Structural Relaxation and Delayed Yielding in Cyclically Sheared Cu-Zr Metallic Glasses
Abstract
1. Introduction
2. MD Simulations
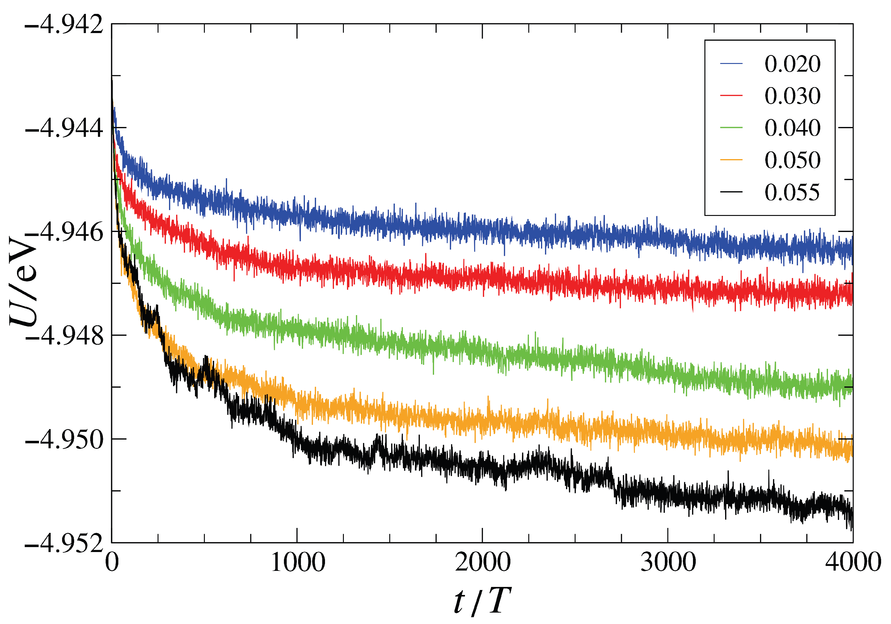
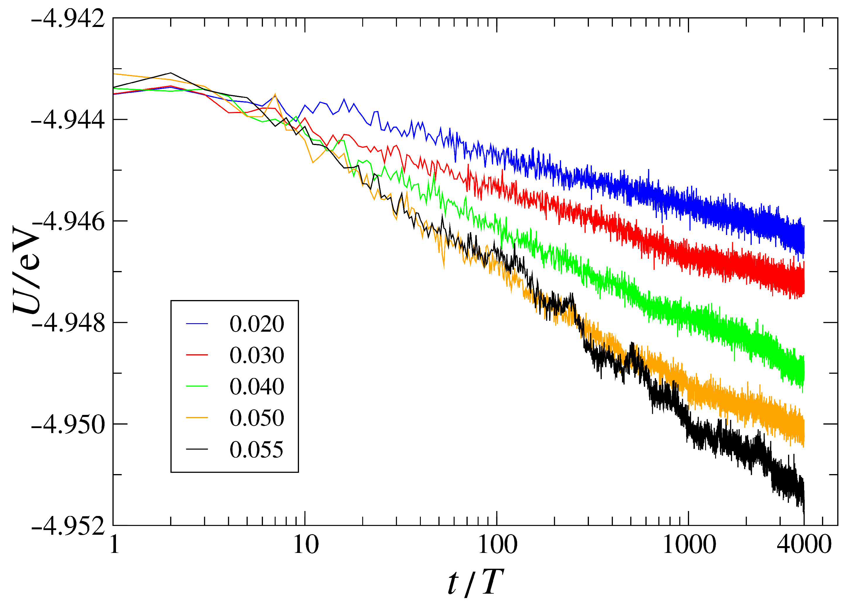
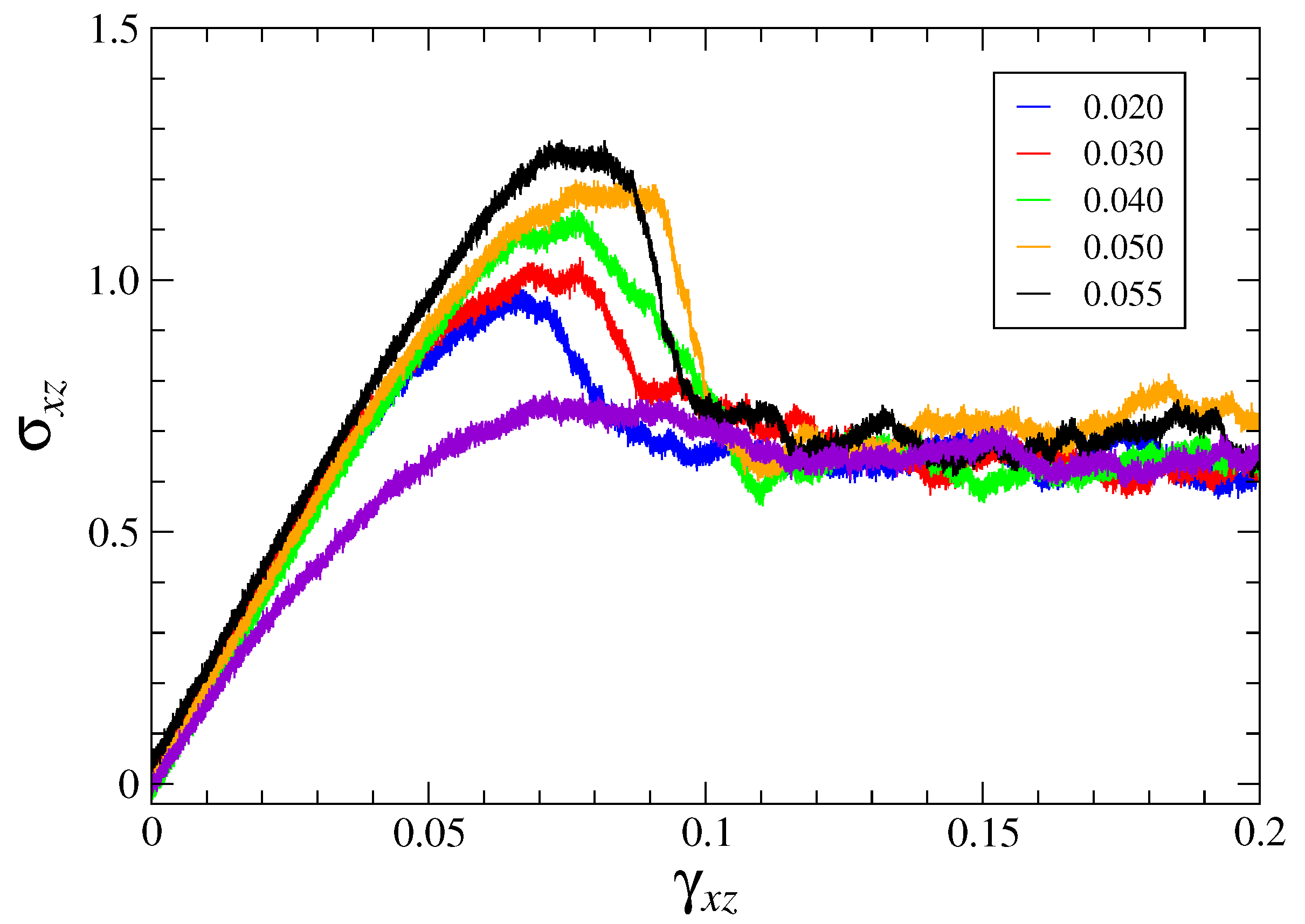
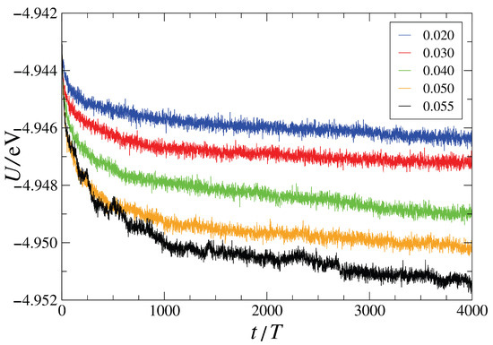
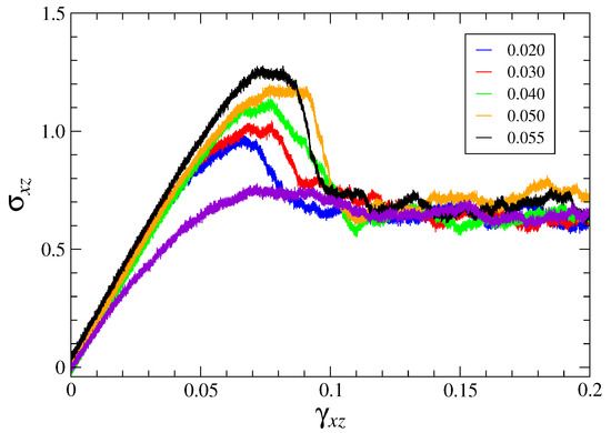
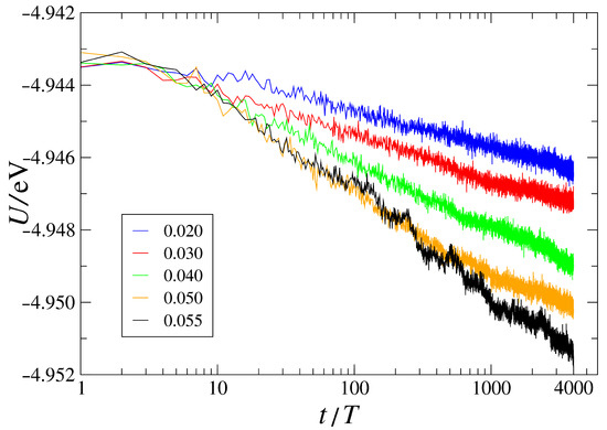
3. Results
4. Conclusions
Funding
Data Availability Statement
Acknowledgments
Conflicts of Interest
References
- Gao, K.; Zhu, X.G.; Chen, L.; Li, W.H.; Xu, X.; Pan, B.T.; Li, W.R.; Zhou, W.H.; Li, L.; Huang, W.; et al. Recent development in the application of bulk metallic glasses. J. Mater. Sci. Technol. 2022, 131, 115–121. [Google Scholar] [CrossRef]
- Jiang, H.; Shang, T.; Xian, H.; Sun, B.; Zhang, Q.; Yu, Q.; Bai, H.; Gu, L.; Wang, W. Functional properties of amorphous alloys. Small Struct. 2021, 2, 2000057. [Google Scholar] [CrossRef]
- Egami, T.; Iwashita, T.; Dmowski, W. Mechanical properties of metallic glasses. Metals 2013, 3, 77–113. [Google Scholar] [CrossRef]
- Qiao, J.C.; Wang, Q.; Pelletier, J.M.; Kato, H.; Casalini, R.; Crespo, D.; Pineda, E.; Yao, Y.; Yang, Y. Structural heterogeneities and mechanical behavior of amorphous alloys. Prog. Mater. Sci. 2019, 104, 250–329. [Google Scholar] [CrossRef]
- Hufnagel, T.C.; Schuh, C.A.; Falk, M.L. Deformation of metallic glasses: Recent developments in theory, simulations, and experiments. Acta Mater. 2016, 109, 375–393. [Google Scholar] [CrossRef]
- Jia, H.; Wang, G.; Chen, S.; Gao, Y.; Li, W.; Liaw, P.K. Fatigue and fracture behavior of bulk metallic glasses and their composites. Prog. Mater. Sci. 2018, 98, 168–248. [Google Scholar] [CrossRef]
- Menzel, B.C.; Dauskardt, R.H. Stress-life fatigue behavior of a Zr-based bulk metallic glass. Acta Mater. 2006, 54, 935–943. [Google Scholar] [CrossRef]
- Sha, Z.; Lin, W.; Poh, L.H.; Xing, G.; Liu, Z.; Wang, T.; Gao, H. Fatigue of metallic glasses. Appl. Mech. Rev. 2020, 72, 050801. [Google Scholar] [CrossRef]
- Sun, Y.; Concustell, A.; Greer, A.L. Thermomechanical processing of metallic glasses: Extending the range of the glassy state. Nat. Rev. Mater. 2016, 1, 16039. [Google Scholar] [CrossRef]
- Ketov, S.V.; Sun, Y.H.; Nachum, S.; Lu, Z.; Checchi, A.; Beraldin, A.R.; Bai, H.Y.; Wang, W.H.; Louzguine-Luzgin, D.V.; Carpenter, M.A.; et al. Rejuvenation of metallic glasses by non-affine thermal strain. Nature 2015, 524, 200–203. [Google Scholar] [CrossRef]
- Mota, R.M.O.; Lund, E.T.; Sohn, S.; Browne, D.J.; Hofmann, D.C.; Curtarolo, S.; van de Walle, A.; Schroers, J. Enhancing ductility in bulk metallic glasses by straining during cooling. Commun. Mater. 2021, 2, 23. [Google Scholar] [CrossRef]
- Aliyu, A.A.A.; Panwisawas, C.; Shinjo, J.; Puncreobutr, C.; Reed, R.C.; Poungsiri, K.; Lohwongwatana, B. Laser-based additive manufacturing of bulk metallic glasses: Recent advances and future perspectives for biomedical applications. J. Mater. Res. Technol. 2023, 23, 2956–2990. [Google Scholar] [CrossRef]
- Priezjev, N.V. Heterogeneous relaxation dynamics in amorphous materials under cyclic loading. Phys. Rev. E 2013, 87, 052302. [Google Scholar] [CrossRef] [PubMed]
- Regev, I.; Lookman, T.; Reichhardt, C. Onset of irreversibility and chaos in amorphous solids under periodic shear. Phys. Rev. E 2013, 88, 062401. [Google Scholar] [CrossRef]
- Fiocco, D.; Foffi, G.; Sastry, S. Oscillatory athermal quasistatic deformation of a model glass. Phys. Rev. E 2013, 88, 020301. [Google Scholar] [CrossRef]
- Regev, I.; Weber, J.; Reichhardt, C.; Dahmen, K.A.; Lookman, T. Reversibility and criticality in amorphous solids. Nat. Commun. 2015, 6, 8805. [Google Scholar] [CrossRef]
- Luo, J.; Dahmen, K.; Liaw, P.K.; Shi, Y. Low-cycle fatigue of metallic glass nanowires. Acta Mater. 2015, 87, 225–232. [Google Scholar] [CrossRef]
- Sha, Z.D.; Qu, S.X.; Liu, Z.S.; Wang, T.J.; Gao, H. Cyclic deformation in metallic glasses. Nano Lett. 2015, 15, 7010–7015. [Google Scholar] [CrossRef]
- Priezjev, N.V. Reversible plastic events during oscillatory deformation of amorphous solids. Phys. Rev. E 2016, 93, 013001. [Google Scholar] [CrossRef]
- Kawasaki, T.; Berthier, L. Macroscopic yielding in jammed solids is accompanied by a non-equilibrium first-order transition in particle trajectories. Phys. Rev. E 2016, 94, 022615. [Google Scholar] [CrossRef]
- Leishangthem, P.; Parmar, A.D.S.; Sastry, S. The yielding transition in amorphous solids under oscillatory shear deformation. Nat. Commun. 2017, 8, 14653. [Google Scholar] [CrossRef]
- Dagois-Bohy, S.; Somfai, E.; Tighe, B.P.; van Hecke, M. Softening and yielding of soft glassy materials. Soft Matter 2017, 13, 9036–9045. [Google Scholar] [CrossRef] [PubMed]
- Priezjev, N.V. The yielding transition in periodically sheared binary glasses at finite temperature. Comput. Mater. Sci. 2018, 150, 162–168. [Google Scholar] [CrossRef]
- Parmar, A.D.S.; Kumar, S.; Sastry, S. Strain localization above the yielding point in cyclically deformed glasses. Phys. Rev. X 2019, 9, 021018. [Google Scholar] [CrossRef]
- Priezjev, N.V. Accelerated relaxation in disordered solids under cyclic loading with alternating shear orientation. J. Non-Cryst. Solids 2019, 525, 119683. [Google Scholar] [CrossRef]
- Yeh, W.T.; Ozawa, M.; Miyazaki, K.; Kawasaki, T.; Berthier, L. Glass stability changes the nature of yielding under oscillatory shear. Phys. Rev. Lett. 2020, 124, 225502. [Google Scholar] [CrossRef]
- Priezjev, N.V. Alternating shear orientation during cyclic loading facilitates yielding in amorphous materials. J. Mater. Eng. Perform. 2020, 29, 7328–7335. [Google Scholar] [CrossRef]
- Bhaumik, H.; Foffi, G.; Sastry, S. The role of annealing in determining the yielding behavior of glasses under cyclic shear deformation. Proc. Natl. Acad. Sci. USA 2021, 118, e2100227118. [Google Scholar] [CrossRef]
- Priezjev, N.V. Accessing a broader range of energy states in metallic glasses by variable-amplitude oscillatory shear. J. Non-Cryst. Solids 2021, 560, 120746. [Google Scholar] [CrossRef]
- Cui, S.; Liu, H.; Peng, H. Anisotropic correlations of plasticity on the yielding of metallic glasses. Phys. Rev. E 2022, 106, 014607. [Google Scholar] [CrossRef]
- Das, P.; Parmar, A.D.S.; Sastry, S. Annealing glasses by cyclic shear deformation. J. Chem. Phys. 2022, 157, 044501. [Google Scholar] [CrossRef] [PubMed]
- Priezjev, N.V. Mechanical annealing and yielding transition in cyclically sheared binary glasses. J. Non-Cryst. Solids 2022, 590, 121697. [Google Scholar] [CrossRef]
- Shang, B.; Jakse, N.; Guan, P.; Wang, W.; Barrat, J.-L. Influence of oscillatory shear on nucleation in metallic glasses: A molecular dynamics study. Acta Mater. 2023, 246, 118668. [Google Scholar] [CrossRef]
- Krishnan, V.V.; Ramola, K.; Karmakar, S. Annealing effects of multidirectional oscillatory shear in model glass formers. Phys. Rev. Appl. 2023, 19, 024004. [Google Scholar] [CrossRef]
- Priezjev, N.V. Fatigue behavior of Cu-Zr metallic glasses under cyclic loading. Metals 2023, 13, 1606. [Google Scholar] [CrossRef]
- Zella, L.; Moon, J.; Egami, T. Ripples in the bottom of the potential energy landscape of metallic glass. Nat. Commun. 2024, 15, 1358. [Google Scholar] [CrossRef]
- Tang, X.C.; Yao, X.H. The effect of forced vibration coupling on amorphous alloy superplasticity. J. Non-Cryst. Solids 2024, 630, 122905. [Google Scholar] [CrossRef]
- Cheng, Y.Q.; Ma, E.; Sheng, H.W. Atomic level structure in multicomponent bulk metallic glass. Phys. Rev. Lett. 2009, 102, 245501. [Google Scholar] [CrossRef] [PubMed]
- Cheng, Y.Q.; Ma, E. Atomic-level structure and structure-property relationship in metallic glasses. Prog. Mater. Sci. 2011, 56, 379. [Google Scholar] [CrossRef]
- Fan, Z.; Ma, E. Predicting orientation-dependent plastic susceptibility from static structure in amorphous solids via deep learning. Nat. Commun. 2021, 12, 1506. [Google Scholar] [CrossRef]
- Plimpton, S.J. Fast parallel algorithms for short-range molecular dynamics. J. Comput. Phys. 1995, 117, 1–19. [Google Scholar] [CrossRef]
- Evans, D.J.; Morriss, G.P. Nonlinear-response theory for steady planar Couette flow. Phys. Rev. A 1984, 30, 1528. [Google Scholar] [CrossRef]
- Hyun, K.; Wilhelm, M.; Klein, C.O.; Cho, K.S.; Nam, J.G.; Lee, S.J.; Ewoldt, R.H.; McKinley, G.H. A review of nonlinear oscillatory shear tests: Analysis and application of large amplitude oscillatory shear (LAOS). Prog. Polym. Sci. 2011, 36, 1697–1753. [Google Scholar] [CrossRef]
- Falk, M.L.; Langer, J.S. Dynamics of viscoplastic deformation in amorphous solids. Phys. Rev. E 1998, 57, 7192. [Google Scholar] [CrossRef]
- Wang, X.; Xu, W.-S.; Zhang, H.; Douglas, J.F. Universal nature of dynamic heterogeneity in glass-forming liquids: A comparative study of metallic and polymeric glass-forming liquids. J. Chem. Phys. 2019, 151, 184503. [Google Scholar] [CrossRef]












Disclaimer/Publisher’s Note: The statements, opinions and data contained in all publications are solely those of the individual author(s) and contributor(s) and not of MDPI and/or the editor(s). MDPI and/or the editor(s) disclaim responsibility for any injury to people or property resulting from any ideas, methods, instructions or products referred to in the content. |
© 2024 by the author. Licensee MDPI, Basel, Switzerland. This article is an open access article distributed under the terms and conditions of the Creative Commons Attribution (CC BY) license (https://creativecommons.org/licenses/by/4.0/).
Share and Cite
Priezjev, N.V. Structural Relaxation and Delayed Yielding in Cyclically Sheared Cu-Zr Metallic Glasses. Metals 2024, 14, 984. https://doi.org/10.3390/met14090984
Priezjev NV. Structural Relaxation and Delayed Yielding in Cyclically Sheared Cu-Zr Metallic Glasses. Metals. 2024; 14(9):984. https://doi.org/10.3390/met14090984
Chicago/Turabian StylePriezjev, Nikolai V. 2024. "Structural Relaxation and Delayed Yielding in Cyclically Sheared Cu-Zr Metallic Glasses" Metals 14, no. 9: 984. https://doi.org/10.3390/met14090984
APA StylePriezjev, N. V. (2024). Structural Relaxation and Delayed Yielding in Cyclically Sheared Cu-Zr Metallic Glasses. Metals, 14(9), 984. https://doi.org/10.3390/met14090984
