Riveting Quality Improvement Mechanism of 2A10 Aluminum Alloy with Compound Feed Rates
Abstract
1. Introduction
- (1)
- (2)
- Quantifying the nonlinear correlations among driven head diameter, average interference value, and uniformity under compound feed rates.
- (3)
- Proposing a novel-entropy weighting hybrid optimization framework to derive the optimal compound rate (10-1-10 mm/s). This approach acquires the optimal parameter combinations for the feed rates at various stages, thereby enhancing the riveting quality.
2. Experiments and Methods
2.1. Experiment Work
2.2. GRA Coupled with an Entropy Weighting Method
3. Simulation Study
3.1. Modeling
3.2. Model Validation
- (1)
- Sample sectioning: The riveted specimens were carefully sectioned longitudinally through the rivet hole axis using wire electrical discharge machining (WEDM) to ensure a precise and smooth cut with an accuracy of ±0.01 mm, thereby minimizing the impact on the measurement of the hole diameter.
- (2)
- Point definition: Along the direction of the plate thickness, a total of 8 measurement points were defined from the top (rivet-driven head side) to the bottom (countersunk head side), spaced at 0.4 mm intervals. These points were labeled A through H, as illustrated in the schematic within Figure 5.
- (3)
- Diameter measurement: The diameters at each predefined point (A–H) on the deformed rivet shank were measured using an OLYMPUS-DSX1000 digital microscope (Olympus, Hachioji, Tokyo) at 400× magnification. This high magnification ensured measurement accuracy.
- (4)
- Interference calculation: The relative interference () at each point was calculated using Equation (6), where is the measured diameter at point , and is the nominal hole diameter of 2.6 mm.
- (5)
- Data validation: To ensure reliability, three riveted specimens were measured under each condition. The measurement at each point was repeated three times, and the average value was taken. Data sets with a deviation exceeding 5% were discarded and remeasured.
4. Experimental Results and Discussion
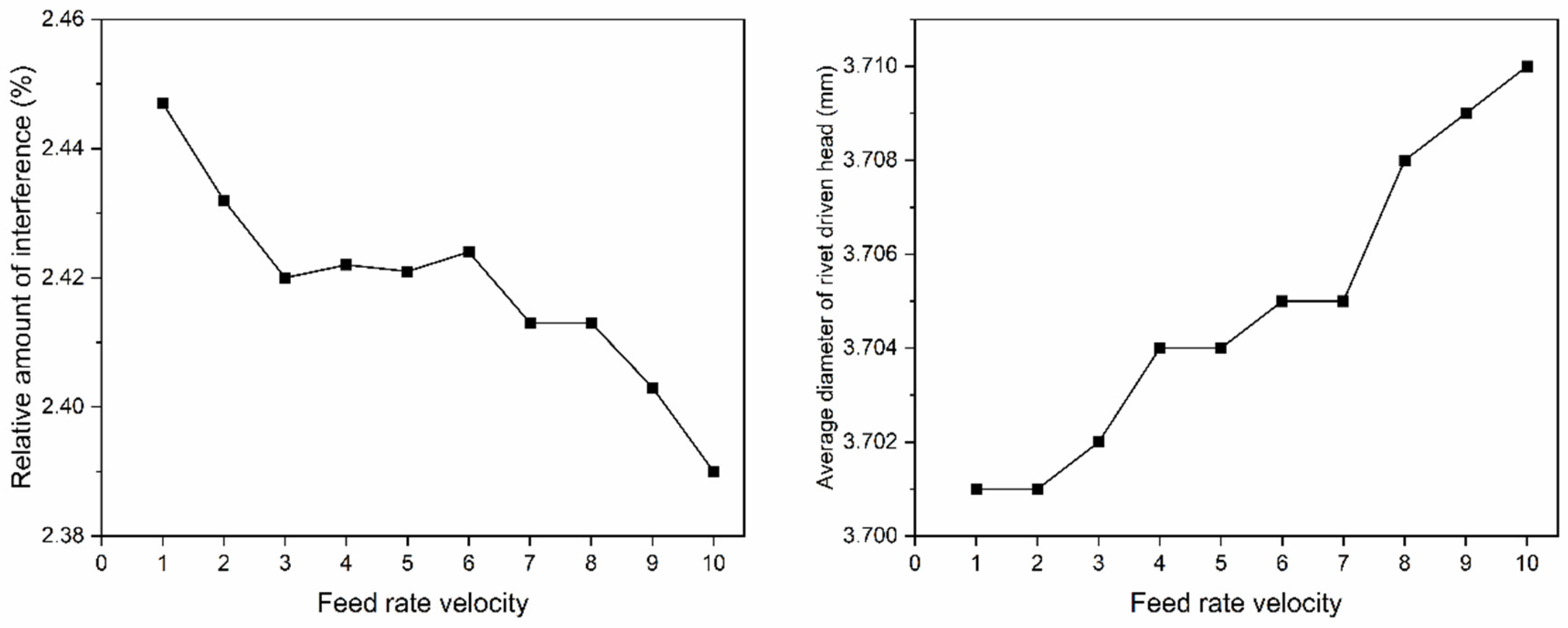
- To understand the impact of different feed rates on the quality of the rivet-driven head.
- To study the effect of the feed rate on the free upsetting stage, hole wall rivet bar interference stage, and rivet-driven head formation stage, respectively.
- To optimize the quality of riveting using the compound feed rate.
4.1. Effects of Different Feed Rates on Riveting Quality
4.2. Effect of Compound Feed Rate on the Different Stages of the Riveting Process
- (1)
- Accelerating the process during the free upsetting stage increases the average diameter of the rivet-driven head while simultaneously reducing the amount of interference. The results suggest that the upsetting and forming stages primarily influence the average diameter of the rivet-driven head. Notably, there is an inverse relationship between the average diameter of the rivet-driven head and the average interference.
- (2)
- A comparison of the 1, 1-5-1, and 1-10-1 sets shows that the average diameter of the rivet-driven head fluctuates slightly, while the average interference decreases. According to the experimental results, the interference is mainly affected by the interference phase of the hole wall rivet bar. Increasing the rate during the interference phase of the hole wall rivet bar reduces the average interference value.
- (3)
- Comparing the 1, 5-1-1, and 10-1-1 sets shows that increasing the rate during the upsetting stage causes a slight decrease in the interference, followed by a rapid increase. At the same time, the diameter of the rivet-driven head first increases and then decreases.
- (4)
- A comparison of the 5, 5-1-1, and 10, 10-1-1 sets reveals that decelerating the feed rate during the interference and rivet-driven head formation stages leads to a significant increase in the amount of interference. In the case of 5-1-1, the average diameter of the rivet-driven head increases slightly, while in the 10-1-1 case, the diameter decreases significantly.
4.3. Results of the Multi-Objective Integrated Optimization Design
5. Conclusions
- (1)
- When the riveting feed rate increases, it leads to a decrease in the average interference, while the average diameter of the rivet-driven head increases at the same time.
- (2)
- Increasing the feed rate during the upsetting and hole wall interference stages reduces the interference value. In contrast, increasing the feed rate during the driven head formation stage increases the driven head diameter. This confirms that the feed rate in different stages has distinct effects on the final rivet geometry and interference.
- (3)
- Reducing the rate either separately or simultaneously during the interference stage between the hole wall rivet bar and the rivet-driven head formation stage tends to increase the interference value. Additionally, when the rate is reduced solely during the hole wall rivet bar interference stage, there is an observable tendency for the diameter of the rivet-driven head to increase.
- (4)
- By integrating gray relational analysis with the entropy weighting method and referring to the established riveting optimization criteria, it is concluded that setting the compound speed to 10-1-10 achieves the optimal outcome for riveting quality. After optimization, the average interference increases by 0.46%, while the interference at point A decreases by 0.73%. The standard deviation of the interference drops by 1%, indicating a more consistent riveting quality. Additionally, the average diameter of the rivet-driven head and the diameter of the lower-end driven head increase by 0.16% and 0.11% respectively, and the interference at point H rises by 10.9%. Overall, these adjustments to the compound speed effectively optimize riveting quality.
Author Contributions
Funding
Data Availability Statement
Conflicts of Interest
References
- Zhang, L.; Chen, W.; Wang, Z.; Wang, X. Effect of ultrasonic amplitude and riveting speed on mechanical properties of Ti-45Nb riveted lap joints. Eng. Fail. Anal. 2024, 163, 108515. [Google Scholar] [CrossRef]
- Korbel, A. Effect of aircraft rivet installation process and production variables on residual stress, clamping force and fatigue behaviour of thin sheet riveted lap joints. Thin-Walled Struct. 2022, 181, 110041. [Google Scholar] [CrossRef]
- Liu, Y.; Ma, Y.; Lou, M.; Yang, B.; Shan, H.; Zhao, H.; Li, Y. Formation mechanism and mechanical strength evaluation of hybrid riveted/solid-state bonded aluminium alloy joint. Thin-Walled Struct. 2023, 190, 110976. [Google Scholar] [CrossRef]
- Li, M.; Tian, W.; Liao, W. Fatigue properties of riveted joints under different hole perpendicularity errors and squeeze forces. Microsc. Res. Tech. 2024, 87, 1262–1270. [Google Scholar] [CrossRef] [PubMed]
- Beuth, J.; Hutchinson, J. Fracture analysis of multi-site cracking in fuselage lap joints. Comput. Mech. 1994, 13, 315–331. [Google Scholar] [CrossRef]
- Chen, J.; Wen, Z.; Jia, C.; Zhao, B.; Wu, C. The mechanisms of underwater wet flux-cored arc welding assisted by ultrasonic frequency pulse high-current. J. Mater. Process. Technol. 2022, 304, 117567. [Google Scholar] [CrossRef]
- Markiewicz, E.; Langrand, B.; Deletombe, E.; Drazetic, P.; Patronelli, L. Analysis of the riveting process forming mechanisms. Int. J. Mater. Prod. Technol. 1998, 13, 123–145. [Google Scholar]
- Wang, J.; Zhang, Y.; Cheng, L.; Yang, Y.; Bi, Y. Effect of riveting parameters on the forming quality of riveted lap joints with reduced countersunk head half-crown rivet. Int. J. Adv. Manuf. Technol. 2022, 121, 8083–8098. [Google Scholar] [CrossRef]
- Wang, Z.; Chang, Z.; Luo, Q.; Hua, S.; Zhao, H.; Kang, Y. Optimization of riveting parameters using Kriging and particle swarm optimization to improve deformation homogeneity in aircraft assembly. Adv. Mech. Eng. 2017, 9, 1687814017719003. [Google Scholar] [CrossRef]
- Wang, X.; Qi, Z.; Lu, M.; Pan, H. A Non-Uniform Interference-Fit Size Investigation of CFRP/Al Alloys by Riveting Mold Design. Processes 2023, 11, 962. [Google Scholar] [CrossRef]
- Zhao, H.; Xi, J.; Zheng, K.; Shi, Z.; Lin, J.; Nikbin, K.; Duan, S.; Wang, B. A review on solid riveting techniques in aircraft assembling. Manuf. Rev. 2020, 7, 40. [Google Scholar] [CrossRef]
- Yu, H.; Deng, J.; Li, C.; Zhang, T.; Sun, L. Study on the Influence of Electromagnetic Riveting Loading Rate on the Deformation of TA1 Rivets. J. Harbin Eng. Univ. 2011, 32, 378–383. [Google Scholar] [CrossRef]
- Silvayeh, Z.; Brillinger, M.; Domitner, J. Deformation behavior of aluminum alloy rivets for aerospace applications. J. Mater. Res. Technol. 2024, 33, 3482–3491. [Google Scholar] [CrossRef]
- Mucha, J.; Witkowski, W. Mechanical behavior and failure of riveting joints in tensile and shear tests. Strength Mater. 2015, 47, 755–769. [Google Scholar] [CrossRef]
- Chen, N.; Luo, H.; Wan, M.; Chenot, J.-L. Experimental and numerical studies on failure modes of riveted joints under tensile load. J. Mater. Process. Technol. 2014, 214, 2049–2058. [Google Scholar] [CrossRef]
- Xu, L.; Zhang, S.Y.; Sun, W.; McCartney, D.G.; Hyde, T.H.; James, J.; Drakopoulos, M. Residual stress distribution in a Ti–6Al–4V T-joint weld measured using synchrotron X-ray diffraction. J. Strain Anal. Eng. Des. 2015, 50, 445–454. [Google Scholar]
- Wang, D.; Xu, W. Fatigue failure analysis and multi-objective optimisation for the hybrid (bolted/bonded) connection of magnesium–aluminium alloy assembled wheel. Eng. Fail. Anal. 2020, 112, 104530. [Google Scholar] [CrossRef]
- Ma, Y.; Li, Y.; Carlson, B.E.; Lin, Z. Effect of process parameters on joint formation and mechanical performance in friction stir blind riveting of aluminum alloys. J. Manuf. Sci. Eng. 2018, 140, 061007. [Google Scholar] [CrossRef]
- Xie, Z.; Chen, F.; He, W. The effects of ultrasonic vibration on riveting quality. Sci. Rep. 2022, 12, 12948. [Google Scholar] [CrossRef] [PubMed]
- GB/T 3190-2020; Wrought Aluminum and Aluminum Alloy—Chemical Composition. Standards Press of China: Beijing, China, 2020. Available online: https://openstd.samr.gov.cn/bzgk/gb/newGbInfo?hcno=0E66ACED31283E3F3D7C0638D9BBC407 (accessed on 19 January 2025).
- GB/T 228.1-2021; Metallic Materials—Tensile Testing—Part 1: Method of Test at Room Temperature. State Administration for Market Regulation: Beijing, China, 2021.
- Editorial Committee of China Aeronautical Materials Handbook. China Aeronautical Materials Handbook, Vol. 3: Aluminum Alloys, Magnesium Alloys, 2nd ed.; China Standards Press: Beijing, China, 2001; Available online: https://www.las.ac.cn/front/book/detail?id=e0aa8e993dd4935ff56d26cc0f2c3287 (accessed on 19 January 2025).
- Zhang, W.; Wei, G.; Xiao, X. Constitutive relation and failure model of 2A12 aluminum alloy. Acta Armamentarii 2013, 34, 276–282. [Google Scholar]
- Sanjeev, N.; Malik, V.; Hebbar, H.S. Verification of Johnson-Cook material model constants of AA2024-T3 for use in finite element simulation of friction stir welding and its utilization in severe plastic deformation process modelling. Int. J. Res. Eng. Technol. 2014, 3, 98–102. [Google Scholar] [CrossRef]
- Backman, D.; Patterson, E.A. A comparison of the effect of riveting and cold expansion on the strain distribution and fatigue performance of fiber metal laminates. J. Strain Anal. Eng. Des. 2014, 49, 141–153. [Google Scholar] [CrossRef]
- Wang, X.; Shi, Y.; Pan, H.; Chen, Y. Experimental investigation and quantitative prediction in interference-fit size of CFRP riveted joints under a transversal ultrasonic vibration-assisted riveting. Sci. Rep. 2023, 13, 14408. [Google Scholar] [CrossRef]
- Zhang, X.; Jiang, H.; Luo, T.; Hu, L.; Li, G.; Cui, J. Theoretical and experimental investigation on interference fit in electromagnetic riveting. Int. J. Mech. Sci. 2019, 156, 261–271. [Google Scholar] [CrossRef]
- Cai, K.; Wang, D. Optimizing the design of automotive S-rail using grey relational analysis coupled with grey entropy measurement to improve crashworthiness. Struct. Multidiscip. Optim. 2017, 56, 1539–1553. [Google Scholar] [CrossRef]
- Rans, C.; Straznicky, P.V.; Alderliesten, R. Riveting process induced residual stresses around solid rivets in mechanical joints. J. Aircr. 2007, 44, 323–329. [Google Scholar] [CrossRef]
- Kang, Y.; Wang, T.; Song, S.; Li, G.; Chen, Y. Real-time modeling of the riveting process forces for aircraft panel structures. J. Manuf. Process. 2024, 124, 90–109. [Google Scholar] [CrossRef]












| (a) | ||||||||||
| Grade | Si | Fe | Cu | Mn | Mg | Ni | Zn | Ti | Fe + Ni | Al |
| 2A12 | 0.50 | 0.50 | 3.8~4.9 | 0.30~0.9 | 1.2~1.8 | 0.1 | 0.30 | 0.15 | 0.50 | Balance |
| 2A10 | 0.25 | 0.20 | 3.9~4.5 | 0.30~0.50 | 0.15~0.30 | - | 0.1 | 0.15 | - | Balance |
| (b) | ||||||||||
| Grade | Density (g/cm3) | Shear Modulus (GPa) | Elastic Modulus (GPa) | Poisson’s Ratio | ||||||
| 2A12 | 2.8 | 26 | 68 | 0.33 | ||||||
| 2A10 | 2.8 | 27 | 69 | 0.31 | ||||||
| Upper Rivet-Driven Head Diameter/mm | Maximum Rivet-Driven Head Diameter/mm | Lower Diameter of Rivet-Driven Head/mm | Height of Rivet-Driven Head/mm | |
|---|---|---|---|---|
| Specimen 1 of 1 mm/s | 3.687 | 3.911 | 3.653 | 0.9823 |
| Specimen 2 of 1 mm/s | 3.642 | 3.901 | 3.594 | 0.995 |
| Specimen 3 of 1 mm/s | 3.627 | 3.851 | 3.619 | 1.01 |
| FE model of 1 mm/s | 3.555 | 3.936 | 3.62 | 1.031 |
| Maximum Tolerance of 1 mm/s | 3.71% | 2.16% | 0.91% | 4.75% |
| Specimen 1 of 5 mm/s | 3.637 | 3.926 | 3.597 | 1.007 |
| Specimen 1 of 5 mm/s | 3.653 | 3.867 | 3.624 | 0.985 |
| Specimen 1 of 5 mm/s | 3.679 | 3.941 | 3.663 | 0.997 |
| FE model of 5 mm/s | 3.55 | 3.944 | 3.617 | 1.03 |
| Maximum Tolerance of 5 mm/s | 2.45% | 1.95% | 1.27% | 4.37% |
| Specimen 1 of 10 mm/s | 3.647 | 3.937 | 3.657 | 1.021 |
| Specimen 1 of 10 mm/s | 3.69 | 3.879 | 3.614 | 0.989 |
| Specimen 1 of 10 mm/s | 3.661 | 3.926 | 3.594 | 0.983 |
| FE model of 10 mm/s | 3.56 | 3.947 | 3.622 | 1.034 |
| Maximum Tolerance of 10 mm/s | 3.65% | 1.72% | 0.96% | 4.93% |
| Velocity | 1 | 2 | 3 | 4 | 5 | 6 | 7 | 8 | 9 | 10 |
|---|---|---|---|---|---|---|---|---|---|---|
| A | 8.962 | 8.957 | 9.021 | 8.947 | 8.942 | 8.978 | 8.94 | 8.945 | 8.937 | 8.887 |
| B | 3.119 | 3.089 | 3.08 | 3.055 | 3.037 | 3.02 | 3.01 | 2.997 | 2.982 | 2.974 |
| C | 2.297 | 2.277 | 2.272 | 2.284 | 2.285 | 2.297 | 2.288 | 2.287 | 2.277 | 2.272 |
| D | 1.728 | 1.708 | 1.685 | 1.702 | 1.699 | 1.704 | 1.707 | 1.71 | 1.699 | 1.704 |
| E | 1.593 | 1.572 | 1.547 | 1.566 | 1.569 | 1.567 | 1.56 | 1.567 | 1.554 | 1.55 |
| F | 0.827 | 0.809 | 0.788 | 0.81 | 0.811 | 0.813 | 0.8 | 0.807 | 0.803 | 0.795 |
| G | 0.68 | 0.672 | 0.637 | 0.648 | 0.648 | 0.628 | 0.625 | 0.64 | 0.625 | 0.614 |
| H | 0.381 | 0.374 | 0.332 | 0.361 | 0.375 | 0.383 | 0.348 | 0.355 | 0.347 | 0.321 |
| Average value | 2.447 | 2.432 | 2.42 | 2.422 | 2.421 | 2.424 | 2.413 | 2.413 | 2.403 | 2.39 |
| Velocity | 1 | 2 | 3 | 4 | 5 | 6 | 7 | 8 | 9 | 10 |
|---|---|---|---|---|---|---|---|---|---|---|
| Upper diameter | 3.555 | 3.544 | 3.544 | 3.552 | 3.55 | 3.55 | 3.549 | 3.559 | 3.558 | 3.56 |
| Bottom diameter | 3.618 | 3.619 | 3.62 | 3.62 | 3.617 | 3.621 | 3.62 | 3.621 | 3.622 | 3.622 |
| Maximum diameter | 3.936 | 3.94 | 3.942 | 3.943 | 3.944 | 3.944 | 3.946 | 3.946 | 3.947 | 3.947 |
| Heights | 1.031 | 1.034 | 1.035 | 1.034 | 1.03 | 1.033 | 1.036 | 1.035 | 1.032 | 1.034 |
| Average diameter | 3.701 | 3.701 | 3.702 | 3.704 | 3.704 | 3.705 | 3.705 | 3.708 | 3.709 | 3.71 |
| Velocity | 1 | 5 | 10 | 1-1-5 | 1-1-10 | 1-5-1 | 1-10-1 | 5-1-1 | 10-1-1 |
|---|---|---|---|---|---|---|---|---|---|
| A | 8.962 | 8.942 | 8.887 | 8.965 | 8.798 | 9.019 | 9.023 | 8.989 | 8.882 |
| B | 3.119 | 3.037 | 2.974 | 3.063 | 3.015 | 3.069 | 3.061 | 3.124 | 3.14 |
| C | 2.297 | 2.285 | 2.272 | 2.29 | 2.29 | 2.289 | 2.281 | 2.29 | 2.323 |
| D | 1.728 | 1.699 | 1.704 | 1.702 | 1.717 | 1.729 | 1.716 | 1.715 | 1.754 |
| E | 1.593 | 1.569 | 1.55 | 1.566 | 1.563 | 1.603 | 1.592 | 1.582 | 1.623 |
| F | 0.827 | 0.811 | 0.795 | 0.803 | 0.802 | 0.837 | 0.827 | 0.811 | 0.829 |
| G | 0.68 | 0.648 | 0.614 | 0.655 | 0.644 | 0.685 | 0.671 | 0.68 | 0.692 |
| H | 0.381 | 0.375 | 0.321 | 0.332 | 0.305 | 0.405 | 0.393 | 0.378 | 0.428 |
| Average interference | 2.448 | 2.421 | 2.39 | 2.422 | 2.392 | 2.455 | 2.446 | 2.446 | 2.459 |
| Upper diameter | 3.555 | 3.55 | 3.56 | 3.556 | 3.567 | 3.542 | 3.543 | 3.556 | 3.543 |
| Bottom diameter | 3.617 | 3.617 | 3.622 | 3.622 | 3.626 | 3.616 | 3.615 | 3.62 | 3.621 |
| Maximum diameter | 3.936 | 3.944 | 3.947 | 3.941 | 3.944 | 3.937 | 3.937 | 3.94 | 3.937 |
| Average diameter | 3.703 | 3.704 | 3.71 | 3.706 | 3.713 | 3.698 | 3.698 | 3.706 | 3.701 |
| Velocity | 10 | 1-10-10 | 10-1-10 | 10-10-1 | 10-1-1 |
|---|---|---|---|---|---|
| A | 8.887 | 8.858 | 8.822 | 9.028 | 8.882 |
| B | 2.974 | 2.947 | 3.02 | 3.066 | 3.14 |
| C | 2.272 | 2.262 | 2.292 | 2.276 | 2.323 |
| D | 1.704 | 1.702 | 1.718 | 1.708 | 1.754 |
| E | 1.55 | 1.552 | 1.568 | 1.572 | 1.623 |
| F | 0.795 | 0.807 | 0.792 | 0.815 | 0.829 |
| G | 0.614 | 0.62 | 0.642 | 0.662 | 0.692 |
| H | 0.321 | 0.339 | 0.356 | 0.362 | 0.428 |
| Average interference | 2.39 | 2.386 | 2.401 | 2.436 | 2.459 |
| Standard deviation | 2.591 | 2.578 | 2.565 | 2.627 | 2.57 |
| Upper diameter | 3.56 | 3.562 | 3.576 | 3.539 | 3.543 |
| Bottom diameter | 3.622 | 3.622 | 3.626 | 3.617 | 3.621 |
| Maximum diameter | 3.947 | 3.946 | 3.946 | 3.94 | 3.937 |
| Average diameter | 3.71 | 3.71 | 3.716 | 3.698 | 3.701 |
| Design Variable | Description | Level 1 | Level 2 | Level 3 |
|---|---|---|---|---|
| X1 | Free upsetting stage/mm | 1 | 5 | 10 |
| X2 | Hole wall rivet bar interference stage/mm | 1 | 5 | 10 |
| X3 | Rivet-driven head formation stage/mm | 1 | 5 | 10 |
| Experiment No. | X1 | X2 | X3 | δa | δA | δH | V | da | db |
|---|---|---|---|---|---|---|---|---|---|
| 1 | 1 | 1 | 1 | 2.448 | 8.962 | 0.381 | 2.602 | 3.703 | 3.619 |
| 2 | 1 | 1 | 5 | 2.422 | 8.965 | 0.332 | 2.613 | 3.706 | 3.622 |
| 3 | 1 | 1 | 10 | 2.392 | 8.798 | 0.305 | 2.562 | 3.713 | 3.626 |
| 4 | 1 | 5 | 1 | 2.455 | 9.019 | 0.405 | 2.615 | 3.698 | 3.616 |
| 5 | 1 | 5 | 5 | 2.437 | 8.983 | 0.393 | 2.607 | 3.705 | 3.618 |
| 6 | 1 | 5 | 10 | 2.398 | 8.808 | 0.363 | 2.556 | 3.711 | 3.624 |
| 7 | 1 | 10 | 1 | 2.446 | 9.023 | 0.393 | 2.620 | 3.698 | 3.615 |
| 8 | 1 | 10 | 5 | 2.418 | 9.085 | 0.324 | 2.655 | 3.706 | 3.617 |
| 9 | 1 | 10 | 10 | 2.386 | 8.858 | 0.339 | 2.578 | 3.710 | 3.622 |
| 10 | 5 | 1 | 1 | 2.446 | 8.989 | 0.378 | 2.614 | 3.706 | 3.620 |
| 11 | 5 | 1 | 5 | 2.417 | 8.946 | 0.338 | 2.609 | 3.708 | 3.621 |
| 12 | 5 | 1 | 10 | 2.386 | 8.767 | 0.330 | 2.552 | 3.713 | 3.625 |
| 13 | 5 | 5 | 1 | 2.450 | 9.033 | 0.402 | 2.622 | 3.700 | 3.617 |
| 14 | 5 | 5 | 5 | 2.421 | 8.942 | 0.375 | 2.600 | 3.704 | 3.617 |
| 15 | 5 | 5 | 10 | 2.414 | 8.832 | 0.403 | 2.558 | 3.713 | 3.625 |
| 16 | 5 | 10 | 1 | 2.444 | 9.008 | 0.398 | 2.614 | 3.701 | 3.617 |
| 17 | 5 | 10 | 5 | 2.388 | 9.162 | 0.321 | 2.677 | 3.704 | 3.618 |
| 18 | 5 | 10 | 10 | 2.410 | 8.933 | 0.357 | 2.598 | 3.712 | 3.624 |
| 19 | 10 | 1 | 1 | 2.459 | 8.882 | 0.428 | 2.570 | 3.700 | 3.621 |
| 20 | 10 | 1 | 5 | 2.414 | 8.898 | 0.360 | 2.592 | 3.706 | 3.622 |
| 21 | 10 | 1 | 10 | 2.401 | 8.822 | 0.356 | 2.565 | 3.716 | 3.626 |
| 22 | 10 | 5 | 1 | 2.469 | 9.047 | 0.457 | 2.616 | 3.701 | 3.619 |
| 23 | 10 | 5 | 5 | 2.424 | 8.941 | 0.383 | 2.599 | 3.704 | 3.620 |
| 24 | 10 | 5 | 10 | 2.381 | 8.734 | 0.348 | 2.539 | 3.713 | 3.623 |
| 25 | 10 | 10 | 1 | 2.436 | 9.028 | 0.362 | 2.628 | 3.699 | 3.617 |
| 26 | 10 | 10 | 5 | 2.429 | 9.102 | 0.338 | 2.658 | 3.704 | 3.618 |
| 27 | 10 | 10 | 10 | 2.390 | 8.887 | 0.321 | 2.591 | 3.710 | 3.622 |
| Reference Experiment No. | Gray Relational Generation | Gray relational Coefficient | Gray Relational Grade | ||||||||||
|---|---|---|---|---|---|---|---|---|---|---|---|---|---|
| δa | δA | δH | V | da | db | δa | δA | δH | V | da | db | ||
| 1 | 1 | 1 | 1 | 1 | 1 | 1 | 1 | 1 | 1 | 1 | 1 | 1 | |
| 1 | 0.677 | 0.341 | 0.340 | 0.521 | 0.410 | 0.425 | 0.144 | 0.041 | 0.057 | 0.054 | 0.094 | 0.071 | 0.460 |
| 2 | 0.482 | 0.341 | 0.336 | 0.483 | 0.477 | 0.593 | 0.102 | 0.041 | 0.057 | 0.050 | 0.110 | 0.098 | 0.458 |
| 3 | 0.362 | 0.347 | 0.333 | 0.749 | 0.699 | 0.960 | 0.077 | 0.042 | 0.056 | 0.077 | 0.161 | 0.159 | 0.572 |
| 4 | 0.748 | 0.339 | 0.342 | 0.476 | 0.333 | 0.359 | 0.159 | 0.041 | 0.058 | 0.049 | 0.077 | 0.060 | 0.442 |
| 5 | 0.575 | 0.340 | 0.341 | 0.503 | 0.435 | 0.412 | 0.122 | 0.041 | 0.058 | 0.052 | 0.100 | 0.068 | 0.440 |
| 6 | 0.380 | 0.347 | 0.338 | 0.806 | 0.623 | 0.698 | 0.081 | 0.042 | 0.057 | 0.083 | 0.143 | 0.116 | 0.522 |
| 7 | 0.648 | 0.338 | 0.341 | 0.460 | 0.335 | 0.333 | 0.137 | 0.041 | 0.058 | 0.047 | 0.077 | 0.055 | 0.415 |
| 8 | 0.460 | 0.336 | 0.335 | 0.373 | 0.454 | 0.386 | 0.098 | 0.040 | 0.057 | 0.038 | 0.104 | 0.064 | 0.401 |
| 9 | 0.344 | 0.345 | 0.336 | 0.637 | 0.595 | 0.592 | 0.073 | 0.041 | 0.057 | 0.066 | 0.137 | 0.098 | 0.472 |
| 10 | 0.654 | 0.340 | 0.339 | 0.480 | 0.455 | 0.481 | 0.139 | 0.041 | 0.057 | 0.049 | 0.105 | 0.080 | 0.471 |
| 11 | 0.455 | 0.341 | 0.336 | 0.495 | 0.521 | 0.528 | 0.096 | 0.041 | 0.057 | 0.051 | 0.120 | 0.088 | 0.453 |
| 12 | 0.346 | 0.348 | 0.335 | 0.841 | 0.752 | 0.834 | 0.073 | 0.042 | 0.057 | 0.087 | 0.173 | 0.138 | 0.570 |
| 13 | 0.696 | 0.338 | 0.342 | 0.454 | 0.356 | 0.382 | 0.148 | 0.041 | 0.058 | 0.047 | 0.082 | 0.063 | 0.438 |
| 14 | 0.474 | 0.341 | 0.339 | 0.530 | 0.415 | 0.390 | 0.101 | 0.041 | 0.057 | 0.055 | 0.096 | 0.065 | 0.414 |
| 15 | 0.443 | 0.346 | 0.342 | 0.789 | 0.726 | 0.747 | 0.094 | 0.041 | 0.058 | 0.081 | 0.167 | 0.124 | 0.565 |
| 16 | 0.635 | 0.339 | 0.341 | 0.478 | 0.364 | 0.379 | 0.135 | 0.041 | 0.058 | 0.049 | 0.084 | 0.063 | 0.429 |
| 17 | 0.352 | 0.333 | 0.335 | 0.333 | 0.431 | 0.412 | 0.075 | 0.040 | 0.057 | 0.034 | 0.099 | 0.068 | 0.373 |
| 18 | 0.426 | 0.342 | 0.338 | 0.538 | 0.686 | 0.691 | 0.090 | 0.041 | 0.057 | 0.055 | 0.158 | 0.115 | 0.516 |
| 19 | 0.807 | 0.344 | 0.344 | 0.690 | 0.362 | 0.527 | 0.171 | 0.041 | 0.058 | 0.071 | 0.083 | 0.088 | 0.512 |
| 20 | 0.441 | 0.343 | 0.338 | 0.568 | 0.457 | 0.581 | 0.094 | 0.041 | 0.057 | 0.058 | 0.105 | 0.096 | 0.452 |
| 21 | 0.393 | 0.346 | 0.338 | 0.725 | 1.000 | 1.000 | 0.083 | 0.042 | 0.057 | 0.075 | 0.230 | 0.166 | 0.652 |
| 22 | 1.000 | 0.338 | 0.346 | 0.472 | 0.373 | 0.440 | 0.212 | 0.041 | 0.059 | 0.049 | 0.086 | 0.073 | 0.518 |
| 23 | 0.493 | 0.342 | 0.340 | 0.537 | 0.427 | 0.457 | 0.104 | 0.041 | 0.057 | 0.055 | 0.098 | 0.076 | 0.432 |
| 24 | 0.333 | 0.350 | 0.337 | 1.000 | 0.730 | 0.641 | 0.071 | 0.042 | 0.057 | 0.103 | 0.168 | 0.106 | 0.547 |
| 25 | 0.571 | 0.338 | 0.338 | 0.438 | 0.342 | 0.393 | 0.121 | 0.041 | 0.057 | 0.045 | 0.079 | 0.065 | 0.408 |
| 26 | 0.520 | 0.336 | 0.336 | 0.367 | 0.421 | 0.402 | 0.110 | 0.040 | 0.057 | 0.038 | 0.097 | 0.067 | 0.409 |
| 27 | 0.356 | 0.344 | 0.335 | 0.568 | 0.573 | 0.572 | 0.075 | 0.041 | 0.057 | 0.059 | 0.132 | 0.095 | 0.459 |
Disclaimer/Publisher’s Note: The statements, opinions and data contained in all publications are solely those of the individual author(s) and contributor(s) and not of MDPI and/or the editor(s). MDPI and/or the editor(s) disclaim responsibility for any injury to people or property resulting from any ideas, methods, instructions or products referred to in the content. |
© 2025 by the authors. Licensee MDPI, Basel, Switzerland. This article is an open access article distributed under the terms and conditions of the Creative Commons Attribution (CC BY) license (https://creativecommons.org/licenses/by/4.0/).
Share and Cite
Zou, D.; Liu, W.; Yuan, Z. Riveting Quality Improvement Mechanism of 2A10 Aluminum Alloy with Compound Feed Rates. Metals 2025, 15, 1326. https://doi.org/10.3390/met15121326
Zou D, Liu W, Yuan Z. Riveting Quality Improvement Mechanism of 2A10 Aluminum Alloy with Compound Feed Rates. Metals. 2025; 15(12):1326. https://doi.org/10.3390/met15121326
Chicago/Turabian StyleZou, Deyi, Weijun Liu, and Zewei Yuan. 2025. "Riveting Quality Improvement Mechanism of 2A10 Aluminum Alloy with Compound Feed Rates" Metals 15, no. 12: 1326. https://doi.org/10.3390/met15121326
APA StyleZou, D., Liu, W., & Yuan, Z. (2025). Riveting Quality Improvement Mechanism of 2A10 Aluminum Alloy with Compound Feed Rates. Metals, 15(12), 1326. https://doi.org/10.3390/met15121326

