Next Article in Journal
Microstructure Tailoring for High Strength Ti-6Al-4V without Alloying Elements through Optimized Preheating and Post-Heating Laser Scanning in Laser Powder Bed Fusion
Previous Article in Journal
Preparation of Two Novel Stable Silica-Based Adsorbents for Selective Separation of Sr from Concentrated Nitric Acid Solution
 
 
Font Type:
Arial Georgia Verdana
Font Size:
Aa Aa Aa
Line Spacing:
Column Width:
Background:
Article

Effect of Al2O3 on Crystallization, Microstructure, and Properties of Glass Ceramics Based on Lead Fuming Furnace-Slag

1
School of Metallurgy, Northeastern University, Shenyang 110819, China
2
Key Laboratory for Recycling of Nonferrous Metal Resources, Northeastern University, Shenyang 110819, China
*
Author to whom correspondence should be addressed.
Metals 2024, 14(6), 628; https://doi.org/10.3390/met14060628
Submission received: 26 March 2024 / Revised: 12 May 2024 / Accepted: 22 May 2024 / Published: 25 May 2024

Abstract

In the paper, glass ceramics used as architectural materials were prepared based on lead fuming furnace-slag (LFFS) by a synergistic sinter-crystallization method. The effects of Al2O3 addition on the crystallization phase, crystallization kinetics, and mechanical performance of glass ceramics were investigated. The results showed that the phases of the glass ceramics prepared were composed of gehlenite and wollastonite, and crystallization kinetics analysis showed that bulk crystallization dominated the overall crystallization process in the Al2O3 content range from 2% to 8%. The glass transition temperature and the crystallization peak temperature of the glass ceramics generally increased with the increase in the Al2O3 content. Additionally, the crystalline morphology gradually developed from sheet-like to spherical, while the number of pores increased and the bulk density gradually decreased. When the Al2O3 content was 2%, the bending strength of glass ceramics reached its maximum, 75.1 MPa, corresponding to a bulk density of 2.24 g·cm−3. Owing to the high strength and relatively low bulk density, the sintered glass ceramics appear promising for potential applications in lightweight construction tiles.

1. Introduction

Lead fuming furnace-slag (LFFS) is a by-product of lead production, which contains SiO2, CaO, Al2O3, and so on, and improper disposal can cause a serious waste of resources and environment problems [1]. Research on the disposal and recycling of LFFS has been reported. Zhang et al. [2] prepared the porous foamed ceramic with the main crystal phase of wollastonite based on LFFS, and no heavy metal ions were detected in the toxicity leaching experiments, indicating that the foamed ceramic product is environmentally friendly. The foamed ceramics prepared were suitable for insulation materials on building exterior walls. The utilization rate of LFFS was approximately 70%. Guo et al. [3] prepared the geopolymer based on LFFS by adding alkaline activators (NaOH and Na2SiO3). However, the negative environmental impacts of alkaline activators limit the popularization of geopolymers. Pan et al. [4] prepared the glass ceramics with hedenbergite as the main crystal phase based on LFFS. Under optimal conditions, the glass ceramics had good densification, high bending strength, and good corrosion resistance. However, the utilization rate of LFFS was only 50%. Therefore, efficient and high-value utilization is the key to the disposal and recycling of LFFS.
In addition, during the preparation of glass ceramics, the crystallization and microstructure of the glass ceramics are critical for performance [5]. Therefore, significant research is needed to adjust the formulation or crystallization process to improve product performance. Al2O3 as an intermediate of the network [6] exists either as [AlO4] tetrahedrons, participates with [SiO4] tetrahedron to form a uniformed glass network, or as [AlO5] [AlO6], which locates in the cavities of the [SiO4] network and varies with the amount of content. When it exists in the form of [AlO4], Al3+ forms a uniformed network with [SiO4] tetrahedron. A small amount of Al2O3 in silicate glass allows for the formation of Al2O3 tetrahedron with non-bridging oxygens, which integrates itself into the silica network, reconnects the broken network, and strengthens the glass structure [7]. When a higher amount of Al2O3 is added, partial Al3+ exists as [AlO5] or [AlO6] and as a positive ion outside the silica backbone, which increases the crystallinity, decreases the viscosity, and weakens the structural strength of the glass [8,9]. Many researchers have reported on the influence of Al2O3 on the structure and properties of glass ceramics based on solid waste [10,11,12,13,14,15,16], indicating that the addition of an amount of Al2O3 has a significant impact on the structure and properties of glass ceramics. However, little research about the crystallization behavior of glass ceramics prepared based on LFFS influenced by the addition of Al2O3 has been reported.
In summary, this paper focuses on the efficient and high-value utilization of LFFS and adopts “material separation” technology to prepare glass ceramics. The influence of Al2O3 content on the crystallization mechanism from a dynamic perspective was investigated. The relationship between the crystallization kinetics process, structure, and properties of glass ceramics was studied. The study provided theoretical guidance for the production and application of glass ceramics based on LFFS in the future.

2. Materials and Methods

2.1. Materials

The LFFS was supplied by a company in Henan Province, China. The X-ray fluorescence analysis of LFFS is shown in Table 1. LFFS was treated using the carbothermal reduction method [2], and the obtained residue was the main material used to prepare the glass ceramics. The main components of the residue are listed in Table 2. Analytical pure Al2O3 powder (>99.0%) was provided by a chemical reagent factory in Tianjin City, China.

2.2. Preparation of Glass Ceramics

In general, the main compositions of glass ceramic are as follows: 45–65% SiO2, 15–30% CaO, 5–15% Al2O3, 1–3% Na2O, and 1–4% K2O. The component of the residue is similar to that of basic glass according to the phase diagram of the CaO-Al2O3-SiO2 ternary system [17]. The residue was crushed and sieved through 200 mesh. The quality of the corresponding pure reagent (Al2O3) was added into the residue, and the residue (100 g) and the corresponding pure reagent (Al2O3) were weighed, as illustrated in Table 3. The compositions of the samples with different Al2O3 contents are listed in Table 4. Each group of powder mixture was mixed thoroughly in a mixer and sintered at 1450 °C for 3 h in an electrical furnace with a heating rate of 10 °C/min. Then, the molten mixture was rapidly poured into a container with cold water, and a granular glassy material was then formed. After drying and grinding, the glassy material was sieved with 200 mesh to obtain the basic glass with Al2O3 dosages of 0%, 2%, 4%, 6%, and 8%, labeled as BG0, BG1, BG2, BG3, and BG4, respectively. Approximately 20 mg of each group of basic glass powders was used by differential scanning calorimetry (DSC) measurement to analyze their crystallization kinetics. Afterwards, the basic glass powder was mixed with 10 wt% H2O and then compacted and pressed into cylinders at a pressure of 8–9 ton in a PIKE IR hydraulic press (Crush Technologies). Then, the cylinders had a heat treatment at nucleation temperature for 1 h and crystallization temperature for 1 h, respectively, as the DSC results. Finally, the glass ceramics obtained were polished and stored for subsequent testing.

2.3. Characterization

The chemical compositions of the materials were determined using X-ray fluorescence (XRF) spectrometry (PANalytical Axios, FRRB International Co., Ltd. in Holland.). The non-isothermal crystallization kinetics of glass ceramics were quantitatively analyzed by differential thermal analysis (Netzsch Instrument Manufacturing Co., Ltd. Selbi, Germany) with α-Al2O3 powder as the reference material at different heating rates of 5–25 °C/min in Ar flow. The based glass and glass ceramics were dried and ground to less than 200 mesh. The phases were examined using an X-ray diffractometer (Bruker, D8 ADVANCE, Saarbrücken, Germany) with Cu Kα radiation over the 2θ range of 10–90° at a scanning speed of 6°/min. The microstructural observation and elemental analysis of glass ceramics were performed using a scanning electron microscopy system equipped with an energy dispersive X-ray spectroscopy (SEM/EDS, Hitachi S-4800, Tokoy, Japan) analyzer. The sample surfaces were polished and then chemically etched by immersion in an aqueous HF solution (5 vol%) for 20 s. Finally, the samples were ultrasonically washed with distilled water and dried in a vacuum.
Bulk density ( ρ 1 ) characterizes the mass per unit volume of glass ceramics. The bulk density ( ρ 1 ) was calculated as
ρ 1 = M V
where M and V are the mass and volume of the glass ceramics, respectively.
The glass ceramics were processed to 3 × 4 × 20 mm, and their bending strengths were determined according to GB/T5486—2008 [18] using a controlled electronic universal testing machine (Guanteng Automation Technology Co., Ltd., Jilin, China). All rectangular bars were carefully polished. Each data point represents the average value of at least three individual tests.

3. Results and Discussion

3.1. Crystalline Phase and Kinetics Analyses

Figure 1 shows the DSC curves of the BG0–BG4(A0–A4) samples at a heating rate of 10 °C/min. As the Al2O3 content increased, the glass transition temperature (Tg) increased, the first crystallization peak (Tp1) values increased first and then decreased, and the second crystallization peak (Tp2) values generally increased. It could be explained that Al3+ in the glass can connect the glass network with four coordinated [AlO4], increasing the degree of polymerization of the glass network. On the other hand, Al3+ can also exist with six coordinated [AlO6], which plays a role in disrupting the glass network and reducing the degree of polymerization of the network [19]. For BG0-BG3 samples, Al3+ connected to a glass network in the form of [AlO4] and the degree of polymerization of the glass network increased, which is not conducive to the diffusion of ions during the crystallization process, leading to an increase in the glass transition temperature and first crystallization peak temperature. Due to the precipitation of crystalline phases on the surface of glass powder, the viscosity of the glass increases, hindering the further diffusion of ions and hindering crystallization, resulting in an increase in the second crystallization temperature [20,21]. Notably, the first crystallization peak of the BG4 sample abnormally decreased, and that is because Al3+ exists with six coordinated [AlO6], which reduces the degree of network polymerization, facilitates ion diffusion during crystallization, and is more conducive to the reduction in crystallization temperature.
The heat treatment of the samples included two main stages: nucleation and crystallization [13]. The nucleation temperature (TN) is usually 50–100 °C higher than the glass transition temperature [22] (TN = Tg + 50 °C in this study). The BG0–BG4 samples were heat treated at Tp1 and Tp2, respectively. The glass ceramics (GC0–GC9) were obtained according to the heat treatment conditions, as shown in Table 5.
Figure 2 shows the XRD patterns of the BG0–BG4 samples. It can be observed that there was almost no diffraction peak, except just an amorphous hump around 30º. This result indicates that there were no crystals precipitated in basic glass without heat treatment. Figure 3 shows the XRD patterns of the GC0–GC9 samples. All samples obtained have the same crystal phase composition, consisting of two crystal phases: gehlenite (Ca2Al2SiO7 PDF#35-0755) and wollastonite (CaSiO3 PDF#27-0088). Simultaneously, the diffraction peak intensity of gehlenite is strong, while the diffraction peak intensity of wollastonite is relatively weak, indicating that gehlenite is the main crystalline phase, while wollastonite is the secondary crystalline phase. With the increase in the Al2O3 content, the diffraction peak intensity of wollastonite phase gradually weakened, while the diffraction peak intensity of gehlenite phase gradually strengthened.
It can be explained that Al3+ directly participates in the formation of gehlenite, so an increase in Al2O3 content is beneficial for the precipitation of gehlenite. On the other hand, as a network intermediate, Al2O3 can replace Si4+ with [AlO4] to participate in the composition of glass networks and crystal phases and can also damage the network structure of glass in the form of [AlO6] [6,19]. With the increase in the Al2O3 content, Si4+ in the glass network structure decreased, and the increased [AlO6] damaged the glass network, reduced the degree of network polymerization, and is conducive to the precipitation of gehlenite with a lower anionic polymerization degree. On the other hand, the increase in Al2O3 content leads to more Al3+ replacing Si4+ in the network, which is also conducive to the formation of [Al2SiO7] anion groups, thereby promoting the precipitation of gehlenite. Due to the large precipitation of gehlenite phase in glass ceramics, the silicon–oxygen content in the glass decreases, and the anionic groups forming the secondary crystalline phase decrease, resulting in a decrease in the wollastonite phase content. The results of XRD showed that the precipitation of gehlenite and wollastonite phase is in a competitive relationship, and the addition of alumina promotes the precipitation of gehlenite phase and hinders the precipitation of wollastonite phase. The chemical reaction equations for this process are as follows:
CaO + SiO2 = CaSiO3
CaO + Al2O3 + SiO2 = Ca2Al2SiO7
The effects of Al2O3 on the crystallization kinetics of glass ceramics were analyzed by the non-isothermal DSC method at different heating rates. The DSC curves of the BG0–BG4 samples at different heating rates are shown in Figure 4. The crystallization temperatures of the BG0–BG4 samples at different heating rates are listed in Table 6. It is clear that the Tp1 and Tp2 values increased with the increase in the heating rate, which is due to the later heating and melting for the glass system at a high heating rate, resulting in an increase in the temperature peak.
The Kissinger equation [23] was applied to determine the crystallization activation energy and relevant parameters:
ln T p 2 α = E c R T p + ln ( E c R ν )
where α is the heating rate, Tp is the crystallization peak temperature, R is the gas constant, ν is the frequency factor, and Ec represents the activation energy.
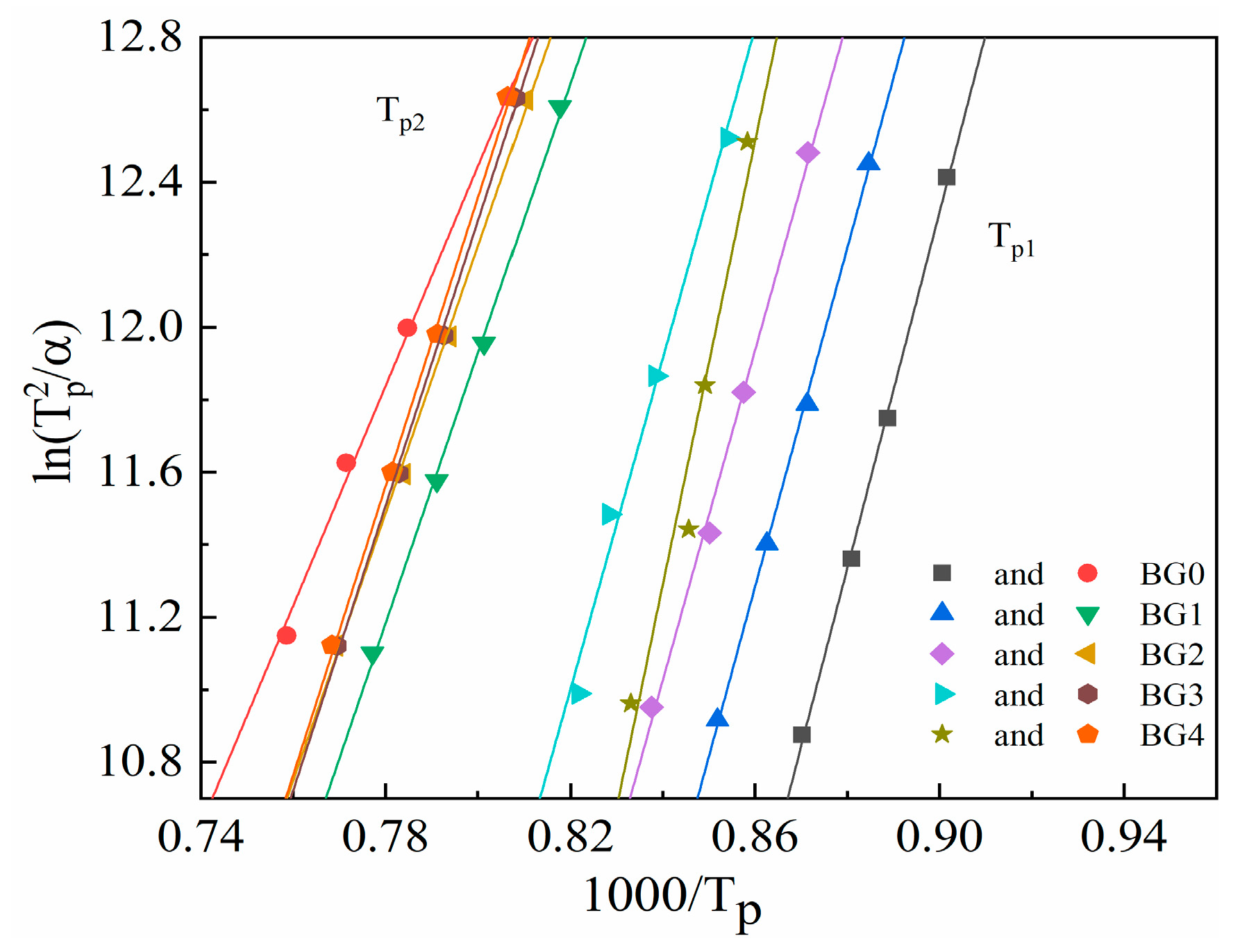
Ec can be obtained from the plot of ln (Tp2/α) vs. Tp−1 for glass ceramics crystallization, respectively, shown in Figure 5. The relevant parameters of the crystallization kinetic of the BG0–BG4 samples crystallized at Tp1 and Tp2 are listed in Table 6, respectively.
In Table 7, the correction coefficients (r2) of the fitting curves to calculate Ec2 are close to 1, indicating good fitting linearity and reflecting the reliability of the calculated Ec2 data. However, the r2 values to calculate Ec1 have a certain difference from 1, indicating a slightly poor fitting linearity. It is very likely that the calculation process of the Kissinger equation only involves the peak temperature of the crystallization exothermic peak and heating rate, and the angular coefficient, linear coefficient, and frequency factor of the curve were not considered. In Figure 3, the crystallization exothermic peak shape of Tp1 is wide and not sharp, the angular relationship between peak shapes is unclear, and the linear relationship is poor, which indicates that the reliability of the calculated crystal activation energy is slightly poor.
The Ozawa equation [24] can be also used to calculate the crystallization activation energy as follows:
ln α = ln K 0 E c f x 1.0516 E c RT C 2     ( 20 E c RT 60 )
where Ec is the crystallization activation energy, K0 is the frequency factor, α is the heating rate, C2 is a constant, T is the corresponding crystallization temperature when the crystallinity is x, and f(x) is a function of crystallinity. When the crystallinity (x) is a constant, f(x) is a constant.
To obtain the relationship between crystallinity (x) and temperature (T), it is necessary to deduct the substrate of the crystallization exothermic peak of Tp1 and integrate for the crystallization exothermic peaks at different heating rates. As shown in Figure 6 and the Ozawa equation, the crystallinity temperatures were determined when the crystallinity was x (x = 0.2, 0.3, ……0.8), and then linear fitting was operated for lnα-1000/Ti, as shown in Figure 7. According to the slopes of the fitted straight lines in Figure 7, Ec1 can be calculated, and the results are listed in Table 8.
As shown in Table 8, Ec1/(RT) satisfies the condition of 20 ≤ Ec1/(RT) ≤ 60, ensuring the reliability of data calculation using the Ozawa equation. Finally, the Ec1 of the BG0–BG4 samples is 395, 407, 417, 419, and 431 kJ/mol, respectively, and the Ec2 of the BG0–BG4 samples is 252, 310, 306, 326, and 331 kJ/mol, respectively. The results showed that as the Al2O3 content increased, Ec1 increased, indicating that the addition of Al2O3 reduces the formation barrier of gehlenite and promotes its crystallization and increases the formation barrier of wollastonite and inhibits its crystallization (consistent with the analysis results in Figure 3a). However, during the crystallization process, the activation energy is positively correlated with the viscosity of the glassy phase, and the addition of Al2O3 increases the viscosity of the glassy phase, showing an increase in crystallization activation energy. Due to the precipitation of crystalline phases, the viscosity of the glass increased, hindering the further diffusion of ions and crystallization, resulting in the inhibition of the subsequent crystallization process, manifested as an increase in the Ec2 values.
After obtaining Ec1 and Ec2 values, the crystallization index (n) could be calculated by applying the Augis–Bennett equation [25].
n = 2.5 R T p 2 T E c
where ΔΤ is the full width at half maximum of the exothermic peak, Ec is the crystallization activation energy, R is the gas constant, and Tp is the corresponding crystallization temperature.
If the n value is close to 1, this indicates the surface crystalline mechanism and one-dimensional growth in the crystallization process. If the n value is close to 2, that denotes the bulk crystalline mechanism and one-dimensional growth. If the n value is close to 3, that denotes the bulk crystalline mechanism and two-dimensional growth. If the n value is close to 4, that denotes the bulk crystalline mechanism and three-dimensional growth [26,27]. The Avrami parameters (n) for the crystal growth of the GC0–GC9 samples under various heating rates are shown in Table 9, respectively.
As shown in Table 9, the Al2O3 content has a significant impact on the crystallization process of glass ceramics. Among all the samples, the n values at Tp1 are between 2 and 4, indicating that the crystalline growth mechanism is bulk nucleation, shifting from three-dimensional to one-dimensional and then to two-dimensional growth. Meanwhile, the n values at Tp2 are between 3 and 4, indicating that the crystal growth mechanism is bulk nucleation, shifting from three-dimensional to two-dimensional growth.

3.2. Microstructure of Glass Ceramics

Figure 8 and Figure 9 show the SEM images of the sintered glass ceramics at Tp1 and Tp2, respectively. With the Al2O3 content increasing, the glass ceramics sintered at Tp1 and Tp2 have similar morphological changes. There are pores in the glass structure attributed to the transformation process of [AlO4] and [AlO6], making the glass structure loose, forming pores. The porosity of glass ceramics substantially increased, and the pores altered the sheet-like and spherical shape morphology, showing an irregularly interconnected network [28]. Spherical crystallites could be observed, while sheet-like crystallites were identified below 6% Al2O3 content. With the increase in the Al2O3 content, the number of sheet-like crystallites gradually decreased, while the number of spherical crystallites gradually increased. According to the phase analysis results for Figure 3, the sheet-like crystallites are assigned to the wollastonite phase, and the spherical crystallites are assigned to the gehlenite phase. The elemental compositions of the selected spots are listed in Table 10. For the sheet-like and spherical crystallites, with the Al2O3 content increasing, the atomic ratio of Ca2+ to Al3+ gradually both decreased, indicating that the phase content of wollastonite decreased, while the phase content of gehlenite increased.
Figure 10 and Figure 11 show the SEM images of the cross-section of the GC0–GC9 samples. The wollastonite and gehlenite phase grew in an interwoven formation, and with the increase in the Al2O3 content, the wollastonite phase gradually decreased and even disappeared, while the gehlenite phase gradually increased. Moreover, the number of pores gradually increased, and the densification of the samples decreased.

3.3. Physical and Mechanical Properties of Glass Ceramics

As shown in Figure 12a, the bulk density of the GC0-GC9 samples took on a downward trend as the Al2O3 content increased. It can be explained that the pores were formed during the phase transition, resulting in a decrease in densification. Figure 12b shows the relationship between the bending strength of sintered glass ceramics and the Al2O3 content. The initial increase in the mechanical strength was followed by a severe decrease as the Al2O3 content increased. The maximum measured strength is 75.1 MPa, a value significantly higher than that of traditional porcelain [29]. The bending strength of glass ceramics is related to crystallinity. Generally speaking, the bending strength of the crystal is greater than that of the glass phase, so when subjected to external forces, microcracks will expand along the glass phase, ultimately leading to the destruction of the sample, and the increase in the degree of crystallinity will make the content of the glass phase decrease, so the higher the crystallinity of the crystal phase, the greater the bending strength of the microcrystalline glass; in addition, the bending strength of microcrystalline glass is also related to the microstructure (mainly pore), and the increase in the pore number will make the effective support sites inside the glass reduce, and the bending resistance becomes worse. From the XRD analyses reported above, during the sintering process, the formation of wollastonite and gehlenite crystals led to an increase in crystallinity. Consequently, the bending strength was enhanced, although the porosity slightly increased [23]. However, with the further increase in the Al2O3 content, the porosity increased to a larger extent, causing a strength reduction in the sintered glass ceramics.

4. Conclusions

Glass ceramics were prepared based on lead fuming furnace-slag. The influence of Al2O3 content on the crystallization mechanism from a dynamic perspective was investigated. In addition, the relationship between the structure and properties of glass ceramics was studied. The main conclusions are summarized as follows:
The main crystalline phase of glass ceramics based on LFFS is gehlenite, and the secondary crystalline phase is wollastonite. Also, the amounts of the spherical gehlenite phase increased with the Al2O3 content, confirming the active role of Al2O3 during the formation of gehlenite crystallization.
The crystallization kinetic analyses showed that the crystallization activation energy increased with the Al2O3 content. The crystal growth mechanism is bulk nucleation, shifting from three-dimensional growth to two-dimensional growth.
The bulk density of the glass ceramics decreased with the increase in the Al2O3 content. The increase in crystallinity and the interwoven growth of wollastonite and gehlenite phase improved the bending strength. However, with the Al2O3 content increasing, mechanical weakness appeared owing to an increase in the number of pores.
When the addition of Al2O3 was 2%, the glass ceramics prepared under the conditions of nucleation at 781 °C for 60 min and crystallization at 875 °C for 60 min had the best overall performance, with a bulk density of 2.24 g·cm−3 and a flexural strength of 75.06 MPa. The residue utilization rate was 97.7%. The glass ceramics prepared have high strength and low bulk density, holding promise for potential applications in lightweight construction tiles.

Author Contributions

Investigation and data curation, D.L.; methodology and investigation: F.X.; data curation and writing—original draft preparation: N.Z.; writing—review and editing and investigation: W.W. All authors have read and agreed to the published version of the manuscript.

Funding

The project was financially supported by the Liaoning Middle-Aged Science and Technology Innovation Talents Support Program (No. RC210406) and the Liaoning “Xing Liao Talent Program” (XLYC2008035).

Data Availability Statement

The data that support the findings of this study are available from the corresponding author, Feng Xie, upon reasonable request.

Acknowledgments

The authors would like to acknowledge Peng Chen, Zhenqi Wang and Jianjie Liu for the article support.

Conflicts of Interest

The authors declare no conflict of interest.

References

  1. Lima, L.d.A.; Bernardez, L. Characterization of the lead smelter slag in Santo Amaro, Bahia, Brazil. J. Hazard. Mater. 2011, 189, 692–699. [Google Scholar] [CrossRef] [PubMed]
  2. Zhang, N.; Xie, F.; Wang, W.; Lu, D. Study on performance and mechanism of foamed ceramics based on lead fuming furnace slag. Ceram. Int. 2024, 50, 3307–3318. [Google Scholar] [CrossRef]
  3. Guo, B.; Liu, B.; Volinsky, A.A.; Fincan, M.; Du, J.; Zhang, S. Immobilization mechanism of Pb in fly ash-based geopolymer. Constr. Build. Mater. 2017, 134, 123–130. [Google Scholar] [CrossRef]
  4. Pan, D.; Li, L.; Wu, Y.; Liu, T.; Yu, H. Characteristics and properties of glass-ceramics using lead fuming slag. J. Clean. Prod. 2018, 175, 251–256. [Google Scholar] [CrossRef]
  5. Li, B.; Guo, Y.; Fang, J. Effect of MgO addition on crystallization, microstructure and properties of glass-ceramics prepared from solid wastes. J. Alloys Compd. 2021, 881, 159821. [Google Scholar] [CrossRef]
  6. Kwinda, T.I.; Koppka, S.; Sander, S.A.; Kohns, R.; Enke, D. Effect of Al2O3 on phase separation and microstructure of R2O-B2O3-Al2O3-SiO2 glass system (R = Li, Na). J. Non-Cryst. Solids 2020, 531, 119849. [Google Scholar] [CrossRef]
  7. Gao, Y.; Chen, J.Y.; Yang, Y.; Zhou, D.C.; Qiu, J.B. Effect of glass-ceramics network intermediate Al2O3 content on up-conversion luminescence in Er3+/Yb3+ co-doped NaYF4 oxy-fluoride glass-ceramics. J. Eur. Ceram. Soc. 2023, 43, 3591–3599. [Google Scholar] [CrossRef]
  8. Du, W.-F.; Kuraoka, K.; Akai, T.; Yazawa, T. Study of Al2O3 effect on structural change and phase separation in Na2O-B2O3-SiO2 glass by NMR. J. Mater. Sci. 2000, 35, 4865–4871. [Google Scholar] [CrossRef]
  9. Xie, J.; Xiao, Z.F.; Zheng, W.H.; Liu, Y. The Effect of Al2O3/SiO2 on the structure and properties of Na2O-CaO-Al2O3-SiO2 glasses. Key Eng. Mater. 2012, 509, 339–345. [Google Scholar] [CrossRef]
  10. Cui, H.N.; Yang, H.C.; Wang, H.; Zheng, Y.X.; Wang, Y.C. Crystallization and microwave dielectric properties of novel CaO-Al2O3-B2O3 glass-ceramics with different Al2O3 content. J. Eur. Ceram. Soc. 2023, 43, 7478–7484. [Google Scholar] [CrossRef]
  11. Zhan, L.I.; Jia, H.; Jiang, C.; Lin, T.S.; Li, H.; Wang, M.T.; Xiong, D.H. Preparation and characterization of MgO-Al2O3-SiO2 glass-ceramics with different MgO/Al2O3 ratio and La2O3 addition. Mater. Today Commun. 2024, 38, 107818. [Google Scholar] [CrossRef]
  12. Ismail, N.Q.A.; Sa, N.K.; Zaid, M.H.M.; Norhazlin, Z.; Mayzan, M.Z.H. Effect of Na2CO3/Al2O3 ratio on the calcium fluoroaluminosilicate-based bioactive glass-ceramics derived from waste materials. Mater. Chem. Phys. 2024, 312, 128556. [Google Scholar] [CrossRef]
  13. Golubev, N.; Ignat’Eva, E.; Lipatiev, A.; Ziaytdinova, M.; Lapushkin, G.; Sigaev, V.; Poliakov, M.; Paleari, A.; Lorenzi, R. Effects of Al2O3 addition on microstructure and luminescence of transparent germanosilicate glass-ceramics with incorporated spinel Ga-oxide nanocrystals. Ceram. Int. 2023, 49, 1657–1666. [Google Scholar] [CrossRef]
  14. Deng, L.B.; Yao, B.; Lu, W.W.; Zhang, M.X.; Li, H.; Zhao, H.C.M.; Du, Y.S.; Zhang, M.R.; Ma, Y.H.; Wang, W.C. Effect of SiO2/Al2O3 Ratio on the Crystallization and Heavy Metal Immobilization of Glass Ceramics Derived from Stainless Steel Slag. Non-Cryst. Solids 2022, 593, 121770. [Google Scholar] [CrossRef]
  15. Li, H.; Yin, Z.Y.; Deng, L.B.; Wang, S.; Fu, Z.; Ma, Y.H. Effect of SiO2/Al2O3 ratio on the structure and electrical properties of MgO–Al2O3–SiO2 glass-ceramics doped with TiO2. Mater. Chem. Phys. 2020, 256, 123653. [Google Scholar] [CrossRef]
  16. Xu, X.; Lao, X. Effect of MgO/SiO2 ratio and Al2O3 content on crystallization behavior and properties of cordierite-based glass-ceramics. J. Eur. Ceram. Soc. 2021, 41, 1593–1602. [Google Scholar] [CrossRef]
  17. Károly, Z.; Mohai, I.; Tóth, M.; Wéber, F.; Szépvölgyi, J. Production of glass–ceramics from fly ash using arc plasma. J. Eur. Ceram. Soc. 2007, 27, 1721–1725. [Google Scholar] [CrossRef]
  18. GB/T 5486-2008; Test Methods for Inorganic Rigid Thermal Insulation. Available online: https://www.chinesestandard.net/PDF/English.aspx/GBT5486-2008 (accessed on 26 March 2024).
  19. Novikov, A.N.; Neuville, D.R.; Hennet, L.; Gueguen, Y.; Thiaudière, D.; Charpentier, T.; Florian, P. Al and Sr environment in tectosilicate glasses and melts: Viscosity, Raman and NMR investigation. Chem. Geol. 2017, 461, 115–127. [Google Scholar] [CrossRef]
  20. Karamanov, A.; Hamzawy, E.M.A.; Karamanova, E.; Jordanova, N.B.; Darwishb, H. Sintered glass-ceramics and foams by metallurgical slag with addition of CaF2. Ceram. Int. 2020, 46, 6507–6516. [Google Scholar] [CrossRef]
  21. Jiang, C.; Li, K.; Zhang, J.; Qin, Q.; Liu, Z.; Sun, M.; Wang, Z.; Liang, W. Effect of MgO/Al2O3 ratio on the structure and properties of blast furnace slags: A molecular dynamics simulation. J. Non-Cryst. Solids 2018, 502, 76–82. [Google Scholar] [CrossRef]
  22. Peng, F.; Liang, K.-M.; Hu, A.-M. Nano-crystal glass–ceramics obtained from high alumina coal fly ash. Fuel 2005, 84, 341–346. [Google Scholar] [CrossRef]
  23. Li, B.; Wang, S.L.; Fang, Y. Effect of Cr2O3 addition on crystallization, microstructure and properties of Li2O–Al2O3–SiO2 glass-ceramics. Alloys Compd. 2017, 693, 9–15. [Google Scholar] [CrossRef]
  24. Guo, X.; Yang, H.; Han, C.; Song, F. Crystallization and microstructure of Li2O–Al2O3–SiO2 glass containing complex nucleating agent. Thermochim. Acta 2006, 444, 201–205. [Google Scholar] [CrossRef]
  25. Li, H.; Yang, L.; Cao, C.; Tao, Y.; Zhong, Q.; Xu, Z.; Luo, C.; Wang, W. In situ observation of Li2O-Al2O3-SiO2 glass crystallization process and kinetics analysis. J. Cryst. Growth 2020, 547, 125816. [Google Scholar] [CrossRef]
  26. Mukherjee, D.P.; Das, S.K. The influence of TiO2 content on the properties of glass ceramics: Crystallization, microstructure and hardness. Ceram. Int. 2014, 40, 4127–4134. [Google Scholar] [CrossRef]
  27. Senapati, A.; Barik, S.K.; Parida, P.K.; Jena, H. Non-isothermal crystallization kinetics study of sodium niobium phosphate glasses. J. Non-Cryst. Solids 2023, 605, 122154. [Google Scholar] [CrossRef]
  28. Lu, Z.Y.; Lu, J.S.; Li, X.B.; Shao, G.Q. Effect of MgO addition on sinterability, crystallization kinetics, and flexural strength of glass–ceramics from waste materials. Ceram. Int. 2016, 42, 3452–3459. [Google Scholar] [CrossRef]
  29. ISO 13006; Ceramic Tiles—Definitions, Classification, Characteristics and Marking. International Organization for Standardization: Geneva, Switzerland, 2018.
Figure 1. DSC curves of the BG0–BG4 samples (heating rate:10 °C/min).
Figure 1. DSC curves of the BG0–BG4 samples (heating rate:10 °C/min).
Metals 14 00628 g001
Figure 2. XRD patterns of the BG0–BG4 samples.
Figure 2. XRD patterns of the BG0–BG4 samples.
Metals 14 00628 g002
Figure 3. XRD patterns of the GC0–GC9 samples (a) Tp1 (b) Tp2.
Figure 3. XRD patterns of the GC0–GC9 samples (a) Tp1 (b) Tp2.
Metals 14 00628 g003
Figure 4. DSC curves of the BG0-BG4 samples at different heating rates.
Figure 4. DSC curves of the BG0-BG4 samples at different heating rates.
Metals 14 00628 g004
Figure 5. Plot of ln (Tp2/α) vs. Tp−1 for the BG0–BG4 samples.
Figure 5. Plot of ln (Tp2/α) vs. Tp−1 for the BG0–BG4 samples.
Metals 14 00628 g005
Figure 6. Relationship between crystallinity and temperature of the BG0–BG4 samples at Tp1.
Figure 6. Relationship between crystallinity and temperature of the BG0–BG4 samples at Tp1.
Metals 14 00628 g006
Figure 7. Plot of lnα vs. 1000/Ti for the BG0–BG4 samples at Tp1.
Figure 7. Plot of lnα vs. 1000/Ti for the BG0–BG4 samples at Tp1.
Metals 14 00628 g007
Figure 8. SEM images of glass ceramics at Tp1: (a) GC0; (b) GC2; (c) GC4; (d) GC6; (e) GC8.
Figure 8. SEM images of glass ceramics at Tp1: (a) GC0; (b) GC2; (c) GC4; (d) GC6; (e) GC8.
Metals 14 00628 g008
Figure 9. SEM images of glass ceramics at Tp2: (a) GC1; (b) GC3; (c) GC5; (d) GC7; (e) GC9.
Figure 9. SEM images of glass ceramics at Tp2: (a) GC1; (b) GC3; (c) GC5; (d) GC7; (e) GC9.
Metals 14 00628 g009
Figure 10. SEM images of the cross-section of glass ceramics at Tp1: (a) GC0; (b) GC2; (c) GC4; (d) GC6; (e) GC8.
Figure 10. SEM images of the cross-section of glass ceramics at Tp1: (a) GC0; (b) GC2; (c) GC4; (d) GC6; (e) GC8.
Metals 14 00628 g010
Figure 11. SEM images of the cross-section of glass ceramics at Tp2: (a) GC1; (b) GC3; (c) GC5; (d) GC7; (e) GC9.
Figure 11. SEM images of the cross-section of glass ceramics at Tp2: (a) GC1; (b) GC3; (c) GC5; (d) GC7; (e) GC9.
Metals 14 00628 g011
Figure 12. (a) Bulk density and (b) bending strength of the GC0–GC9 samples.
Figure 12. (a) Bulk density and (b) bending strength of the GC0–GC9 samples.
Metals 14 00628 g012
Table 1. X-ray fluorescence analysis of LFFS (wt%).
Table 1. X-ray fluorescence analysis of LFFS (wt%).
ComponentContentComponentContent
Fe2O346.48SrO0.22
SiO226.80Na2O0.20
CaO13.89P2O50.19
Al2O35.79Cr2O30.13
K2O1.91CuO0.11
MgO1.27BaO0.08
SO31.02ZrO20.07
MnO0.79MoO30.05
ZnO0.62As2O30.01
TiO20.33Cl0.01
Table 2. The main components of LFFS and residue (wt%).
Table 2. The main components of LFFS and residue (wt%).
MaterialsSiO2CaOAl2O3MgOFeONa2OK2OTiO2Cr2O3CuOBaOOthers
LFFS25.6512.605.551.9044.802.091.740.320.120.100.075.14
Residue45.7225.9413.493.570.192.872.050.47--0.255.45
Table 3. Mass (g) of raw materials employed in the fabrication of glass ceramics.
Table 3. Mass (g) of raw materials employed in the fabrication of glass ceramics.
SampleResidueAl2O3
A0100.000.00
A1100.002.37
A2100.004.85
A3100.007.45
A4100.0010.19
Table 4. The chemical composition of the samples with different Al2O3 contents (wt%).
Table 4. The chemical composition of the samples with different Al2O3 contents (wt%).
ContentSiO2CaOAl2O3MgOFeONa2OK2OOthers
A045.7225.9413.493.570.192.872.056.17
A144.6625.3415.493.490.192.802.006.03
A243.6124.7417.493.400.182.741.965.88
A342.5524.1419.493.320.182.671.915.74
A441.4923.5421.493.240.172.601.865.61
Table 5. Heat treatment parameters of the BG0–BG4 samples.
Table 5. Heat treatment parameters of the BG0–BG4 samples.
SamplesTN (°C)Time (min)Tp (°C)Time (min)Glass Ceramics
BG07716085260GC0
77160100160GC1
BG17816087560GC2
7816097560GC3
BG27936089360GC4
7936098760GC5
BG37946092060GC6
7946098860GC7
BG47996090560GC8
7996099160GC9
Table 6. Crystallization temperatures of the BG0–BG4 samples at different heating rates.
Table 6. Crystallization temperatures of the BG0–BG4 samples at different heating rates.
Samplesα (K/min)Tp1 (°C)Tp2 (°C)Samplesα (K/min)Tp1 (°C)Tp2 (°C)
BG05835.7965.9BG35897.7964.4
10851.51000.610919.6988.4
15861.71022.615934.11004.1
25876.21044.925943.81026.4
BG15857.3949.8BG45891.9966.8
10874.5974.710904.5990.7
15886.1990.915909.41006.4
25900.71013.525927.31028.2
BG25874.3961.0----
10893.0986.5---
15903.11002.5---
25920.81026.8---
Table 7. Crystallization kinetic parameters (Ec, r2) of the GC0-GC9 samples.
Table 7. Crystallization kinetic parameters (Ec, r2) of the GC0-GC9 samples.
SamplesSlopeEc1 (kJ/mol)r2SamplesSlopeEc2 (kJ/mol)r2
GC049.134080.9983GC130.302520.9944
GC246.793890.9987GC337.293100.9977
GC445.493780.9941GC536.853060.9958
GC645.523780.9753GC739.273260.9968
GC861.155080.9341GC939.793310.9974
Table 8. Ec1 (kJ/mol) calculated by Ozawa method for BG0–BG4 samples.
Table 8. Ec1 (kJ/mol) calculated by Ozawa method for BG0–BG4 samples.
x (Tp1)BG0BG1BG2BG3BG4
Ec1Ec1/(RT)Ec1Ec1/(RT)Ec1Ec1/(RT)Ec1Ec1/(RT)Ec1Ec1/(RT)
0.239240.9842645.6643145.5242644.1544847.61
0.339341.1342044.9342745.0342643.9944547.05
0.439441.2141444.2142344.5042343.5844046.46
0.539641.4340943.5441943.9541943.1843545.73
0.639641.4440242.7841543.4243344.5442744.88
0.739741.5739441.8540742.5640741.8041843.84
0.839841.6738540.7539941.6239840.7340642.38
Average395407417419431
Table 9. Avrami parameters (n) for crystal growth of the GC0-GC9 samples under various heating rates, respectively.
Table 9. Avrami parameters (n) for crystal growth of the GC0-GC9 samples under various heating rates, respectively.
Samples (Tp1)MethodHeating Rates (°C/min)Average
5101525
GC0Ozawa3.173.483.963.633.56 (≈4)
GC2Ozawa3.082.712.912.382.77 (≈3)
GC4Ozawa2.622.042.272.062.25 (≈2)
GC6Ozawa1.821.982.242.312.09 (≈2)
GC8Ozawa2.941.642.871.472.23 (≈2)
Samples (Tp2)MethodHeating rates (°C/min)Average
5101525
GC1Kissinger5.185.444.052.694.34 (≈4)
GC3Kissinger4.733.414.182.903.80 (≈4)
GC5Kissinger3.483.123.562.363.13 (≈3)
GC7Kissinger3.233.133.032.492.97 (≈3)
GC9Kissinger2.843.263.022.482.90 (≈3)
Table 10. EDS results of elemental composition (at%) of different phases of the GC0-GC9 samples.
Table 10. EDS results of elemental composition (at%) of different phases of the GC0-GC9 samples.
SampleSpectrumPhase CrystalliteOSiCaAl
GC01sheet-like15.801.6458.8123.76
2spherical49.7925.5616.757.90
GC21sheet-like58.8918.5211.3911.2
2spherical57.0020.6612.0610.28
GC41sheet-like57.8719.2510.9411.94
2spherical66.8714.1110.019.02
GC61sheet-like60.1820.208.4811.14
2spherical58.0915.0513.0313.82
GC81sheet-like----
2spherical58.5515.588.7417.13
SampleSpectrumPhaseOSiCaAl
GC11sheet-like24.4214.2742.5018.79
2spherical38.8324.2520.8816.08
GC31sheet-like54.6521.0113.4910.86
2spherical38.4322.0724.5614.94
GC51sheet-like60.0912.4317.2610.21
2spherical47.1212.2823.4917.11
GC71sheet-like66.8031.8511.0423.70
2spherical52.7522.678.6915.89
GC91sheet-like----
2spherical52.1718.0112.6417.19
Disclaimer/Publisher’s Note: The statements, opinions and data contained in all publications are solely those of the individual author(s) and contributor(s) and not of MDPI and/or the editor(s). MDPI and/or the editor(s) disclaim responsibility for any injury to people or property resulting from any ideas, methods, instructions or products referred to in the content.

Share and Cite

MDPI and ACS Style

Zhang, N.; Xie, F.; Wang, W.; Lu, D. Effect of Al2O3 on Crystallization, Microstructure, and Properties of Glass Ceramics Based on Lead Fuming Furnace-Slag. Metals 2024, 14, 628. https://doi.org/10.3390/met14060628

AMA Style

Zhang N, Xie F, Wang W, Lu D. Effect of Al2O3 on Crystallization, Microstructure, and Properties of Glass Ceramics Based on Lead Fuming Furnace-Slag. Metals. 2024; 14(6):628. https://doi.org/10.3390/met14060628

Chicago/Turabian Style

Zhang, Ning, Feng Xie, Wei Wang, and Diankun Lu. 2024. "Effect of Al2O3 on Crystallization, Microstructure, and Properties of Glass Ceramics Based on Lead Fuming Furnace-Slag" Metals 14, no. 6: 628. https://doi.org/10.3390/met14060628

APA Style

Zhang, N., Xie, F., Wang, W., & Lu, D. (2024). Effect of Al2O3 on Crystallization, Microstructure, and Properties of Glass Ceramics Based on Lead Fuming Furnace-Slag. Metals, 14(6), 628. https://doi.org/10.3390/met14060628

Note that from the first issue of 2016, this journal uses article numbers instead of page numbers. See further details here.

Article Metrics

Back to TopTop