Computational Modeling of the Temperature Distribution in a Butt Weld of AISI 304L Stainless Steel Using a Volumetric Heat Source
Abstract
1. Introduction
2. Thermal Analysis of the Welding Process
3. Materials and Methods
3.1. Plates Geometry
3.2. Dimensions of the Passes
3.3. Base Metal and Electrode
3.4. Welding of the Samples
3.5. Thermal Analysis
3.6. Boundary Conditions
3.7. Thermophysical Properties
3.8. Finite Element Model and Mesh Configuration
3.9. Computational Model Validation
4. Results and Discussion
4.1. Incremental Convergence Test
4.2. Mesh Convergence Test
4.3. Thermal Results for Volumetric Heat Source
4.4. Comparison of Simulation Results
4.5. Improvement of the Volumetric Heat Source
5. Conclusions
- →
- The FORTRAN-based DFLUX user subroutine, responsible for applying the heat load and controlling the movement of the heat source during the simulation, was demonstrated to be satisfactory and robust.
- →
- In the initial comparative evaluation against the experimental and numerical results reported by Farias et al. [2], the volumetric heat source demonstrated an accuracy within the expected tolerance limits for welding process simulations. According to Goldak and Akhlaghi [7], these simulations typically exhibit an accuracy within a 25% margin of error.
- →
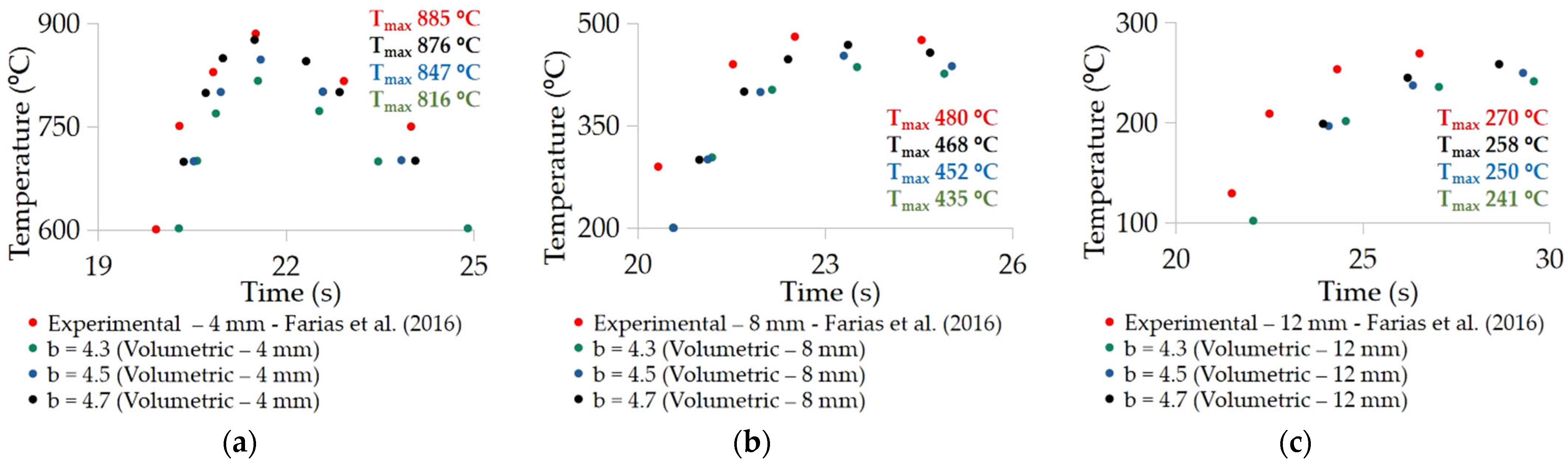
- To further enhance the predictive capability, the geometric parameter b of the Goldak heat source was increased by 0.7 mm, moving from 4.0 mm to 4.7 mm. This calibration adjustment proved highly effective, significantly reducing the discrepancies between the peak temperature values for all three measurement points evaluated in the comparative study.
- →
- Following this improvement, the relative deviation between the obtained numerical results and the experimental data [2] remained below 5% for all measurement points, indicating a strong and reliable agreement between the volumetric heat source model and the reference values.
- →
- The software utilized for the simulations was ABAQUS SIMULIA® by 3DS, proved to be an effective tool for simulating welding processes, delivery satisfactory computational performance.
- →
- The Goldak double ellipsoid volumetric heat source model has been validated as one of the most effective and accurate options currently available for the thermal analysis of GMAW of AISI 304L stainless steel.
- →
- When both heat sources (the Gaussian and the volumetric) were compared, the volumetric model demonstrated superior accuracy in the thermal analysis of GMAW of AISI 304L using an AWS ER308L electrode.
- →
- Complex scenarios: Extending the present approach to multipass welding simulations and completing thermo-mechanical and metallurgical (TMM) analyses of the process.
- →
- Modeling techniques: The application of the Element Birth and Death (EBD) technique could be explored for simulating volumetric heat sources, offering an alternative approach to model material deposition.
- →
- Material versatility: Finally, investigating the thermal behavior of materials other than AISI 304L stainless steel could provide further insights into the versatility and applicability of this modeling approach.
Author Contributions
Funding
Data Availability Statement
Acknowledgments
Conflicts of Interest
Appendix A
DFLUX User Subroutine Source Code
- C SUBROUTINE DFLUX(FLUX, SOL, KSTEP, KINC, TIME, NOEL, NPT, COORDS,
- & JLTYP, TEMP, PRESS, SNAME)
- C Goldak Double-Ellipsoid Volumetric Heat Source
- C SI units, double precision
- INCLUDE ‘ABA_PARAM.INC’
- IMPLICIT NONE
- REAL*8 FLUX(2), TIME(2), COORDS(3)
- REAL*8 SOL, TEMP, PRESS
- INTEGER KSTEP, KINC, NOEL, NPT, JLTYP
- CHARACTER*80 SNAME
- REAL*8 t, x, y, z
- REAL*8 a, b, cf, cr, rf, rr
- REAL*8 x0, y0, z0, xrel, yrel, zrel
- REAL*8 z0_vel, Q, r2, cutoff, arg
- C Goldak geometric parameters
- a = 2.71d-3
- b = 4.70d-3
- cf = 2.71d-3
- cr = 8.14d-3
- C Heat input
- Q = 1100.1125d0
- C Initial source coordinates
- x0 = 0.050d0
- y0 = 0.0047d0
- C Welding speed (m/s)
- z0_vel = 0.00416d0
- C Current time
- t = TIME(1)
- C Integration point coordinates
- x = COORDS(1)
- y = COORDS(2)
- z = COORDS(3)
- C Source position
- z0 = z0_vel * t
- C Relative coordinates
- xrel = x − x0
- yrel = y − y0
- zrel = z − z0
- C Goldak denominators
- rf = a * b * cf
- rr = a * b * cr
- C Cutoff criterion
- r2 = (xrel/a)**2 + (yrel/b)**2 + (zrel/MAX(cf,cr))**2
- cutoff = 25.0d0
- IF (r2 .GT. cutoff) THEN
- FLUX(1) = 0d0
- FLUX(2) = 0d0
- RETURN
- END IF
- C Body flux only
- IF (JLTYP .NE. 1) THEN
- FLUX(1) = 0d0
- FLUX(2) = 0d0
- RETURN
- END IF
- C Goldak heat source
- IF (zrel .GE. 0d0) THEN
- arg = -3d0 * ((xrel/a)**2 + (yrel/b)**2 + (zrel/cf)**2)
- FLUX(1) = (2.6148d0 * Q/rf) * EXP(arg)
- ELSE
- arg = -3d0 * ((xrel/a)**2 + (yrel/b)**2 + (zrel/cr)**2)
- FLUX(1) = (1.1206d0 * Q/rr) * EXP(arg)
- END IF
- FLUX(2) = 0d0
- RETURN
- END
References
- Locatelli, F.R. Modeling of the temperature field and distortions in a T-joint welded by the GMAW process. In Proceedings of the 14th Pan-American Congress of Applied Mechanics (PACAM14), Santiago, Chile, 24–28 March 2014. [Google Scholar]
- Farias, R.M.; Teixeira, P.R.F.; Bezerra, A.B. Thermo-mechanical analysis of the MIG/MAG multi-pass welding process on AISI 304L stainless steel plates. J. Braz. Soc. Mech. Sci. Eng. 2016, 38, 1245–1258. [Google Scholar] [CrossRef]
- Barban, L.M.S. Numerical-computational analysis of the thermal stress field induced by welding in structural steel. In Proceedings of the CONEM 2014—Brazilian Congress of Mechanical Engineering, Uberlândia, Brazil, 10–15 August 2014. [Google Scholar]
- Wentz, A. Welding Simulations by Arc and Electrical Resistance Using the Finite Element Method. Master’s Thesis, Federal University of Rio Grande do Sul, Porto Alegre, Brazil, 2008. [Google Scholar]
- Lidam, R.; Yupiter, H.P.M.; Redza, M.R.; Rahim, M.R.; Sulaiman, M.S.; Zakaria, M.Y.; Tham, G.; Abasa, S.K.; Haruman, E.; Chau, C.Y. Simulation study on multipassed welding distortion of combined joint types using thermo-elastic-plastic FEM. J. Eng. Res. 2012, 9, 1–16. [Google Scholar] [CrossRef]
- Deng, D.; Murakawa, H.; Liang, W. Numerical and experimental investigations on welding residual stress in multi-pass butt-welded austenitic stainless pipe. Comput. Mater. Sci. 2008, 42, 234–244. [Google Scholar] [CrossRef]
- Goldak, J.; Akhlaghi, M. Computational Welding Mechanics; Springer Science + Business Media: New York, NY, USA, 2005. [Google Scholar]
- Pavelic, V.; Tanbakuchi, R.; Uyehara, O.A.; Hardt, A.P. Experimental and computed temperature histories in gas tungsten arc welding of thin plates. Weld. J. 1969, 48, 295s–305s. [Google Scholar]
- Friedman, E. Thermomechanical analysis of the welding process using the finite element method. J. Press. Vessel Technol. 1975, 97, 206–213. [Google Scholar] [CrossRef]
- Deng, D.; Murakawa, H. Numerical simulation of temperature field and residual stress in multi-pass welds in stainless steel pipe and comparison with experimental measurements. Comput. Mater. Sci. 2006, 37, 269–277. [Google Scholar] [CrossRef]
- Venkatkumar, D.; Ravindran, D. 3D finite element simulation of temperature distribution, residual stress and distortion on 304 stainless steel plates using GTA welding. J. Mech. Sci. Technol. 2016, 30, 67–76. [Google Scholar] [CrossRef]
- Chamim, M.; Darmadi, D.B.; Widodo, T.D.; Ismail, Z.; Purnowidodo, A. Influence of the welding thermal cycle on δ-ferrite evolution in the first layer of austenitic stainless steel (ASS) 308L produced by WAAM-GTAW. Case Stud. Therm. Eng. 2024, 64, 105489. [Google Scholar] [CrossRef]
- Nóbrega, J.A.; Diniz, D.D.S.; Silva, A.A.; Maciel, T.M.; De Albuquerque, V.H.C.; Tavares, J.M.R.S. Numerical evaluation of temperature field and residual stresses in an API 5L X80 steel welded joint using the finite element method. Metals 2016, 6, 28. [Google Scholar] [CrossRef]
- Zhang, Y.; Gao, X.; You, D.; Jiang, X.; Ge, W. Investigation of laser butt welding of AISI 304L and Q235 steels based on numerical and experimental analyses. Metals 2022, 12, 803. [Google Scholar] [CrossRef]
- Kumar, P.; Kumar, R.; Arif, A.; Veerababua, M. Investigation of numerical modelling of TIG welding of austenitic stainless steel (304L). Mater. Today Proc. 2020, 27, 1636–1640. [Google Scholar] [CrossRef]
- Velaga, S.K.; Ravisankar, A. Finite element based parametric study on the characterization of weld process moving heat source parameters in austenitic stainless steel. Int. J. Press. Vessels Pip. 2017, 157, 63–73. [Google Scholar] [CrossRef]
- Heinze, C.; Schwenk, C.; Rethmeier, M. Numerical calculation of residual stress development of multi-pass gas metal arc welding. J. Constr. Steel Res. 2012, 72, 12–19. [Google Scholar] [CrossRef]
- Nuchim, S.; Bunyawanichakul, P.; Angsuseranee, N.; Boonmag, V. Residual stress and distortion analysis for TMCP steel grade EH36 butt welding parts in GTAW-SMAW hybrid welding process using finite element method. Eng. Technol. Appl. Sci. Res. 2025, 15, 20077–20084. [Google Scholar] [CrossRef]
- Caruso, S.; Imbrogno, S. Finite element modeling and experimental validation of microstructural changes and hardness variation during gas metal arc welding of AISI 441 ferritic stainless steel. Int. J. Adv. Manuf. Technol. 2022, 119, 2629–2637. [Google Scholar] [CrossRef]
- Barata, J.F.R.; da Silva, A.C.A.M.; Marques, A.M.S.; Neves, J.A.O.C.P.B.; Almeida, D.F.F. An integrated approach for the determination of the residual stresses in a butt weld joint. In Proceedings of the 14th International Conference on Experimental Mechanics (ICEM 14), Poitiers, France, 4–9 July 2010. [Google Scholar]
- Bensada, M.; Laazizi, A.; Fri, K.; Ouzouhou, I. Numerical investigation of the effect of driving forces on the weld pool convection and thermal stress in a GTAW process. Int. J. Adv. Manuf. Technol. 2023, 125, 5185–5196. [Google Scholar] [CrossRef]
- Teixeira, P.; Araújo, D.; Cunda, L. Applicability of the Gaussian distribution heat source model to the thermal simulation of welding processes. In Proceedings of the 22nd International Congress of Mechanical Engineering (COBEM 2013), Ribeirão Preto, Brazil, 3–7 November 2013. [Google Scholar]
- Kik, T.; Garašić, I.; Perić, M.; Landek, D.; Jurica, M.; Tonković, Z. Modifications of the heat source model in numerical analyses of the metal-cored arc welding process. Energy 2024, 302, 131811. [Google Scholar] [CrossRef]
- Saib, C.; Amroune, S.; Chebbah, M.-S.; Belaadi, A.; Zergane, S.; Mohamad, B. Thermal, Metallurgical, and Mechanical Analysis of Single-Pass INC 738 Welded Parts. Metals 2025, 15, 679. [Google Scholar] [CrossRef]
- Kik, T. Calibration of Heat Source Models in Numerical Simulations of Welding Processes. Metals 2024, 14, 1213. [Google Scholar] [CrossRef]
- Incropera, F.P.; DeWitt, D.P.; Bergman, T.L.; Lavine, A.S. Fundamentals of Heat and Mass Transfer, 6th ed.; John Wiley & Sons: Hoboken, NJ, USA, 2007; pp. 1–997. [Google Scholar]
- Lienhard, J.H.; Lienhard, J.H.V. A Heat Transfer Textbook, 5th ed.; Dover Publications: Mineola, NY, USA, 2019. [Google Scholar]
- Modest, M.F. Radiative Heat Transfer, 2nd ed.; Academic Press: San Diego, CA, USA, 2003. [Google Scholar]
- Rosenthal, D. The theory of moving source of heat and its application to metal transfer. ASME Trans. 1946, 68, 849–866. [Google Scholar]
- Rykalin, N.N. Calculation of Heat Flow in Welding; Mashgiz: Moscow, Russia, 1951. [Google Scholar]
- Goldak, J.A.; Chacravarti, A.; Bibby, M.J. A new finite element model for welding heat sources. Metall. Trans. B 1984, 15, 299–305. [Google Scholar] [CrossRef]
- Singh, B.; Singhal, P.; Saxena, K.K. Investigation of thermal efficiency and depth of penetration during GTAW process. Mater. Today Proc. 2019, 18, 2962–2969. [Google Scholar] [CrossRef]
- Moslemi, N.; Gohery, S.; Abdi, B.; Sudin, I.; Ghandvar, H.; Redzuan, N.; Hassan, S.; Ayob, A.; Rhee, S. A novel systematic numerical approach on determination of heat source parameters in welding process. J. Mater. Res. Technol. 2022, 18, 4427–4444. [Google Scholar] [CrossRef]
- Dadkhah, A.; Sarkari Khorrami, M.; Kashani-Bozorg, S.F.; Miresmaeili, R. The effect of heat input on the residual stress distribution in gas-metal arc welding of carbon steel: Simulation and experimental methods. J. Adv. Join. Process. 2025, 12, 100333. [Google Scholar] [CrossRef]
- Kumar, M.S.; Begum, S.R. Simulation of hybrid (LASER-TIG) welding of stainless steel plates using design of experiments. Mater. Today Proc. 2021, 37, 3755–3758. [Google Scholar] [CrossRef]
- Xavier, C.R.; Delgado Junior, H.G.; Marcelo, C.J.; Silva, F.R.F.; Freitas, G.C.L.D.; Castro, J.A. A coupled thermo-mechanical-metallurgical model capturing essential transformations in the welding of high strength low-alloy steels. Soldag. Insp. 2021, 26, e2617. [Google Scholar] [CrossRef]
- Xu, F.; Xiong, F.; Li, M.-J.; Lian, Y. Three-Dimensional Numerical Simulation of Grain Growth during Selective Laser Melting of 316L Stainless Steel. Materials 2022, 15, 6800. [Google Scholar] [CrossRef]
- Wang, Z.; Shang, C.; Wang, X. Development of a Finite Element Model for the HAZ Temperature Field in Longitudinal Welding of Pipeline Steel. Metals 2025, 15, 91. [Google Scholar] [CrossRef]
- Turner, R.; Ward, R.M. On the Impact of the Frequency of Saved Thermal Time-Steps in a Weakly-Coupled FE Weld Simulation Model. World J. Eng. Technol. 2016, 4, 528–537. [Google Scholar] [CrossRef]
- Farias, R.M.; Teixeira, P.R.F.; Vilarinho, L.O. Variable profile heat source models for numerical simulations of arc welding processes. Int. J. Therm. Sci. 2022, 179, 107593. [Google Scholar] [CrossRef]
- Farias, R.M.; Teixeira, P.R.F.; Vilarinho, L.O. An efficient computational approach for heat source optimization in numerical simulations of arc welding processes. J. Manuf. Process. 2020, 55, 215–229. [Google Scholar] [CrossRef]
- Chujutalli, J.H.; Lourenço, M.I.; Estefen, S.F. Experimental-based methodology for the double ellipsoidal heat source parameters in welding simulations. Mar. Syst. Ocean Technol. 2020, 15, 110–123. [Google Scholar] [CrossRef]
- Fu, G. Parameter determination of double-ellipsoidal heat source model and its application in the multi-pass welding process. Ships Offshore Struct. 2014, 9, 598–612. [Google Scholar] [CrossRef]
- Hibbit, K. Abaqus User Subroutines Reference Manual—Version 6.7, DFLUX Section 1.1.3; Dassault Systèmes Simulia Corp.: Providence, RI, USA, 2007. [Google Scholar]
- Kozakov, R.; Schöpp, H.; Ott, G.; Sperl, A.; Wilhelm, G.; Uhrlandt, D. Weld pool temperatures of steel S235 while applying a controlled short-circuit gas metal arc welding process and various shielding gases. J. Phys. D Appl. Phys. 2013, 46, 475501. [Google Scholar] [CrossRef]
- Sert, S.; Nart, E. Enhancing Precision in Arc Welding Simulations: A Comprehensive Study of the Ellipsoidal Heat Source Model. Machines 2025, 13, 337. [Google Scholar] [CrossRef]
- Ramos, H.M.E.; Tavares, S.M.O.; de Castro, P.M.S.T. Numerical modelling of welded T-joint configurations using SYSWELD. Sci. Technol. Mater. 2018, 30, 6–15. [Google Scholar] [CrossRef]
















| Material | C | Si | Mn | P | S | Cr | Ni | Co |
|---|---|---|---|---|---|---|---|---|
| AISI 304L | 0.03 | 0.75 | 2.0 | 0.045 | 0.015 | 17.5–19.5 | 8.0–10.5 | <0.20 |
| AWS ER308L | <0.025 | 0.40 | 1.8 | <0.025 | <0.015 | 20.0 | 10.0 | <0.20 |
| Material | Ultimate Tensile Strength [MPa] | Yield Stress [MPa] | Elongation 50 mm [%] |
|---|---|---|---|
| AISI 304L | 690 | 320 | 51 |
| AWS ER308L | 520 | 320 | 35 |
| Parameter | Root Pass |
|---|---|
| Average Voltage Monitored (V) | 16.7 |
| Average Current Monitored (A) | 161 |
| Welding Speed (mm/s) | 4.16 |
| CTWD (mm) | 12 |
| Parameter | 0.5 s | 0.1 s | 0.05 s | 0.025 s | 0.01 s |
|---|---|---|---|---|---|
| Number of Increments | 120 | 600 | 1200 | 2400 | 6000 |
| Analysis Duration (h) | 3 | 5 | 9 | 12 | 20 |
| Maximum Temperature (°C) | 679.0 | 751.7 | 762.7 | 771.0 | 771.5 |
| Elements Size (refined zone) | 1.0 mm | 0.9 mm | 0.8 mm | 0.7 mm |
| Number of Finite Elements | 64,988 | 85,186 | 111,750 | 170,820 |
| Measurement Point | Tmax (°C) Exp. [2] | Tmax (°C) Gauss. [2] | Tmax (°C) Vol. [Present Work] | Rel. Dev. (%) Vol. vs. Exp. [2] | Rel. Dev. (%) Vol. vs. Gauss. [2] |
|---|---|---|---|---|---|
| 1 (4 mm) | 885 °C | 1010 °C | 770 °C | −12.99 | −23.76 |
| 2 (8 mm) | 480 °C | 525 °C | 410 °C | −14.58 | −21.90 |
| 3 (12 mm) | 270 °C | 320 °C | 227 °C | −15.93 | −29.06 |
| Parameter | Value |
|---|---|
| a | 2.71 mm |
| b1, b2, b3 | 4.3 mm; 4.5 mm; 4.7 mm |
| cf | 2.71 mm |
| cr | 8.14 mm |
| ff | 0.6 |
| fr | 1.4 |
| Increment | 0.025 s |
| Mesh in the refined region | 0.8 mm |
| Measurement Point | Tmax (°C) Exp. [2] | Tmax (°C) Vol. Present Work (Improved b = 4.7) | Rel. Dev. (%) Vol. vs. Exp. [2] b = 4 (from Table 6) | Rel. Dev. (%) Vol. vs. Exp. [2] b = 4.7 |
|---|---|---|---|---|
| 1 (4 mm) | 885 °C | 876 °C | −12.99 | −1.02 |
| 2 (8 mm) | 480 °C | 468 °C | −14.58 | −2.50 |
| 3 (12 mm) | 270 °C | 258 °C | −15.93 | −4.44 |
Disclaimer/Publisher’s Note: The statements, opinions and data contained in all publications are solely those of the individual author(s) and contributor(s) and not of MDPI and/or the editor(s). MDPI and/or the editor(s) disclaim responsibility for any injury to people or property resulting from any ideas, methods, instructions or products referred to in the content. |
© 2025 by the authors. Licensee MDPI, Basel, Switzerland. This article is an open access article distributed under the terms and conditions of the Creative Commons Attribution (CC BY) license (https://creativecommons.org/licenses/by/4.0/).
Share and Cite
Machado, T.d.S.; da Silveira, T.; Isoldi, L.A.; da Cunda, L.A.B. Computational Modeling of the Temperature Distribution in a Butt Weld of AISI 304L Stainless Steel Using a Volumetric Heat Source. Metals 2025, 15, 1371. https://doi.org/10.3390/met15121371
Machado TdS, da Silveira T, Isoldi LA, da Cunda LAB. Computational Modeling of the Temperature Distribution in a Butt Weld of AISI 304L Stainless Steel Using a Volumetric Heat Source. Metals. 2025; 15(12):1371. https://doi.org/10.3390/met15121371
Chicago/Turabian StyleMachado, Thiago da Silva, Thiago da Silveira, Liércio André Isoldi, and Luiz Antônio Bragança da Cunda. 2025. "Computational Modeling of the Temperature Distribution in a Butt Weld of AISI 304L Stainless Steel Using a Volumetric Heat Source" Metals 15, no. 12: 1371. https://doi.org/10.3390/met15121371
APA StyleMachado, T. d. S., da Silveira, T., Isoldi, L. A., & da Cunda, L. A. B. (2025). Computational Modeling of the Temperature Distribution in a Butt Weld of AISI 304L Stainless Steel Using a Volumetric Heat Source. Metals, 15(12), 1371. https://doi.org/10.3390/met15121371

