Investigation into Hot Deformation Behavior and Processing Maps of 14CrMoR High-Performance Vessel Steel
Abstract
1. Introduction
2. Materials and Methods
3. Results and Discussion
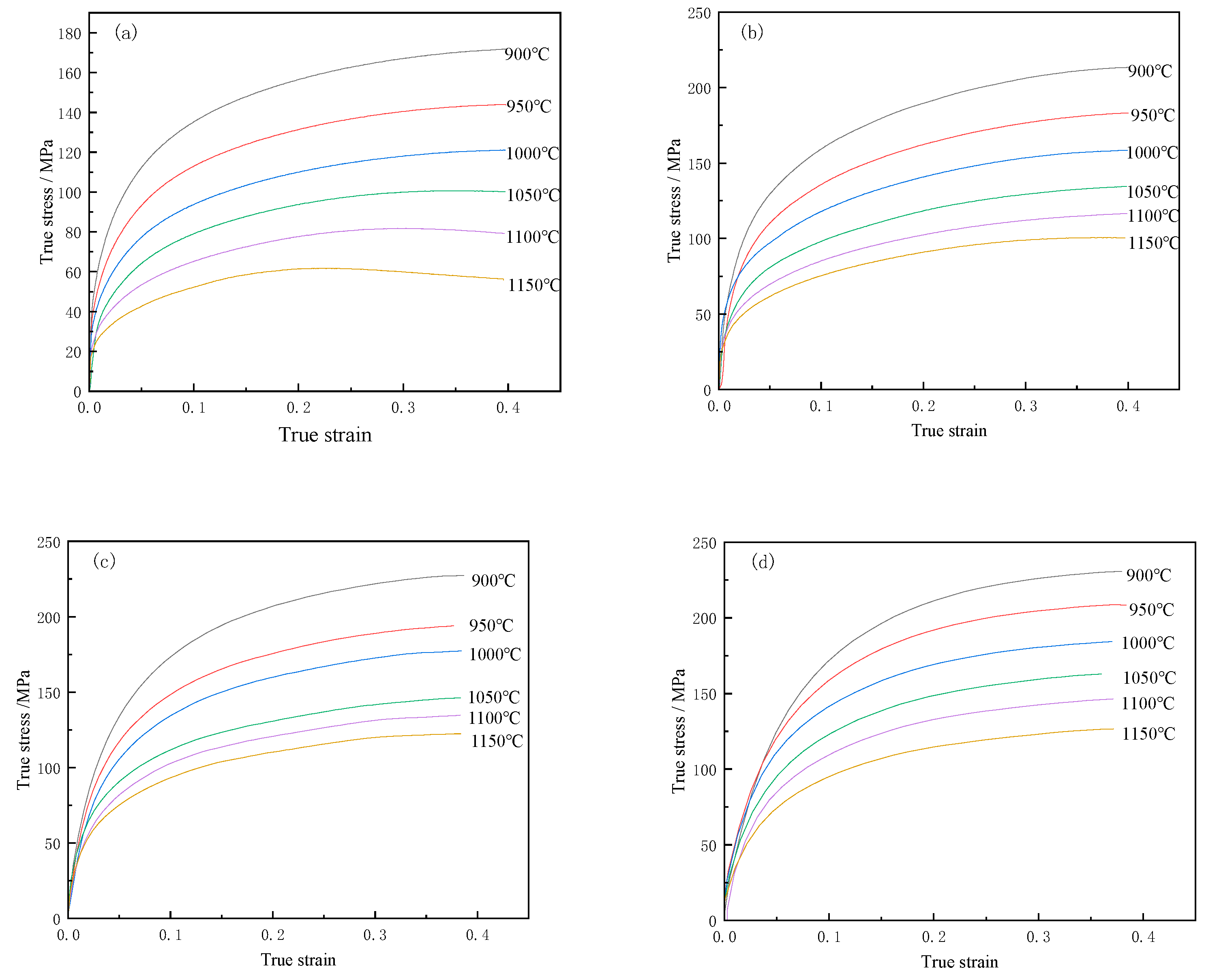
3.1. Flow Stress Curves
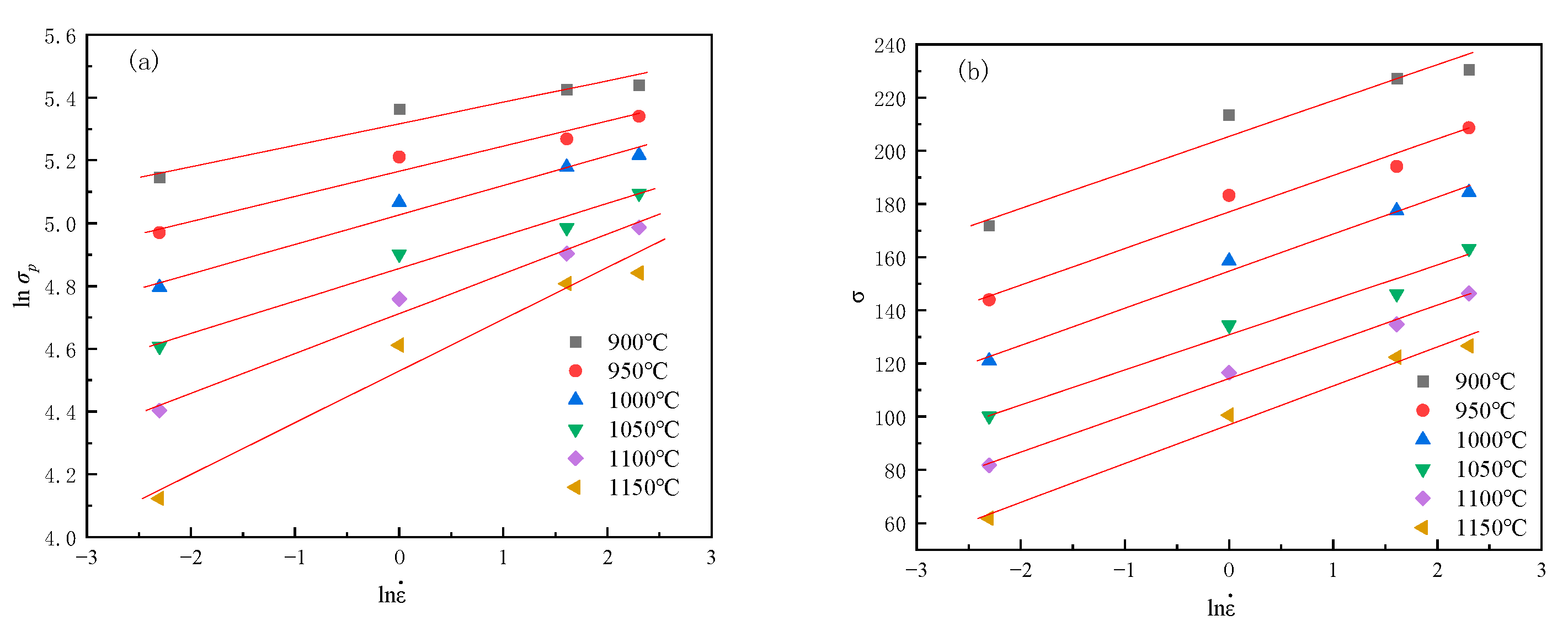
3.2. Hot Deformation Constitutive Equation
3.3. Construction and Analysis of Hot Working Diagram
4. Conclusions
- (1)
- To systematically analyze the flow stress characteristics of 14CrMoR steel, this study constructed true stress–true strain curves under different hot deformation conditions and quantitatively investigated the regulatory effects of deformation temperature and strain rate on the material’s mechanical response. Focusing on the characteristic curve under the condition of 1150 °C and 0.1 s−1, the underlying mechanism of its “first increasing and then decreasing” trend was elaborated in detail: the ascending stage of the curve is attributed to the work hardening effect caused by the rapid proliferation of dislocations, while the descending stage results from the fact that the dislocation annihilation rate exceeds the proliferation rate after the initiation of dynamic recrystallization (DRX), which ultimately manifests as material softening.
- (2)
- Based on the deformation data of 14CrMoR steel under multiple temperature-strain rate combinations, the coupled influence law of strain rate and deformation temperature on flow stress was revealed, and an Arrhenius-type constitutive equation suitable for this steel grade was established. The equation derived from calculations is expressed as follows:
- (3)
- By calculating the power dissipation efficiency (η) and instability parameter (ξ), a power dissipation map was plotted. A hot processing map was plotted for 14CrMoR steel during hot deformation, a power dissipation map was plotted, and a hot processing map was constructed by superimposing the instability parameter. The results show that the power dissipation efficiency (η) in the high-temperature and low-strain-rate region is significantly higher; in this region, the energy available for microstructural transformation is sufficient, which can effectively ensure the stability of hot deformation. Comprehensive analysis of microstructural evolution and deformation stability confirms that the optimal hot processing window for 14CrMoR steel is 1050 °C at a strain rate of 0.1 s−1.
Author Contributions
Funding
Data Availability Statement
Acknowledgments
Conflicts of Interest
References
- Ji, H.C.; Duan, H.L.; Li, Y.G.; Li, W.D.; Huang, X.M.; Pei, W.C.; Lu, Y.H. Optimization the working parameters of as-forged 42CrMo steel by constitutive equation-dynamic recrystallization equation and processing maps. J. Mater. Res. Technol. 2020, 9, 7210–7224. [Google Scholar] [CrossRef]
- Wang, J.; Zhang, E.F.; Yu, C.T.; Zhang, C.C. Effect of Cr on stress corrosion behavior of typical pressure vessel materials in molten salt environment. Sol. Energy Mater. Sol. Cells 2025, 282, 113408. [Google Scholar] [CrossRef]
- Li, Z.J.; Zhao, Y.Q.; Li, B.N.; Qi, H.P.; Yang, W. Effect of applied stress on bainite transformation, microstructure, and properties of 15CrMo steel. Mater. Today Commun. 2024, 39, 109076. [Google Scholar] [CrossRef]
- Bilbao, O.; Loizaga, I.; Alonso, J.; Girot, F.; Torregaray, A. 42CrMo4 steel flow behavior characterization for high temperature closed dies hot forging in automotive components applications. Heliyon 2023, 9, e22256. [Google Scholar] [CrossRef] [PubMed]
- Buchely, M.F.; Chakraborty, S.; Athavale, V.; Bartlett, L.; O’Malley, R.; Field, D.; Limmer, K.; Sebeck, K. Calibration of the Johnson–Cook model at high temperatures for an Ultra-High Strength CrNiMoV Steel. Mater. Sci. Eng. A 2023, 879, 145219. [Google Scholar] [CrossRef]
- Lin, Y.C.; Chen, M.S.; Zhang, J. Modeling of flow stress of 42CrMo steel under hot compression. Mater. Sci. Eng. A 2009, 499, 88–92. [Google Scholar] [CrossRef]
- Mandal, S.; Rakesh, V.; Sivaprasad, P.V.; Venugopal, S.; Kasiviswanathan, K.V. Constitutive equations to predict high temperature flow stress in a Ti-modified austenitic stainless steel. Mater. Sci. Eng. A 2009, 500, 114–121. [Google Scholar] [CrossRef]
- He, A.; Chen, L.; Hu, S.; Wang, C.; Huangfu, L.X. Constitutive analysis to predict high temperature flow stress in 20CrMo continuous casting billet. Mater. Des. (1980–2015) 2013, 46, 54–60. [Google Scholar] [CrossRef]
- Gupta, A.K.; Anirudh, V.K.; Singh, S.K. Constitutive models to predict flow stress in Austenitic Stainless Steel 316 at elevated temperatures. Mater. Des. 2013, 43, 410–418. [Google Scholar] [CrossRef]
- Yu, B.N.; Zhang, B.; Shi, R.X.; Mao, F.; Wei, S.Z.; Yang, D.H. Dynamic Recrystallization Model of High-Temperature Deformation and Finite Element Analysis of Microstructure Evolution of 14Cr1Mo Pressure Vessel Steel. Materials 2025, 18, 3531. [Google Scholar] [CrossRef]
- Tian, Q.; Dong, X.; Hong, J. Thermal mechanical behavior and microstructure characteristic of microalloyed CrMo steel under cross deformation. Mater. Sci. Eng. A 2010, 527, 4702–4707. [Google Scholar] [CrossRef]
- Zheng, Y.X.; Wang, F.M.; Li, C.R.; Cheng, J.; Li, Y.L. Effect of compound addition of Nb-B on hot ductility of Cr-Mo alloy steel. Mater. Sci. Eng. A 2018, 715, 194–204. [Google Scholar] [CrossRef]
- Rong, Z.Z.; Wu, X.L.; He, F.Y.; Wen, S.P.; Xiong, X.Y.; Gao, K.Y.; Wei, W.; Huang, H.; Nie, Z.R. Hot deformation behavior, dynamic recrystallization and precipitation behavior of a novel Er, Zr-microalloyed Al–Cu–Mg alloy. J. Mater. Res. Technol. 2025, 36, 5381–5395. [Google Scholar] [CrossRef]
- Xu, S.Y.; Wei, J.Q.; Zang, X.M.; Cao, D.D.; Jiang, Y.F.; Zhang, M.X.; Li, P.; Zhang, J.J.; Yan, Z.W.; Liu, T.Y.; et al. Hot deformation flow behavior of the Cu-9Ni-6Sn alloy based on the analysis of physical modeling and microstructures characterization. J. Alloys Compd. 2025, 1026, 180405. [Google Scholar] [CrossRef]
- Lee, C.W.; Jo, S.; Kim, Y.J.; Choi, Y.S.; Lee, K.J.; Jeon, J.B. Hot deformation behavior and dynamic recrystallization of Fe-24Mn steel: Influence on cryogenic hardness. J. Mater. Res. Technol. 2025, 36, 10547–10562. [Google Scholar] [CrossRef]
- Liu, C.; Liu, Y.; Huang, Y.C.; Sheng, Z.Y.; Fan, X.; Wu, Z.X.; Feng, W.; Liu, P.F. Investigation of hot deformation behavior and optimization of hot workability for a novel Zr, Sc alloyed Al-Mg-Mn alloy. J. Alloys Compd. 2025, 1017, 178943. [Google Scholar] [CrossRef]
- Zhu, Z.W.; Lu, Y.S.; Xie, Q.J.; Li, D.Y.; Gao, N. Mechanical properties and dynamic constitutive model of 42CrMo steel. Mater. Des. 2017, 119, 171–179. [Google Scholar] [CrossRef]
- Samantaray, D.; Mandal, S.; Bhaduri, A.K. A comparative study on Johnson Cook, modified Zerilli–Armstrong and Arrhenius-type constitutive models to predict elevated temperature flow behaviour in modified 9Cr–1Mo steel. Comput. Mater. Sci. 2009, 47, 568–576. [Google Scholar] [CrossRef]
- Chang, K.; Tan, Y.; Ma, C.X.; Bai, R.S.; Li, P.T.; Zhang, C.; Wang, Y.N. Deformation behavior and micro-twins mechanisms of a cast & wrought FGH4096 superalloy during hot compression. J. Alloys Compd. 2025, 1033, 181165. [Google Scholar] [CrossRef]
- Li, Q.Q.; Wen, J.; Wang, G.S.; Jiang, L.; Zhao, Z.H. Strain-compensated constitutive model and hot processing map for extruded Al-Mg-Mn-Ti alloy based on reheating deformation behavior. Mater. Today Commun. 2025, 42, 111492. [Google Scholar] [CrossRef]
- Raman, L.; Anupam, A.; Karthick, G.; Berndt, C.C.; Ang, A.S.M.; Murty, S.V.S.N.; Fabijanic, D.; Murty, B.S.; Kottada, R.S. High temperature deformation behavior and microstructural evolution of an ultrafine-grained and multiphase CrMoNbTiW refractory high entropy alloy. Acta Mater. 2025, 289, 120841. [Google Scholar] [CrossRef]
- Bambach, M.; Seuren, S. On instabilities of force and grain size predictions in the simulation of multi-pass hot rolling processes. J. Mater. Process. Technol. 2015, 216, 95–113. [Google Scholar] [CrossRef]
- Ye, C.Q.; Shu, X.D.; Li, Z.X.; Xu, H.J.; Wang, J.T.; Chen, Y.S. Hot deformation behavior and microstructure evolution of 30NiCrMoV12 alloy steel. Mater. Today Commun. 2025, 44, 111812. [Google Scholar] [CrossRef]
- He, W.H.; Jing, K.; Zhou, M.; Zhang, Y.; Tian, B.H.; Chu, C.H.; Cui, J.S.; Hu, H.Y.; Chen, M.; Volinsky, A.A.; et al. Effect of Cr addition on the hot deformation behavior and microstructure evolution of Cu-0.8Fe-0.2Mg alloy. J. Mater. Res. Technol. 2025, 36, 6911–6921. [Google Scholar] [CrossRef]
- Masahashi, N.; Komatsu, K.; Watanabe, S.; Hanada, S. Microstructure and properties of iron aluminum alloy/CrMo steel composite prepared by clad rolling. J. Alloys Compd. 2004, 379, 272–279. [Google Scholar] [CrossRef]
- Kimm, J.S.; Bergmann, J.A.; Wöste, F.; Pöhl, F.; Wiederkehr, P.; Theisen, W. Deformation behavior of 42CrMo4 over a wide range of temperatures and strain rates in Split-Hopkinson pressure bar tests. Mater. Sci. Eng. A 2021, 826, 141953. [Google Scholar] [CrossRef]
- Zhang, H.; Li, J.; Wang, Y.; Zhao, X. Hot Deformation Behavior and Dynamic Recrystallization Kinetics of 50CrVA Spring Steel. Metals 2024, 14, 1391. [Google Scholar] [CrossRef]
- Roostaei, M.; Parsa, M.H.; Mahmudi, R.; Mirzadeh, H. Hot compression behavior of GZ31 magnesium alloy. J. Alloys Compd. 2015, 631, 1–6. [Google Scholar] [CrossRef]
- Sellars, C.M.; McTegart, W.J. On the mechanism of hot deformation. Acta Metall. 1966, 14, 1136–1138. [Google Scholar] [CrossRef]
- Tseng, S.; Ali, M.; Qayyum, F.; Guk, S.; Overhagen, C.; Chao, C.; Prahl, U. Improved method for generation of hot working process maps of metals. J. Chin. Inst. Eng. 2023, 46, 580–590. [Google Scholar] [CrossRef]








| Temperature (°C)\Strain Rate (s−1) | 0.1 | 1 | 5 | 10 |
|---|---|---|---|---|
| 900 | 171.8793 | 213.4517 | 227.2876 | 230.6141 |
| 950 | 144.0087 | 183.2811 | 194.1468 | 208.6573 |
| 1000 | 121.0518 | 158.5615 | 177.4503 | 184.3291 |
| 1050 | 100.2466 | 134.4965 | 146.2564 | 163.3055 |
| 1100 | 81.73183 | 116.5696 | 134.7549 | 146.4450 |
| 1150 | 61.75757 | 100.6268 | 122.4097 | 126.6437 |
Disclaimer/Publisher’s Note: The statements, opinions and data contained in all publications are solely those of the individual author(s) and contributor(s) and not of MDPI and/or the editor(s). MDPI and/or the editor(s) disclaim responsibility for any injury to people or property resulting from any ideas, methods, instructions or products referred to in the content. |
© 2025 by the authors. Licensee MDPI, Basel, Switzerland. This article is an open access article distributed under the terms and conditions of the Creative Commons Attribution (CC BY) license (https://creativecommons.org/licenses/by/4.0/).
Share and Cite
Gao, Y.; Zhao, Y.; Gao, Y.; Chen, Z.; Li, Y.; Zhang, W.; Liu, Z. Investigation into Hot Deformation Behavior and Processing Maps of 14CrMoR High-Performance Vessel Steel. Metals 2025, 15, 1158. https://doi.org/10.3390/met15101158
Gao Y, Zhao Y, Gao Y, Chen Z, Li Y, Zhang W, Liu Z. Investigation into Hot Deformation Behavior and Processing Maps of 14CrMoR High-Performance Vessel Steel. Metals. 2025; 15(10):1158. https://doi.org/10.3390/met15101158
Chicago/Turabian StyleGao, Ya, Yuzhuo Zhao, Yuan Gao, Zejin Chen, Yangbing Li, Weina Zhang, and Zhenyu Liu. 2025. "Investigation into Hot Deformation Behavior and Processing Maps of 14CrMoR High-Performance Vessel Steel" Metals 15, no. 10: 1158. https://doi.org/10.3390/met15101158
APA StyleGao, Y., Zhao, Y., Gao, Y., Chen, Z., Li, Y., Zhang, W., & Liu, Z. (2025). Investigation into Hot Deformation Behavior and Processing Maps of 14CrMoR High-Performance Vessel Steel. Metals, 15(10), 1158. https://doi.org/10.3390/met15101158

