Next Article in Journal
Cooling Air Velocity on Iron Ore Pellet Performance Based on Experiments and Simulations
Previous Article in Journal
Exploring Mechanical Properties Using the Hydraulic Bulge Test and Uniaxial Tensile Test with Micro-Samples for Metals
Previous Article in Special Issue
Impact of Corrosion on Tensile Properties of a Mg Alloy in a Finite Element Model of a Coronary Artery Stent Coupled with Geometry Optimization
 
 
Font Type:
Arial Georgia Verdana
Font Size:
Aa Aa Aa
Line Spacing:
Column Width:
Background:
Article

Molecular Dynamics Study on the Mechanical Behaviors of Nanotwinned Titanium

1
Department of Emergency Technology, Zhejiang College of Security Technology, Wenzhou 325000, China
2
School of Aerospace Engineering, Beijing Institute of Technology, Beijing 100081, China
*
Author to whom correspondence should be addressed.
Metals 2024, 14(8), 918; https://doi.org/10.3390/met14080918
Submission received: 30 June 2024 / Revised: 10 August 2024 / Accepted: 12 August 2024 / Published: 14 August 2024
(This article belongs to the Special Issue Deformation of Metals and Alloys: Theory, Simulations and Experiments)

Abstract

Titanium and titanium alloys have been widely applied in the manufacture of aircraft engines and aircraft skins, the mechanical properties of which have a crucial influence on the safety and lifespan of aircrafts. Based on nanotwinned titanium models with different twin boundary spacings, the impacts of different loadings and twin boundary spacings on the plastic deformation of titanium were studied in this paper. It was found that due to the different contained twin boundaries, the different types of nanotwinned titanium possessed different dislocation nucleation abilities on the twin boundaries, different types of dislocation–twin interactions occurred, and significant differences were observed in the mechanical properties and plastic deformation mechanisms. For the { 10 1 - 2 } twin, basal plane dislocations were likely to nucleate on the twin boundary. The plastic deformation mechanism of the material under tensile loading was dominated by partial dislocation slip on the basal plane and face-centered cubic phase transitions, and the yield strength of the titanium increased with decreasing twin boundary spacing. However, under compression loading, the plastic deformation mechanism of the material was dominated by a combination of partial dislocation slip on the basal plane and twin boundary migration. For the { 10 1 - 1 } twin under tensile loading, the plastic deformation mechanism of the material was dominated by partial dislocation slip on the basal plane and crack nucleation and propagation, while under compression loading, the plastic deformation mechanism of the material was dominated by partial dislocation slip on the basal plane and twin boundary migration. For the {1124} twin, the interaction of its twin boundary and dislocation could produce secondary twins. Under tensile loading, the plastic deformation mechanism of the material was dominated by dislocation–twin and twin–twin interactions, while under compression loading, the plastic deformation mechanism of the material was dominated by partial dislocation slip on the basal plane, and the product of the dislocation–twin interactions was basal dislocation. All these results are of guiding value for the optimal design of microstructures in titanium, which should be helpful for achieving strong and tough metallic materials for aircraft manufacturing.

1. Introduction

Titanium and titanium alloys have low densities and high mechanical strengths, and they possess excellent high-temperature mechanical properties, corrosion resistance, fatigue properties, and creep properties. Their comprehensive performances are better than those of many metal materials, they have been widely used in industrial production, including in aerospace, military equipment, the petrochemical industry, metallurgy, and electricity, and they are novel structural and functional materials with substantial development potential and broad application prospects [1,2]. For titanium with a hexagonal close-packed structure, dislocation slip and deformation twins are the major deformation mechanisms during the grain refinement process [3,4,5,6]. The dislocation–twin interaction can dramatically affect the work-hardening behavior, thus altering the mechanical properties of the material.
Nanotwins are composed of many twinned flakes with nanoscale thickness. This special structure is relatively common in face-centered cubic materials [7,8,9,10], body-centered cubic materials [11,12,13], and hexagonal close-packed materials [14,15]. The nanotwinned structure is widely applied in structures, such as nanowires [16], blocks, and films [17,18], to enhance the plasticity and strength of the material. Nanotwinned metals have received great attention due to their high strengths and high plasticity [19,20,21]. Their excellent toughness characteristics arise from the unique interactions between dislocations and twin boundaries, and this is essentially different from the interactions between dislocations and grain boundaries in polycrystals. Additionally, nanotwinned metal materials contain dense twin boundaries themselves, and compared to common grain boundaries, twin boundaries exhibit better mechanical and thermal stabilities [19,22]. Generally, the impacts of dislocation–twin interactions on the material hardening behavior can be divided into the following three categories: the twin boundary, which acts as the barrier of dislocation slip [23], where the pre-existing dislocations in the matrix may hinder twin nucleation and growth [24]; the dynamic Hall–Petch effect, where the high-density twin boundaries can divide grains into smaller grains and reduce the mean free path of dislocations; and the dislocation transmutation mechanism in the Basinski effect. Basinski et al. [25] found that the hardness of copper twins was higher than that of the matrix, and they attributed the increase in hardness to the transformation of glissile dislocations in twins into sessile dislocations. Meanwhile, the area surrounding the twin boundary can provide ample storage space for dislocations, thus ensuring that the material has enough stable plastic deformation and work hardening capabilities. Besides the investigation of FCC metals, the reinforcement of hexagonal titanium (Ti) with nanotwinned structures has become a focal point of materials science research, given its potential to significantly enhance the mechanical properties of Ti, such as strength, ductility, and fatigue resistance [26,27,28]. Researchers employ both experimental methods [29] and molecular dynamics (MD) simulations [30,31] to explore and optimize these properties. In experimental studies, nanotwinned Ti is typically fabricated using methods such as severe plastic deformation (SPD), cryogenic deformation, and electrochemical deposition. These processes introduce high-density twin boundaries into the material’s microstructure. The twin boundaries act as barriers to dislocation motion, resulting in increased strength and hardness. Characterization techniques like transmission electron microscopy (TEM), scanning electron microscopy (SEM), X-ray diffraction (XRD), and nanoindentation are used to examine the structure and mechanical properties of the resulting materials. Studies have reported that nanotwinned structures can substantially enhance the yield strength and hardness of Ti while maintaining good ductility. The specific mechanisms, such as twin boundary strengthening and interaction with dislocations, are key areas of investigation. For MD simulations, By simulating the response of nanotwinned Ti to external stresses and strains, MD studies have shown that the twin boundaries can effectively hinder dislocation motion, thereby improving the material’s mechanical properties. The simulations also investigate the influence of factors such as temperature, strain rate, and twin boundary spacing on the material’s behavior [30,31].
However, no in-depth studies of the plastic deformation mechanism of nanotwinned titanium were found. Here, using the molecular dynamics simulation method, an in-depth analysis on the plastic mechanical behaviors of different types of nanotwinned titanium under tensile and compression loading was performed in this study, and the impact of the twin boundary spacing on the mechanical properties and the tension–compression asymmetry were examined. This study aims to enrich and develop a basic theory of plastic deformation of titanium and is of significance to the optimization of plastic processing technology and the development of titanium alloy materials with high formability.

2. Simulation Method

2.1. Construction of Twin Boundary Structures and Models

Figure 1 shows the atomic potential energy distributions near the { 10 1 - 2 }< 1 - 011 >, { 10 1 - 1 }< 10 1 - 2 - >, and { 11 2 - 4 }< 22 4 - 3 - > twin boundaries, where the inclined dashed lines represent the basal planes of the grains on both sides, which is consistent with previous MD studies [27]. With the { 10 1 - 2 }< 1 - 011 > nanotwin as an example, based on the spatial topological relationship of the grain orientations on both sides of the twin boundary, we first constructed a grain with the twin plane located in the XY plane, and the grain size was determined by the set twin boundary spacing. Subsequently, along the Z-direction, a mirror image of the original grain was generated, and then two grains were combined along the Z-direction to obtain a twin model. Subsequently, this twin model was replicated continuously, and finally, an ideal nanotwinned titanium model containing a { 10 1 - 2 }< 1 - 011 > twin boundary was obtained (Figure 2). The methods used to construct the { 10 1 - 1 }< 10 1 - 2 - > and { 11 2 - 4 }< 22 4 - 3 - > nanotwin models were similar and are not described.
We constructed three different models and explored the mechanical properties of the nanotwinned titanium and its plastic deformation mechanism by applying tensile and compression loading. The selected range of the twin boundary spacing was from 6.7 to 29.4 nm, and the twin boundary spacing was constant inside of each model. The dimensions of the simulation box are 76.4 nm along the x direction, 4.8 nm along the y direction, and 117.6 nm along the z direction. The x direction was set with free boundary conditions, and the y and z directions were set with periodic boundary conditions.

2.2. Simulation Process

We adopted the embedded atom method (EAM) developed by Zhou et al. [26] to describe the interaction forces between titanium atoms. This potential function has been verified to correctly describe the different kinds of dislocations, stacking fault energy, and twin boundaries in Ti crystal [32,33], and was also used to study the tension–compression asymmetry of nanocrystal α-Ti with stacking faults [33]. During the simulation process, the NVT (constant number of atoms, volume, and temperature) ensemble was employed to adjust the physical parameters of the system, and the Nosé–Hoover thermostat was used to maintain the temperature at 10 K. After the construction of the initial model, we first relaxed the model by 30,000 steps to obtain a relatively stable equilibrium configuration. Subsequently, loading was applied by evenly adjusting the z coordinate of each atom at a strain rate of 6 × 108 s−1. The time step of the entire simulation process was set to 3 fs. We recorded the stress response of the model after loading was applied as well as the atomic configuration of the microstructure, which was further analyzed. Molecular dynamics simulations were performed using the large-scale atomic/molecular massively parallel simulator (LAMMPS) program [34], and the visualization application OVITO (open visualization tool) [35] was used to analyze the microstructural evolution process inside the model.

3. Results and Analysis

3.1. Analysis of Deformation Mechanism of { 10 1 - 2 }< 1 - 011 > Nanotwinned Titanium and Effect of Twin Boundary Spacing

We performed tensile and compression loading on the models with twin thicknesses of 6.9, 11.1, 13.8, and 27.6 nm, and their stress responses were recorded. Furthermore, the evolution process of the microstructure of the material during the simulation process was observed, and the plastic deformation mechanism of { 10 1 - 2 }< 1 - 011 > nanotwinned titanium under tensile and compression loading, as well as the impact of the twin boundary spacing on the plastic deformation of the model, was revealed.
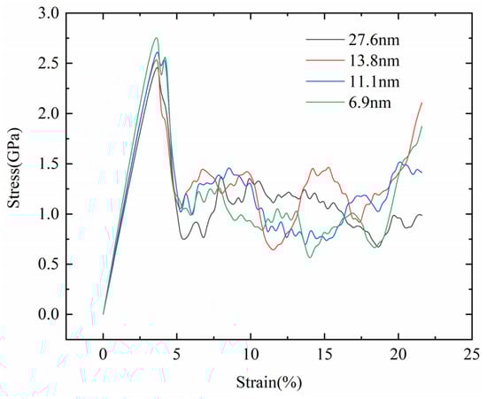
Figure 3 shows the stress–strain curves of the models with different twin boundary spacings under tensile loading. All the tensile stress–strain curves exhibited initial linear elastic deformation and reached a peak value, and then the flow stress suddenly decreased. This type of decline indicated that the model began to undergo plastic deformation. With increasing strain, the flow stress exhibited large fluctuations composed of peaks and troughs, which are typical characteristics of discrete plastic deformation in nanopillars [36]. As can be seen from the figure, the yield strengths of the models with four spacings ranged approximately from 2.4 to 2.8 GPa. Within the range of 6.0–27.6 nm, a smaller twin boundary resulted in a higher yield strength. The plastic stress of the model entered an oscillation stage after yielding. The largest magnitude of the oscillation was observed when the twin boundary spacing was 13.8 nm. At this moment, the mean flow stresses under different twin boundary spacings were not considerably different and the mean flow stresses of the four models were approximately in the range of 1.0–1.2 GPa.
To reveal the evolution process of the microstructure corresponding to the stress response of this type of nanotwinned titanium model, we selected three models with the twin boundary spacings of 13.8, 11.1, and 6.9 nm. The evolution processes of their atomic configurations with increasing tensile strain were carefully observed, and their plastic deformation mechanisms were analyzed in detail. As shown in Figure 4, in the elastic stage of the model, partial dislocation nucleation on the ( 0001 )[ 10 1 - 0 ] basal plane was observed at the twin boundaries of the three models (strains of 2.88–3.6% in Figure 4a–c). When the strain was increased to the yield point of the material (strains of 6.48–7.2% in Figure 4a–c), a partial dislocation nucleated on the twin boundary slipped to the adjacent twin boundary, and the path after slip became a basal stacking fault. The detailed atomic graph is shown in Figure 5a. It should be noted that when basal dislocations finally reached the adjacent twin boundary, dislocations were hindered by the twin boundary and reacted with it to form a base/cylinder interface (Figure 5b) so that the original smooth twin boundary became a broken line. As shown in Figure 4a–c, the strain was 14%. With increasing strain, the number of stacking faults caused by the basal faults continuously increased, and finally, the stacking faults merged with each other to complete a face-centered cubic phase transition. Subsequently, the broken-line-shaped twin boundary migrated, finally leading to the disappearance of part of the twin boundary, and the material underwent a face-centered cubic phase transition.
The deformations of the three models were largely the same in the elastic and plastic stages, so the differences in the stress–strain curves of all the nanotwinned titanium models in Figure 3 were not significant. From the in-depth analysis, it can be seen that the slip movement of a large number of nucleated basal partial dislocations on the twin boundary led the model to yield. This type of plastic deformation mechanism resulted in a decline in the stress, i.e., strain softening. When the adjacent twin boundary hindered dislocations, the stress increased to some extent, i.e., strain hardening. Therefore, it was an alternating process of the emission of a large number of partial dislocations on the basal plane and blocking by twin boundaries that caused the flow stress oscillations of the model in the plastic stage.
Figure 6 displays the stress–strain curves of the models with different twin boundary spacings under compression loading. The yield strengths of the models with four spacings ranged approximately from 2.6 to 3.6 GPa. The yield strength of a model with the same spacing was larger under compressive loading than under tensile loading, and the stress after yielding decreased to around 0.7 GPa. The model with a spacing of 13.8 nm exhibited the highest yield strength. That is, there was a critical twin spacing in the range of 6.9–27.6 nm, and it maximized the model yield strength. When the strain increased to 8%, the model slowly entered the strengthening stage, and the stress of the model with a twin boundary spacing of 11.1 nm could even reach 6.4 GPa. In addition, in the range of 6.9–27.6 nm, the variation trends of the stresses of the four models with increasing strain were generally consistent.
Similarly, to investigate the evolution process of the microstructure corresponding to the stress response of the { 10 1 - 2 }< 1 - 011 > nanotwinned titanium model under compression loading, we selected three models with twin boundary spacings of 27.6, 11.1, and 6.9 nm. The evolution processes of their atomic configurations with increasing compression strain were carefully observed, and their plastic deformation mechanisms were analyzed in detail. As shown in Figure 7, in the elastic stage, a large number of nucleated basal partial dislocations appeared on the twin boundaries of the three models. When the strain increased to 2.16–2.88%, the model yielded when the partial dislocations on the twin boundary were emitted, and the model entered the plastic deformation stage. When the strain further increased to 4.32–5.04%, it could be clearly seen that other than the emission of the partial dislocations on the twin boundary, there were numerous partial dislocations on the grain boundary. The path after they slipped became a basal stacking fault. Additionally, the twin boundary showed a blocking effect on the basal partial dislocations. This phenomenon was approximately the same as that of { 10 1 - 2 }< 1 - 011 > nanotwinned titanium under tensile loading. However, the difference was that, in addition to this deformation mechanism, apparent { 10 1 - 2 } twin boundary migration could be observed in the compression model. In particular, this was most evident in the model with a small spacing (Figure 7c), and there was also a detwinning phenomenon caused by twin boundary migration (Figure 8). When the strain increased to 7.92%, the dislocation slip and twin boundary migration continued to intensify. Finally, part of the twin boundary disappeared, and the material underwent a face-centered cubic phase transition.
The deformations of the three models in the elastic and plastic stages were approximately the same, so the differences in the stress–strain curves of the models within the twin boundary range of 6.9–27.6 nm were small. Under the compression loading, similarly, the emission of the nucleated basal partial dislocations on the twin boundary caused the model to yield. The deformation mechanism of the model in the initial plastic stage was dominated by dislocation slip. At this moment, the stress of the model was reduced to some extent. With increasing strain, the deformation mechanism of the model was dominated by the emission of basal impartial dislocations and the migration of twin boundaries. Because the twin boundary migration caused an increase in the flow stress, the model entered the strain hardening stage.
By comparing the above results, it can be seen that { 10 1 - 2 }< 1 - 011 > nanotwinned titanium exhibited tension–compression asymmetry, and this type of stress response under different loadings was caused by the different plastic deformation mechanisms. Under tensile loading, the plastic deformation mechanism of { 10 1 - 2 }< 1 - 011 > nanotwinned titanium was dominated by the slip of basal partial dislocations. Under compression loading, the plastic deformation mechanism of { 10 1 - 2 }< 1 - 011 > nanotwinned titanium changed and was dominated by the slip of basal impartial dislocations and twin boundary migration. This result was similar to the related research result of the plastic deformation mechanism of { 10 1 - 2 }< 1 - 011 > nanotwinned magnesium [37]. Apparently, twin boundary migration is more favorable for the enhancement of material plasticity and can allow the model to exhibit a strain hardening stage after yielding.

3.2. Analysis of Deformation Mechanism of { 10 1 - 1 }< 1 - 012 > Nanotwinned Titanium and Effect of Twin Boundary Spacing

Similar to the tests described in the previous section, we performed tensile and compression loading on models with twin thicknesses of 6.7, 10.8, 13.5, and 26.9 nm, and their stress responses were recorded. Furthermore, the evolution process of the microstructure of the material during the simulation process was observed, and the plastic deformation mechanism of { 10 1 - 1 }< 1 - 012 > nanotwinned titanium under tensile and compression loading, as well as the impact of the twin boundary spacing on the plastic deformation of the model, was revealed.
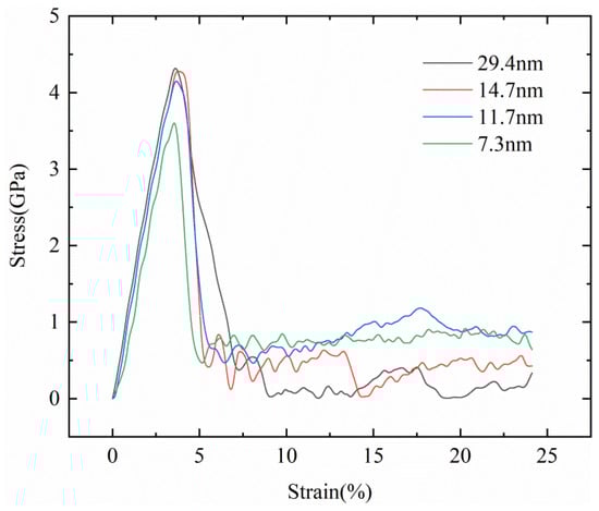
Figure 9 shows the stress–strain curves of the models with different twin boundaries under tensile loading. The yield strengths of the models with four spacings were approximately in the range of 8.5–9.5 GPa. The model with a twin boundary spacing of 13.5 nm exhibited the highest yield strength. When the strain was 6.48–6.84%, the model reached the yield point and the stress rapidly dropped afterward. Subsequently, with increasing strain, the stress entered a stage in which the overall state decreased but the local flow stress still oscillated. The model with a twin boundary spacing of 10.8 nm exhibited the largest drop in stress. According to the previous results [38], the ( 10 1 - 1 ) twin boundary had the lowest grain boundary energy of the three twin boundaries, ( 10 1 - 1 ), ( 10 1 - 2 ), and ( 10 1 - 3 ). This ensured that the ( 10 1 - 1 ) twin boundary had relatively high stability. Therefore, it can be speculated that it was difficult to have a large number of defect nucleation events on the twin boundary during the elastic stage, thus causing insufficient defects inside the model and highly concentrated stress. Compared to the { 10 1 - 2 }< 1 - 011 > nanotwin, the { 10 1 - 1 }< 10 1 - 2 - > nanotwin entered the plastic stage even later (strains of 2.88–3.6% in Figure 4a–c). Subsequently, the deformation was fast, and the plastic ability was even poorer.
To reveal the stress response of this type of nanotwinned titanium model, we selected two models with twin boundary spacings of 13.5 and 10.8 nm. The evolution processes of their atomic configurations with increasing tensile strain were carefully observed, and their plastic deformation mechanisms were analyzed in detail. In the elastic stage, a small number of partial dislocation nucleations on the ( 0001 )[ 10 1 - 0 ] basal plane were observed at the twin boundaries of the two models (strain of 6.48% in Figure 10a,b). When the strain increased to 7.56%, various defects in the model, including a substantial number of basal partial dislocations, a small number of conical and cylindrical dislocations (Figure 11), and cracks at the lower left of the model (strain of 7.56% in Figure 10a) and the upper left of the model (strain of 7.56% in Figure 10b), appeared. As the strain further increased, the stacking faults caused by the basal dislocations gradually increased and finally merged with each other to form a face-centered cubic structure area, and the degree of the face-centered cubic phase transition under the same strain was lower than that of the { 10 1 - 2 }< 1 - 011 > nanotwin. Furthermore, the cracks that initially formed could further propagate along the twin boundary (strain of 14% in Figure 10a,b). The propagation rate of the cracks of the model with a twin boundary spacing of 10.8 nm was relatively fast, and the stress concentration was released rapidly, resulting in a fast decline in stress.
The deformations of the two models were approximately the same in the elastic and plastic stages, so the differences in the stress–strain curves of the models within the twin boundary range of 6.7–26.9 nm were small. Under tensile loading, the deformation mechanism of the model in the initial plastic stage was dominated by a small number of basal dislocation slips. With increasing strain, the basal, conical, and cylindrical partial dislocations were constantly emitted as crack nucleation and growth occurred. Meanwhile, the appearance of many defects allowed the model to release the stress concentration in the elastic stage and coordinate plastic deformation, which also led to a dramatic stress decline in the model after yielding. According to the above analysis, { 10 1 - 1 }< 10 1 - 2 - > nanotwinned titanium possessed a high yield strength, but it had insufficient plastic toughness. This was because of the low grain boundary energy in its twin boundaries. The twin boundary structure was very stable and could not act as an effective source of defect nucleation. Therefore, in the { 10 1 - 1 }< 10 1 - 2 - > nanotwinned titanium model, it was difficult for dislocation slip or twin-coordinating strain to occur at low strain levels. Once the strain increased to 7.56%, a large number of defects appeared simultaneously. This special property severely weakened its plasticity.
Figure 12 displays the stress–strain curves of the models with different twin boundary spacings under compression loading. The yield strengths of the models with four spacings were in the approximate range of 3.7–5 GPa. The highest yield strength was found in the model with a twin boundary spacing of 6.7 nm, which was far smaller than that of the model with the same spacing under tensile loading. The plastic stress of the model after yielding entered a stage in which the overall state was stable but the local flow stress still oscillated. The model with a small spacing showed small oscillations, while large oscillations were observed in the model with a large spacing. The flow stress finally tended to stabilize, and the plasticity was even stronger than that under tensile loading.
Similarly, to investigate the stress response of this type of nanotwinned titanium model, we selected two models with twin boundary spacings of 13.5 and 6.7 nm. The evolution processes of their atomic configurations with increasing compression strain were carefully observed, and their plastic deformation mechanisms were analyzed in detail. As shown in Figure 13, similar to the elastic stage, partial dislocation nucleations on the ( 0001 )[ 10 1 - 0 ] basal plane were observed at the twin boundaries and grain boundaries of the three models (strain of 4.32% in Figure 13a,b). As the strain increased (strain of 6.84% in Figure 13a,b), when the yield point of the material was reached, the basal partial dislocation could be emitted to the adjacent twin boundary. When the basal dislocation finally reached the adjacent twin boundary, it interacted with the ( 10 1 - 1 ) twin boundary to trigger conical slip in the adjacent grain (Figure 14a) and left twin dislocation. With increasing strain (strain of 8.64% in Figure 13a,b), there was an increasing number of basal dislocation emissions. The basal dislocation slip led to a constant increase in the number of stacking faults, which finally merged into a face-centered cubic structure area. Twin dislocation movement drove the twin boundaries to migrate continuously (Figure 14b).
The deformations of the two models were approximately the same in the elastic and plastic stages, so the differences in the stress–strain curves of all nanotwinned titanium models in Figure 12 were small. Under compression loading, similarly, the emission of the nucleated basal partial dislocations on the twin plane triggered the model to yield. The deformation mechanism of the model in the initial plastic stage was dominated by dislocation slip, and at this moment, the stress of the model decreased to some extent. With increasing strain, the interactions between basal partial dislocations and twin boundaries generated conical stacking faults, and the synergistic effect of the slip of basal partial dislocations and twin boundary migration dominated the plastic deformation of the model.
By comparing the above results, it can be seen that { 10 1 - 1 }< 10 1 - 2 - > nanotwinned titanium similarly exhibited tension–compression asymmetry, and this type of stress response under different loadings was caused by different deformation mechanisms. Under tensile loading, the plastic deformation mechanism of { 10 1 - 1 }< 10 1 - 2 - > nanotwinned titanium was dominated by the slip of basal partial dislocations. With increasing strain, the nucleation and propagation of cracks occurred on the twin boundary. However, under compression loading, the plastic deformation mechanism of the { 10 1 - 1 }< 10 1 - 2 - > nanotwinned titanium was dominated by a combination of the slip of basal partial dislocations and twin boundary migration.

3.3. Analysis of Deformation Mechanism of { 11 2 - 4 }< 22 4 - 3 - > Nanotwinned Titanium and Effect of Twin Boundary Spacing

Similar to the previous two sections, we performed tensile and compression loading on models with twin thicknesses of 7.3, 11.7, 17, and 29.4 nm, and their stress responses were recorded. Furthermore, the evolution process of the microstructure of the material during the simulation process was observed in detail, and the plastic deformation mechanism of { 11 2 - 4 }< 22 4 - 3 - > nanotwinned titanium under tensile and compression loading, as well as the impact of the twin boundary spacing on the plastic deformation of the model, was revealed.
Figure 15 displays the stress–strain curves of the models with different twin boundary spacings under tensile loading. The yield strengths of the models with spacings of 11.7–29.4 nm were approximately in the range of 1–2 GPa. The yield strength of the model with a twin boundary spacing of 7.3 nm was relatively small, reaching 3.6 GPa. Within a range of 7.3–29.4 nm, a smaller twin boundary led to a smaller yield strength of the model. The plastic stress of the model after yielding entered a stage in which the overall state was stable, but the local flow stress still oscillated. The model with small spacing showed small oscillations, while large oscillations were observed in the model with large spacing. At this moment, the mean flow stresses of different twin boundary spacings showed large differences. The mean flow stresses of the models with twin boundary spacings of 7.3 and 11.7 nm were about 0.75 GPa, and those of the models with twin boundary spacings of 17 and 29.4 nm were about 0.4–0.5 GPa.
To investigate the stress response of this type of nanotwinned titanium model, we selected two models with twin boundary spacings of 17 and 7.3 nm. The evolution processes of their atomic configurations with increasing tensile strain were carefully observed, and their plastic deformation mechanisms were analyzed in detail. As shown in Figure 16, the nucleation of a ( 0001 )[ 10 1 - 0 ] basal partial dislocation was observed on the twin boundary of the model in the elastic stage (strain of 3.96% in Figure 16), and meanwhile, there was ( 11 2 - 1 ) twin nucleation on the other side of the dislocation nucleation position on the twin boundary. With increasing strain (strain of 4.32% in Figure 16), when the yield point of the material was reached, the nucleated basal partial dislocation on the twin boundary could slip to the adjacent twin boundary. When the basal dislocation finally reached the adjacent twin boundary, it interacted with a ( 11 2 - 4 ) twin to form a ( 11 2 - 1 ) twin, which was consistent with the interaction between basal plane <a> full dislocation and the ( 11 2 - 4 ) twin boundary. It should be noted that the emitted basal partial dislocation was located on the adjacent slip plane, and the region after the slip returned to a close-packed hexagonal structure, forming a stacking fault boundary. However, in the { 10 1 - 2 }< 1 - 011 > and { 10 1 - 1 }< 10 1 - 2 - > twins, the slip planes of the emitted basal impartial dislocation were separated by two layers, which triggered an increase in the number of stacking faults and formed a face-centered cubic phase transition. With increasing strain (strains of 4.68–5.04% in Figure 16), the initially nucleated ( 11 2 - 1 ) twins moved across stacking fault boundaries toward adjacent twin boundaries (Figure 17a,b) and finally interacted with ( 11 2 - 4 ) twins to form basal-plane-led partial dislocation. In addition, an increasing number of basal impartial dislocations interacted with ( 11 2 - 4 ) twins, leading to the further expansion and thickening of ( 11 2 - 1 ) twins. This group of ( 11 2 - 1 ) twins reached the grain boundary to form steps, and the ( 11 2 - 4 ) twin boundary was replaced by the ( 11 2 - 2 ) twin boundary after this occurred. In Figure 16, the strains were 5.67–14.04%, ( 11 2 - 1 ) twin boundary migration continuously intensified, and the detwinning phenomenon occurred inside the model, reducing stress. Finally, a certain degree of necking occurred in the model, and the basal stacking fault boundary and ( 11 2 - 1 ) twin boundary cross-divided the model. The evolution processes of the atomic configurations of the 17 and 29.4 nm models were similar and are not described.
As shown in Figure 18, the nucleation of the ( 0001 )[ 10 1 - 0 ] basal partial dislocation was observed on the twin boundary of the model in the elastic stage (strain of 3.24% in Figure 18), and meanwhile, there was ( 11 2 - 1 ) twin nucleation on the other side of the dislocation nucleation position on the twin boundary. With increasing strain (strain of 3.96% in Figure 18), when the yield point of the material was reached, the basal partial dislocation could slip to the adjacent twin boundary and finally reach the adjacent twin boundary. It interacted with a ( 11 2 - 4 ) twin to form a ( 11 2 - 1 ) twin. The ( 11 2 - 1 ) twin further expanded and finally interacted with the ( 11 2 - 4 ) twin to generate a basal-plane-led impartial dislocation, and the emitted basal-plane-led impartial dislocation interacted with the ( 11 2 - 4 ) twin to form a ( 11 2 - 1 ) twin. The region after dislocation slip returned to a close-packed hexagonal structure, forming a stacking fault boundary, and similarly, the ( 11 2 - 4 ) twin boundary after this process was replaced by the ( 11 2 - 2 ) twin boundary. With further increasing strain (strain of 4.32–18% in Figure 18), an increasing number of basal impartial dislocations were emitted and interacted with the ( 11 2 - 4 ) twin, and the spacing between the ( 11 2 - 1 ) secondary twin and stacking fault increased. Finally, the stacking fault boundary was connected to the ( 11 2 - 1 ) twin boundary, parallelly dividing the model into a parallelogram region. The evolution processes of the atomic configurations of the 11.7 and 7.3 nm models were similar and are not described.
The results of the two models in the elastic stage were generally consistent, and there was a slight difference in the plastic stage, leading to a difference in the stress–strain curves of nanotwinned titanium in Figure 15 in the plastic stage. Via in-depth analysis, it was found that the emission of numerous nucleated basal dislocations on the twin boundary, the emission of twin dislocations, twin boundary migration, and the detwinning caused by the twin boundary migration all resulted in a decline in the stress. However, the twin boundary blocking the basal dislocation slip and the twin boundary and stacking fault boundary blocking twin dislocations resulted in an increase in stress. Therefore, the oscillations of the flow stress in the plastic stage were primarily caused by the alternation of the emissions of basal dislocations and twin dislocations and the blockage of these emissions by twin boundaries. For the model with a spacing of 17 nm, the movement distance of dislocations and twin dislocations was even longer, and it was more difficult for dislocation–twin and twin–twin interactions to occur. Meanwhile, the nucleation directions of basal dislocations crossed each other, leading to the crossing of the stacking fault boundary and the ( 11 2 - 1 ) twin boundary. Additionally, the detwinning caused by the ( 11 2 - 1 ) twin crossing, the stacking dislocation boundary, and the migration of the ( 11 2 - 1 ) twin boundary was unique for the model with a spacing of 17 nm, causing large oscillations in the curve. For the model with a spacing of 7.3 nm, due to the small spacing of the twin boundary, the movement distance of dislocations and secondary twins was even smaller, and it was easier for dislocation–twin and twin–twin interactions to occur. Meanwhile, the directions of basal dislocation nucleation were parallel to each other.
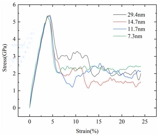
Figure 19 shows the stress–strain curves of the models with different twin boundary spacings under compression loading. The yield strengths of the models with four twin boundary spacings were approximately the same, generally in the range of 5.3–5.4 GPa. The impact of twin boundary spacing on the yield strength was not evident. The plastic stress of the model after yielding entered an overall state in which the oscillations in the early stage were relatively large and the oscillations in the late stage were relatively small. However, the local flow stress was still in the oscillating stage. The model with a small spacing showed small oscillations, and the model with a large spacing showed large oscillations. At this moment, the difference in the mean flow stress under different twin boundary spacings was relatively large. The mean flow stresses of the models with twin boundary spacings of 7.3, 11.7, and 29.4 nm were approximately in the range of 2–2.3 GPa, while the mean flow stress of the model with a twin boundary spacing of 17 nm was around 1.5 GPa. The yield strength and plastic flow stress of the model with the same spacing were higher than those under tensile loading.
To reveal the stress response of this type of nanotwinned titanium model, we selected two models with twin boundary spacings of 17 and 7.3 nm. The evolution processes of their atomic configurations with increasing compression strain were carefully observed, and their plastic deformation mechanisms were analyzed in detail. As can be seen in Figure 20, in the elastic stage, similarly, the nucleation of a ( 0001 )[ 10 1 - 0 ] basal impartial dislocation on the twin boundary and grain boundary, as well as twin nucleation on the other side of the nucleation position of the twin boundary dislocation, was observed. When the strain increased to the yield point of the material (strain of 4.68% in Figure 20a,b), the basal impartial dislocation slipped to the adjacent twin boundary. When the basal dislocation finally reached the adjacent twin boundary, it reacted with a ( 11 2 - 4 ) twin to leave steps, and a basal impartial dislocation was emitted on the other side of the twin boundary. As the strain increased further (strain of 7.56–11.52% in Figure 20a; strain of 5.76–10.8% in Figure 20b), an increasing number of basal impartial dislocations were emitted and interacted with the ( 11 2 - 4 ) twin to form basal impartial dislocations, and only a small number of basal dislocations interacted with the ( 11 2 - 4 ) twin to generate a ( 11 2 - 1 ) secondary twin.
By comparing the above results, it can be seen that { 11 2 - 4 }< 22 4 - 3 - > nanotwinned titanium similarly exhibited tension–compression asymmetry, and this type of stress response under different loadings was caused by different deformation mechanisms. Under tensile loading, the plastic deformation mechanism of { 11 2 - 4 }< 22 4 - 3 - > nanotwinned titanium was dominated by dislocation–twin and twin–twin interactions, and there was also a detwinning phenomenon caused by twin boundary migration in the model with a large spacing. However, under compression loading, the plastic deformation mechanism of { 11 2 - 4 }< 22 4 - 3 - > nanotwinned titanium was dominated by the slip of basal impartial dislocations, the main product of dislocation–twin interactions was basal dislocation, and the number of secondary twins was small.

4. Conclusions

Based on the molecular dynamics simulation method, { 10 1 - 2 }< 1 - 011 >, { 10 1 - 1 }< 10 1 - 2 - >, and { 11 2 - 4 }< 22 4 - 3 - > nanotwinned titanium twins were studied, and their deformation processes under tensile and compression loading were simulated. The evolution process of their microstructures was observed in detail, and the impact of the twin boundary spacing on the model’s plastic deformation was investigated at the same time. The following conclusions were drawn:
(1)
For { 10 1 - 2 }< 1 - 011 > nanotwinned titanium, the yield strength of the model with the same spacing under tensile loading was even smaller than that under compression loading. Under tensile loading, the plastic deformation of the material was dominated by basal plane dislocation slip, basal plane stacking faults, and face-centered cubic phase transitions. At this moment, the yield strength of the model increased with decreasing twin boundary spacing. However, under compression loading, the plastic deformation mechanism of the material changed from the slip of basal impartial dislocations to a combination of the slip of basal impartial dislocations and twin boundary migration with increasing strain.
(2)
For { 10 1 - 1 }< 10 1 - 2 - > nanotwinned titanium, the yield strength of the model with the same spacing under tensile loading was approximately twice as high as that under compression loading. Under tensile loading, the plastic deformation mechanism of the material was dominated by the slip of basal impartial dislocations. With increasing strain, the nucleation and expansion of the cracks occurred on the twin boundaries. Under compression loading, the plastic deformation of the material was dominated by the slip of basal impartial dislocations and twin boundary migration.
(3)
For { 11 2 - 4 }< 22 4 - 3 - > nanotwinned titanium, the yield strength and the plastic flow stress of the model with the same spacing under tensile loading were smaller than those under compression loading. Under tensile loading, the plastic deformation mechanism of the material was dominated by dislocation–twin and twin–twin interactions. There was also a detwinning phenomenon caused by twin boundary migration in the model with a large spacing. Under compression loading, the plastic deformation of the material was dominated by the slip of basal impartial dislocations, and the main products of the dislocation–twin interactions were basal dislocations.
Different types of nanotwinned titanium models contained different twin boundaries, leading to different types of dislocation–twin interactions and significant differences in the mechanical properties and plastic deformation mechanisms. For the { 10 1 - 2 }< 1 - 011 > twin, a basal dislocation inside the twin was more likely to nucleate on the twin boundary and induce a large number of dislocation activities, so its plasticity was enhanced to some extent. The { 10 1 - 1 }< 10 1 - 2 - > twin boundaries were highly stable and did not have a large number of dislocations for nucleation. This property improved the yield strength of the material. However, the lack of dislocations inside the material also led to the low plasticity of the material. The { 11 2 - 4 }< 22 4 - 3 - > twin boundary could interact with dislocations to generate secondary twins, and the secondary twins expanded and interacted with the { 11 2 - 4 }< 22 4 - 3 - > twin boundaries to generate dislocations, forming a dislocation–twin cycle and providing high ductility without sacrificing strength. The mechanical properties could be further optimized by selecting the appropriate twin type and adjusting the twin layer thickness.

Author Contributions

Conceptualization, B.W.; methodology, B.W. and K.J.; software, B.W., K.J. and Y.Y.; validation, Y.Y.; formal analysis, B.W.; investigation, K.J.; writing—original draft, B.W.; writing—review and editing, K.J. and Y.Y.; supervision, K.J.; funding acquisition, Y.Y. All authors have read and agreed to the published version of the manuscript.

Funding

The work reported here is supported by NSFC through Grant No. 12272043.

Data Availability Statement

The raw data supporting the conclusions of this article will be made available by the authors on request.

Conflicts of Interest

The authors declare no conflict of interest.

References

  1. Lei, T. Titanium and Titanium Alloys; Metallurgical Industry Press: Beijing, China, 2018. (In Chinese) [Google Scholar]
  2. Tu, S.D. High-Temperature Structural Integrity; China Science Publishing and Media: Beijing, China, 2003. (In Chinese) [Google Scholar]
  3. Lu, J.Z.; Wu, L.J.; Sun, G.F.; Luo, K.Y.; Zhang, Y.K.; Cai, J.; Cui, C.Y.; Luo, X.M. Microstructural response and grain refinement mechanism of commercially pure titanium subjected to multiple laser shock peening impacts. Acta Mater. 2017, 127, 252–266. [Google Scholar] [CrossRef]
  4. Yan, C.K.; Feng, A.H.; Qu, S.J.; Cao, G.J.; Sun, J.L.; Shen, J.; Chen, D.L. Dynamic recrystallization of titanium: Effect of pre-activated twinning at cryogenic temperature. Acta Mater. 2018, 154, 311–324. [Google Scholar] [CrossRef]
  5. Wen, M.; Liu, G.; Gu, J.; Guan, W.; Lu, J. Dislocation evolution in titanium during surface severe plastic deformation. Appl. Surf. Sci. 2009, 255, 6097–6102. [Google Scholar] [CrossRef]
  6. Yapici, G.G.; Karaman, I.; Luo, Z.P. Mechanical twinning and texture evolution in severely deformed Ti-6Al-4V at high temperatures. Acta Mater. 2006, 54, 3755–3771. [Google Scholar] [CrossRef]
  7. Jang, D.; Li, X.; Gao, H.; Greer, J.R. Deformation mechanisms in nanotwinned metal nanopillars. Nat. Nanotechnol. 2012, 7, 594–601. [Google Scholar] [CrossRef]
  8. Hodge, A.M.; Furnish, T.A.; Navid, A.A.; Barbee, T.W., Jr. Shear band formation and ductility in nanotwinned Cu. Scr. Mater. 2011, 65, 1006–1009. [Google Scholar] [CrossRef]
  9. Klay, E.; Diologent, F.; Durussel, A.; Mortensen, A. Thermally activated deformation of two-and three-variant nanotwinned L10 Au-Cu-Pt. Intermetallics 2011, 19, 988–996. [Google Scholar] [CrossRef]
  10. Niu, R.; Han, K. Strain hardening and softening in nanotwinned Cu. Scr. Mater. 2013, 68, 960–963. [Google Scholar] [CrossRef]
  11. Wang, H.T.; Tao, N.R.; Lu, K. Architectured surface layer with a gradient nanotwinned structure in a Fe-Mn austenitic steel. Scr. Mater. 2013, 68, 22–27. [Google Scholar] [CrossRef]
  12. Wang, H.T.; Tao, N.R.; Lu, K. Strengthening an austenitic Fe-Mn steel using nanotwinned austenitic grains. Acta Mater. 2012, 60, 4027–4040. [Google Scholar] [CrossRef]
  13. Yan, F.K.; Tao, N.R.; Archie, F.; Gutiérrez-Urrutia, I.; Raabe, D.; Lu, K. Deformation mechanisms in an austenitic single-phase duplex microstructured steel with nanotwinned grains. Acta Mater. 2014, 81, 487–500. [Google Scholar] [CrossRef]
  14. Lin, Y.; Liu, X.; Li, S.; Zeng, Z. A multi-scale Al-Mg alloy containing ultra-fine lamellar structure. Mater. Sci. Eng. A 2015, 636, 207–215. [Google Scholar] [CrossRef]
  15. Yu, Q.; Qi, L.; Chen, K.; Mishra, R.K.; Li, J.; Minor, A.M. The nanostructured origin of deformation twinning. Nano Lett. 2012, 12, 887–892. [Google Scholar] [CrossRef] [PubMed]
  16. Kobler, A.; Beuth, T.; Klöffel, T.; Prang, R.; Moosmann, M.; Scherer, T.; Walheim, S.; Hahn, H.; Kübel, C.; Meyer, B.; et al. Nanotwinned silver nanowires: Structure and mechanical properties. Acta Mater. 2015, 92, 299–308. [Google Scholar] [CrossRef]
  17. Bufford, D.; Wang, H.; Zhang, X. High strength, epitaxial nanotwinned Ag films. Acta Mater. 2011, 59, 93–101. [Google Scholar] [CrossRef]
  18. Sun, L.G.; He, X.Q.; Wang, J.B.; Lu, J. Deformation and failure mechanisms of nanotwinned copper films with a pre-existing crack. Mater. Sci. Eng. A 2014, 606, 334–345. [Google Scholar] [CrossRef]
  19. Dao, M.; Lu, L.; Shen, Y.F.; Suresh, S. Strength, strain-rate sensitivity and ductility of copper with nanoscale twins. Acta Mater. 2006, 54, 5421–5432. [Google Scholar] [CrossRef]
  20. Hodge, A.M.; Wang, Y.M.; Barbee, T.W., Jr. Mechanical deformation of high-purity sputter-deposited nano-twinned copper. Scr. Mater. 2008, 59, 163–166. [Google Scholar] [CrossRef]
  21. Lu, L.; Chen, X.; Huang, X.; Lu, K. Revealing the maximum strength in nanotwinned copper. Science 2009, 323, 607–610. [Google Scholar] [CrossRef]
  22. Duan, F.H.; Lin, Y.; Li, Q.; Luan, J.H.; Lu, J.; Pan, J.; Li, Y. Hardness-thermal stability synergy in nanograined Ni and Ni alloys: Superposition of nanotwin and low-energy columnar boundary. J. Mater. Sci. Technol. 2023, 137, 123–131. [Google Scholar] [CrossRef]
  23. Serra, A.; Bacon, D.J.; Pond, R.C. Twins as barriers to basal slip in hexagonal-close-packed metals. Metall. Mater. Trans. A 2002, 33, 809–812. [Google Scholar] [CrossRef]
  24. Proust, G.; Tomé, C.N.; Jain, A.; Agnew, S.R. Modeling the effect of twinning and detwinning during strain-path changes of magnesium alloy AZ31. Int. J. Plast. 2009, 25, 861–880. [Google Scholar] [CrossRef]
  25. Basinski, Z.S.; Szczerba, M.S.; Niewczas, M.; Embury, J.D.; Basinski, S.J. The transformation of slip dislocations during twinning of copper-aluminum alloy crystals. Rev. Metall. 1997, 94, 1037–1044. [Google Scholar] [CrossRef]
  26. Zhu, Z.; Basoalto, H.; Warnken, N.; Reed, R.C. A model for the creep deformation behaviour of nickel-based single crystal superalloys. Acta Mater. 2012, 60, 4883–4889. [Google Scholar] [CrossRef]
  27. Zhao, S.T.; Zhang, R.P.; Yu, Q.; Ell, J.; Ritchie, R.O.; Minor, A.M. Cryoforged nanotwinned titanium with ultrahigh strength and ductility. Science 2021, 373, 1363–1368. [Google Scholar] [CrossRef] [PubMed]
  28. Wang, Q.Q.; Liu, Z.Q. Plastic deformation induced nano-scale twins in Ti-6Al-4V machined surface with high speed machining. Mater. Sci. Eng. A 2016, 675, 271–279. [Google Scholar] [CrossRef]
  29. Guan, X.R.; Chen, Q.; Qu, S.J.; Cao, G.J.; Wang, H.; Ran, X.D.; Feng, A.H.; Chen, D.L. High-strain-rate deformation: Stress-induced phase transformation and nanostructures in a titanium alloy. Int. J. Plast. 2023, 169, 103707. [Google Scholar] [CrossRef]
  30. Zhu, Y.H.; Hu, X.W.; Ni, Y.S. Molecular dynamics simulation of microstructure evolution during the fracture process of nano-twinned Ag. Eng. Fract. Mech. 2021, 248, 107743. [Google Scholar] [CrossRef]
  31. Liu, P.; Xie, J.; Wang, A.; Ma, D.; Mao, Z. Molecular dynamics simulation on the deformation mechanism of monocrystalline and nano-twinned TiN under nanoindentation. Mater. Chem. Phys. 2020, 252, 123263. [Google Scholar] [CrossRef]
  32. Zhou, X.W.; Johnson, R.A.; Wadley, H.N.G. Misfit-energy-increasing dislocations in vapor-deposited CoFe/NiFe multilayers. Phys. Rev. B 2004, 69, 144113. [Google Scholar] [CrossRef]
  33. An, M.; Deng, Q.; Li, Y.; Song, H.; Su, M.; Cai, J. Molecular dynamics study of tension-compression asymmetry of nanocrystal α-Ti with stacking fault. Mater. Des. 2017, 127, 204–214. [Google Scholar] [CrossRef]
  34. Plimpton, S. Fast parallel algorithms for short-range molecular dynamics. J. Comput. Phys. 1995, 117, 1–9. [Google Scholar] [CrossRef]
  35. Stukowski, A. Visualization and analysis of atomistic simulation data with OVITO—The Open Visualization Tool. Model. Simul. Mater. Sci. Eng. 2009, 18, 015012. [Google Scholar] [CrossRef]
  36. Sainath, G.; Rohith, P.; Nagesha, A. Role of twin boundary position on the yield strength of Cu nanopillars. Comput. Mater. Sci. 2021, 197, 110564. [Google Scholar] [CrossRef]
  37. Zhou, L. Molecular Dynamics Study on the Mechanical Behaviors of Grain Boundaries and Nanotwins. Doctoral Thesis, Beijing Jiaotong University, Beijing, China, 2016. (In Chinese). [Google Scholar]
  38. Wang, J.; Beyerlein, I.J.; Tomé, C.N. Reactions of lattice dislocations with grain boundaries in Mg: Implications on the micro scale from atomic-scale calculations. Int. J. Plast. 2014, 56, 156–172. [Google Scholar] [CrossRef]
Figure 1. Potential energy per atom for { 10 1 - 2 }< 1 - 011 >, { 10 1 - 1 }< 10 1 - 2 - >, and { 11 2 - 4 }< 22 4 - 3 - > twin boundaries.
Figure 1. Potential energy per atom for { 10 1 - 2 }< 1 - 011 >, { 10 1 - 1 }< 10 1 - 2 - >, and { 11 2 - 4 }< 22 4 - 3 - > twin boundaries.
Metals 14 00918 g001
Figure 2. Atomistic configurations of { 10 1 - 2 }< 1 - 011 > nanotwinned titanium with different twin boundary spacings: (a) 13.8 nm; (b) 11.1 nm; (c) 6.9 nm.
Figure 2. Atomistic configurations of { 10 1 - 2 }< 1 - 011 > nanotwinned titanium with different twin boundary spacings: (a) 13.8 nm; (b) 11.1 nm; (c) 6.9 nm.
Metals 14 00918 g002
Figure 3. Stress–strain curves of { 10 1 - 2 }< 1 - 011 > nanotwinned titanium with different twin boundary spacings under tensile loadings.
Figure 3. Stress–strain curves of { 10 1 - 2 }< 1 - 011 > nanotwinned titanium with different twin boundary spacings under tensile loadings.
Metals 14 00918 g003
Figure 4. Atomistic configurations of { 10 1 - 2 }< 1 - 011 > nanotwinned titanium with different twin boundary spacings under tensile loadings: (a) 13.8 nm; (b) 11.1 nm; (c) 6.9 nm.
Figure 4. Atomistic configurations of { 10 1 - 2 }< 1 - 011 > nanotwinned titanium with different twin boundary spacings under tensile loadings: (a) 13.8 nm; (b) 11.1 nm; (c) 6.9 nm.
Metals 14 00918 g004
Figure 5. (a) Basal partial dislocation emitted from ( 10 1 - 2 ) TB; (b) creation of numerous basal/prismatic interfaces.
Figure 5. (a) Basal partial dislocation emitted from ( 10 1 - 2 ) TB; (b) creation of numerous basal/prismatic interfaces.
Metals 14 00918 g005
Figure 6. Stress–strain curves of { 10 1 - 2 }< 1 - 011 > nanotwinned titanium with different twin boundary spacings under compressive loadings.
Figure 6. Stress–strain curves of { 10 1 - 2 }< 1 - 011 > nanotwinned titanium with different twin boundary spacings under compressive loadings.
Metals 14 00918 g006
Figure 7. Atomistic configurations of { 10 1 - 2 }< 1 - 011 > nanotwinned titanium with different twin boundary spacings under compressive loadings: (a) 27.6 nm; (b) 11.1 nm; (c) 6.9 nm.
Figure 7. Atomistic configurations of { 10 1 - 2 }< 1 - 011 > nanotwinned titanium with different twin boundary spacings under compressive loadings: (a) 27.6 nm; (b) 11.1 nm; (c) 6.9 nm.
Metals 14 00918 g007
Figure 8. The phenomenon of detwinning due to ( 10 1 - 2 ) TB migration: (a) 11.1 nm; (b) 6.9 nm.
Figure 8. The phenomenon of detwinning due to ( 10 1 - 2 ) TB migration: (a) 11.1 nm; (b) 6.9 nm.
Metals 14 00918 g008
Figure 9. Stress–strain curves of { 10 1 - 1 }< 10 1 - 2 - > nanotwinned titanium with different twin boundary spacings under tensile loadings.
Figure 9. Stress–strain curves of { 10 1 - 1 }< 10 1 - 2 - > nanotwinned titanium with different twin boundary spacings under tensile loadings.
Metals 14 00918 g009
Figure 10. Atomistic configurations of { 10 1 - 1 }< 10 1 - 2 - > nanotwinned titanium with different twin boundary spacings under tensile loadings: (a) 13.5 nm; (b) 10.8 nm.
Figure 10. Atomistic configurations of { 10 1 - 1 }< 10 1 - 2 - > nanotwinned titanium with different twin boundary spacings under tensile loadings: (a) 13.5 nm; (b) 10.8 nm.
Metals 14 00918 g010
Figure 11. (a) A ( 10 1 - 1 ) pyramidal partial dislocation; (b) a prismatic partial dislocation.
Figure 11. (a) A ( 10 1 - 1 ) pyramidal partial dislocation; (b) a prismatic partial dislocation.
Metals 14 00918 g011
Figure 12. Stress–strain curves of { 10 1 - 1 }< 10 1 - 2 - > nanotwinned titanium with different twin boundary spacings under compressive loadings.
Figure 12. Stress–strain curves of { 10 1 - 1 }< 10 1 - 2 - > nanotwinned titanium with different twin boundary spacings under compressive loadings.
Metals 14 00918 g012
Figure 13. Atomistic configurations of { 10 1 - 1 }< 10 1 - 2 - > nanotwinned titanium with different twin boundary spacings under compressive loadings: (a) 13.5 nm; (b) 6.7 nm.
Figure 13. Atomistic configurations of { 10 1 - 1 }< 10 1 - 2 - > nanotwinned titanium with different twin boundary spacings under compressive loadings: (a) 13.5 nm; (b) 6.7 nm.
Metals 14 00918 g013
Figure 14. (a) A ( 10 1 - 1 ) pyramidal slip; (b) the migration of ( 10 1 - 1 ) TB due to twinning dislocation slip.
Figure 14. (a) A ( 10 1 - 1 ) pyramidal slip; (b) the migration of ( 10 1 - 1 ) TB due to twinning dislocation slip.
Metals 14 00918 g014
Figure 15. Stress–strain curves of { 11 2 - 4 }< 22 4 - 3 - > nanotwinned titanium with different twin boundary spacings under tensile loadings.
Figure 15. Stress–strain curves of { 11 2 - 4 }< 22 4 - 3 - > nanotwinned titanium with different twin boundary spacings under tensile loadings.
Metals 14 00918 g015
Figure 16. Atomistic configurations of { 11 2 - 4 }< 22 4 - 3 - > nanotwinned titanium with twin boundary spacings of 17 nm under tensile loading.
Figure 16. Atomistic configurations of { 11 2 - 4 }< 22 4 - 3 - > nanotwinned titanium with twin boundary spacings of 17 nm under tensile loading.
Metals 14 00918 g016
Figure 17. (a,b) The ( 11 2 - 1 ) twin cutting through basal SF boundaries, and (c,d) ( 11 2 - 1 ) TB migration leading to detwinning.
Figure 17. (a,b) The ( 11 2 - 1 ) twin cutting through basal SF boundaries, and (c,d) ( 11 2 - 1 ) TB migration leading to detwinning.
Metals 14 00918 g017
Figure 18. Atomistic configurations of { 11 2 - 4 }< 22 4 - 3 - > nanotwinned titanium with twin boundary spacings of 7.3 nm under tensile loading.
Figure 18. Atomistic configurations of { 11 2 - 4 }< 22 4 - 3 - > nanotwinned titanium with twin boundary spacings of 7.3 nm under tensile loading.
Metals 14 00918 g018
Figure 19. Stress–strain curves of { 11 2 - 4 }< 22 4 - 3 - > nanotwinned titanium with different twin boundary spacings under compressive loadings.
Figure 19. Stress–strain curves of { 11 2 - 4 }< 22 4 - 3 - > nanotwinned titanium with different twin boundary spacings under compressive loadings.
Metals 14 00918 g019
Figure 20. Atomistic configurations of the { 11 2 - 4 }< 22 4 - 3 - > nanotwinned titanium with different twin boundary spacings under compressive loadings, (a) 17 nm; (b) 7.3 nm.
Figure 20. Atomistic configurations of the { 11 2 - 4 }< 22 4 - 3 - > nanotwinned titanium with different twin boundary spacings under compressive loadings, (a) 17 nm; (b) 7.3 nm.
Metals 14 00918 g020
Disclaimer/Publisher’s Note: The statements, opinions and data contained in all publications are solely those of the individual author(s) and contributor(s) and not of MDPI and/or the editor(s). MDPI and/or the editor(s) disclaim responsibility for any injury to people or property resulting from any ideas, methods, instructions or products referred to in the content.

Share and Cite

MDPI and ACS Style

Wu, B.; Jin, K.; Yao, Y. Molecular Dynamics Study on the Mechanical Behaviors of Nanotwinned Titanium. Metals 2024, 14, 918. https://doi.org/10.3390/met14080918

AMA Style

Wu B, Jin K, Yao Y. Molecular Dynamics Study on the Mechanical Behaviors of Nanotwinned Titanium. Metals. 2024; 14(8):918. https://doi.org/10.3390/met14080918

Chicago/Turabian Style

Wu, Bingxin, Kaikai Jin, and Yin Yao. 2024. "Molecular Dynamics Study on the Mechanical Behaviors of Nanotwinned Titanium" Metals 14, no. 8: 918. https://doi.org/10.3390/met14080918

APA Style

Wu, B., Jin, K., & Yao, Y. (2024). Molecular Dynamics Study on the Mechanical Behaviors of Nanotwinned Titanium. Metals, 14(8), 918. https://doi.org/10.3390/met14080918

Note that from the first issue of 2016, this journal uses article numbers instead of page numbers. See further details here.

Article Metrics

Back to TopTop