Next Article in Journal
Processing of Eddy Current Infrared Thermography and Magneto-Optical Imaging for Detecting Laser Welding Defects
Previous Article in Journal
Mechanical Properties of 7075-T6 Aluminum Alloy in Electrically Assisted Forming
 
 
Font Type:
Arial Georgia Verdana
Font Size:
Aa Aa Aa
Line Spacing:
Column Width:
Background:
Article

Magnetic Properties and Thermal Stability of AuCo Alloy Obtained by High-Pressure Torsion

by
Timofey P. Tolmachev
1,*,
Ilya A. Morozov
2,
Sofya A. Petrova
3,
Denis A. Shishkin
1,4,
Elena A. Tolmacheva
1,5,
Vitaliy P. Pilyugin
1 and
Ștefan Țălu
6,*
1
M. N. Mikheev Institute of Metal Physics of the Ural Branch of the Russian Academy of Sciences (IMP UB RAS), 18 S. Kovalevskaya St., 620108 Ekaterinburg, Russia
2
Institute of Continuous Media Mechanics of the Ural Branch of the Russian Academy of Sciences (ICMM UB RAS), 1 Academician Korolev St., 614013 Perm, Russia
3
Vatolin Institute of Metallurgy of the Ural Branch of the Russian Academy of Sciences (IMET UB RAS), 101 Amundsen St., 620016 Ekaterinburg, Russia
4
Institute of Natural Science and Mathematics, Ural Federal University, 48 Kuybyshev St., 620026 Ekaterinburg, Russia
5
Department of Physics, Ural State Mining University, 7 Kuibyshev St., 620144 Ekaterinburg, Russia
6
The Directorate of Research, Development and Innovation Management (DMCDI), Technical University of Cluj-Napoca, 15 Constantin Daicoviciu St., 400020 Cluj-Napoca, Romania
*
Authors to whom correspondence should be addressed.
Metals 2025, 15(2), 118; https://doi.org/10.3390/met15020118
Submission received: 25 December 2024 / Revised: 11 January 2025 / Accepted: 21 January 2025 / Published: 25 January 2025

Abstract

AuCo alloys are promising materials due to their magnetic, magneto-optical and magneto-plasmonic properties. These two metals are characterized by having zero mutual solubility at room temperature, significant differences in their physical and mechanical parameters and positive enthalpy of mixing. In the form of bulk samples, AuCo alloys can be synthesized by high-pressure torsion. In this study, the influence of the thermal conditions of high-pressure torsion synthesis and subsequent annealing procedures on the phase composition, magnetic domain structure and bulk magnetic properties of non-equilibrium AuCo alloys are investigated. Magnetic atomic force microscopy revealed the presence of a different magnetic domain structure in the AuCo alloys after high-pressure torsion synthesis at −193 and 23 °C. Specifically, in the AuCo alloy synthesized after 10 revolutions at 23 °C, a stripe domain structure was formed, whereas, after cryo-deformation, blurred low-contrast domain walls prevailed in the allow. The regularities of the magnetic domain structure were compared with the magnetic response of the bulk sample obtained by vibrating sample magnetometry. It was found that the saturation magnetization was slightly higher for the alloy synthesized at 23 °C, while the coercive force was higher for the AuCo alloy synthesized at −193 °C. Thermal treatment of these alloys leads to an increase in coercivity which doubles and reaches a plateau after annealing at 310 °C after cryo-deformation.

1. Introduction

Progress in magnetic materials science is closely linked to the creation of nanocrystalline structures. It is known that drastic changes in material properties occur when the size of structural elements (particles, crystallites or grains) decreases below the threshold of about 100 nm [1,2]. For example, an effect of magnetocrystalline anisotropy suppression has been found in nanocrystalline soft magnetic materials, opening up the possibility of creating novel materials with a high magnetic permeability and low re-magnetization losses [3,4]. Such nanocrystalline soft magnetic materials are used in magnetic wires, magnetic amplifiers, in memory elements, etc., [5,6,7,8]. The refinement of the structural elements up to critical values is accompanied by a retardation of domain walls shifting and becoming attached to structural defects, as well as a delay in domain rotation [8,9]. Control of these structural mechanisms in nanocrystalline magnetic materials allows for the optimization of their mechanical, magnetic and other functional properties.
The combination of a magnetic metal such as cobalt, iron or nickel with a noble metal such as gold, platinum or silver has attracted much attention due to the promising magnetic, magneto-optical, magneto-plasmonic and catalytic properties of such composites [10,11,12,13,14,15]. In the present work, we focus on a gold–cobalt system. These two metals are characterized by having zero mutual solubility at room temperature and significant differences in their physical and mechanical parameters, including atomic size; in addition, the AuCo system has a positive enthalpy of mixing [16,17].
Depending on the synthesis method and, thus, on their microstructure, AuCo alloys exhibit a wide range of interesting magnetic properties. For example, AuCo films prepared by electrodeposition or rapid quenching exhibit giant magnetoresistance [18], which is determined by the anisotropic Co nanoparticles’ ordered structure in a non-magnetic matrix. In [19], the authors study the magnetic response of AuCo thin films obtained using the magnetron sputtering co-deposition technique, which allows for the formation of an almost amorphous AuCo alloy in which nano-sized Co particles are dispersed. Such films with different cobalt contents exhibit a peculiar and unexpected hysteretic behavior, namely in-plane anisotropy and branch crossing in the loops measured along the hard magnetization direction. The explanation of these results is based on the assumption of the existence of two exchange-coupled ferromagnetic phases, identified as a AuCo alloy and Co nanoparticles, with almost orthogonal anisotropy axes [19]. The authors also emphasized the magnetoelastic nature of the anisotropy of the two phases, which are subjected to a non-uniform stress distribution. Almost all of the above-mentioned reports deal with planar or granular samples.
The production of bulk nanocrystalline magnetic alloys, especially those consisting of immiscible elements, is more likely to be achieved by methods such as severe plastic deformation [20,21]. Among them, the high-pressure torsion technique has such advantages that it allows consolidated samples about one hundred microns thick to be produced with much less contamination than other methods; the simultaneous application of quasi-hydrostatic pressure and shear deformation promotes intensive phase and structure transformations and mechanical alloying of components. This method has been used at the Institute of Metal Physics of the Ural Branch of the Russian Academy of Sciences to produce high-coercivity R-Fe-B (R = Pr, Nd) alloys [22,23,24] and soft magnetic alloys with different structures [25].
Understanding the relationship between the magnetic and structural properties of materials composed of several ferromagnetic phases in a non-magnetic matrix is important for the development of high-density magnetic and magneto-optic recording media, magnetic sensors, etc. Knowledge of the magnetic domain behavior in relation to the macroscopically measured magnetic parameters and microstructure of such alloys is also important from a theoretical point of view.
The present work focuses on the influence of the thermal conditions of high-pressure torsion mechanical synthesis and subsequent annealing treatment on the phase composition, magnetic domain structure and bulk magnetic properties (saturation magnetization and coercive force) of non-equilibrium AuCo alloys. Magnetic force microscopy was used to study the local magnetic domain structure. Although this method has been intensively developed over the last two decades providing reliable information on the spatial distribution and arrangement of the magnetic component in the material, observations of the magnetic structures of cobalt and cobalt-based alloys are very rare [26,27,28] and none are available for the AuCo system. Magnetic force microscopy data are compared with vibrational magnetometry results for the synthesized alloys in order to trace the regularities of magnetic response formation at both the microscale and at the scale of the whole sample.

2. Materials and Methods

2.1. Sample Preparation

Non-equilibrium AuCo alloys were mechanically synthesized by the high-pressure torsion method using the original device manufactured at IMP UB RAS [25]. Au (MZSS, Moscow, Russia) and Co (Reachim, Moscow, Russia) components in the form of powders of 99.99 and 99.60% purity and mean particle sizes of 300 and 50 microns, respectively, at an equal atomic percentage ratio, were preliminarily consolidated by uniaxial compression loading using a hydraulic decimal press (DP36, Germany) with compression stress value of 1 GPa. Consolidated billets were placed between steel Bridgman anvils with a contact pad diameter of 10 mm, and a quasi-hydrostatic pressure of 4 GPa was applied (Figure 1). The typical sizes of the samples after mechanical synthesis were ~10 mm in diameter and 80–120 microns thick. Mechanical synthesis was carried out at 10 anvil revolutions with a deformation velocity 0.3 rotation/min for all samples. The deformation obtained corresponds to a true strain of 8.5, calculated by taking into account the shear strain at half the radius and the upset strain [29]. Pure gold and cobalt were also subjected to the same high-pressure torsional loading conditions solely as reference samples for the X-ray diffraction pattern analysis.
Two mechanical alloying temperatures were used in the high-pressure torsion synthesis of the AuCo alloy: 23 °C and −193 °C. In the case of cryo-deformation, the Bridgman anvils were completely immersed in the liquid nitrogen bath.
Mechanically synthesized samples were polished with a polishing machine using different grades of diamond suspensions (SIAMS, Ekaterinburg, Russia) and washed in an ultrasonic bath in acetone and isopropanol (purified for analysis, EKOS-1, Moscow, Russia) and distilled water (Milipore Super-q water system). One part of each sample was then used for X-ray diffraction analysis and two others for vibrating sample magnetometry and magnetic force microscopy, respectively.
The samples were annealed for the magnetic force microscopy and vibrating sample magnetometry in a quartz tube vacuum reactor with a clamshell resistive furnace manufactured at IMP UB RAS; the pressure of ~10−4 Torr was supported by a screw vacuum pump Cobra BA 100 (Ateliers Buch S.A., Chevenez, Switzerland). Samples were sequentially heated up to temperatures of 220, 244, 260, 310, 345 and 390 °C with an annealing time of 30 min. Magnetic force microscopy and vibrating sample magnetometry measurements were carried out after each annealing.

2.2. Magnetic Force Microscopy

The Ntegra Prima atomic force microscope (by NT-MDT B.V., Apeldoorn, The Netherlands) was used for the magnetic force microscopy measurements. MFM01 probes (by TipsNano, Tallinn, Estonia) with a magnetic layer and a calibrated tip radius of 25 nm and a force constant of 3 N/m were used. The surface was scanned using a two-pass regime [30]. In the first pass, the sample line was scanned using a semi-contact regime with an oscillation amplitude of 0.3 nA. In the second pass, the tip was lifted from the surface up to 250 nm, the feedback was turned off and the tip traced the profile obtained with a two-times-reduced oscillation amplitude. The probe then moved to the next scan-line and the procedure was repeated. The magnetic interactions between the tip and the surface shifted the phase of the tip vibrations on the second pass, providing a qualitative picture of the magnetic domains. At least seven representative areas were scanned in different parts of the sample for each synthesized Au-Co alloy sample and for each annealing temperature.

2.3. Vibrating Sample Magnetometry

A 7407 VSM vibrating sample magnetometer (by Lake Shore Cryotronics, Westerville, OH, USA) was used to measure the hysteresis loops. M(H) curves were obtained at room temperature; the magnetic field was varied in the range of 0–17 kOe and the vibration frequency and amplitude were 82 Hz and 1.5 mm, respectively. The sample orientation was normalized to the vector of magnetic induction (longitudinal magnetic field). The sample magnetization was normalized to the corresponding value of the saturation magnetization Ms, which was determined at a maximum applied field of 17 kOe. Magnetic measurements were carried out using the equipment of the Collaborative Access Center “Testing Center of Nanotechnology and Advanced Materials” of the IMP UB RAS.

2.4. X-Ray Diffraction Analysis

The phase composition and changes in it during heat treatment within a temperature range of 200–450 °C were revealed by X-ray diffraction measurements on a D8 Advance diffractometer (by Bruker, Billerica, MA, USA) using the oxygen-free experimental cell and Cu Kα radiation. X-ray diffraction data analysis was performed using DIFFRACplus: EVA 5.1 program and PDF4+ ICDD database. The quantitative phase analysis was carried out using DIFFRACplus and the TOPAS 4.2 program with the Rietveld method. The content of cobalt in the solid solutions was determined from the concentration dependence of the crystallographic cell parameter, which was plotted using the ICDD PDF 4+ database. X-ray diffraction data acquisition and analysis were carried out using equipment at the Collaborative usage center “Ural-M” of the Institute of Metallurgy of the Ural Branch of the Russian Academy of Sciences.

3. Results and Discussion

3.1. XRD-Analysis Results

Figure 2 and Figure 3 show X-ray diffraction patterns as a function of annealing temperature for the AuCo alloys mechanically synthesized at −193 °C and 23 °C, respectively. The X-ray diffraction patterns for pure Au and hcp-Co which were deformed separately in the same mechanical conditions are also shown (spectra 1 and 2 on Figure 2 and Figure 3). It can be seen that for both mechanically synthesized AuCo alloys there are only broad and non-symmetric peaks corresponding to the fcc structure (spectra 3 in Figure 2 and Figure 3) and there are no clear peaks for the cobalt. The latter result can be explained by both the reflection geometry of the X-ray radiation scanning and the effect of Cu Kα radiation peculiarities in the Au-Co co-scanning. Co-peaks were revealed only in the transmission configuration of the synchrotron X-ray diffraction of the AuCo samples obtained after high-pressure torsion with small values of shear strain [31].
It can be seen that, for the AuCo alloy, which was mechanically synthesized at −193 °C, the peaks are shifted to higher 2θ values compared to the peaks for the pure gold subjected to the same high-pressure torsion conditions (Figure 2). Such a shift in the peaks together with the shape peculiarities testify to the high content of AuCo solid solution in the alloy, as well as the high residual elastic stresses in the material. As the annealing temperature increases, these peaks approach the peaks for the pure gold and become narrow and symmetric (Figure 2, spectra 4–9), which can be attributed to the decomposition of the AuCo solid solution and structure relaxation processes. There is no such shifting for the AuCo alloy produced by mechanical synthesis at 23 °C, although narrowing with increasing temperature is observed (Figure 3, spectra 4–9). Thus, the fraction of the solid solution in the AuCo alloy is lower in the material mechanically synthesized at 23 °C that in the material synthesized at −193 °C.
An analysis of the X-ray diffraction data using the Rietveld method revealed the formation of a three-component mixture of the low-temperature-modified cobalt and two solid solutions with different cobalt contents after mechanical synthesis at 23 °C (Table 1), while the cryo-deformation lead to the almost complete dissolution of cobalt and the formation of two AuCo solid solutions (Table 2) [25]. Hereafter, we denote the solid solutions with higher and lower Co contents as ss1 and ss2, respectively, for both synthesized AuCo alloys for the simplicity of the analysis regardless of the gold fraction. The atomic percentage ratios for the AuCo solid solutions in Table 1 and Table 2 were estimated on the basis of crystal lattice concentration dependence [32]. Note that the crystal lattice parameter for pure gold subjected to the same high-pressure torsion was 4.0827 Å.
Figure 4 shows the changes in the phase composition of the AuCo alloys during annealing. In the case of the alloy mechanically synthesized at 23 °C (Figure 4a), intensive structural transformations begin in the temperature range of 300–340 °C, when the ss1 solid solution (with high cobalt content) completely disappears and the content of the ss2 Co-lean solid solution abruptly increases. These processes are accompanied by a decrease in the free cobalt content, although, in the temperature range of 200–300 °C, the free cobalt fraction is relatively high (about 30 wt.%) and quite stable. In the case of cryo-deformation, intense structural transformations begin at sufficiently low temperatures of about 200 °C and continue up to 300 °C (Figure 4b). In addition, the metallic cobalt fraction in the alloy after cryo-deformation fluctuates around 10 wt.% in all of the temperature ranges studied. The decrease in the free Co content is apparently related to its dissolution in the gold matrix and the growth of the ss2 Co-lean solid solution fraction in both synthesized alloys. The kinetics of this process appear to be different in AuCo alloys mechanically synthesized at different temperatures due to their different structural state and will be the subject of future research. Due to the high level of mechanical deformations applied, the free Co cluster dimensions cannot be correctly estimated by XRD, so TEM analysis was required.
Figure 5 and Figure 6 show the parameters of the crystal lattice and the changes in the lattice strain with the annealing temperature, respectively, for two solid solutions in the AuCo alloys mechanically synthesized at 23 and −193 °C. It can be seen that although the fraction of the two solid solutions in the AuCo alloy mechanically synthesized at 23 °C seems to be stable in the temperature range of 200–300 °C (Figure 4a), their crystal structure changes significantly. In fact, the decomposition process of the ss1 solid solution (with high content of cobalt) is accompanied by an extension of the crystal lattice (Figure 5a), which cannot only be explained by the thermal effect but is also related to the relaxation of the structural stresses (Figure 6a).
Both fractions of the solid solution change in the temperature range of 200–300 °C; in the case of the AuCo alloy mechanically synthesized at −193 °C, the lattice parameters also show a non-thermal increase (Figure 5b), but structural stresses are not relaxed until 280 °C. This appears to be related to microstructural peculiarities and requires further investigation.

3.2. Magnetic Force Microscopy Analysis Results

Figure 7 depicts typical magnetic force microscopy images of the magnetic structure of a AuCo alloy mechanically synthesized at −193 °C in the initial state (Figure 7a,b) and after annealing at different temperatures (Figure 7c–i). Note that the bright and dark areas in the images correspond to the magnetostatic interactions between the tip and the sample material. Thus, it shows the spatial distribution of the ferromagnetic component in the alloy and the domains of opposite magnetization in the direction perpendicular to the sample surface. The morphology of the corresponding surface is shown in the insets and demonstrates only polishing grooves which do not correlate with the magnetic structure of the sample.
In the initial state (after mechanical synthesis), the AuCo alloy mechanically synthesized at −193 °C contains blurred low-contrast magnetic domain boundaries (Figure 7a) and numerous small-scale ferromagnetic areas without pronounced domain walls (Figure 7b). After annealing in the temperature range of 220–260 °C, both the size of such ferromagnetic areas and their concentration increase, which is especially visible after annealing at 244 °C (Figure 7e). A further increase in temperature leads to coarsening of the ferromagnetic areas (Figure 7f–i). According to the analysis of the X-ray diffraction data (Table 2), there are three ferromagnetic phases in the AuCo alloy synthesized at −193 °C and subjected to annealing at temperatures ranging from 200 to 400 °C: two AuCo solid solutions with different Co contents and metallic cobalt. The identification of the magnetic phases based on the analysis of tip–sample magnetic interactions is a rather complicated problem and will be the next step in our research.
Mechanical synthesis under the same shear deformation but at 23 °C leads to a significantly different magnetic domain arrangement, namely, the creation of stripe domains (Figure 8a,b), which was observed in all areas of the sample studied. It should be noted that the direction of the stripe domains is not linked with the tracks of the relief due to mechanical polishing (insets in all of the MFM-images). It is also worth mentioning that the structure of the stripe domains is slightly but clearly different in different parts of the sample (compared to, for example, the images in Figure 8a,b). These changes in the morphology of the stripe domains are apparently related to the different values of actual shear strain in different parts of the sample due to the high-pressure torsion loading scheme.
Thermal annealing of the AuCo alloy mechanically synthesized at 23 °C revealed the tendency for stripe domain disintegration when increasing the annealing temperature (Figure 8d–h). Indeed, after annealing at 310 °C there are areas in the sample where the stripe domains have almost vanished (Figure 8i).

3.3. Vibrating Sample Magnetometry Analysis Results

Figure 9 reveals the normalized hysteresis loops for the AuCo alloys synthesized at −193 (a) and 23 °C (b) and subjected to thermal annealing at different temperatures. The hysteresis loops for the alloy produced at −193 °C demonstrate a more rectangular shape or a higher rectangularity factor (the ratio of residual to saturation magnetization, Mr/Ms) compared to the loops of the alloy prepared at 23 °C. Namely, for annealing temperatures up to 310 °C, the Mr/Ms ratio varies from 0.21 to 0.32 for the alloy synthesized at 23 °C and from 0.37 to 0.59 for the alloy synthesized at −193 °C, while in the temperature range of 345–450 °C, the rectangularity factor is close to 0.4 for both synthesized alloys. In addition, the hysteresis loops “stretch” along the magnetic field axis with increasing annealing temperatures (insets in Figure 9).
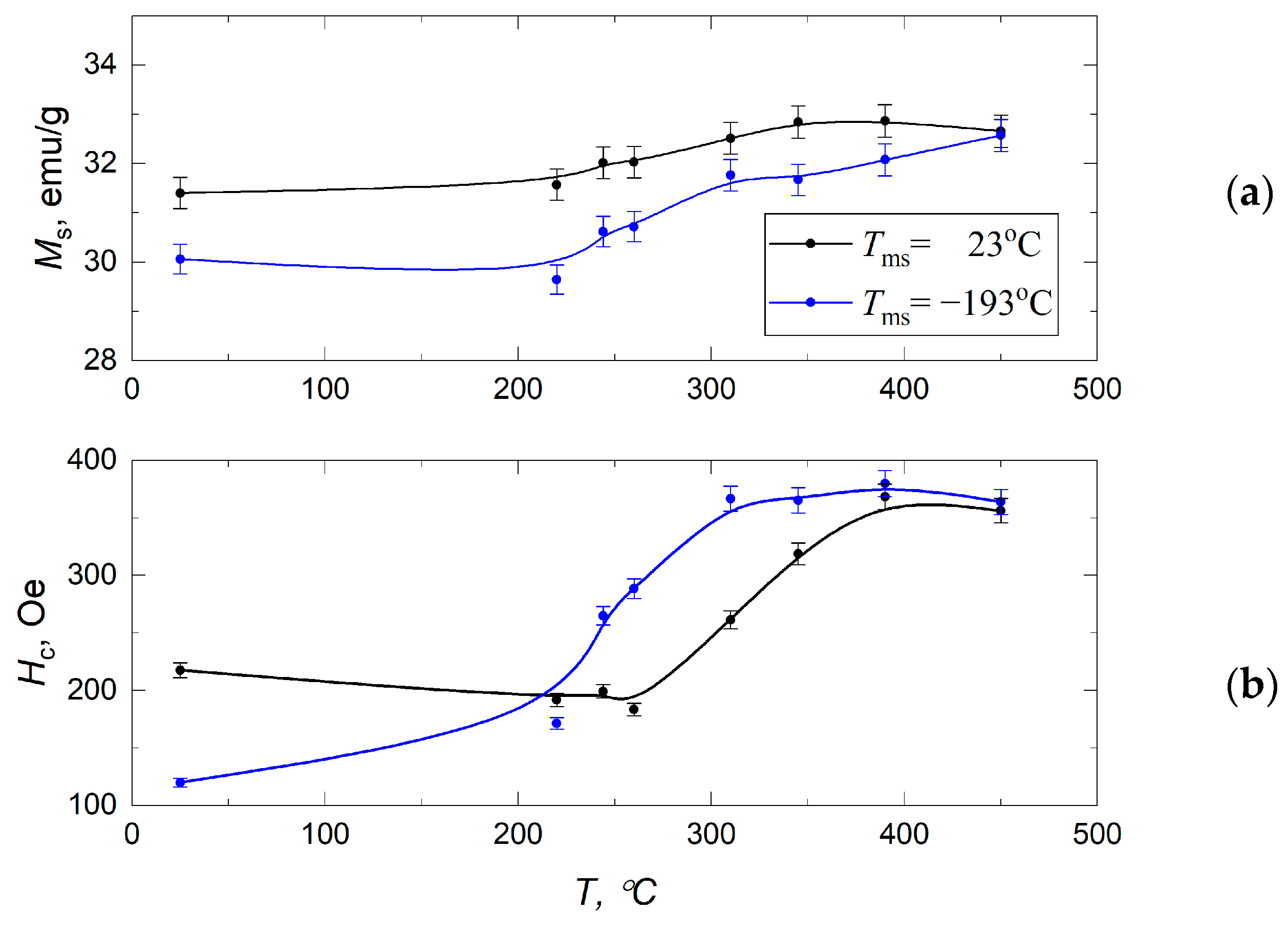
The temperature dependence of the parameters of the hysteresis loops are shown in Figure 10. In the temperature range of 220–390 °C, the saturation magnetization Ms is slightly higher for the alloy mechanically synthesized at 23 °C but behaves similarly for both temperatures of mechanical synthesis with a slight tendency for its value to increase with the increase in the annealing temperature. Saturation magnetization becomes practically identical for both temperatures of mechanical synthesis after annealing at 450 °C (Figure 10a). The most pronounced changes are observed for the coercive force Hc in the case of the AuCo alloy mechanically synthesized at −193 °C; the coercive force increases sharply in the annealing temperature range of 220–310 °C and reaches a plateau at 310 °C, whereas for the AuCo alloy synthesized at 23 °C coercivity begins to change at higher temperature values of about 260 °C and a plateau is achieved only after 400 °C (Figure 10b).
The data obtained confirm the strong influence of the thermal conditions of the high-pressure torsion synthesis, as well as subsequent thermal annealing, on the AuCo alloys’ phase composition, microstructure arrangement and magnetic properties. Different thermal conditions of the mechanical loading lead to different types of cobalt dissolution, resulting in the formation of AuCo solid solutions with different compound and structural stress distributions. Namely, cryo-deformation leads to almost complete cobalt dissolution and the formation of more dispersed cobalt-containing components in the material.
Thermal annealing of this alloy in the temperature range of 200…300 °C leads to the decomposition of the Co-rich solid solution accompanied by the extension of the crystal lattice, which cannot be explained by the thermal effect alone and is also related to structural stress relaxation.
The coarsening of the ferromagnetic components (Co particles and Co-containing solid solutions) with increasing annealing temperature in this alloy has also been demonstrated by magnetic force microscopy. It is known that the coercive force is caused by the retardation of the displacement of domain boundaries due to the presence of inclusions or a strong deformation of the crystal lattice, and smaller particles usually produce a stronger pinning force on the domain wall due to a larger boundary area to volume ratio. Thus, the increase in the coercive force, as the most structurally sensitive parameter of hysteresis loops, with annealing temperature can be attributed to the pinning of the precipitate particles to the domain walls, which is in agreement with [33,34].
In the AuCo alloy mechanically synthesized at 23 °C, there is a significantly higher fraction of undissolved cobalt (about 30 wt.%), which provides relatively higher saturation magnetization values. The magnetic domain structure of such an alloy is quite different from that of the AuCo alloy obtained after cryo-deformation and is formed on scales much larger than the size of the structural elements. Namely, a stripe domain structure was observed in all sample areas on the scale of 40 microns, whereas the typical grain size in materials subjected to high-pressure torsion is about tens of nanometers [20,21]. Thermal annealing of the AuCo alloy mechanically synthesized at 23 °C also results in the decomposition of the Co-rich solid solution and an increase in the solid solution with a low Co content fraction, but structural stress relaxation occurs continuously throughout the whole temperature range of 200…300 °C.

4. Conclusions

In this study, the influence of the thermal conditions of high-pressure torsion synthesis and subsequent annealing on the phase composition, magnetic domain structure and bulk magnetic properties of non-equilibrium AuCo alloys were investigated. Two temperatures of mechanical synthesis were implemented: −193 and 23 °C. X-ray diffraction data analysis according to the Rietveld method revealed the formation of a three-component mixture of gold, low-temperature-modified cobalt and a solid solution of the two after mechanical synthesis at 23 °C, whereas cryo-deformation lead to complete cobalt dissolution and the formation of two AuCo solid solutions with different cobalt contents. Thermal treatment of such supersaturated alloy leads to decomposition of the Co-rich solid solution accompanied by an increase in the content of solid solution with a low Co concentration in the temperature range of 240–270 °C. At temperatures of 200 °C and higher, Co sedimentation occurs with an almost constant fraction of 1.6–3 wt.%.
Magnetic atomic force microscopy revealed different magnetic domain structures in the AuCo alloys after high-pressure torsion synthesis at −193 and 23 °C. Namely, in the AuCo alloy synthesized after 10 revolutions at 23 °C, a stripe domain structure formed. Thermal treatment of this alloy in the temperature range of 220…280 °C lead to the disintegration of the stripe domain structure; after annealing at 310 °C there were areas in the sample where the stripe domain structure had practically disappeared.
The magnetic domain structure of the AuCo alloy synthesized by cryo-deformation was characterized by blurred, low-contrast magnetic domain boundaries and numerous small-scale ferromagnetic areas without pronounced domain walls. After annealing in the temperature range of 220…260 °C, both the size of such ferromagnetic areas and their concentration increased. A further increase in temperature lead to coarsening of the ferromagnetic regions. These ferromagnetic areas may be associated with the three ferromagnetic phases determined by the XRD data analysis, although the identification of magnetic phases according to their MFM images is rather complicated.
The regularities of the magnetic domain structure were compared with the magnetic response of the bulk samples obtained by vibrational magnetometry. It was found that the saturation magnetization is slightly higher for the alloy synthesized at 23 °C, while the coercive force is higher for the AuCo alloy synthesized at −193 °C. This can be explained by the supersaturated solid solution formation and the higher level of internal stresses during the cryo-deformation synthesis compared to those in the AuCo alloy produced at 23 °C. Thermal treatment of the alloys lead to an increase in coercivity, which doubled and reached a plateau after annealing at 310 °C for the alloy after cryo-deformation. In addition, the changes in coercivity started earlier and reached the plateau at lower temperatures for the AuCo alloy synthesized at −193 °C than for the alloy produced at 23 °C. The temperature range in which the coercive force changes occur coincides with that corresponding to the major phase transformations revealed by the analysis of the X-ray diffraction data.

Author Contributions

Conceptualization and supervision, V.P.P.; methodology, V.P.P., T.P.T. and E.A.T.; validation, S.A.P., T.P.T., E.A.T. and V.P.P.; formal analysis, T.P.T. and E.A.T.; investigation, T.P.T., E.A.T., I.A.M., S.A.P. and D.A.S.; data curation, D.A.S., S.A.P., Ș.Ț. and I.A.M.; writing—original draft preparation, T.P.T. and E.A.T.; writing—review and editing, T.P.T., E.A.T., D.A.S., I.A.M. and Ș.Ț.; visualization, S.A.P., D.A.S., T.P.T. and E.A.T.; project administration, Ș.Ț.; funding acquisition, V.P.P. All authors have read and agreed to the published version of the manuscript.

Funding

The work was carried out within the framework of the state assignment of the Ministry of Science and Higher Education of the Russian Federation for the IMP UB RAS (article sections 1, 2.1, 2.3, 3.3, 5) and within the state program AAAA-A20-120022590044-7 (article sections 2.2 and 3.2).

Data Availability Statement

The data used to support the findings of this study are available from the corresponding authors upon request.

Conflicts of Interest

The authors declare no conflicts of interest.

References

  1. Buschow, K.H.J. Chapter 4 Magnetism and processing of permanent magnet materials. In Handbook of Magnetic Materials; Elsevier: Amsterdam, The Netherlands, 1997; Volume 10, pp. 463–593. [Google Scholar] [CrossRef]
  2. Dobrovitskii, V.V.; Zvezdin, A.K.; Popov, A.F. Giant magnetoresistance, spin-reorientation transitions, and macroscopic quantum phenomena in magnetic nanostructures. Phys. Uspekhi 1996, 39, 407–414. [Google Scholar] [CrossRef]
  3. Herzer, G. Soft magnetic nanocrystalline materials. Scr. Metall. Mater. 1995, 33, 1741–1756. [Google Scholar] [CrossRef]
  4. Herzer, G. Grain-Size Dependence of Coercivity and Permeability in Nanocrystalline Ferromagnets. IEEE Trans. Magn. 1990, 26, 1397. [Google Scholar] [CrossRef]
  5. Barariu, F.; Chiriac, H. Thermoelectromotive force in nanocrystalline wires. Nanostructured Mater. 1999, 12, 967. [Google Scholar] [CrossRef]
  6. Willard, M.A.; Daniil, M. Nanocrystalline soft magnetic alloys: Two decades of progress. Handb. Magn. Mater. 2013, 21, 173–342. [Google Scholar]
  7. Hasegawa, R. Advances in amorphous and nanocrystalline magnetic materials. J. Magn. Magn. Mater. 2006, 304, 187. [Google Scholar] [CrossRef]
  8. Hubert, A.; Schafer, R. Magnetic Domains: The Analysis of Magnetic Microstructures; Springer: New York, NY, USA, 2000. [Google Scholar]
  9. Goll, D. Handbook of Magnetism and Advanced Magnetic Materials; Wiley Online Library: New York, NY, USA, 2007; Volume 2, p. 1023. [Google Scholar]
  10. Yang, K.; Clavero, C.; Skuza, J.R.; Varela, M.; Lukaszew, R.A. Surface plasmon resonance and magneto-optical enhancement on Au–Co nanocomposite thin films. J. Appl. Phys. 2010, 107, 103924–103925. [Google Scholar] [CrossRef]
  11. Guadagnini, A.; Agnoli, A.; Badocco, D.; Pastore, P.; Pilot, R.; Ravelle-Chapuis, R.; van Raap Fernandez, M.B.; Amendola, V. Kinetically Stable Nonequilibrium Gold-Cobalt Alloy Nanoparticles with Magnetic and Plasmonic Properties Obtained by Laser Ablation in Liquid. ChemPhysChem 2021, 22, 657–664. [Google Scholar] [CrossRef]
  12. Toal, B.; McMillen, M.; Murphy, A.; Hendren, W.; Arredondo, M.; Pollard, R. Optical and magneto-optical properties of gold core cobalt shell magnetoplasmonic nanowire arrays. Nanoscale 2014, 6, 12905–12911. [Google Scholar] [CrossRef]
  13. Zhou, Y.; Wang, X.; Huang, X.; Deng, H.; Hu, Y. Construction of a gold-cobalt alloy catalyst to enhance the green reduction of carbon dioxide. J. CO2 Util. 2022, 65, 102245. [Google Scholar] [CrossRef]
  14. Kumbhar, A.; Spinu, L.; Agnoli, F.; Wang, K.-Y.; Zhou, W.; O’Connor, C.J. Magnetic properties of cobalt and cobalt–platinum alloy nanoparticles synthesized via microemulsion technique. IEEE Trans. Magn. 2001, 37, 2216–2218. [Google Scholar] [CrossRef]
  15. Canet, F.; Bellouard, C.; Joly, L.; Mangin, S. Magnetic behavior of exchange-coupled Fe30Au70/Fe65Au35 bilayers. Phys. Rev. B 2004, 69, 094402–094411. [Google Scholar] [CrossRef]
  16. Schorn, T.J. ASM Handbook Volume 3: Alloy Phase Diagrams; ASM International: Almelle, The Netherlands, 1992. [Google Scholar]
  17. Miedema, A.R.; de Chatel, P.F.; de Boer, F.R. Cohesion in alloys—Fundamentals of a semi-empirical model. Phys. B+C 1980, 100, 1–28. [Google Scholar] [CrossRef]
  18. Hutten, A.; Bernardi, J.; Friedrichs, S.; Thomas, G. Microstructural influence on magnetic properties and giant magnetoresistance of melt-spun gold-cobalt. Scr. Metall. Mater. 1995, 33, 1647–1666. [Google Scholar] [CrossRef]
  19. Chinni, F.; Spizzo, F.; Montoncello, F.; Mattarello, V.; Maurizio, C.; Mattei, G.; Del Bianco, L. Magnetic hysteresis in nanocomposite films consisting of a ferromagnetic AuCo alloy and ultrafine Co particles. Materials 2017, 10, 717. [Google Scholar] [CrossRef] [PubMed]
  20. Edalati, K.; Bachmaier, A.; Beloshenko, V.A.; Beygelzimer, Y.; Blank, V.D.; Botta, W.J.; Bryła, K.; Čížek, J.; Divinski, S.; Enikeev, N.A.; et al. Nanomaterials by severe plastic deformation: Review of historical developments and recent advances. Mater. Res. Lett. 2022, 10, 163–256. [Google Scholar] [CrossRef]
  21. Valiev, R. Nanostructuring of metals by severe plastic deformation for advanced properties. Nat. Mater. 2004, 3, 511–516. [Google Scholar] [CrossRef]
  22. Popov, A.G.; Gunderov, D.V.; Stolyarov, V.V. Method of formation of a high coercivity state in PrFeBCu alloy. J. Magn. Magn. Mater. 1996, 157, 33. [Google Scholar] [CrossRef]
  23. Popov, A.G.; Gaviko, V.S.; Shchegoleva, N.N.; Puzanova, T.Z. Severe plastic deformation of R-Fe-B (R = Pr or Nd) hard magnetic alloys. Phys. Met. Metallogr. 2002, 94, S75. [Google Scholar]
  24. Popov, A.G.; Ermolenko, A.S. Severe Plastic Deformation: Toward Bulk Production of Nanostructured Materials; Alan, B., Ed.; Nova Science: New York, NY, USA, 2006. [Google Scholar]
  25. Tolmachev, T.P.; Morozov, I.A.; Shishkin, D.A.; Petrova, S.A.; Tolmacheva, E.A.; Pilyugin, V.P. Influence of thermomechanical synthesis conditions on the nonequilibrium Au-Co alloys phase composition and magnetic structure. Phys. Metals Metallogr. 2024, 125, 1258–1262. [Google Scholar]
  26. Lin, H.N.; Chiou, Y.H.; Chen, B.M.; Shieh, H.P.; Chang, C.R. Magnetic force microscopy study of domain walls on a thin cobalt film. J. Appl. Phys. 1998, 83, 4997–4999. [Google Scholar] [CrossRef]
  27. Szmaja, W.; Grobelny, J.; Cichomski, M. MFM investigation of the domain structure of cobalt single crystals. Czechoslov. J. Phys. 2004, 54, 249–252. [Google Scholar] [CrossRef]
  28. Szmaja, W.; Balcerski, J.; Kozlowski, W.; Grobelny, J.; Cichomski, M. Investigation of the morphological structure of thin cobalt films by AFM and TEM. Acta Phys. Pol. A 2008, 113, 171–174. [Google Scholar] [CrossRef]
  29. Degtyarev, M.V.; Chashchukhina, T.I.; Voronova, L.M.; Patselov, A.M.; Pilyugin, V.P. Influence of the relaxation processes on the structure formation in pure metals and alloys under high-pressure torsion. Acta Mater. 2007, 55, 6039–6050. [Google Scholar] [CrossRef]
  30. Hartmann, U. Magnetic Force Microscopy. Annu. Rev. Mater. Sci. 1999, 29, 53–87. [Google Scholar] [CrossRef]
  31. Tolmachev, T.P.; Pilyugin, V.P.; Ancharov, A.I.; Chernyshov, E.G.; Patselov, A.M. The formation, structure, and properties of the Au–Co alloys produced by severe plastic deformation under pressure. Phys. Met. Metallogr. 2016, 117, 135–142. [Google Scholar] [CrossRef]
  32. Gates-Rector, S.; Blanton, T. The Powder Diffraction File: A Quality Materials Characterization Database. Powder Diffr. 2019, 34, 352–360. [Google Scholar] [CrossRef]
  33. Uhl, R.H.; Krauss, G. Coercive force and structure in a Co-Fe-Au alloy. Metall. Trans. 1970, 1, 2157–2161. [Google Scholar] [CrossRef]
  34. Vértesy, G.; Tomáš, I.; Půst, L.; Hašlar, V.; Kraus, L.; Vértesy, Z. Coercivity contributions and their temperature dependence in stress-annealed amorphous alloys. J. Magn. Magn. Mater. 1996, 164, 163–171. [Google Scholar] [CrossRef]
Figure 1. Scheme of mechanical alloying using high-pressure torsion method (a) and an image of a typical sample after the synthesis (b).
Figure 1. Scheme of mechanical alloying using high-pressure torsion method (a) and an image of a typical sample after the synthesis (b).
Metals 15 00118 g001
Figure 2. XRD patterns for the pure Au (1) and Co (2) after 10 revolutions and for the AuCo alloy, synthesized at Tms = −193 °C, in the initial state (3) and after annealing at different temperatures: 200 (4), 240 (5), 280 (6), 300 (7), 340 (8) and 400 °C (9).
Figure 2. XRD patterns for the pure Au (1) and Co (2) after 10 revolutions and for the AuCo alloy, synthesized at Tms = −193 °C, in the initial state (3) and after annealing at different temperatures: 200 (4), 240 (5), 280 (6), 300 (7), 340 (8) and 400 °C (9).
Metals 15 00118 g002
Figure 3. XRD patterns for the pure Au (1) and Co (2) after 10 revolutions and for the AuCo alloy, synthesized at Tms = 23 °C, in the initial state (3) and after annealing at different temperatures: 200 (4), 240 (5), 280 (6), 300 (7), 340 (8) and 400 °C (9).
Figure 3. XRD patterns for the pure Au (1) and Co (2) after 10 revolutions and for the AuCo alloy, synthesized at Tms = 23 °C, in the initial state (3) and after annealing at different temperatures: 200 (4), 240 (5), 280 (6), 300 (7), 340 (8) and 400 °C (9).
Metals 15 00118 g003
Figure 4. Phase composition as a function of the annealing temperature for the AuCo alloys synthesized at Tms = 23 °C (a) and −193 °C (b).
Figure 4. Phase composition as a function of the annealing temperature for the AuCo alloys synthesized at Tms = 23 °C (a) and −193 °C (b).
Metals 15 00118 g004
Figure 5. Parameters of the crystal lattice for AuCo solid solutions with different contents of cobalt as a function of annealing temperature for AuCo alloys synthesized at Tms = 23 °C (a) and −193 °C (b). The dashed line in a and b depicts the parameters of the crystal lattice for the pure gold according to [32].
Figure 5. Parameters of the crystal lattice for AuCo solid solutions with different contents of cobalt as a function of annealing temperature for AuCo alloys synthesized at Tms = 23 °C (a) and −193 °C (b). The dashed line in a and b depicts the parameters of the crystal lattice for the pure gold according to [32].
Metals 15 00118 g005
Figure 6. Strain of the crystal lattice for AuCo solid solutions as a function of annealing temperature for AuCo alloys synthesized at Tms = 23 °C (a) and −193 °C (b).
Figure 6. Strain of the crystal lattice for AuCo solid solutions as a function of annealing temperature for AuCo alloys synthesized at Tms = 23 °C (a) and −193 °C (b).
Metals 15 00118 g006
Figure 7. MFM-images of AuCo alloy synthesized at Tms = −193 °C: initial state (a,b) and after annealing at 220 (c), 244 (d,e), 260 (f,g) and 310 °C (h,i). Scale bar is 5 microns for all images. The insets show the morphology of the corresponding surface.
Figure 7. MFM-images of AuCo alloy synthesized at Tms = −193 °C: initial state (a,b) and after annealing at 220 (c), 244 (d,e), 260 (f,g) and 310 °C (h,i). Scale bar is 5 microns for all images. The insets show the morphology of the corresponding surface.
Metals 15 00118 g007
Figure 8. MFM-images of the AuCo alloy synthesized at Tms = 23 °C: under the initial conditions (a,b) and after annealing at 220 (c), 244 (d,e), 260 (f,g) and 310 °C (h,i). Scale bar is 5 microns for all images. The insets show the morphology of the corresponding surface.
Figure 8. MFM-images of the AuCo alloy synthesized at Tms = 23 °C: under the initial conditions (a,b) and after annealing at 220 (c), 244 (d,e), 260 (f,g) and 310 °C (h,i). Scale bar is 5 microns for all images. The insets show the morphology of the corresponding surface.
Metals 15 00118 g008
Figure 9. Hysteresis loops of the Au-Co alloy synthesized at Tms = −193 °C (a) and 23 °C (b) in initial conditions and after annealing at different temperatures. The insets show the enlarged area of hysteresis loops.
Figure 9. Hysteresis loops of the Au-Co alloy synthesized at Tms = −193 °C (a) and 23 °C (b) in initial conditions and after annealing at different temperatures. The insets show the enlarged area of hysteresis loops.
Metals 15 00118 g009
Figure 10. The annealing temperature dependence of saturation magnetization (a) and coercive force (b) for the Au-Co alloys mechanically synthesized at Tms = −193 °C (blue) and 23 °C (black).
Figure 10. The annealing temperature dependence of saturation magnetization (a) and coercive force (b) for the Au-Co alloys mechanically synthesized at Tms = −193 °C (blue) and 23 °C (black).
Metals 15 00118 g010
Table 1. Phase composition of the alloy after mechanical synthesis at Tms = 23 °C.
Table 1. Phase composition of the alloy after mechanical synthesis at Tms = 23 °C.
PhaseSpace GroupStructureLattice Parameters% Wt
Au0.89Co0.11ss1Fm-3mCubic4.03277.4
Au0.97Co0.03 ss2Fm-3mCubic4.07610.0
Co(beta)P63/mmcOrthorhombica = 2.504
c = 4.201
12.6
Table 2. Phase composition of the alloy after mechanical synthesis at Tms = −193 °C.
Table 2. Phase composition of the alloy after mechanical synthesis at Tms = −193 °C.
PhaseSpace GroupStructureLattice Parameters% Wt
Au0.70Co0.30 ss1Fm-3mCubic3.96478.3
Au0.86Co0.14 ss2Fm-3mCubic4.04418.8
Co (beta)P63/mmcOrthorhombica = 2.495
c = 4.093
2.9
Disclaimer/Publisher’s Note: The statements, opinions and data contained in all publications are solely those of the individual author(s) and contributor(s) and not of MDPI and/or the editor(s). MDPI and/or the editor(s) disclaim responsibility for any injury to people or property resulting from any ideas, methods, instructions or products referred to in the content.

Share and Cite

MDPI and ACS Style

Tolmachev, T.P.; Morozov, I.A.; Petrova, S.A.; Shishkin, D.A.; Tolmacheva, E.A.; Pilyugin, V.P.; Țălu, Ș. Magnetic Properties and Thermal Stability of AuCo Alloy Obtained by High-Pressure Torsion. Metals 2025, 15, 118. https://doi.org/10.3390/met15020118

AMA Style

Tolmachev TP, Morozov IA, Petrova SA, Shishkin DA, Tolmacheva EA, Pilyugin VP, Țălu Ș. Magnetic Properties and Thermal Stability of AuCo Alloy Obtained by High-Pressure Torsion. Metals. 2025; 15(2):118. https://doi.org/10.3390/met15020118

Chicago/Turabian Style

Tolmachev, Timofey P., Ilya A. Morozov, Sofya A. Petrova, Denis A. Shishkin, Elena A. Tolmacheva, Vitaliy P. Pilyugin, and Ștefan Țălu. 2025. "Magnetic Properties and Thermal Stability of AuCo Alloy Obtained by High-Pressure Torsion" Metals 15, no. 2: 118. https://doi.org/10.3390/met15020118

APA Style

Tolmachev, T. P., Morozov, I. A., Petrova, S. A., Shishkin, D. A., Tolmacheva, E. A., Pilyugin, V. P., & Țălu, Ș. (2025). Magnetic Properties and Thermal Stability of AuCo Alloy Obtained by High-Pressure Torsion. Metals, 15(2), 118. https://doi.org/10.3390/met15020118

Note that from the first issue of 2016, this journal uses article numbers instead of page numbers. See further details here.

Article Metrics

Back to TopTop