Novel Macro-Tensile Approach for Quantifying Oxide Scale Adhesion Energy on Recycled Hot-Rolled Steel: Interplay of Steam and Silicon
Abstract
1. Introduction
2. Materials and Methods
2.1. Materials and Oxidation Process
2.2. Characterization of Microstructure
2.3. Adhesion Behavior of the Oxide Scale
3. Results and Discussion
3.1. Morphological and Chemical Characteristics of Oxide Scale
3.2. Thermodynamics of Oxide Scale Formation
3.3. Oxidation Mechanism
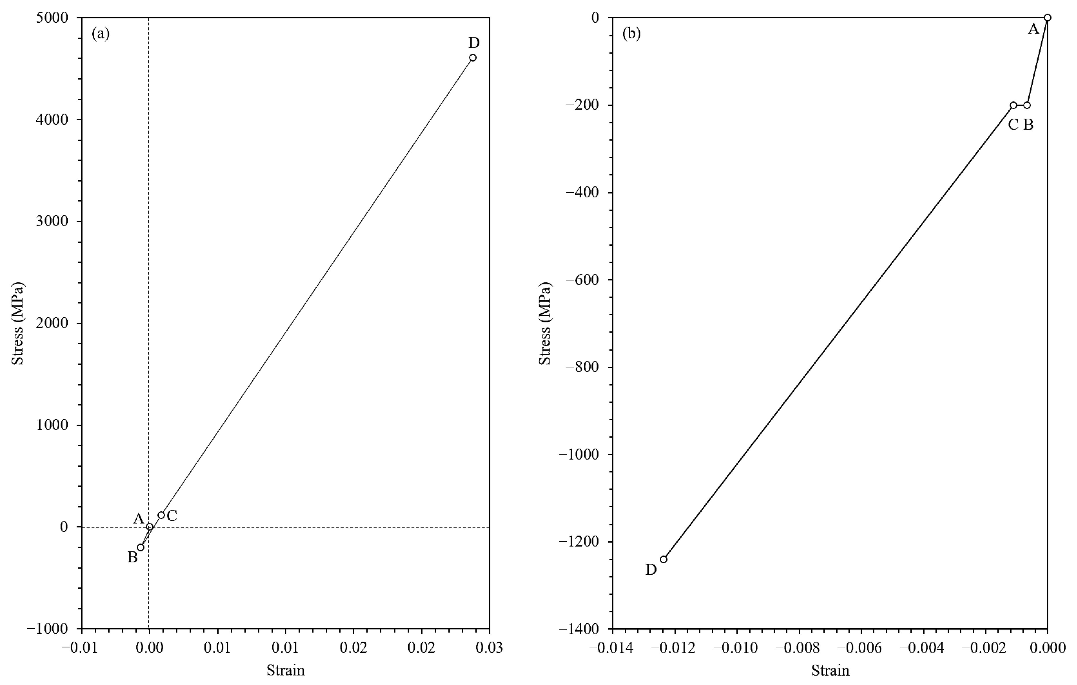
3.4. Adhesion Behavior of the Oxide Scale
4. Conclusions
- 1.
- Quantitative metric and innovation: The macro-tensile method successfully provided a reliable quantitative metric, the scale adhesion energy (J/m2), enabling precise mechanical assessment of scale bonding.
- 2.
- Effect of water vapor: The data established a precise inverse correlation between steam content and scale adhesion strength. Increasing water vapor concentration was shown to substantially degrade scale adhesion across different steel types due to the formation of defective scale layers.
- 3.
- Critical role of silicon: Residual Si content is a critical factor dictating the formation of protective interfacial layers. High-Si steel exhibited significantly higher scale adhesion energy than low-Si steel under all tested steam conditions.
- 4.
- Industrial recommendation: The findings are directly translatable into specific recommendations for production. Steel mills should strictly minimize residual silicon content and maintain the furnace steam concentration at an intermediate level (approximately 20%). This strategy optimizes scale formation conditions, ensuring a superior strip surface quality and facilitating efficient scale removal.
Funding
Data Availability Statement
Acknowledgments
Conflicts of Interest
References
- Fruehan, R.J. The Making, Shaping and Treating of Steel, 11th ed.; Steelmaking and Refining Volume; The AISE Steel Foundation: Pittsburgh, PA, USA, 1998. [Google Scholar]
- Ginzburg, V.B. Flat-Rolled Steel Process; CRC Press: Boca Raton, FL, USA, 2009. [Google Scholar]
- Ghosh, A.; Chatterjee, A. Ironmaking and Steelmaking, Theory and Practice; Prentice Hall of India: New Delhi, India, 2008. [Google Scholar]
- Kofstad, P. High Temperature Corrosion; Elsevier Applied Science: London, UK, 1988. [Google Scholar]
- Sarrazin, P.; Galerie, A.; Fouletier, J. Mechanisms of High Temperature Corrosion: A Kinetic Approach; Trans Tech Publications: Baech, Switzerland, 2008. [Google Scholar]
- Yuan, J.; Wang, W.; Zhu, S.; Wang, F. Comparison between the oxidation of iron in oxygen and in steam at 650–750 °C. Cor. Sci. 2013, 75, 309–317. [Google Scholar] [CrossRef]
- Saunders, S.R.J.; Monteiro, M.; Rizzo, F. The oxidation behaviour of metals and alloys at high temperatures in atmospheres containing water vapour: A review. Pro. Mater. Sci. 2008, 53, 775–837. [Google Scholar] [CrossRef]
- Jia, Q.; Jiang, X.; Wu, C.; Chan, J.; Zhu, X.; Liu, Y.; Su, X. Effect of Si on mechanical properties and oxide film formation of AFA alloy at low oxygen pressure. Coatings 2025, 15, 602. [Google Scholar] [CrossRef]
- Stott, F.H.; Wood, G.C.; Stringer, J. The influence of alloying elements on the development and maintenance of protective scales. Oxid. Met. 1995, 44, 113–145. [Google Scholar] [CrossRef]
- Chandra-ambhorn, S.; Nilsonthi, T.; Wouters, Y.; Galerie, A. Oxidation of simulated recycled steels with 0.23 and 1.03 wt.% Si in Ar-20% H2O at 900 °C. Corros. Sci. 2014, 87, 101–110. [Google Scholar] [CrossRef]
- Yu, L.; Shen, F.; Fu, T.; Zhang, Y.; Cui, K.; Wang, J.; Zhang, X. Microstructure and oxidation behavior of metal-modified Mo-Si-B alloys: A review. Coatings 2021, 11, 1256. [Google Scholar] [CrossRef]
- Vivekanandam, V.; Joshi, S.S.; Nebreda, J.L.; Fan, Z. Effect of processing-induced oxides on the fatigue life variability of 6082 Al-Mg-Si alloy extruded components. J. Manuf. Mater. Process. 2025, 9, 247. [Google Scholar] [CrossRef]
- Zhang, Y.; Shan, Z.; Luo, L.; Li, Z.; Liang, X.; Su, Y.; Yang, T.; Zang, Y.; Jin, D. Optimizing the high-temperature oxidation resistance of Nb-Si-based alloys by adding different Ti/Mo/Hf elements. Metals 2025, 15, 439. [Google Scholar] [CrossRef]
- Yamazaki, T.; Ikeda, K.; Sekiguchi, Y.; Sato, C. Experimental investigation of adhesive joint strength and stress-based criteria under tensile/compression–shear stress state using a developed fixture. J. Adhes. 2025, 1–22. [Google Scholar] [CrossRef]
- Sun, X.; Liu, W.N.; Stephens, E.; Khaleel, M.A. Determination of interfacial adhesion strength between oxide scale and substrate for metallic SOFC interconnects. J. Power Sources 2008, 176, 167–174. [Google Scholar] [CrossRef]
- Galerie, A.; Toscan, F.; N’Dah, E.; Przybylski, K.; Wouters, Y.; Dupeux, M. Measuring adhesion of Cr2O3 and Al2O3 scales on Fe-based alloys. Mater. Sci. Forum 2004, 461–464, 631–638. [Google Scholar] [CrossRef]
- Mougin, J.; Dupeux, M.; Antoni, L.; Galerie, A. Adhesion of thermal oxide scales grown on ferritic stainless steels measured using the inverted blister test. Mater. Sci. Eng. A. 2003, 359, 44–51. [Google Scholar] [CrossRef]
- Zhao, Y.Q.; Qu, H.L.; Zhu, K.; Wu, H.; Zhou, L. Oxidation and peel-off mechanisms of oxide layer of the highly stabilized. Rare Met. Mater. Eng. 2001, 30, 35–39. [Google Scholar]
- Toscan, F.; Antoni, L.; Wouters, Y.; Dupeux, M.; Galerie, A. Oxidation kinetics and scale spallation of iron-chromium alloys with different titanium contents. Mater. Sci. Forum 2004, 461–464, 705–712. [Google Scholar] [CrossRef]
- Chandra-ambhorn, S.; Roussel-dherbey, F.; Toscan, F.; Wouters, Y.; Galerie, A.; Dupeux, M. Determination of adhesion energy of thermal oxide scales on AISI 430Ti alloy. Mater. Sci. Technol. 2007, 23, 497–501. [Google Scholar] [CrossRef]
- Hou, P.Y.; Saunders, S.R.J. A survey of test methods for scale adhesion measurement. Mater. High Temp. 2005, 22, 121–129. [Google Scholar] [CrossRef]
- Kondo, Y.; Tanei, H. Adhesive strength of oxide scale formed on low-carbon steel. J. Jpn. Soc. Technol. Plast. 2013, 54, 984–987. [Google Scholar] [CrossRef]
- Laptoiu, S.A.; Miculescu, M.; Enescu, D.; Antoniac, I.; Miculescu, F. Formation and characterization of Ti-Al intermetallic and oxide layers on Ti6Al4V as interlayers for hydroxyapatite coatings. Metals 2025, 15, 1159. [Google Scholar] [CrossRef]
- Zammit, A.; Attard, M.; Subramaniyan, P.; Levin, S.; Wagner, L.; Cooper, J.; Espitalier, L.; Cassar, G. Investigations on the adhesion and fatigue characteristics of hybrid surface-treated titanium alloy. Surf. Coat. Technol. 2022, 431, 128002. [Google Scholar] [CrossRef]
- Shinde, S.; Sampath, S. A critical analysis of the tensile adhesion test for thermally sprayed coatings. J. Therm. Spray Tech. 2022, 31, 2247–2279. [Google Scholar] [CrossRef]
- Nilsonthi, T.; Chandra-ambhorn, S.; Wouters, Y.; Galerie, A. Adhesion of thermal oxide scales on hot-rolled conventional and recycled steels. Oxid. Met. 2013, 79, 325–335. [Google Scholar] [CrossRef]
- Chandra-ambhorn, S.; Ngamkham, K.; Jiratthanakul, N. Effect of process parameters on mechanical adhesion of thermal oxide scale on hot-rolled low carbon steels. Oxid. Met. 2013, 80, 61–72. [Google Scholar] [CrossRef]
- ASTM E8M; Standard Test Methods for Tension Testing of Metallic Materials. ASTM International: West Conshohocken, PA, USA, 2024.
- Chen, R.Y.; Yuen, W.Y.D. Oxidation of low-carbon steel in 17H2O-N2 at 900 °C. Metal. Mater. Trans. A 2009, 40, 3091–3107. [Google Scholar] [CrossRef]
- Tsou, C.; Huang, Y.-S.; Li, H.-C.; Lai, T.-H. Determination of thermal expansion coefficient of thermal oxide. Sen. Mater. 2005, 17, 441–451. [Google Scholar]
- Takeda, M.; Onishi, T.; Nakakubo, S.; Fujimoto, S. Physical properties of iron-oxide scales on Si-containing steels at high temperature. Mater. Trans. 2009, 50, 2242–2246. [Google Scholar] [CrossRef]
- Cao, L.-F.; Xu, G.; Deng, P.; Wang, G.-X.; Hu, D.-J. Study on thermal expansion properties of steels. J. Univ. Sci. Technol. Beijing 2014, 36, 639–643. [Google Scholar] [CrossRef]
- Evans, H.E. Stress effects in high temperature oxidation of metals. Int. Mater. Rev. 1995, 40, 1–40. [Google Scholar] [CrossRef]
- Evans, H.E. Predicting oxide spallation from sulphur-contaminated oxide/metal interfaces. Oxid. Met. 2013, 79, 3–14. [Google Scholar] [CrossRef]
- Samsonov, G.V. The Oxide Handbook; IFI/Plenum: New York, NY, USA, 1973. [Google Scholar]
- Nagl, M.M.; Saunders, S.R.J.; Evans, W.T.; Hall, D.J. The tensile failure of nickel oxide scales at ambient and at growth temperature. Corros. Sci. 1993, 35, 965–977. [Google Scholar] [CrossRef]
- Krzyzanowski, M.; Beynon, J.H. Measurement of oxide properties for numerical evaluation of their failure under hot rolling conditions. J. Mater. Pro. Tech. 2002, 125-126, 398–404. [Google Scholar] [CrossRef]
- Ouglova, A.; Berthaud, Y.; Francois, M.; Foct, F. Mechanical properties of an iron oxide formed by corrosion in reinforced concrete structures. Corros. Sci. 2006, 48, 3988–4000. [Google Scholar] [CrossRef]
- Chicot, D.; Mendoza, J.; Zaoui, A.; Louis, G.; Lepingle, V.; Roudet, F.; Lesage, J. Mechanical properties of magnetite (Fe3O4), hematite (α-Fe2O3) and goethite (α-FeO·OH) by instrumented indentation and molecular dynamics analysis. Mater. Chem. Phys. 2011, 129, 862–870. [Google Scholar] [CrossRef]
- Hearmon, R.F.S. The elastic constants of crystals and other anisotropic materials. In Landolt-Börnstein Tables, III/11; Hellwege, K.H., Hellwege, A.M., Eds.; Springer: Berlin, Germany, 1979; Volume 854, pp. 1–244. [Google Scholar]
- Seo, M.; Chiba, M. Nano-mechano-electrochemistry of passive metal surfaces. Elec. Acta 2001, 47, 319–325. [Google Scholar] [CrossRef]
- Momber, A. Blast Cleaning Technology; Springer: Berlin/Heidelberg, Germany, 2008. [Google Scholar] [CrossRef]
- Gercek, H. Review Poisson’s ratio values for rocks. Inter. J. Rock Mech. Min. Sci. 2007, 44, 1–13. [Google Scholar] [CrossRef]
- Taniguchi, S.; Yamamoto, K.; Megumi, D.; Shibata, T. Characteristics of scale/substrate interface area of Si-containing low-carbon steels at high temperatures. Mater. Sci. Eng. A 2001, 308, 250–257. [Google Scholar] [CrossRef]
- Krzyzanowski, M.; Beynon, J.H.; Farrugia, D.C.J. Oxide Scale Behavior in High Temperature Metal Processing; Wiley-VCH: Weinheim, Germany, 2010. [Google Scholar]
- Panicaud, B.; Renault, P.O.; Grosseau-Poussard, J.L.; Dinhut, J.F.; Thiaudière, D.; Gailhanou, M. Measurement of stress in phosphated-iron oxide layers by In-situ diffraction of synchrotron radiation. Mater. Sci. Forum 2002, 404–407, 809–816. [Google Scholar] [CrossRef]
- Kim, B.-K. High Temperature Oxidation of Low Carbon Steel. Ph.D. Thesis, McGill University, Montréal, QC, Canada, 2003. [Google Scholar]
- Panicaud, B.; Grosseau-Poussard, J.L.; Girault, P.; Dinhut, J.F.; Thiaudière, D. Comparison of growth stress measurements with modelling in thin iron oxide films. Appl. Sur. Sci. 2006, 252, 8414–8420. [Google Scholar] [CrossRef]
- Juricic, C.; Pinto, H.; Cardinali, D.; Klaus, M.; Genzel, C.; Pyzalla, A.R. Evolution of microstructure and internal stresses in multi-phase oxide scales grown on (110) surfaces of iron single crystals at 650 °C. Oxi. Met. 2010, 73, 115–138. [Google Scholar] [CrossRef]
- Panicaud, B.; Grosseau-Poussard, J.L.; Renault, P.O.; Dinhut, J.F.; Thiaudière, D.; Gailhanou, M. In-situ stress determination in thermally-grown iron oxide scales using X-ray diffraction of synchrotron radiation. J. Neut. Res. 2004, 12, 57–61. [Google Scholar] [CrossRef]
- Juricic, C.; Pinto, H.; Wroblewski, T.; Pyzalla, A. Dependence of oxidation behavior and residual stresses in oxide layers on armco iron substrate surface condition. Mater. Sci. Forum. 2006, 524–525, 963–968. [Google Scholar] [CrossRef]















| Material Source | C | Si | Cu | Mn | P | S | Fe |
|---|---|---|---|---|---|---|---|
| Medium slab | 0.064 | 0.254 | 0.199 | 0.384 | 0.007 | 0.007 | Balance |
| Thin slab | 0.057 | 0.153 | 0.196 | 0.376 | 0.009 | 0.005 | Balance |
| Element | Weight% | Atomic% | ||
|---|---|---|---|---|
| Medium Slab | Thin Slab | Medium Slab | Thin Slab | |
| Fe | 64.96 | 46.89 | 33.11 | 18.42 |
| Si | 3.11 | 1.75 | 3.15 | 1.37 |
| C | 12.97 | 22.71 | 30.74 | 41.47 |
| O | 18.37 | 28.09 | 32.69 | 38.52 |
| Material Source | Average scale Thickness (μm) | ||
|---|---|---|---|
| 10% H2O-N2 | 20% H2O-N2 | 30% H2O-N2 | |
| Medium slab | 7.532 ± 0.602 | 9.208 ± 0.736 | 12.420 ± 0.602 |
| Thin slab | 8.035 ± 1.650 | 10.072 ± 1.213 | 12.550 ± 0.596 |
| Steel Made from Slab Type | , H2O Concentration (%) | (J/mol) | X (arb. Unit) | Relative (X) |
|---|---|---|---|---|
| Thin slab (0.153 wt.% Si) | 10 | 180,530 | 9.15 × 10−9 | 1.00 |
| 20 | 179,530 | 1.01 × 10−8 | 1.10 | |
| 30 | 178,530 | 1.12 × 10−8 | 1.22 | |
| Medium slab (0.254 wt.% Si) | 10 | 181,540 | 8.25 × 10−9 | 0.90 |
| 20 | 180,540 | 9.14 × 10−9 | 1.00 | |
| 30 | 179,540 | 1.01 × 10−8 | 1.10 |
| Material Source | Scale Thickness (μm) | ||
|---|---|---|---|
| 10% H2O-N2 | 20% H2O-N2 | 30% H2O-N2 | |
| Medium slab | 7.532 ± 0.602 | 9.208 ± 0.736 | 12.420 ± 0.602 |
| Thin slab | 8.035 ± 0.850 | 10.072 ± 1.213 | 12.550 ± 0.596 |
| Strain initiating the first spallation (%) | |||
| Medium slab | 3.783 ± 0.034 | 3.225 ± 0.007 | 2.441 ± 0.132 |
| Thin slab | 3.346 ± 0.061 | 2.838 ± 0.122 | 2.214 ± 0.013 |
| Mechanical adhesion energy (J/m2) | |||
| Medium slab | 413.809 ± 7.595 | 363.094 ± 1.644 | 273.641 ± 31.082 |
| Thin slab | 342.116 ± 12.882 | 304.113 ± 13.708 | 224.074 ± 2.691 |
Disclaimer/Publisher’s Note: The statements, opinions and data contained in all publications are solely those of the individual author(s) and contributor(s) and not of MDPI and/or the editor(s). MDPI and/or the editor(s) disclaim responsibility for any injury to people or property resulting from any ideas, methods, instructions or products referred to in the content. |
© 2025 by the author. Licensee MDPI, Basel, Switzerland. This article is an open access article distributed under the terms and conditions of the Creative Commons Attribution (CC BY) license (https://creativecommons.org/licenses/by/4.0/).
Share and Cite
Nilsonthi, T. Novel Macro-Tensile Approach for Quantifying Oxide Scale Adhesion Energy on Recycled Hot-Rolled Steel: Interplay of Steam and Silicon. Metals 2025, 15, 1277. https://doi.org/10.3390/met15121277
Nilsonthi T. Novel Macro-Tensile Approach for Quantifying Oxide Scale Adhesion Energy on Recycled Hot-Rolled Steel: Interplay of Steam and Silicon. Metals. 2025; 15(12):1277. https://doi.org/10.3390/met15121277
Chicago/Turabian StyleNilsonthi, Thanasak. 2025. "Novel Macro-Tensile Approach for Quantifying Oxide Scale Adhesion Energy on Recycled Hot-Rolled Steel: Interplay of Steam and Silicon" Metals 15, no. 12: 1277. https://doi.org/10.3390/met15121277
APA StyleNilsonthi, T. (2025). Novel Macro-Tensile Approach for Quantifying Oxide Scale Adhesion Energy on Recycled Hot-Rolled Steel: Interplay of Steam and Silicon. Metals, 15(12), 1277. https://doi.org/10.3390/met15121277

