The Impact of Electron Beam Melting on the Purification of Recycled Zirconium
Abstract
1. Introduction
2. Material and Methods
3. Results and Discussion
3.1. Thermodynamic Analysis of the Zirconium Refining Process Under EBM Conditions
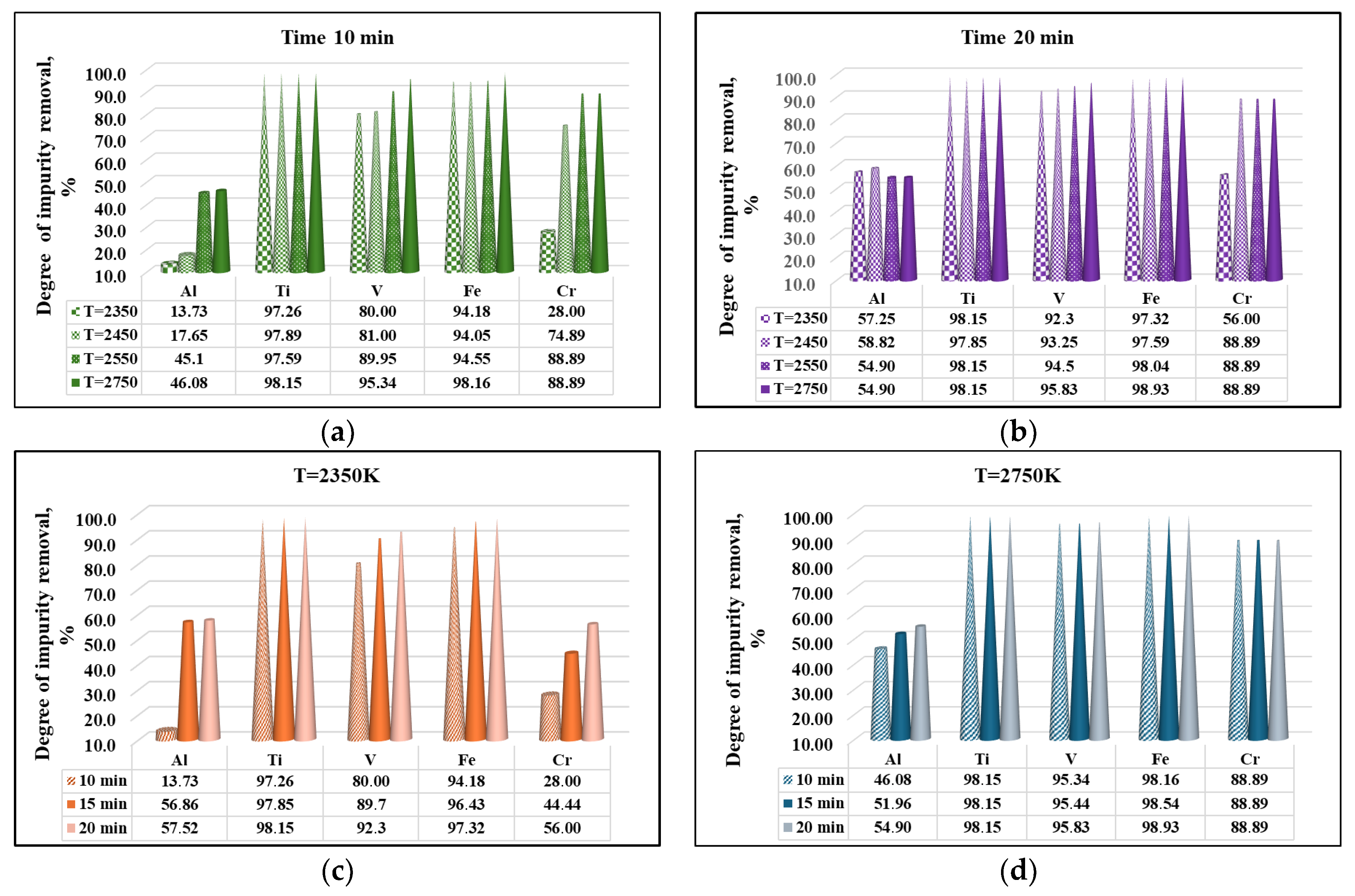
3.2. Refining Efficiency at EBM of Zirconium Scrap
3.3. Microstructure of Samples Obtained After EBMR of Technogenic Zirconium
3.4. Micro-Hardness Measurement
4. Conclusions
- Impurities present in technogenic zirconium will evaporate in the following order: Cu, Al, Ni, Fe, Cr, Ti, and V, based on the calculated values of their vapor pressures (pCu(l) > pAl(l) > pNi(l) > pFe(l) > pCr(s,l) > pTi(l) > pV(l) > pZr(l)) in the studied temperature range (2350–2750 K). Under certain conditions, hafnium can be removed together with the base metal Zr due to the slight difference in pZr and pHf values, which is an undesirable process leading to losses of the base metal.
- Removal by evaporation of ZrO2(s), Cr2O3(s,l), HfO2(s), and Al2O3(l) is thermodynamically impossible, due to their significantly lower vapor pressure than that of the liquid zirconium. The removal of these oxides under EBM conditions is also ineffective due to the much larger values of their relative volatilities (αi) than that of the base metal (Zr).
- NiO, FeO, and TiO2 can be removed by distillation based on the calculated values of their vapor pressures (pNiO(l) > pFeO(l) > pTiO2(l) > pZr(l)) and their relative volatilities.
- Non-metallic impurities (O, C) present in technogenic Zr can be removed in the form of CO(g) and CO2(g), which are products of interaction between ZrC and Cu2O, NiO, FeO, Cr2O3, V2O3, and TiO2.
- The maximum overall refining efficiency is 87%, and the purity of Zr is 99.756%. Of the impurities present in technogenic zirconium, the degree of removal of Al (54.9%) is the lowest, which mainly affects the microstructure and micro-hardness of the ingots obtained after refining. Al can remain in zirconium both in the form of the intermetallic compound Al3Zr and in the form of Al2O3, which has a low vapor pressure and is not removed during refining.
Author Contributions
Funding
Data Availability Statement
Acknowledgments
Conflicts of Interest
References
- Gupta, C.K. Chemical Metallurgy: Principles and Practice; Wiley-VCH: Weinheim, Germany, 2003; ISBN 3-527-30376-6. [Google Scholar]
- Garde, A.M. Current Perspectives on Zirconium Use in Light Water Reactor Fuel and Its Continued Use in Nuclear Power; ASTM Special Technical Publication: West Conshohocken, PA, USA, 2023; Volume STP 1645, pp. 1–23. [Google Scholar] [CrossRef]
- Mukhachev, A.; Yelatontsev, D.; Kharytonova, O.; Grechanyuk, N. Production of Neutron-Absorbing Zirconium-Boron Alloy by Self-Propagating High-Temperature Synthesis and Its Refining via Electron Beam Melting. Alloys 2024, 3, 232–245. [Google Scholar] [CrossRef]
- Majumdar, S.; Rupa, P.V.; Kumar, N.; Singh, R.N.; Choudhury, P.; Chakravartty, J.K. Preparation and characterization of Nb-1Zr-0.1C alloy suitable for liquid metal coolant channels of high temperature reactors. J. Nucl. Eng. Radiat. Sci. 2021, 7, 011603. [Google Scholar] [CrossRef]
- Fattah-alhosseini, A.; Chaharmahali, R.; Keshavarz, M.K.; Babaei, K. Surface characterization of bioceramic coatings on Zr and its alloys using plasma electrolytic oxidation (PEO): A review. Surf. Interfaces 2021, 25, 101283. [Google Scholar] [CrossRef]
- Wang, Y.; Zhao, X.; Li, S.; Liu, L.; Zhang, D.; Niinomi, M. Low-cost surface modification of a biomedical Zr-2.5Nb alloy fabricated by electron beam melting. J. Mater. Sci. Technol. 2023, 143, 178–188. [Google Scholar] [CrossRef]
- Lin, J.; Yao, M.; Chen, Z.; Xu, S.; Hu, L. Research Progress of Zirconium-based Biomedical Alloys. Cailiao Daobao/Mater. Rep. 2025, 39, 24020141. [Google Scholar]
- Xun, D.; Liu, M.; Hao, H.; Sun, X.; Geng, Y.; You, F.; Dou, H.; Li, H.; Dong, Z. Sustainable supply of critical materials for water electrolysers and fuel cells. Commun. Earth Environ. 2025, 6, 627. [Google Scholar] [CrossRef]
- Pylypenko, M.M. High pure zirconium. Probl. At. Sci. Technol. 2018, 1, 3–8. [Google Scholar]
- Markelov, V.A.; Malgin, A.G.; Filatova, N.K.; Novikov, V.V.; Shevyakov, A.Y.; Gusev, A.Y.; Shelepov, I.A.; Golovin, A.V.; Ugryumov, A.V.; Dolgov, A.B.; et al. Fabrication of E110 Alloy Fuel Rod Claddings from Electrolytic Zirconium Base with Removing Fluorine Impurity for Providing Resistance to Breakaway Oxidation in High-Temperature Steam; ASTM Special Technical Publication: West Conshohocken, PA, USA, 2021; Volume STP 1622, pp. 123–148. [Google Scholar] [CrossRef]
- Liu, H.; Wang, J.; Xu, G.; Zhao, H.; Hu, C.; Liu, L.; Chang, Z. Research Progress in Solvent Extraction and Separation of Nuclear Grade Zirconium and Hafnium. Mater. China 2023, 42, 335–342. [Google Scholar] [CrossRef]
- Li, S.; Che, Y.; Shu, Y.; He, J.; Song, J.; Yang, B. Review-Preparation of Zirconium Metal by Electrolysis. J. Electrochem. Soc. 2021, 168, 062508. [Google Scholar] [CrossRef]
- Orino, T.; Cao, Y.; Tashiro, R.; Takeyama, T.; Gericke, R.; Tsushima, S.; Takao, K. Utility of Interchangeable Coordination Modes of N,N′-Dialkyl-2,6-pyridinediamide Tridentate Pincer Ligands for Solvent Extraction of Pd(II) and Zr(IV) from High-Level Radioactive Liquid Waste. Inorg. Chem. 2024, 63, 24647–24661. [Google Scholar] [CrossRef]
- Mladenov, G.; Koleva, E.; Vutova, K.; Vasileva, V. Experimental and theoretical studies of electron beam melting and refining. In Practical Aspects and Applications of Electron Beam Irradiation; Nemtanu, M., Brasoveanu, M., Eds.; Transworld Research Network: Trivandrum, India, 2011; pp. 43–93. [Google Scholar]
- Long, L.; Liu, W.; Ma, Y.; Liu, Y.; Liu, S. Refining tungsten purification by electron beam melting based on the thermal equilibrium calculation and tungsten loss control. High Temp. Mater. Process. 2015, 34, 605–610. [Google Scholar] [CrossRef]
- Vutova, K.; Vassileva, V.; Stefanova, V.; Amalnerkar, D.; Tanaka, T. Effect of electron beam method on processing of titanium technogenic material. Metals 2019, 9, 683. [Google Scholar] [CrossRef]
- Sankar, M.; Mirji, K.V.; Prasad, V.S.; Baligidad, R.G.; Gokhale, A.A. Purification of niobium by electron beam melting. High Temp. Mater. Process. 2016, 35, 621–627. [Google Scholar] [CrossRef]
- Vutova, K.; Stefanova, V.; Iliev, P. Application of electron beam melting method for recycling of tantalum scrap. Mater. Res. Express 2024, 11, 106505. [Google Scholar] [CrossRef]
- Yu, J.W.; Choi, S.H.; Sim, J.J.; Lim, J.H.; Seo, K.D.; Hyun, S.K.; Kim, T.Y.; Gu, B.W.; Park, K.T. Fabrication of 4N5 Grade Tantalum Wire from Tantalum Scrap by EBM and Drawing. Arch. Metall. Mater. 2019, 64, 935–941. [Google Scholar] [CrossRef]
- Heng, H.; Kunfeng, C.; Dongfeng, X. Research progress of high purity tantalum niobium. Inorg. Chem. Ind. 2024, 56, 1–12. [Google Scholar] [CrossRef]
- Vutova, K.; Vassileva, V.; Stefanova, V.; Naplatanova, M. Influence of process parameters on the metal quality at electron beam melting of molybdenum. In Proceedings of the 11th International Symposium on High-Temperature Metallurgical Processing, San Diego, CA, USA, 23–27 February 2020; The Minerals, Metals & Materials Series. Springer: Cham, Switzerland, 2020; pp. 941–951. [Google Scholar] [CrossRef]
- Zhang, Q.; Luo, X.; Zhu, Z.; You, X.; Zhao, Z. Purification of molybdenum by electron beam bath smelting. Sep. Purif. Technol. 2025, 376, 133891. [Google Scholar] [CrossRef]
- Markov, M.; Stefanova, V.; Vutova, K. The effectiveness of electron beam melting for removing impurities from technogenic metal materials. J. Chem. Technol. Metall. 2024, 59, 419–430. [Google Scholar] [CrossRef]
- Huang, J.; Liu, H.; Ma, Z.; Yan, G.; Wang, L. Perpetration of Zr from ZrO2 by Aluminothermic Reduction. Xiyou Jinshu/Chin. J. Rare Met. 2021, 45, 1103–1110. [Google Scholar]
- Kalugin, A. Electron Beam Melting of Metals; Metallurgy Publishing House: Moscow, Russia, 1980. (In Russian) [Google Scholar]
- Perevislov, S.N.; Vysotin, A.B.; Shcherbakova, O.Y. Studying the properties of carbides in the system ZrC-HfC, TaC-ZrC, TaC-HfC. IOP Conf. Ser. Mater. Sci. Eng. 2020, 848, 1–5. [Google Scholar] [CrossRef]
- Ishikawa, T.; Paradis, P.F.; Koyama, C. Thermophysical property measurements of refractory oxide melts with an electrostatic levitation furnace in the International Space Station. Front. Mater. 2022, 9, 954126. [Google Scholar] [CrossRef]
- Paradis, P.F.; Ishikawa, T.; Saita, Y.; Yoda, S. Non-contact thermophysical property measurements of liquid and under cooled alumina. Jpn. J. Appl. Phys. 2004, 43, 1496. [Google Scholar] [CrossRef]
- Dingwell, D.B. The Density of Titanium (IV) Oxide Liquid. J. Am. Ceram. Soc. 1991, 74, 2718–2719. [Google Scholar] [CrossRef]
- Alderman, O.L.G.; Skinner, L.B.; Benmore, C.J.; Tamalonis, A.; Weber, J.K.R. Structure of molten titanium dioxide. Phys. Rev. B 2014, 90, 094204. [Google Scholar] [CrossRef]
- Outotec. HSC Chemistry ver. 10; Outotec, Research Center Pori: Pori, Finland, 2025; Available online: https://www.metso.com/portfolio/hsc-chemistry (accessed on 16 September 2025).
- Bobrov, U.P.; Virich, V.D.; Dimitrenko, A.E.; Koblik, D.V.; Kovtun, G.P.; Manjos, V.V.; Pilipenko, N.N.; Tancura, I.G.; Shterban, A.P. Refining of Ruthenium by electron beam melting. Vopr. At. Nauk. I Tekhniki Vac. Pure Mater. Supercond. 2011, 6, 11–17. (In Russian) [Google Scholar]
- Kubaschewski, O.; Alcock, C.B. Metallurgical Thermochemistry, 5th ed.; Pergamon Press Ltd.: Oxford, UK, 1979. [Google Scholar]
- Ushakov, S.V.; Navrotsky, A.; Hong, Q.J.; van de Walle, A. Carbides and Nitrides of Zirconium and Hafnium. Materials 2019, 12, 2728. [Google Scholar] [CrossRef] [PubMed]
- Réjasse, F.; Rapaud, O.; Trolliard, G.; Masson, O.; Maître, A. Experimental investigation and thermodynamic evaluation of the C-Hf-O ternary system. J. Am. Ceram. Soc. 2017, 100, 3757–3770. [Google Scholar] [CrossRef]
- Abriata, J.P.; Bolcich, J.C.; Peretti, H.A. The Hf-Zr (Hafnium-Zirconium) System. Bull. Alloy Phase Diagr. 1982, 3, 29–34. [Google Scholar] [CrossRef]
- Khlebnikova, Y.V.; Sazonova, V.A.; Rodionov, D.P.; Vil’danova, N.F.; Egorova, L.Y.; Kaletina, Y.V.; Solodova, I.L.; Umova, V.M. Formation of macro- and microstructure during the β→α transformation in zirconium single crystals. Phys. Met. Metallogr. 2009, 108, 254–262. [Google Scholar] [CrossRef]
- Mahmoud, A.E.; Mahfouz, M.G.; Gad-Elrab, H.G.; Doheim, M.A. Grain Refinement of Commercial Pure Aluminium by Zirconium. J. Eng. Sci. Assiut Univ. Fac. Eng. 2014, 42, 1232–1241. [Google Scholar] [CrossRef]
- Jerebtsov, D.A.; Mikhailov, G.G.; Sverdina, S.V. Phase diagram of the system: Al2O3±ZrO2. Ceram. Int. 2000, 26, 821–823. [Google Scholar] [CrossRef]
- Kirilova, S.A.; Almjashev, V.I.; Stolyarova, V.L. Phase equilibria and materials in the TiO2-SiO2-ZrO2 system: A review. Nanosyst. Phys. Chem. Math. 2021, 12, 711–727. [Google Scholar] [CrossRef]
- Jerebtsov, D.A.; Mikhailov, G.G.; Sverdina, S.V. Phase diagram of the system: ZrO2-Cr2O3. Ceram. Int. 2001, 27, 247–250. [Google Scholar] [CrossRef]
- Liu, Y.; Yin, Z.; Lou, H.; Liang, T.; Dong, H.; Xu, D.; Song, C.; Wang, Q.; Chen, S.; Zhang, X.; et al. The effect of impurities in zirconium on the formation and mechanical properties of Zr55Cu30Al10Ni5 metallic glass. J. Non-Cryst. Solids 2022, 596, 121878. [Google Scholar] [CrossRef]
- Yue, M.; Liu, Y.; He, G.; Lian, L. Microstructure and mechanical performance of zirconium, manufactured by selective laser melting. Mater. Sci. Eng. A 2022, 840, 142900. [Google Scholar] [CrossRef]
- Hua, Q.; Wang, W.; Li, R.; Zhu, H.; Lin, Z.; Xu, R.; Yuan, T.; Liu, K. Microstructures and Mechanical Properties of Al-Mg-Sc-Zr Alloy Additively Manufactured by Laser Direct Energy Deposition. Chin. J. Mech. Eng. Addit. Manuf. Front. 2022, 1, 100057. [Google Scholar] [CrossRef]
- Haroonia, A.; Iravania, M.; Khajepoura, A.; King, J.M.; Khalifa, A.; Gerlich, A.P. Mechanical properties and microstructures in zirconium deposited by injected powder laser additive manufacturing. Addit. Manuf. 2018, 22, 537–547. [Google Scholar] [CrossRef]
- Ramani, S.V.; Rodriguez, P. Grain size dependence of the deformation behaviour of alpha zirconium. Can. Metall. Q. 1972, 11, 61–67. [Google Scholar] [CrossRef]
- Azhazha, V.M.; V’yugov, P.N.; Lavrinenko, S.D.; Pilipenko, N.N. Vacuum Conditions and EBM of Zirconium. Voprosy atomnoj nauki i tehniki. Fizika radiacionnyh povreždenij i radiacionnoe materialovedenie 2006, 4/89, 144–151. (In Russian) [Google Scholar]













| CZr | CAl | CTi | CHf | CV | CFe | CCr | CCu | CNi | ∑impurities, % |
|---|---|---|---|---|---|---|---|---|---|
| 98.15 | 0.51 | 1.2 | 0.05 | 0.2 | 0.56 | 0.045 | 0.03 | 0.03 | 1.85 |
| Sample | T | Time | Zr | Al | Ti | Hf | V | Fe | Cr | Cu | Ni | ∑impurities |
|---|---|---|---|---|---|---|---|---|---|---|---|---|
| No | K | min | % | ppm | ppm | ppm | ppm | ppm | ppm | ppm | ppm | % |
| Zr_01 | Initial sample | 98.150 | 5100 | 2700 | 500 | 2000 | 5600 | 450 | 300 | 300 | 1.85 | |
| Zr_10 | 2350 | 10 | 99.447 | 4400 | 74 | <50 | 400 | 326 | 324 | <50 | <50 | 0.553 |
| Zr_3 | 15 | 99.708 | 2200 | 58 | <50 | 206 | 200 | 250 | <50 | <50 | 0.292 | |
| Zr_9 | 20 | 99.726 | 2180 | <50 | <50 | 154 | 150 | 198 | <50 | <50 | 0.274 | |
| Zr_2 | 2450 | 10 | 99.490 | 4200 | 57 | <50 | 380 | 333 | 113 | <50 | <50 | 0.510 |
| Zr_5 | 15 | 99.734 | 2200 | 77 | <50 | 193 | 180 | <50 | <50 | <50 | 0.266 | |
| Zr_4 | 20 | 99.756 | 2100 | 67 | <50 | 135 | 135 | <50 | <50 | <50 | 0.244 | |
| Zr_1 | 2550 | 10 | 99.663 | 2800 | 65 | <50 | 201 | 305 | <50 | <50 | <50 | 0.337 |
| Zr_6 | 15 | 99.707 | 2500 | 60 | <50 | 196 | 168 | <50 | <50 | <50 | 0.293 | |
| Zr_7 | 20 | 99.743 | 2300 | 50 | <50 | 110 | 110 | <50 | <50 | <50 | 0.257 | |
| Zr_11 | 2750 | 10 | 99.705 | 2750 | <50 | <50 | 93.2 | 103 | <50 | <50 | <50 | 0.295 |
| Zr_8 | 15 | 99.737 | 2450 | <50 | <50 | 91.2 | 82 | <50 | <50 | <50 | 0.263 | |
| Zr_12 | 20 | 99.756 | 2300 | <50 | <50 | 83.4 | 60 | <50 | <50 | <50 | 0.244 | |
| Sample | T | Time | Average Hardness | Standard Deviation |
|---|---|---|---|---|
| No | K | min | (MPa) | (MPa) |
| Zr_01 | Initial sample | 2907 | 120.36 | |
| Zr_10 | 2350 | 10 | 2706 | 115.42 |
| Zr_3 | 15 | 2661 | 91.00 | |
| Zr_9 | 20 | 2692 | 92.42 | |
| Zr_2 | 2450 | 10 | 2593 | 113.88 |
| Zr_5 | 15 | 2582 | 66.86 | |
| Zr_4 | 20 | 2588 | 64.05 | |
| Zr_1 | 2550 | 10 | 2583 | 112.51 |
| Zr_6 | 15 | 2581 | 88.31 | |
| Zr_7 | 20 | 2572 | 88.42 | |
| Zr_11 | 2750 | 10 | 2576 | 84.01 |
| Zr_8 | 15 | 2559 | 87.29 | |
| Zr_12 | 20 | 2550 | 89.62 | |
Disclaimer/Publisher’s Note: The statements, opinions and data contained in all publications are solely those of the individual author(s) and contributor(s) and not of MDPI and/or the editor(s). MDPI and/or the editor(s) disclaim responsibility for any injury to people or property resulting from any ideas, methods, instructions or products referred to in the content. |
© 2025 by the authors. Licensee MDPI, Basel, Switzerland. This article is an open access article distributed under the terms and conditions of the Creative Commons Attribution (CC BY) license (https://creativecommons.org/licenses/by/4.0/).
Share and Cite
Vutova, K.; Stefanova, V.; Manoilov, E.; Mihailova, I.; Naplatanova, M.; Iliev, P. The Impact of Electron Beam Melting on the Purification of Recycled Zirconium. Metals 2025, 15, 1273. https://doi.org/10.3390/met15111273
Vutova K, Stefanova V, Manoilov E, Mihailova I, Naplatanova M, Iliev P. The Impact of Electron Beam Melting on the Purification of Recycled Zirconium. Metals. 2025; 15(11):1273. https://doi.org/10.3390/met15111273
Chicago/Turabian StyleVutova, Katia, Vladislava Stefanova, Evgeniy Manoilov, Irena Mihailova, Maria Naplatanova, and Peter Iliev. 2025. "The Impact of Electron Beam Melting on the Purification of Recycled Zirconium" Metals 15, no. 11: 1273. https://doi.org/10.3390/met15111273
APA StyleVutova, K., Stefanova, V., Manoilov, E., Mihailova, I., Naplatanova, M., & Iliev, P. (2025). The Impact of Electron Beam Melting on the Purification of Recycled Zirconium. Metals, 15(11), 1273. https://doi.org/10.3390/met15111273

