSix. J. Phys. Condens. Matter. 2020, 32, 115802. [Google Scholar] [CrossRef] [PubMed]
- Wohlfarth, E.P. Metallic magnetism under high pressure. In Physics of Solids under High Pressure; Schilling, J.S., Shelton, R.N., Eds.; North-Holland Pub. Co.: Amsterdam, The Netherlands, 1981; pp. 175–180. [Google Scholar]
- Yoshinaga, S.; Miura, S.; Kanomata, T.; Mitsui, Y.; Koyama, K. Pressure effect on magnetism of weak itinerant electron ferromagnet Ni74.6Al25.4. IEEE Magn. Lett. 2017, 8, 1400403. [Google Scholar] [CrossRef]
- Buis, N.; Franse, J.J.M.; Brommer, P.E. The magnetic properties of Ni3Al under high pressures. Physica 1981, 106B, 1–8. [Google Scholar] [CrossRef]
- Huber, J.G.; Maple, M.B.; Wohlleben, D.; Knapp, G.S. Magnetic properties of ZrZn2 under pressure. Solid State Commun. 1975, 16, 211–216. [Google Scholar] [CrossRef]
- Beille, J.; Bloch, D.; Towfiq, F. High pressure magnetic properties of FexCo1-xTi alloys. Solid State Commun. 1978, 25, 57–59. [Google Scholar] [CrossRef]
- Beille, J.; Bloch, D.; Towfiq, F.; Voiron, J. The magnetic properties of FexCo1-xSi and FexCo1-xTi alloys. J. Magn. Magn. Mater. 1979, 10, 265–273. [Google Scholar] [CrossRef]
- Patrick, L. The change of ferromagnetic Curie points with hydrostatic pressure. Phys. Rev. 1954, 93, 384–392. [Google Scholar] [CrossRef]
- Kondorskii, E.I.; Sedov, V.L. The change of atomic magnetic moments in ferromagnetic metals under hydrostatic compression. Sov. Phys. JETP 1960, 11, 561–565. [Google Scholar]
- Shigeta, I.; Fujimoto, Y.; Ooka, R.; Nishisako, Y.; Tsujikawa, M.; Umetsu, R.Y.; Nomura, A.; Yubuta, K.; Miura, Y.; Kanomata, T.; et al. Pressure effect on the magnetic properties of the half-metallic Heusler alloy Co2TiSn. Phys. Rev. B 2018, 97, 104414. [Google Scholar] [CrossRef]
- Adachi, Y.; Ogi, Y.; Osaki, T.; Eto, T.; Kihara, T.; Nishihara, H.; Sakon, T.; Gouchi, J.; Uwatoko, Y.; Kanomata, T. Pressure effect on the magnetic properties of the Heusler alloy Co2NbGa. J. Supercond. Nov. Magn. 2024, 37, 249–254. [Google Scholar] [CrossRef]
- Tedrow, P.M.; Meservey, R. Spin polarization of electrons tunneling from films of Fe, Co, Ni, and Gd. Phys. Rev. B 1973, 7, 318–326. [Google Scholar] [CrossRef]











| a [Å] | TC [K] | ps [μB] | θp [K] | peff [μB] | References |
|---|---|---|---|---|---|
| 6.069 | 314 | 4.40 | 319 | 5.14 | [1] |
| - | 228 | - | - | - | [37] |
| 6.068 | 323 | 4.40 | - | - | [38] |
| - | 323 | - | - | - | [39] |
| 6.075 | - | 4.34 | - | - | [40] |
| 6.074 ± 0.002 | 320 ± 2 | 4.45 | - | - | [41] |
| - | 314 ± 1 | 4.57 ± 0.04 | - | - | [42] |
| 6.070 | 315 | - | 350 | 4.69 | [43] |
| - | 350 | - | - | - | [44] |
| 6.07 | 308 | - | - | - | [45] |
| 6.048 | - | - | - | - | [46] |
| 6.071 | 290 | - | - | - | [47] |
| 6.073 * | 305 * | 3.83 * | - | - | [48] |
| 6.078 | 315 * | 4.30 * | - | - | [49] |
| - | - | 4.5 * | - | - | [50] |
| - | 316 | - | - | - | [51] |
| - | 316 * | 4.3 * | - | - | [52] |
| 6.060 | - | - | - | - | [53] |
| 6.0610 | ~315 | ~4.63 | - | - | [54] |
| 6.0591 ± 0.003 | ~314 | ~4.58 | 322 | ~4.96 | [55] |
| - | 314 | - | - | - | [56] |
| 6.076 ± 0.021 | 317 | - | - | - | [57] |
| - | 304.5 * | 4.29 * | - | - | [58] |
| - | 310 | - | - | - | [59] |
| a [Å] | TC [K] | ps [μB] | θp [K] | peff [μB] | References |
|---|---|---|---|---|---|
| 6.053 | 344 | 4.20 | 356 | 5.07 | [1] |
| - | 200 | - | - | - | [37] |
| 6.052 | 344 | 4.05 | - | - | [38] |
| - | 344 | - | - | - | [39] |
| 6.048 | 345 | 4.01 | - | - | [40] |
| - | 346 ± 2 | 3.88 ± 0.04 | - | - | [42] |
| 6.048 | 328 | - | 355 | 5.00 | [43] |
| - | 355 | - | - | - | [44] |
| - | 340 | - | - | - | [45] |
| 6.024 | - | - | - | - | [46] |
| 6.047 * | - | 4.19 * | - | - | [50] |
| - | 337 | - | - | - | [56] |
| - | 328 | 4.08 | - | - | [59] |
| 6.048 | 410 | 3.3 | - | - | [60] |
| 6.032 | 342 | 3.69 | - | - | [61] |
| 6.034 ± 0.005 | - | - | - | - | [62] |
| 6.050 ± 0.005 | 363 ± 10 | 3.2 ± 0.1 | - | - | [63] |
| 6.052 | 344 ± 4 | 4.05 ± 0.07 | - | - | [64] |
| 6.062 ± 0.003 | 345 ± 2 | 4.04 ± 0.1 | 359 ± 2 | 5.05 ± 0.25 | [65] |
| 6.053 ± 0.005 | 345 ± 2 | 4.07 ± 0.05 | -- | - | [66] |
| - | 336 * | 3.25 * | -- | 4.55 * | [67] |
| - | 346 ± 2 | 3.88 ± 0.04 | -- | - | [68] |
| - | 342 | - | -- | - | [69] |
| 6.054 * | 342.1 * | - | 356.7* | 5.2 * | [70] |
| - | 337 ± 2 | - | - | - | [71] |
| - | 350 * | 3.3 * | - | - | [72] |
| 6.034 ± 0.005 | - | 4.22 ± 0.10 | - | - | [73] |
| 6.052 | 342 | 3.98 | 363 | 4.90 | [74] |
| 6.048 | - | 4.01 | - | - | [75] |
| - | 350 | 4.07 | - | - | [76] |
| 6.048 | 362 | 4.24 | - | 5.07 | [77] |
| 6.057 ± 0.001 | 342 ± 2 | - | - | - | [78] |
| - | - | 5.04 | - | - | [79] |
| - | 341.3 | - | - | - | [80,81] |
| - | 338 * | - | - | - | [82] |
| - | 341 | 3.98 | - | - | [83] |
| 6.046 | 340 | - | - | - | [84] |
| - | 340 | - | - | - | [85] |
| 6.051 * | 340 * | - | - | - | [86] |
| 6.051 * | 341.7 | - | - | - | [87] |
| - | 338 * | - | - | - | [88] |
| - | 349 | 4.1 * | - | - | [89] |
| 6.051 ± 0.001 | 346 | 4.14 | 343 | - | [90] |
| - | 317 | 3.63 | - | - | [91] |
| - | 344 | 4.08 | - | - | [92] |
| a [Å] | TC [K] | ps [μB] | θp [K] | peff [μB] | References |
|---|---|---|---|---|---|
| 6.004 | 365 | 3.52 | 408 | 4.06 | [1] |
| - | 198 | - | - | - | [37] |
| 6.000 | 360 | 3.27 | - | - | [38] |
| - | 334 | - | - | - | [39] |
| 5.982 | - | 3.22 | - | - | [40] |
| - | - | 3.70 ± 0.04 | - | - | [42] |
| 6.027 | 331 | - | 400 | 4.20 | [43] |
| - | 360 | - | - | - | [44] |
| 6.03 | 340 | - | - | - | [45] |
| - | 410 | 3.6 | - | - | [60] |
| 6.00 | 334 | 4.31 | - | - | [61] |
| 6.020 ± 0.005 | 381 ± 5 | 3.9 ± 0.1 | - | - | [63] |
| - | 334 | - | - | - | [69] |
| - | 350 | 3.53 | - | - | [83,85] |
| 6.009 | 368 | 3.73 | - | - | [93] |
| 6.027 ± 0.001 | 370 | - | - | - | [94] |
| 6.0031 | 360 | - | - | - | [95] |
| 6.021 | 353 | - | - | - | [96] |
| 5.9861 ± 0.0002 | ~380 | -- | - | - | [97] |
| 6.011 ± 0.003 | - | - | - | - | [98] |
| 6.0113 | 320 | - | - | - | [99] |
| - | 329 | - | - | - | [100] |
| ptot [μB] | pNi [μB] | pMn [μB] | pIn [μB] | References |
|---|---|---|---|---|
| 4.199 | 0.30 | 3.66 | −0.075 | [49] |
| 4.10 | 0.32 | 3.50 | −0.04 | [106] |
| 3.91 | - | 3.43 | - | [111] |
| 4.16 | - | - | - | [112] |
| 4.31 | - | - | - | [113] |
| 4.208 | 0.277 | 3.719 | −0.066 | [114] |
| 4.22 | - | - | - | [115] |
| 4.22 | - | - | - | [116] |
| 4.06 | 0.29 | 3.54 | −0.06 | [117] |
| 4.22 | 0.35 | 3.44 | −0.02 | [118] |
| 4.22 | - | - | - | [119] |
| 4.05 | - | - | - | [120] |
| 3.89 | 0.294 | 3.33 | −0.0399 | [121] |
| 4.41 | - | - | - | [122] |
| 4.33 | 0.33 | 3.69 | −0.08 | [123,124] |
| 4.13 | 0.29 | 3.59 | - | [125] |
| 4.44 * | - | - | - | [126] |
| 4.205 | 0.354 | 3.579 | - | [127] |
| 3.93 * | - | - | - | [128] |
| 4.18 | 0.34 | 3.61 | −0.10 | [129] |
| 4.07 | - | - | - | [130] |
| ptot [μB] | pNi [μB] | pMn [μB] | pSn [μB] | References |
|---|---|---|---|---|
| 4.08 | 0.25 | 3.62 | −0.04 | [90] |
| 3.73 | - | 3.43 | - | [111] |
| 4.080 | 0.206 | 3.724 | −0.057 | [114] |
| 4.05 | - | - | - | [116] |
| 3.93 | 0.22 | 3.55 | −0.06 | [117] |
| 4.06 | 0.24 | 3.45 | −0.02 | [118] |
| 3.86 | - | - | - | [120] |
| 4.035 | 0.252 | 3.588 | - | [127] |
| 3.87 | - | - | - | [130] |
| 4.10 | 0.024 | 4.01 | −0.062 | [131] |
| 3.75 | - | 3.39 | - | [132] |
| 4.03 | 0.21 | 3.62 | −0.05 | [133] |
| 4.08 | 0.24 | 3.53 | −0.03 | [134] |
| 3.97 | 0.23 | 3.57 | - | [135] |
| 4.09 | 0.21 | 3.73 | −0.05 | [136] |
| 3.98 | 0.23 | 3.57 | −0.07 | [137] |
| 4.20 | - | - | - | [138] |
| 4.110 | 0.250 | 3.486 | −0.013 | [139] |
| 4.056 | - | 3.539 | - | [140] |
| 4.18 | 0.21 | 3.61 | - | [141] |
| 4.07 | 0.16 | 3.84 | −0.08 | [142] |
| 4.06 | 0.24 | 3.39 | −0.0116 | [143] |
| 4.10 | 0.21 | 3.75 | −0.06 | [144] |
| 4.09 | 0.26 | 3.53 | −0.05 | [145] |
| ptot [μB] | pNi [μB] | pMn [μB] | pSb [μB] | References |
|---|---|---|---|---|
| 3.39 | 3.13 | [111] | ||
| 3.950 | 0.143 | 3.696 | −0.033 | [114] |
| 3.76 | 0.17 | 3.37 | −0.03 | [118] |
| 3.87 | - | - | - | [120] |
| 3.72 | - | - | - | [130] |
| 4.12 | - | - | - | [138] |
| 3.998 | 0.158 | 3.553 | −0.009 | [139] |
| 3.96 | 0.15 | 3.39 | −0.00469 | [143] |
| 3.945 | 0.14 | 3.695 | - | [146] |
| 3.70 | 0.105 | 3.52 | −0.032 | [147] |
| 3.70 | - | - | - | [148] |
| 3.90 | 0.16 | 3.60 | - | [149] |
| Ni2MnIn | |||
|---|---|---|---|
| TC [K] | d TC/dp [K/kbar] | d lnTC/dp [kbar−1] | References |
| 228 | +0.56 | +2.5 × 10−3 | [37] |
| 315 | +0.90 | +2.86 × 10−3 | [43] |
| 314 | ~+0.5 | ~+1.59 × 10−3 | [189] |
| Ni2MnSn | |||
| TC [K] | dTC/dp [K/kbar] | d lnTC/dp [kbar−1] | References |
| 200 | +0.62 | +3.1 × 10−3 | [37] |
| 328 | +1.40 | +4.27 × 10−3 | [43] |
| 342 | +0.55 | +1.60 × 10−3 | [69] |
| 341.3 | +0.74 | +2.18 × 10−3 | [80,81] |
| 338 * | +0.57 * | +1.67 × 10−3 * | [82] |
| 341.7 | +0.52 | +1.52 × 10−3 | [87] |
| 338 * | +0.68 | +2.01 × 10−3 | [88] |
| 317 | +0.6 | +1.89 × 10−3 | [91] |
| Ni2MnSb | |||
| TC [K] | dTC/dp [kbar−1] | d lnTC/dp [kbar−1] | References |
| 198 | 0 | 0 | [37] |
| 331 | +4.0 | +12.0 × 10−3 | [43] |
| 334 | +3.0 | +9.0 × 10−3 | [69] |
| ps [μB/f.u.] | d lnps/dp [kbar−1] | References | |
|---|---|---|---|
| Exp. | 4.18 * (T = 5 K, p = 0.92 kbar) | −1.16 × 10−3 | [87] |
| Exp. | 3.63 (T = 5 K, p = 0 kbar) | −0.25 × 10−3 | [91] |
| Calc. | 4.09 (T = 0 K, p = 0 kbar)) | −0.43 × 10−3 * | [136] |
| Calc. | 4.48 (T = 0 K, p = 0 kbar) | −0.21 × 10−3 * | [141] |
| d lnps/dp [kbar−1] | d lnTC/dp [kbar−1] | κγ0,A [kbar−1] | References | |
|---|---|---|---|---|
| Ni2MnSn | −1.16 × 10−3 (5 K) | +1.52 × 10−3 | +3.26 × 10−3 | [87] |
| Co2ZrAl | −1.78 × 10−3 (4.2 K) | −2.2 × 10−3 | +0.47 × 10−3 | [190] |
| Co2VGa | ~0 (5 K) | −2.18 × 10−3 | −2.18 × 10−3 | [190] |
| Ni74.6Al25.4 | −42.4 × 10−3 * (4.2 K) | −32.7 × 10−3 | +31.1 × 10−3 | [218] |
| Ni75Al25 | −8.69 × 10−3 (4.2 K) | −11.6 × 10−3 | +1.44 × 10−3 | [219] |
| ZrZn1.9 | −44.8 × 10−3 * (4.5 K) | −46.7 × 10−3 | +20.5 × 10−3 * | [220] |
| TiFe0.5Co0.5 | −13.8 × 10−3 (0 K) | −19.3 × 10−3 | +1.4 × 10−3 | [221] |
| Fe0.3Co0.7Si | −16 × 10−3 (0 K) | −16 × 10−3 | +8 × 10−3 | [222] |
| Fe | −0.316 × 10−3 (4.2 K) | 0 | +0.47 × 10−3 | [223,224] |
| Ni | −0.296 × 10−3 (4.2 K) | +0.546 × 10−3 | +0.99 × 10−3 | [223,224] |
| Co2TiSn | ~0 (7.5 K) | −0.87 × 10−3 | −0.87 × 10−3 | [225] |
| Co2NbGa | −0.073 × 10−3 (10 K) | −1.84 × 10−3 | −1.73 × 10−3 | [226] |
Disclaimer/Publisher’s Note: The statements, opinions and data contained in all publications are solely those of the individual author(s) and contributor(s) and not of MDPI and/or the editor(s). MDPI and/or the editor(s) disclaim responsibility for any injury to people or property resulting from any ideas, methods, instructions or products referred to in the content. |
© 2025 by the authors. Licensee MDPI, Basel, Switzerland. This article is an open access article distributed under the terms and conditions of the Creative Commons Attribution (CC BY) license (https://creativecommons.org/licenses/by/4.0/).
Share and Cite
Kanomata, T.; Xu, X.; Sakon, T.; Nagata, Y.; Imada, S.; Omori, T.; Kainuma, R.; Eto, T.; Adachi, Y.; Kihara, T.; et al. A Review on the Magnetovolume Effect of the Full Heusler Alloys Ni2MnZ (Z = In, Sn, Sb). Metals 2025, 15, 215. https://doi.org/10.3390/met15020215
Kanomata T, Xu X, Sakon T, Nagata Y, Imada S, Omori T, Kainuma R, Eto T, Adachi Y, Kihara T, et al. A Review on the Magnetovolume Effect of the Full Heusler Alloys Ni2MnZ (Z = In, Sn, Sb). Metals. 2025; 15(2):215. https://doi.org/10.3390/met15020215
Chicago/Turabian StyleKanomata, Takeshi, Xiao Xu, Takuo Sakon, Yuki Nagata, Shin Imada, Toshihiro Omori, Ryosuke Kainuma, Tetsujiro Eto, Yoshiya Adachi, Takumi Kihara, and et al. 2025. "A Review on the Magnetovolume Effect of the Full Heusler Alloys Ni2MnZ (Z = In, Sn, Sb)" Metals 15, no. 2: 215. https://doi.org/10.3390/met15020215
APA StyleKanomata, T., Xu, X., Sakon, T., Nagata, Y., Imada, S., Omori, T., Kainuma, R., Eto, T., Adachi, Y., Kihara, T., Amako, Y., Doi, M., & Uwatoko, Y. (2025). A Review on the Magnetovolume Effect of the Full Heusler Alloys Ni2MnZ (Z = In, Sn, Sb). Metals, 15(2), 215. https://doi.org/10.3390/met15020215

