A Quick Thickness Measurement Method for Ti-Alloy Sheets Based on a Novel Low-Frequency Phase Feature Model in Eddy Current Testing
Abstract
1. Introduction
2. Low-Frequency ECT Response of Ti-Alloy Sheets
2.1. ECT Principle and Traditional Analytical Model
2.2. Observation of Linear Change in the Phase of Coil Impedance Variation
2.3. The Performance of Linear Relationship on Different Grades of Ti-Alloys
3. Linear Relationship Analysis and Analytical Modeling
3.1. Coil Impedance Variation Model for Low-Frequency ECT of Ti-Alloy Sheets
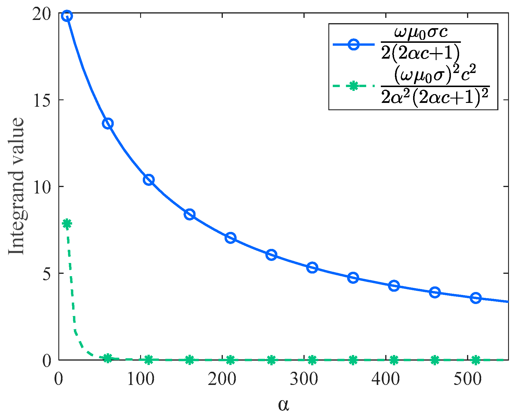
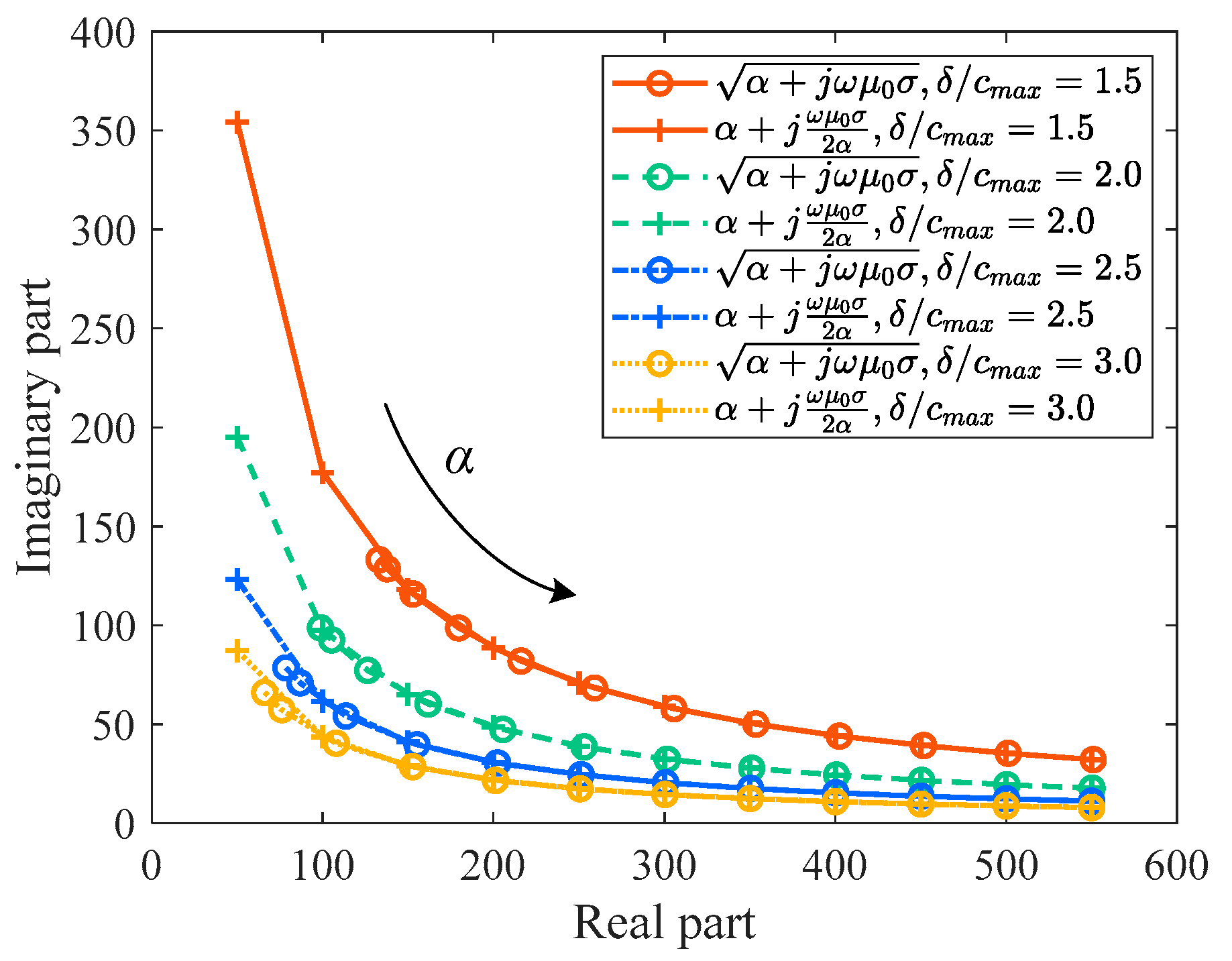
3.2. Modeling Phase Feature Through Coil Impedance Component Separation
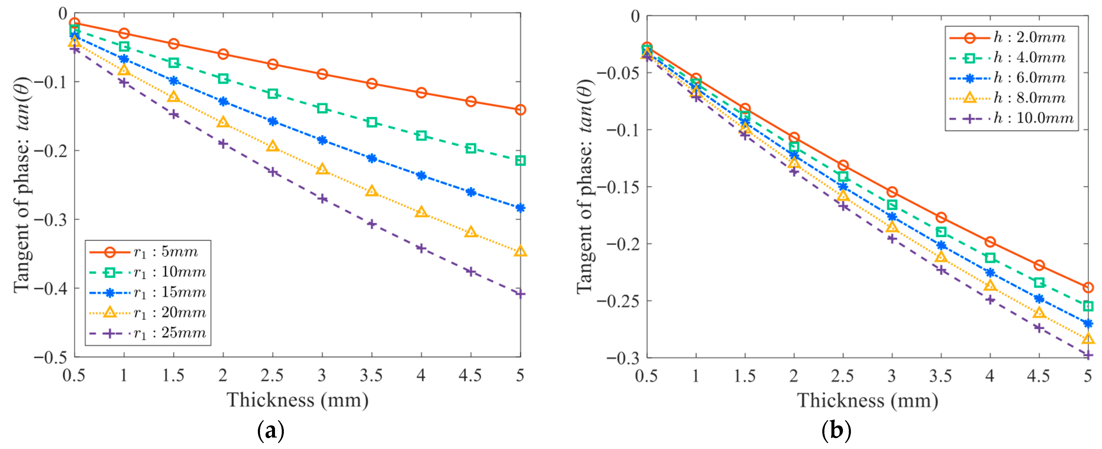
3.3. Analysis of Coil Geometry in the Model
4. Experiments and Discussion
4.1. Experimental Setup
4.2. Experimental Results
4.3. Practical Application and Comparative Analysis
5. Conclusions
Author Contributions
Funding
Data Availability Statement
Conflicts of Interest
References
- Fang, X.; Liu, L.; Lu, J.; Gao, Y. Optimization of Forging Process Parameters and Prediction Model of Residual Stress of Ti-6Al-4V Alloy. Adv. Mater. Sci. Eng. 2021, 2021, 3105470. [Google Scholar] [CrossRef]
- Najafizadeh, M.; Yazdi, S.; Bozorg, M.; Ghasempour-Mouziraji, M.; Hosseinzadeh, M.; Zarrabian, M.; Cavaliere, P. Classification and applications of titanium and its alloys: A review. J. Alloys Compd. Commun. 2024, 3, 100019. [Google Scholar] [CrossRef]
- Williams, J.C.; Boyer, R.R. Opportunities and Issues in the Application of Titanium Alloys for Aerospace Components. Metals 2020, 10, 705. [Google Scholar] [CrossRef]
- Bran, D.; Elefterie, C.; Ghiban, B. Aeronautical Industry Requirements for Titanium Alloys. IOP Conf. Ser. Mater. Sci. Eng. 2017, 209, 012059. [Google Scholar] [CrossRef]
- Zhao, H.; Zhou, Z.; Zhang, D.; Wang, D. Inspection of disbonds in titanium alloy honeycomb sandwich structures with different skin thicknesses using linear frequency-modulated thermography. Appl. Opt. 2020, 59, 7186–7194. [Google Scholar] [CrossRef]
- Ogawa, K.; Harada, Y. Effect of Heat Treatment on Mechanical Properties of Heavily Cold Rolled Pure Titanium. In Proceedings of the Mechanical Engineering Congress, Toyama, Japan, 11–14 September 2022. [Google Scholar]
- Satoh, J.; Gotoh, M.; Maeda, Y. Stretch-drawing of titanium sheets. J. Mater. Process. Technol. 2003, 139, 201–207. [Google Scholar] [CrossRef]
- Saidi, B.; Moreau, L.G.; Cherouat, A.; Nasri, R. Accuracy and Sheet Thinning Improvement of Deep Titanium Alloy Part with Warm Incremental Sheet-Forming Process. J. Manuf. Mater. Process. 2021, 5, 122. [Google Scholar] [CrossRef]
- Honarvar, F.; Varvani-Farahani, A. A review of ultrasonic testing applications in additive manufacturing: Defect evaluation, material characterization, and process control. Ultrasonics 2020, 108, 106227. [Google Scholar] [CrossRef]
- Yanqin, L.; Huaili, Q.; Aifeng, L.; Shan, K.; Guang, Y.; Qiang, W.; Jingjing, L. Mass thickness detection and verification for radiation processing products based on X-ray detection technology. J. Radiat. Res. Radiat. Process. 2021, 39, 63–71. [Google Scholar]
- Repelianto, A.S.; Kasai, N.; Sekino, K.; Matsunaga, M. A Uniform Eddy Current Probe with a Double-Excitation Coil for Flaw Detection on Aluminium Plates. Metals 2019, 9, 1116. [Google Scholar] [CrossRef]
- Gao, P.; Yan, X.; He, J.; Yang, H.; Chen, X.; Gao, X. Processing of Eddy Current Infrared Thermography and Magneto-Optical Imaging for Detecting Laser Welding Defects. Metals 2025, 15, 119. [Google Scholar] [CrossRef]
- Lee, K.; Hao, B.; Li, M.; Bai, K. Multiparameter Eddy-Current Sensor Design for Conductivity Estimation and Simultaneous Distance and Thickness Measurements. IEEE Trans. Ind. Inf. 2019, 15, 1647–1657. [Google Scholar] [CrossRef]
- Ulapane, N.; Nguyen, L. Review of Pulsed-Eddy-Current Signal Feature-Extraction Methods for Conductive Ferromagnetic Material-Thickness Quantification. Electronics 2019, 8, 470. [Google Scholar] [CrossRef]
- Angani, C.S.; Park, D.G.; Kim, G.D.; Kim, C.G.; Cheong, Y.M. Differential pulsed eddy current sensor for the detection of wall thinning in an insulated stainless steel pipe. J. Appl. Phys. 2010, 107, 09E720. [Google Scholar] [CrossRef]
- Wang, H.; Li, W.; Feng, Z. Noncontact Thickness Measurement of Metal Films Using Eddy-Current Sensors Immune to Distance Variation. IEEE Trans. Instrum. Meas. 2015, 64, 2557–2564. [Google Scholar] [CrossRef]
- Nebair, H.; Cheriet, A.; Ghoul, I.E.; Helifa, B.; Bensaid, S.; Lefkaier, I. Bi-eddy current sensor based automated scanning system for thickness measurement of thick metallic plates. Int. J. Adv. Manuf. Technol. 2018, 96, 2867–2873. [Google Scholar] [CrossRef]
- Lu, M.; Meng, X.; Huang, R.; Chen, L.; Peyton, A.; Yin, W.; Qu, Z. Thickness measurement of circular metallic film using single-frequency eddy current sensor. NDT E Int. 2021, 119, 102420. [Google Scholar] [CrossRef]
- Lu, M.; Chen, L.; Meng, X.; Huang, R.; Peyton, A.; Yin, W. Thickness Measurement of Metallic Film Based on a High-Frequency Feature of Triple-Coil Electromagnetic Eddy Current Sensor. IEEE Trans. Instrum. Meas. 2021, 70, 6001208. [Google Scholar] [CrossRef]
- Li, C.; Fan, M.; Cao, B.; Wang, Q. Accurate Thickness Measurement Using Eddy Current System Based on Novel Transformer Model. IEEE Trans. Instrum. Meas. 2022, 71, 6007712. [Google Scholar] [CrossRef]
- Li, C.; Fan, M.; Cao, B.; Ye, B.; Wang, Q.; Jiang, J. Thickness Measurement of Thermal Barrier Coating Based on Mutual Inductance of Eddy Current System. IEEE Trans. Ind. Electron. 2024, 71, 8099–8109. [Google Scholar] [CrossRef]
- Sardellitti, A.; Milano, F.; Laracca, M.; Ventre, S.; Ferrigno, L.; Tamburrino, A. An Eddy-Current Testing Method for Measuring the Thickness of Metallic Plates. IEEE Trans. Instrum. Meas. 2023, 72, 6004610. [Google Scholar] [CrossRef]
- Xia, Z.; Huang, R.; Lu, M.; Yin, W. Thickness and Permeability Estimation of Metallic Plates by Triple-Frequency Eddy-Current Testing with Probe Lift-Off. IEEE Trans. Instrum. Meas. 2024, 73, 6000208. [Google Scholar] [CrossRef]
- She, S.; Xia, Z.; Zheng, X.; Yin, W. Simultaneous measurements of metal thickness and defect depth using low frequency sweeping eddy current testing. In Proceedings of the 2024 IEEE International Instrumentation and Measurement Technology Conference (I2MTC), Glasgow, UK, 20–23 May 2024; pp. 1–5. [Google Scholar]
- Yan, C.; Bao, J.; Zheng, X. Conductivity Measurement for Non-Magnetic Materials Using Eddy Current Method with a Novel Simplified Model. Sensors 2025, 25, 3900. [Google Scholar] [CrossRef]
- Zhang, J.; Yuan, M.; Xu, Z.; Kim, H.-J.; Song, S.-J. Analytical approaches to eddy current nondestructive evaluation for stratified conductive structures. J. Mech. Sci. Technol. 2015, 29, 4159–4165. [Google Scholar] [CrossRef]
- Dodd, C.V.; Deeds, W.E. Analytical solutions to eddy current probe coil problems. J. Appl. Phys. 1968, 39, 2829–2838. [Google Scholar] [CrossRef]
- Li, W.; Ye, Y.; Zhang, K.; Feng, Z. A Thickness Measurement System for Metal Films Based on Eddy-Current Method With Phase Detection. IEEE Trans. Ind. Electron. 2017, 64, 3940–3949. [Google Scholar] [CrossRef]
- Angani, C.S.; Ramos, H.G.; Ribeiro, A.L.; Rocha, T.J. Evaluation of transient eddy current oscillations response for thickness measurement of stainless steel plate. Measurement 2016, 90, 59–63. [Google Scholar] [CrossRef]
- Yin, W.; Peyton, A.J. Thickness measurement of non-magnetic plates using multi-frequency eddy current sensors. NDT E Int. 2007, 40, 43–48. [Google Scholar] [CrossRef]
- Yin, W.; Peyton, A.J. Thickness Measurement of Metallic Plates with an Electromagnetic Sensor Using Phase Signature Analysis. IEEE Trans. Instrum. Meas. 2008, 57, 1803–1807. [Google Scholar] [CrossRef]
- Dodd, C.V. Thickness measurements using eddy current techniques. Mater. Eval. 1973, 31, 73. [Google Scholar]
- Zhang, S.; Ma, Y.; Wang, Q.; Qi, M.; Huang, S.; Lei, J.; Yang, R. Mechanical Properties and Electrical Conductivity of α + β Titanium Alloy Sheet Regulated by Heat Treatment. Acta Met. Sin 2023, 60, 1622–1636. [Google Scholar]
- Wang, S.; Zeng, Z.; Liao, Y.; Cao, Z. The roles of conductivity in eddy current distributions in nondestructive testing of isotropic and anisotropic materials. Nondestr. Test. Eval. 2025, 1–16. [Google Scholar] [CrossRef]
- Huang, P.; Li, Z.; Pu, H.; Jia, J.; Liu, K.; Xu, L.; Xie, Y. Conductivity Measurement of Non-magnetic Material Using the Phase Feature of Eddy Current Testing. J. Nondestr. Eval. 2023, 42, 50. [Google Scholar] [CrossRef]

















| Parameter | Value |
|---|---|
| Inner and outer radius of the coil (r1/r2) | 12.0/12.4 mm |
| Lift-off and height of the coil (l1/l2) | 0.0/2.5 mm |
| Turns of the coils (n) | 24 |
| Thickness range (c) | 0.1:0.1:5.0 mm |
| Conductivity (σ) | 0.65 MS/m |
| Excitation frequency (f) | 6.9, 3.8, 2.4 and 1.7 kHz |
| Parameter | Value |
|---|---|
| Inner and outer radius of the coil (r1/r2) | 12.5/13.0 mm |
| Lift-off and height of the coil (l1/l2) | 0.0/4.0 mm |
| Turns of the coils (n) | 40 |
| Diameter of enameled copper wire | 0.2 mm |
| No. | Specimen Thickness (mm) | Impedance Variation Real Part (Ω) | Impedance Variation Imaginary Part (Ω) | Experimental tan(θ) | Model Calculated tan(θ) |
|---|---|---|---|---|---|
| 1 | 0.5 | 0.006288 | −0.000189 | −0.029977 | −0.030790 |
| 2 | 1.0 | 0.012097 | −0.000750 | −0.061955 | −0.0608610 |
| 3 | 1.5 | 0.017098 | −0.001583 | −0.092572 | −0.0902380 |
| 4 | 2.0 | 0.021481 | −0.002634 | −0.122612 | −0.1189440 |
| 5 | 2.5 | 0.025308 | −0.003774 | −0.149127 | −0.1470020 |
| 6 | 3.0 | 0.028637 | −0.005035 | −0.175806 | −0.1744350 |
| 7 | 3.5 | 0.031523 | −0.006326 | −0.200675 | −0.2012610 |
| 8 | 4.0 | 0.034012 | −0.007707 | −0.226581 | −0.2275030 |
| No. | Actual Thickness (mm) | Measured Thickness (mm) | Absolute Error (mm) | Relative Error (%) | Standard Deviation (mm) | 95% Confidence Interval (mm) |
|---|---|---|---|---|---|---|
| 1 | 0.5 | 0.4866 | 0.0134 | 2.680 | 0.109 | (0.409, 0.563) |
| 2 | 1.0 | 1.0184 | 0.0184 | 1.840 | 0.249 | (0.921, 1.115) |
| 3 | 1.5 | 1.5402 | 0.0402 | 2.680 | 0.226 | (1.452, 1.627) |
| 4 | 2.0 | 2.0647 | 0.0647 | 3.235 | 0.288 | (1.953, 2.176) |
| 5 | 2.5 | 2.5383 | 0.0383 | 1.532 | 0.307 | (2.419, 2.657) |
| 6 | 3.0 | 3.0253 | 0.0253 | 0.843 | 0.233 | (2.934, 3.115) |
| 7 | 3.5 | 3.4890 | 0.0110 | 0.314 | 0.286 | (3.378, 3.599) |
| 8 | 4.0 | 3.9823 | 0.0177 | 0.443 | 0.251 | (3.885, 4.079) |
| Method | Excitation | Signal Feature | Mathematical Model | Calibration Requirement | Range | Error |
|---|---|---|---|---|---|---|
| [15] | Pulsed | Peak amplitude and time | Model-free | Master curve | mm-level | Not specified |
| [16] | Single-frequency | Slope of lift-off curve | Model-free | Master curve | μm-level | ≤2.4% |
| [17] | Single-frequency | Imaginary part | Model-free | Master curve | mm-level | ≤2% |
| [18] | Single-frequency | Phase | Model-based | Not required | μm-level | ≤5% |
| [20] | Single-frequency | Phase | Model-based | Iteration | mm-level | ≤9% |
| [22] | Multi-frequency | Magnitude and phase | Model-based | Iteration | mm-level | ≤2.5% |
| [23] | Multi-frequency | Magnitude and phase | Model-based | Not required | mm-level | ≤8% |
| This paper | Single-frequency | Phase | Model-based | Not required | mm-level | ≤3.5% |
Disclaimer/Publisher’s Note: The statements, opinions and data contained in all publications are solely those of the individual author(s) and contributor(s) and not of MDPI and/or the editor(s). MDPI and/or the editor(s) disclaim responsibility for any injury to people or property resulting from any ideas, methods, instructions or products referred to in the content. |
© 2025 by the authors. Licensee MDPI, Basel, Switzerland. This article is an open access article distributed under the terms and conditions of the Creative Commons Attribution (CC BY) license (https://creativecommons.org/licenses/by/4.0/).
Share and Cite
Bao, J.; Zheng, X.; Liu, H.; Xie, T.; Li, Y. A Quick Thickness Measurement Method for Ti-Alloy Sheets Based on a Novel Low-Frequency Phase Feature Model in Eddy Current Testing. Metals 2025, 15, 1210. https://doi.org/10.3390/met15111210
Bao J, Zheng X, Liu H, Xie T, Li Y. A Quick Thickness Measurement Method for Ti-Alloy Sheets Based on a Novel Low-Frequency Phase Feature Model in Eddy Current Testing. Metals. 2025; 15(11):1210. https://doi.org/10.3390/met15111210
Chicago/Turabian StyleBao, Jun, Xuyang Zheng, Hongwei Liu, Tianhua Xie, and Yan Li. 2025. "A Quick Thickness Measurement Method for Ti-Alloy Sheets Based on a Novel Low-Frequency Phase Feature Model in Eddy Current Testing" Metals 15, no. 11: 1210. https://doi.org/10.3390/met15111210
APA StyleBao, J., Zheng, X., Liu, H., Xie, T., & Li, Y. (2025). A Quick Thickness Measurement Method for Ti-Alloy Sheets Based on a Novel Low-Frequency Phase Feature Model in Eddy Current Testing. Metals, 15(11), 1210. https://doi.org/10.3390/met15111210

