Influence of Experimental Parameters on the Determination of Copper Dissolution in Corrosion Processes Using Gold Microelectrodes †
Abstract
1. Introduction
2. Materials and Methods
2.1. Materials
2.2. Methods
3. Results and Discussion
3.1. Effect of Copper Concentration in the Presence of Cl− Anions
3.2. Effect of Copper Concentration in Solutions Containing Anions Other than Cl−
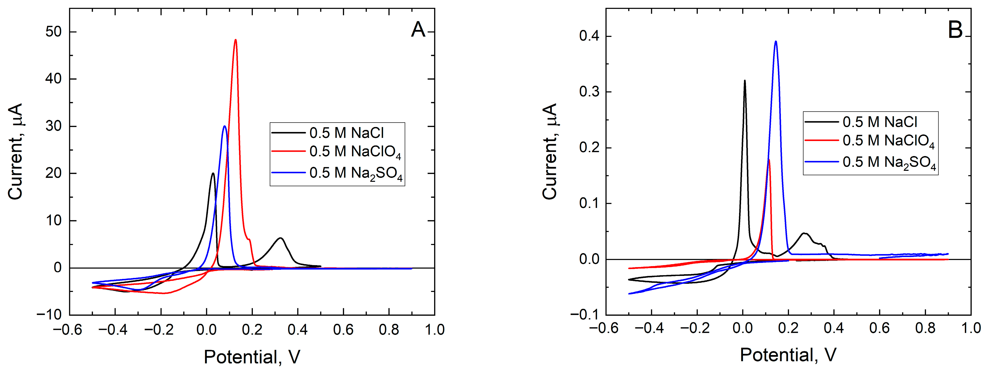
3.3. Effect of Bulk Electrolyte Concentration
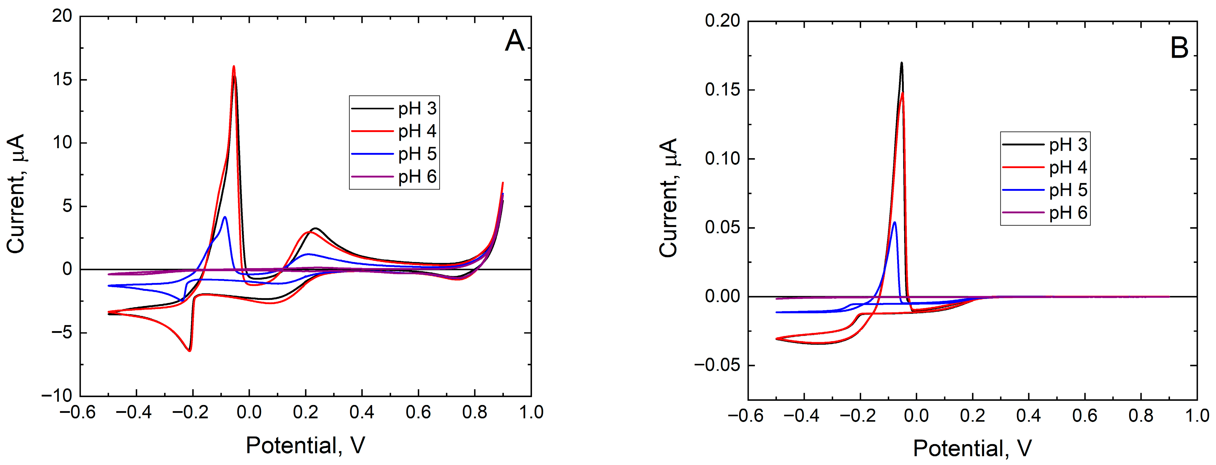
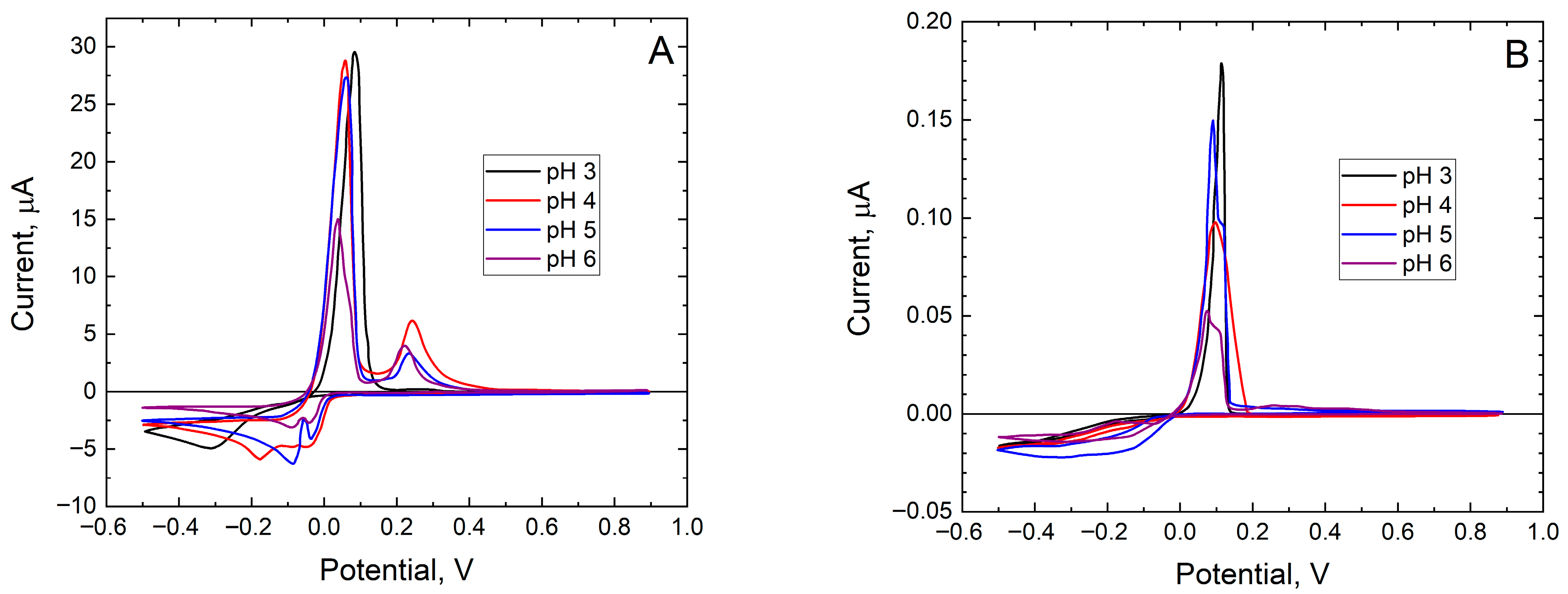
3.4. Effect of Solution pH
4. Conclusions
Author Contributions
Funding
Data Availability Statement
Conflicts of Interest
References
- Kwak, J.; Bard, A.J. Scanning electrochemical microscopy. Theory of the feedback mode. Anal. Chem. 1989, 61, 1221–1227. [Google Scholar] [CrossRef]
- Zoski, C.G. Review—Advances in scanning electrochemical microscopy (SECM). J. Electrochem. Soc. 2016, 163, H3088–H3100. [Google Scholar] [CrossRef]
- Polcari, D.; Dauphin-Ducharme, P.; Mauzeroll, J. Scanning electrochemical microscopy: A comprehensive review of experimental parameters from 1989 to 2015. Chem. Rev. 2016, 116, 13234–13278. [Google Scholar] [CrossRef]
- Zhou, Y.; Takahashi, Y.; Fukuma, T.; Matsue, T. Scanning electrochemical microscopy for biosurface imaging. Curr. Opin. Electrochem. 2021, 29, 100739. [Google Scholar] [CrossRef]
- Payne, N.A.; Stephens, L.I.; Mauzeroll, J. The application of scanning electrochemical microscopy to corrosion research. Corrosion 2017, 73, 759–780. [Google Scholar] [CrossRef]
- Reddy, M.S.B.; Ponnamma, D.; Sadasivuni, K.K.; Aich, S.; Kailasa, S.; Parangusan, H.; Ibrahim, M.; Eldeib, S.; Shehata, O.; Ismail, M.; et al. Sensors in advancing the capabilities of corrosion detection: A review. Sens. Actuators A Phys. 2021, 332, 113086. [Google Scholar] [CrossRef]
- Traxler, I.; Singewald, T.D.; Schimo-Aichhorn, G.; Hild, S.; Valtiner, M. Scanning electrochemical microscopy methods (SECM) and ion-selective microelectrodes for corrosion studies. Corros. Rev. 2022, 40, 515–542. [Google Scholar] [CrossRef]
- Izquierdo, J.; Kranz, C. Electrochemical techniques for investigating redox active macromolecules. Eur. Polym. J. 2016, 83, 428–449. [Google Scholar] [CrossRef]
- Mirkin, M.V.; Wang, Y. Theory. In Scanning Electrochemical Microscopy, 3rd ed.; Bard, A.J., Mirkin, M.V., Eds.; CRC Press: Boca Raton, FL, USA, 2022; pp. 65–103. [Google Scholar]
- Mansikkamäki, K.; Ahonen, P.; Fabricius, G.; Murtomäki, L.; Kontturi, K. Inhibitive effect of benzotriazole on copper surfaces studied by SECM. J. Electrochem. Soc. 2005, 152, B12–B16. [Google Scholar] [CrossRef][Green Version]
- Asserghine, A.; Medvidović-Kosanović, M.; Nagy, L.; Nagy, G. In situ monitoring of the transpassivation and repassivation of the passive film on nitinol biomaterial by scanning electrochemical microscopy. Electrochem. Commun. 2019, 107, 106539. [Google Scholar] [CrossRef]
- González-García, Y.; Mol, J.M.C.; Muselle, T.; De Graeve, I.; Van Assche, G.; Scheltjens, G.; Van Mele, B.; Terryn, H. SECM study of defect repair in self-healing polymer coatings on metals. Electrochem. Commun. 2011, 13, 169–173. [Google Scholar] [CrossRef]
- de Oliveira, L.A.; da Silva, R.M.P.; Antunes, R.A. Scanning electrochemical microscopy (SECM) study of the electrochemical behavior of anodized AZ31B magnesium alloy in simulated body fluid. Mater. Res. 2019, 22, e20190079. [Google Scholar] [CrossRef]
- Zhang, Q.; Zhu, Z.; Liu, P.; Zhang, J.; Cao, F. Corrosion electrochemical kinetic study of copper in acidic solution using scanning electrochemical microscopy. J. Electrochem. Soc. 2019, 166, C401–C409. [Google Scholar] [CrossRef]
- Terada, M.; Marques, R.A.; Simões, A.M.; Padilha, A.F.; Costa, I. Use of SECM to compare corrosion resistance of DIN W. Nr. 1⋅4460 high N and AISI 316L austenitic stainless steels in physiological solutions. Corros. Eng. Sci. Technol. 2011, 46, 599–604. [Google Scholar] [CrossRef]
- Mansikkamäki, K.; Haapanen, U.; Johans, C.; Kontturi, K.; Valden, M. Adsorption of benzotriazole on the surface of copper alloys studied by SECM and XPS. J. Electrochem. Soc. 2006, 153, B311–B318. [Google Scholar] [CrossRef]
- Varvara, S.; Caniglia, G.; Izquierdo, J.; Bostan, R.; Găină, L.; Bobis, O.; Souto, R.M. Multiscale electrochemical analysis of the corrosion control of bronze in simulated acid rain by horse-chestnut (Aesculus hippocastanum L.) extract as green inhibitor. Corros. Sci. 2020, 165, 108381. [Google Scholar] [CrossRef]
- Barton, Z.J.; Rodríguez-López, J. Fabrication and demonstration of mercury disc-well probes for stripping-based cyclic voltammetry scanning electrochemical microscopy. Anal. Chem. 2017, 89, 2716–2723. [Google Scholar] [CrossRef]
- Gossage, Z.T.; Hui, J.; Sarbapalli, D.; Rodríguez-López, J. Coordinated mapping of Li+ flux and electron transfer reactivity during solid-electrolyte interphase formation at a graphene electrode. Analyst 2020, 145, 2631–2638. [Google Scholar] [CrossRef]
- Souto, R.M.; González-García, Y.; Battistel, D.; Daniele, S. On the use of mercury-coated tips in scanning electrochemical microscopy to investigate galvanic corrosion processes involving zinc and iron. Corros. Sci. 2012, 55, 401–406. [Google Scholar] [CrossRef]
- Janotta, M.; Rudolph, D.; Kueng, A.; Kranz, C.; Voraberger, H.S.; Waldhauser, W.; Mizaikoff, B. Analysis of corrosion processes at the surface of diamond-like carbon protected zinc selenide waveguides. Langmuir 2004, 20, 8634–8640. [Google Scholar] [CrossRef]
- Rudolph, D.; Neuhuber, S.; Kranz, C.; Taillefert, M.; Mizaikoff, B. Scanning electrochemical microscopy imaging of rhodochrosite dissolution using gold amalgam microelectrodes. Analyst 2004, 129, 443–448. [Google Scholar] [CrossRef] [PubMed]
- Daniele, S.; Ciani, I.; Baldo, M.A.; Bragato, C. Application of sphere cap mercury microelectrodes and scanning electrochemical microscopy (SECM) for heavy metal monitoring at solid/solution interfaces. Electroanalysis 2007, 19, 2067–2076. [Google Scholar] [CrossRef]
- Lamaka, S.V.; Karavai, O.V.; Bastos, A.C.; Zheludkevich, M.L.; Ferreira, M.G.S. Monitoring local spatial distribution of Mg2+, pH and ionic currents. Electrochem. Commun. 2008, 10, 259–262. [Google Scholar] [CrossRef]
- Lamaka, S.V.; Karavai, O.V.; Zheludkevich, M.L.; Ferreira, M.G.S. Novel solid-contact ion-selective microelectrodes for localized potentiometric measurements. Electroanalysis 2009, 21, 2447–2453. [Google Scholar] [CrossRef]
- Bastos, A.C.; Taryba, M.G.; Karavai, O.V.; Zheludkevich, M.L.; Lamaka, S.V.; Ferreira, M.G.S. Micropotentiometric mapping of local distributions of Zn2+ relevant to corrosion studies. Electrochem. Commun. 2010, 12, 394–397. [Google Scholar] [CrossRef]
- da Silva, R.M.P.; Izquierdo, J.; Milagre, M.X.; Antunes, R.A.; Souto, R.M.; Costa, I. Development of an Al3+ ion-selective microelectrode for the potentiometric microelectrochemical monitoring of corrosion sites on 2098−T351 aluminum alloy surfaces. Electrochim. Acta 2022, 415, 140260. [Google Scholar] [CrossRef]
- Filotás, D.; Fernández-Pérez, B.M.; Izquierdo, J.; Kiss, A.; Nagy, L.; Nagy, G.; Souto, R.M. Improved potentiometric SECM imaging of galvanic corrosion reactions. Corros. Sci. 2017, 129, 136–145. [Google Scholar] [CrossRef]
- Souza, A.P.R.D.; Lima, A.S.; Salles, M.O.; Nascimento, A.N.; Bertotti, M. The use of a gold disc microelectrode for the determination of copper in human sweat. Talanta 2010, 83, 167–170. [Google Scholar] [CrossRef] [PubMed]
- Zhuang, J.; Zhang, L.; Lu, W.; Shen, D.; Zhu, R.; Pan, D. Determination of trace copper in water samples by anodic stripping voltammetry at gold microelectrode. Int. J. Electrochem. Sci. 2011, 6, 4690–4699. [Google Scholar] [CrossRef]
- Ruhlig, D.; Schuhmann, W. Spatial imaging of Cu2+-ion release by combining alternating current and underpotential stripping mode scanning electrochemical microscopy. Electroanalysis 2007, 19, 191–199. [Google Scholar] [CrossRef]
- Papaderakis, A.; Anastopoulos, A.G.; Sotiropoulos, S. Electrochemical studies of processes occurring at the polycrystalline Cu electrode/methanol interface. J. Electroanal. Chem. 2016, 783, 217–225. [Google Scholar] [CrossRef]
- Izquierdo, J.; Fernández-Pérez, B.M.; Eifert, A.; Souto, R.M.; Kranz, C. Simultaneous atomic force—Scanning electrochemical microscopy (AFM-SECM) imaging of copper dissolution. Electrochim. Acta 2016, 201, 320–332. [Google Scholar] [CrossRef]
- Izquierdo, J.; Eifert, A.; Kranz, C.; Souto, R.M. In situ investigation of copper corrosion in acidic chloride solution using atomic force—Scanning electrochemical microscopy. Electrochim. Acta 2017, 247, 588–599. [Google Scholar] [CrossRef]
- Hernández-Concepción, B.; Méndez-Guerra, A.; Souto, R.M.; Izquierdo, J. Evaluation of the applicability of voltammetric modes in scanning electrochemical microscopy for in situ corrosion characterisation of copper-based materials. Metals 2023, 13, 1965. [Google Scholar] [CrossRef]
- Hernández-Concepción, B.; Souto, R.M.; Izquierdo, J. Novel dynamic method based on CV-SECM and SWV-SECM for the in situ chemical imaging of reactive metal surfaces undergoing corrosion and corrosion inhibition illustrated with the case of copper corrosion inhibition by benzotriazole. Electrochim. Acta 2024, 474, 143538. [Google Scholar] [CrossRef]
- Kranz, C. Recent advancements in nanoelectrodes and nanopipettes used in combined scanning electrochemical microscopy techniques. Analyst 2014, 139, 336–352. [Google Scholar] [CrossRef] [PubMed]
- Shi, X.; Qing, W.; Marhaba, T.; Zhang, W. Atomic force microscopy—Scanning electrochemical microscopy (AFM-SECM) for nanoscale topographical and electrochemical characterization: Principles, applications and perspectives. Electrochim. Acta 2020, 332, 135472. [Google Scholar] [CrossRef]
- Watanabe, M.; Uchida, H.; Miura, M.; Ikeda, N. Electrochemical quartz crystal microbalance study of copper ad-atoms on highly ordered Au(111) electrodes in sulfuric acid. J. Electroanal. Chem. 1995, 384, 191–195. [Google Scholar] [CrossRef]
- Takami, S.; Jennings, G.K.; Laibinis, P.E. Composite monolayer of Ag and Cu on Au(111) by sequential underpotential deposition. Langmuir 2001, 17, 441–448. [Google Scholar] [CrossRef]
- Kumar Sur, U.; Marken, F.; Compton, R.G.; Coles, B.A. Microwave effects on the electrochemical deposition of copper. New J. Chem. 2004, 28, 1544. [Google Scholar] [CrossRef]
- Napp, D.T.; Charles, D. Simultaneous and independent potentiostatic control of two indicator electrodes. Application to the copper(II)/copper(I)/copper system in 0.5 M potassium chloride at the rotating ring-disk electrode. Anal. Chem. 1967, 39, 481–485. [Google Scholar] [CrossRef]
- Schneeweiss, M.A.; Kolb, D.M. The initial stages of copper deposition on bare and chemically modified gold electrodes. Phys. Status Solidi Appl. Res. 1999, 173, 51–71. [Google Scholar] [CrossRef]
- Borges, G.L.; Kanazawa, K.K.; Gordon, J.G.; Ashley, K.; Richer, J. An in-situ electrochemical quartz crystal microbalance study of the underpotential deposition of copper on Au(111) electrodes. J. Electroanal. Chem. 1994, 364, 281–284. [Google Scholar] [CrossRef]
- Moiler, F.A.; Magnussen, O.M.; Behm, R.J. In situ STM studies of Cu underpotential deposition on Au(100) in the presence of sulfate and chloride anions. Phys. Rev. B 1995, 51, 2484–2490. [Google Scholar] [CrossRef]
- Seo, M.; Yamazaki, M. Changes in surface stress of gold electrode during underpotential deposition of copper. J. Solid State Electrochem. 2007, 11, 1365–1373. [Google Scholar] [CrossRef]
- Yang, M.; Zhang, H.; Deng, Q. Understanding the copper underpotential deposition process at strained gold surface. Electrochem. Commun. 2017, 82, 125–128. [Google Scholar] [CrossRef]
- Alvarez-Pampliega, A.; Lamaka, S.V.; Taryba, M.G.; Madani, M.; De Strycker, J.; Tourwé, E.; Ferreira, M.G.S.; Terryn, H. Cut-edge corrosion study on painted aluminum rich metallic coated steel by scanning vibrating electrode and micro-potentiometric techniques. Electrochim. Acta 2012, 61, 107–117. [Google Scholar] [CrossRef]
- Pourbaix, M. Atlas of Electrochemical Equilibria in Aqueous Solutions; Pergamon: Oxford, UK, 1966. [Google Scholar]










| CuCl2 Concentration, mM | Exchanged Charge, μC | Ratio * | Cu Mass, g | Thickness, μm | Number of Layers | |
|---|---|---|---|---|---|---|
| 0.1 | Qc | −1.07 | 0.86 | 3.53 × 10−10 | 2.00 × 10−4 | 0.72 |
| Qa | +1.25 | − | − | − | ||
| 1 | Qc | −3.50 | 0.92 | 1.15 × 10−9 | 6.55 × 10−4 | 2.34 |
| Qa | +3.82 | − | − | − | ||
| 10 | Qc | −48.7 | 1.27 | 1.61 × 10−8 | 9.12 × 10−3 | 32.6 |
| Qa | +38.3 | − | − | − | ||
| 100 | Qc | −856 | 1.22 | 2.82 × 10−7 | 1.60 × 10−1 | 573 |
| Qa | +704 | − | − | − | ||
| CuCl2 Concentration, mM | Exchanged Charge, μC | Ratio * | Cu Mass, g | Thickness, μm | Number of Layers | |
|---|---|---|---|---|---|---|
| 0.1 | Qc | −1.96 × 10−3 | 2.20 | 6.45 × 10−13 | 9.17 × 10−4 | 3.28 |
| Qa,1 | +8.91 × 10−4 | 5.87 × 10−13 | 8.34 × 10−4 | 2.98 | ||
| 1 | Qc | −2.83 × 10−2 | 2.03 | 9.31 × 10−12 | 1.32 × 10−2 | 47,3 |
| Qa,1 | +1.39 × 10−2 | 9.16 × 10−12 | 1.30 × 10−2 | 46,5 | ||
| 10 | Qc | −0.575 | 2.63 | 1.89 × 10−10 | 2.69 × 10−1 | 961 |
| Qa,1 | +0.219 | 1.44 × 10−10 | 2.05 × 10−1 | 731 | ||
| 100 | Qc | −20.4 | 3.52 | 6.72 × 10−9 | 9.55 | 34.1 × 103 |
| Qa,1 | +5.79 | 3.82 × 10−9 | 5.42 | 19.4 × 103 | ||
| CuSO4 Concentration, mM | Exchanged Charge, μC | Ratio * | Cu Mass, g | Thickness, μm | Number of Layers | |
|---|---|---|---|---|---|---|
| 0.1 | Qc | −0.73 | 1.36 | 6.45 × 10−10 | 9.17 × 10−4 | 0.49 |
| Qa | +0.54 | 5.87 × 10−10 | 8.34 × 10−4 | 0.36 | ||
| 1 | Qc | −4.04 | 1.17 | 9.31 × 10−9 | 1.32 × 10−4 | 2.70 |
| Qa | +3.45 | 9.16 × 10−9 | 1.30 × 10−4 | 2.31 | ||
| 10 | Qc | −42.5 | 1.11 | 1.89 × 10−8 | 2.69 × 10−3 | 28.4 |
| Qa | +38.4 | 1.44 × 10−8 | 2.05 × 10−3 | 25.7 | ||
| 100 | Qc | −495 | 1.04 | 6.72 × 10−7 | 9.55 × 10−2 | 331 |
| Qa | +477 | 3.82 × 10−7 | 5.42 × 10−2 | 319 | ||
| Cu(ClO4)2 Concentration, mM | Exchanged Charge, μC | Ratio * | Cu Mass, g | Thickness, μm | Number of Layers | |
|---|---|---|---|---|---|---|
| 0.1 | Qc | (**) | (**) | (**) | (**) | (**) |
| Qa | +0.10 | 3.16 × 10−11 | 1.80 × 10−5 | 0.06 | ||
| 1 | Qc | −5.61 | 0.98 | 1.85 × 10−9 | 1.05 × 10−3 | 3.75 |
| Qa | +5.75 | 1.89 × 10−9 | 1.08 × 10−3 | 3.84 | ||
| 10 | Qc | −71.9 | 1.13 | 2.37 × 10−8 | 1.35 × 10−2 | 48.1 |
| Qa | +63.4 | 2.10 × 10−8 | 1.19 × 10−2 | 42.6 | ||
| 100 | Qc | −980 | 1.07 | 3.23 × 10−7 | 1.83 × 10−1 | 655 |
| Qa | +916 | 3.02 × 10−7 | 1.71 × 10−1 | 612 | ||
| CuSO4 Concentration, mM | Exchanged Charge, μC | Ratio * | Cu Mass, g | Thickness, μm | Number of Layers | |
|---|---|---|---|---|---|---|
| 0.1 | Qc | −6.74 × 10−3 | 3.18 | 2.22 × 10−12 | 9.17 × 10−3 | 11.3 |
| Qa | +2.12 × 10−3 | 6.98 × 10−13 | 8.34 × 10−4 | 3.54 | ||
| 1 | Qc | −8.32 × 10−3 | 0.47 | 2.74 × 10−12 | 1.32 × 10−3 | 13.9 |
| Qa | +1.76 × 10−2 | 5.80 × 10−12 | 1.30 × 10−3 | 29.4 | ||
| 10 | Qc | −1.34 × 10−1 | 1.00 | 4.42 × 10−11 | 2.69 × 10−2 | 225 |
| Qa | +1.35 × 10−1 | 4.45 × 10−11 | 2.05 × 10−2 | 226 | ||
| 100 | Qc | −2.79 | 1.22 | 9.19 × 10−10 | 1.31 | 4.66 × 103 |
| Qa | +2.28 | 7.50 × 10−10 | 1.07 | 3.80 × 103 | ||
| Cu(ClO4)2 Concentration, mM | Exchanged Charge, μC | Ratio * | Cu Mass, g | Thickness, μm | Number of Layers | |
|---|---|---|---|---|---|---|
| 0.1 | Qc | −2.24 × 10−1 | 1.07 | 7.38 × 10−11 | 9.17 × 10−1 | 375 |
| Qa | +2.09 × 10−1 | 6.88 × 10−11 | 8.34 × 10−2 | 349 | ||
| 1 | Qc | −5.89 × 10−1 | 0.04 | 1.94 × 10−10 | 1.32 × 10−1 | 985 |
| Qa | +5.68 × 10−1 | 1.87 × 10−10 | 1.30 × 10−1 | 949 | ||
| 10 | Qc | −7.31 × 10−1 | 1.13 | 2.41 × 10−10 | 2.69 × 10−1 | 1.22 × 103 |
| Qa | +6.45 × 10−1 | 2.12 × 10−10 | 2.05 × 10−1 | 1.08 × 103 | ||
| 100 | Qc | −8.09 | 1.70 | 2.66 × 10−9 | 3.78 | 13.5 × 103 |
| Qa | +4.75 | 1.56 × 10−9 | 2.22 | 7.93 × 103 | ||
Disclaimer/Publisher’s Note: The statements, opinions and data contained in all publications are solely those of the individual author(s) and contributor(s) and not of MDPI and/or the editor(s). MDPI and/or the editor(s) disclaim responsibility for any injury to people or property resulting from any ideas, methods, instructions or products referred to in the content. |
© 2025 by the authors. Licensee MDPI, Basel, Switzerland. This article is an open access article distributed under the terms and conditions of the Creative Commons Attribution (CC BY) license (https://creativecommons.org/licenses/by/4.0/).
Share and Cite
Izquierdo, J.; Méndez-Guerra, A.; Rodríguez-Raposo, R.; Souto, R.M. Influence of Experimental Parameters on the Determination of Copper Dissolution in Corrosion Processes Using Gold Microelectrodes. Metals 2025, 15, 1278. https://doi.org/10.3390/met15121278
Izquierdo J, Méndez-Guerra A, Rodríguez-Raposo R, Souto RM. Influence of Experimental Parameters on the Determination of Copper Dissolution in Corrosion Processes Using Gold Microelectrodes. Metals. 2025; 15(12):1278. https://doi.org/10.3390/met15121278
Chicago/Turabian StyleIzquierdo, Javier, Adrián Méndez-Guerra, Raquel Rodríguez-Raposo, and Ricardo M. Souto. 2025. "Influence of Experimental Parameters on the Determination of Copper Dissolution in Corrosion Processes Using Gold Microelectrodes" Metals 15, no. 12: 1278. https://doi.org/10.3390/met15121278
APA StyleIzquierdo, J., Méndez-Guerra, A., Rodríguez-Raposo, R., & Souto, R. M. (2025). Influence of Experimental Parameters on the Determination of Copper Dissolution in Corrosion Processes Using Gold Microelectrodes. Metals, 15(12), 1278. https://doi.org/10.3390/met15121278

