Magnetic Properties and Thermal Stability of AuCo Alloy Obtained by High-Pressure Torsion
Abstract
1. Introduction
2. Materials and Methods
2.1. Sample Preparation
2.2. Magnetic Force Microscopy
2.3. Vibrating Sample Magnetometry
2.4. X-Ray Diffraction Analysis
3. Results and Discussion
3.1. XRD-Analysis Results
3.2. Magnetic Force Microscopy Analysis Results
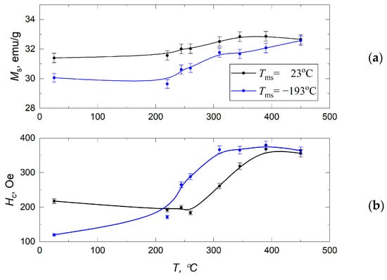
3.3. Vibrating Sample Magnetometry Analysis Results
4. Conclusions
Author Contributions
Funding
Data Availability Statement
Conflicts of Interest
References
- Buschow, K.H.J. Chapter 4 Magnetism and processing of permanent magnet materials. In Handbook of Magnetic Materials; Elsevier: Amsterdam, The Netherlands, 1997; Volume 10, pp. 463–593. [Google Scholar] [CrossRef]
- Dobrovitskii, V.V.; Zvezdin, A.K.; Popov, A.F. Giant magnetoresistance, spin-reorientation transitions, and macroscopic quantum phenomena in magnetic nanostructures. Phys. Uspekhi 1996, 39, 407–414. [Google Scholar] [CrossRef]
- Herzer, G. Soft magnetic nanocrystalline materials. Scr. Metall. Mater. 1995, 33, 1741–1756. [Google Scholar] [CrossRef]
- Herzer, G. Grain-Size Dependence of Coercivity and Permeability in Nanocrystalline Ferromagnets. IEEE Trans. Magn. 1990, 26, 1397. [Google Scholar] [CrossRef]
- Barariu, F.; Chiriac, H. Thermoelectromotive force in nanocrystalline wires. Nanostructured Mater. 1999, 12, 967. [Google Scholar] [CrossRef]
- Willard, M.A.; Daniil, M. Nanocrystalline soft magnetic alloys: Two decades of progress. Handb. Magn. Mater. 2013, 21, 173–342. [Google Scholar]
- Hasegawa, R. Advances in amorphous and nanocrystalline magnetic materials. J. Magn. Magn. Mater. 2006, 304, 187. [Google Scholar] [CrossRef]
- Hubert, A.; Schafer, R. Magnetic Domains: The Analysis of Magnetic Microstructures; Springer: New York, NY, USA, 2000. [Google Scholar]
- Goll, D. Handbook of Magnetism and Advanced Magnetic Materials; Wiley Online Library: New York, NY, USA, 2007; Volume 2, p. 1023. [Google Scholar]
- Yang, K.; Clavero, C.; Skuza, J.R.; Varela, M.; Lukaszew, R.A. Surface plasmon resonance and magneto-optical enhancement on Au–Co nanocomposite thin films. J. Appl. Phys. 2010, 107, 103924–103925. [Google Scholar] [CrossRef]
- Guadagnini, A.; Agnoli, A.; Badocco, D.; Pastore, P.; Pilot, R.; Ravelle-Chapuis, R.; van Raap Fernandez, M.B.; Amendola, V. Kinetically Stable Nonequilibrium Gold-Cobalt Alloy Nanoparticles with Magnetic and Plasmonic Properties Obtained by Laser Ablation in Liquid. ChemPhysChem 2021, 22, 657–664. [Google Scholar] [CrossRef]
- Toal, B.; McMillen, M.; Murphy, A.; Hendren, W.; Arredondo, M.; Pollard, R. Optical and magneto-optical properties of gold core cobalt shell magnetoplasmonic nanowire arrays. Nanoscale 2014, 6, 12905–12911. [Google Scholar] [CrossRef]
- Zhou, Y.; Wang, X.; Huang, X.; Deng, H.; Hu, Y. Construction of a gold-cobalt alloy catalyst to enhance the green reduction of carbon dioxide. J. CO2 Util. 2022, 65, 102245. [Google Scholar] [CrossRef]
- Kumbhar, A.; Spinu, L.; Agnoli, F.; Wang, K.-Y.; Zhou, W.; O’Connor, C.J. Magnetic properties of cobalt and cobalt–platinum alloy nanoparticles synthesized via microemulsion technique. IEEE Trans. Magn. 2001, 37, 2216–2218. [Google Scholar] [CrossRef]
- Canet, F.; Bellouard, C.; Joly, L.; Mangin, S. Magnetic behavior of exchange-coupled Fe30Au70/Fe65Au35 bilayers. Phys. Rev. B 2004, 69, 094402–094411. [Google Scholar] [CrossRef]
- Schorn, T.J. ASM Handbook Volume 3: Alloy Phase Diagrams; ASM International: Almelle, The Netherlands, 1992. [Google Scholar]
- Miedema, A.R.; de Chatel, P.F.; de Boer, F.R. Cohesion in alloys—Fundamentals of a semi-empirical model. Phys. B+C 1980, 100, 1–28. [Google Scholar] [CrossRef]
- Hutten, A.; Bernardi, J.; Friedrichs, S.; Thomas, G. Microstructural influence on magnetic properties and giant magnetoresistance of melt-spun gold-cobalt. Scr. Metall. Mater. 1995, 33, 1647–1666. [Google Scholar] [CrossRef]
- Chinni, F.; Spizzo, F.; Montoncello, F.; Mattarello, V.; Maurizio, C.; Mattei, G.; Del Bianco, L. Magnetic hysteresis in nanocomposite films consisting of a ferromagnetic AuCo alloy and ultrafine Co particles. Materials 2017, 10, 717. [Google Scholar] [CrossRef] [PubMed]
- Edalati, K.; Bachmaier, A.; Beloshenko, V.A.; Beygelzimer, Y.; Blank, V.D.; Botta, W.J.; Bryła, K.; Čížek, J.; Divinski, S.; Enikeev, N.A.; et al. Nanomaterials by severe plastic deformation: Review of historical developments and recent advances. Mater. Res. Lett. 2022, 10, 163–256. [Google Scholar] [CrossRef]
- Valiev, R. Nanostructuring of metals by severe plastic deformation for advanced properties. Nat. Mater. 2004, 3, 511–516. [Google Scholar] [CrossRef]
- Popov, A.G.; Gunderov, D.V.; Stolyarov, V.V. Method of formation of a high coercivity state in PrFeBCu alloy. J. Magn. Magn. Mater. 1996, 157, 33. [Google Scholar] [CrossRef]
- Popov, A.G.; Gaviko, V.S.; Shchegoleva, N.N.; Puzanova, T.Z. Severe plastic deformation of R-Fe-B (R = Pr or Nd) hard magnetic alloys. Phys. Met. Metallogr. 2002, 94, S75. [Google Scholar]
- Popov, A.G.; Ermolenko, A.S. Severe Plastic Deformation: Toward Bulk Production of Nanostructured Materials; Alan, B., Ed.; Nova Science: New York, NY, USA, 2006. [Google Scholar]
- Tolmachev, T.P.; Morozov, I.A.; Shishkin, D.A.; Petrova, S.A.; Tolmacheva, E.A.; Pilyugin, V.P. Influence of thermomechanical synthesis conditions on the nonequilibrium Au-Co alloys phase composition and magnetic structure. Phys. Metals Metallogr. 2024, 125, 1258–1262. [Google Scholar]
- Lin, H.N.; Chiou, Y.H.; Chen, B.M.; Shieh, H.P.; Chang, C.R. Magnetic force microscopy study of domain walls on a thin cobalt film. J. Appl. Phys. 1998, 83, 4997–4999. [Google Scholar] [CrossRef]
- Szmaja, W.; Grobelny, J.; Cichomski, M. MFM investigation of the domain structure of cobalt single crystals. Czechoslov. J. Phys. 2004, 54, 249–252. [Google Scholar] [CrossRef]
- Szmaja, W.; Balcerski, J.; Kozlowski, W.; Grobelny, J.; Cichomski, M. Investigation of the morphological structure of thin cobalt films by AFM and TEM. Acta Phys. Pol. A 2008, 113, 171–174. [Google Scholar] [CrossRef]
- Degtyarev, M.V.; Chashchukhina, T.I.; Voronova, L.M.; Patselov, A.M.; Pilyugin, V.P. Influence of the relaxation processes on the structure formation in pure metals and alloys under high-pressure torsion. Acta Mater. 2007, 55, 6039–6050. [Google Scholar] [CrossRef]
- Hartmann, U. Magnetic Force Microscopy. Annu. Rev. Mater. Sci. 1999, 29, 53–87. [Google Scholar] [CrossRef]
- Tolmachev, T.P.; Pilyugin, V.P.; Ancharov, A.I.; Chernyshov, E.G.; Patselov, A.M. The formation, structure, and properties of the Au–Co alloys produced by severe plastic deformation under pressure. Phys. Met. Metallogr. 2016, 117, 135–142. [Google Scholar] [CrossRef]
- Gates-Rector, S.; Blanton, T. The Powder Diffraction File: A Quality Materials Characterization Database. Powder Diffr. 2019, 34, 352–360. [Google Scholar] [CrossRef]
- Uhl, R.H.; Krauss, G. Coercive force and structure in a Co-Fe-Au alloy. Metall. Trans. 1970, 1, 2157–2161. [Google Scholar] [CrossRef]
- Vértesy, G.; Tomáš, I.; Půst, L.; Hašlar, V.; Kraus, L.; Vértesy, Z. Coercivity contributions and their temperature dependence in stress-annealed amorphous alloys. J. Magn. Magn. Mater. 1996, 164, 163–171. [Google Scholar] [CrossRef]










| Phase | Space Group | Structure | Lattice Parameters | % Wt |
|---|---|---|---|---|
| Au0.89Co0.11ss1 | Fm-3m | Cubic | 4.032 | 77.4 |
| Au0.97Co0.03 ss2 | Fm-3m | Cubic | 4.076 | 10.0 |
| Co(beta) | P63/mmc | Orthorhombic | a = 2.504 c = 4.201 | 12.6 |
| Phase | Space Group | Structure | Lattice Parameters | % Wt |
|---|---|---|---|---|
| Au0.70Co0.30 ss1 | Fm-3m | Cubic | 3.964 | 78.3 |
| Au0.86Co0.14 ss2 | Fm-3m | Cubic | 4.044 | 18.8 |
| Co (beta) | P63/mmc | Orthorhombic | a = 2.495 c = 4.093 | 2.9 |
Disclaimer/Publisher’s Note: The statements, opinions and data contained in all publications are solely those of the individual author(s) and contributor(s) and not of MDPI and/or the editor(s). MDPI and/or the editor(s) disclaim responsibility for any injury to people or property resulting from any ideas, methods, instructions or products referred to in the content. |
© 2025 by the authors. Licensee MDPI, Basel, Switzerland. This article is an open access article distributed under the terms and conditions of the Creative Commons Attribution (CC BY) license (https://creativecommons.org/licenses/by/4.0/).
Share and Cite
Tolmachev, T.P.; Morozov, I.A.; Petrova, S.A.; Shishkin, D.A.; Tolmacheva, E.A.; Pilyugin, V.P.; Țălu, Ș. Magnetic Properties and Thermal Stability of AuCo Alloy Obtained by High-Pressure Torsion. Metals 2025, 15, 118. https://doi.org/10.3390/met15020118
Tolmachev TP, Morozov IA, Petrova SA, Shishkin DA, Tolmacheva EA, Pilyugin VP, Țălu Ș. Magnetic Properties and Thermal Stability of AuCo Alloy Obtained by High-Pressure Torsion. Metals. 2025; 15(2):118. https://doi.org/10.3390/met15020118
Chicago/Turabian StyleTolmachev, Timofey P., Ilya A. Morozov, Sofya A. Petrova, Denis A. Shishkin, Elena A. Tolmacheva, Vitaliy P. Pilyugin, and Ștefan Țălu. 2025. "Magnetic Properties and Thermal Stability of AuCo Alloy Obtained by High-Pressure Torsion" Metals 15, no. 2: 118. https://doi.org/10.3390/met15020118
APA StyleTolmachev, T. P., Morozov, I. A., Petrova, S. A., Shishkin, D. A., Tolmacheva, E. A., Pilyugin, V. P., & Țălu, Ș. (2025). Magnetic Properties and Thermal Stability of AuCo Alloy Obtained by High-Pressure Torsion. Metals, 15(2), 118. https://doi.org/10.3390/met15020118

